当前位置:首页>文档>2025年普通高等学校招生全国1卷(答案)_26.河北-高考真题_2015-2025(河北)数学高考真题

2025年普通高等学校招生全国1卷(答案)_26.河北-高考真题_2015-2025(河北)数学高考真题

  • 2026-04-26 08:21:51 2026-02-10 09:01:21

文档预览

2025年普通高等学校招生全国1卷(答案)_26.河北-高考真题_2015-2025(河北)数学高考真题
2025年普通高等学校招生全国1卷(答案)_26.河北-高考真题_2015-2025(河北)数学高考真题
2025年普通高等学校招生全国1卷(答案)_26.河北-高考真题_2015-2025(河北)数学高考真题
2025年普通高等学校招生全国1卷(答案)_26.河北-高考真题_2015-2025(河北)数学高考真题

文档信息

文档格式
docx
文档大小
0.080 MB
文档页数
2 页
上传时间
2026-02-10 09:01:21

文档内容

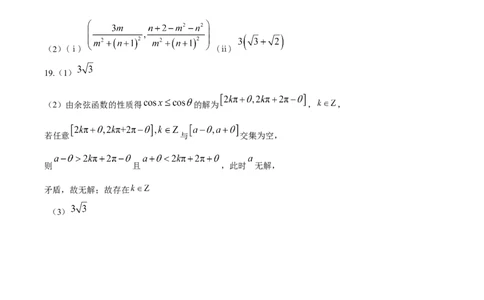
参考答案 2025 年普通高等学校招生全国统一考试(新 1 卷) 一、选择题:本大题共8小题,每小题5分,共计40分.每小题给出的四个选项中,只有一个 选项是正确的.请把正确的选项填涂在答题卡相应的位置上. 1.C 2.C 3.D 4.B 5.A 6.A 7.B 8.B 二、选择题:本题共3小题,每小题6分,共18分.在每小题给出的选项中,有多项符合题目 要求.全部选对的得6分,部分选对的得部分分,有选错的得0分. 9.BD 10.ACD 11.ABC 三、填空题:本大题共3小题,每小题5分,共计15分. 12. 13. 14. 四、解答题:本题共5小题,共77分.解答应写出文字说明、证明过程或演算步骤. 15.(1) (2)有关 16.(1)由题意证明如下, , 在数列 中, , , ∴ ,即 , ∴ 是以 为首项,1为公差的等差数列. (2) 17.(1)通过证明 , ,得出 平面 ,即可证明面面垂直(2)建立空间直角坐标系并表达出各点的坐标,假设 在同一球面 上,在平面 中,得出 点 坐标,进而得出点 在空间中的坐标,计算出 ,即可证明结论; (ii) . 18.(1) (2)(ⅰ) (ⅱ) 19.(1) (2)由余弦函数的性质得 的解为 , , 若任意 与 交集为空, 则 且 ,此时 无解, 矛盾,故无解;故存在 (3)