当前位置:首页>文档>3.5根据正比例图象解决问题_小学1-6年级全部试卷_数学_六年级_3-11-4、小学六年级数学下册_3-11-4-2、练习题、作业、试题、试卷_青岛版_课时练_第3单元比例

3.5根据正比例图象解决问题_小学1-6年级全部试卷_数学_六年级_3-11-4、小学六年级数学下册_3-11-4-2、练习题、作业、试题、试卷_青岛版_课时练_第3单元比例

  • 2026-04-12 18:32:30 2026-02-16 07:36:07

文档预览

3.5根据正比例图象解决问题_小学1-6年级全部试卷_数学_六年级_3-11-4、小学六年级数学下册_3-11-4-2、练习题、作业、试题、试卷_青岛版_课时练_第3单元比例
3.5根据正比例图象解决问题_小学1-6年级全部试卷_数学_六年级_3-11-4、小学六年级数学下册_3-11-4-2、练习题、作业、试题、试卷_青岛版_课时练_第3单元比例
3.5根据正比例图象解决问题_小学1-6年级全部试卷_数学_六年级_3-11-4、小学六年级数学下册_3-11-4-2、练习题、作业、试题、试卷_青岛版_课时练_第3单元比例

文档信息

文档格式
docx
文档大小
0.065 MB
文档页数
3 页
上传时间
2026-02-16 07:36:07

文档内容

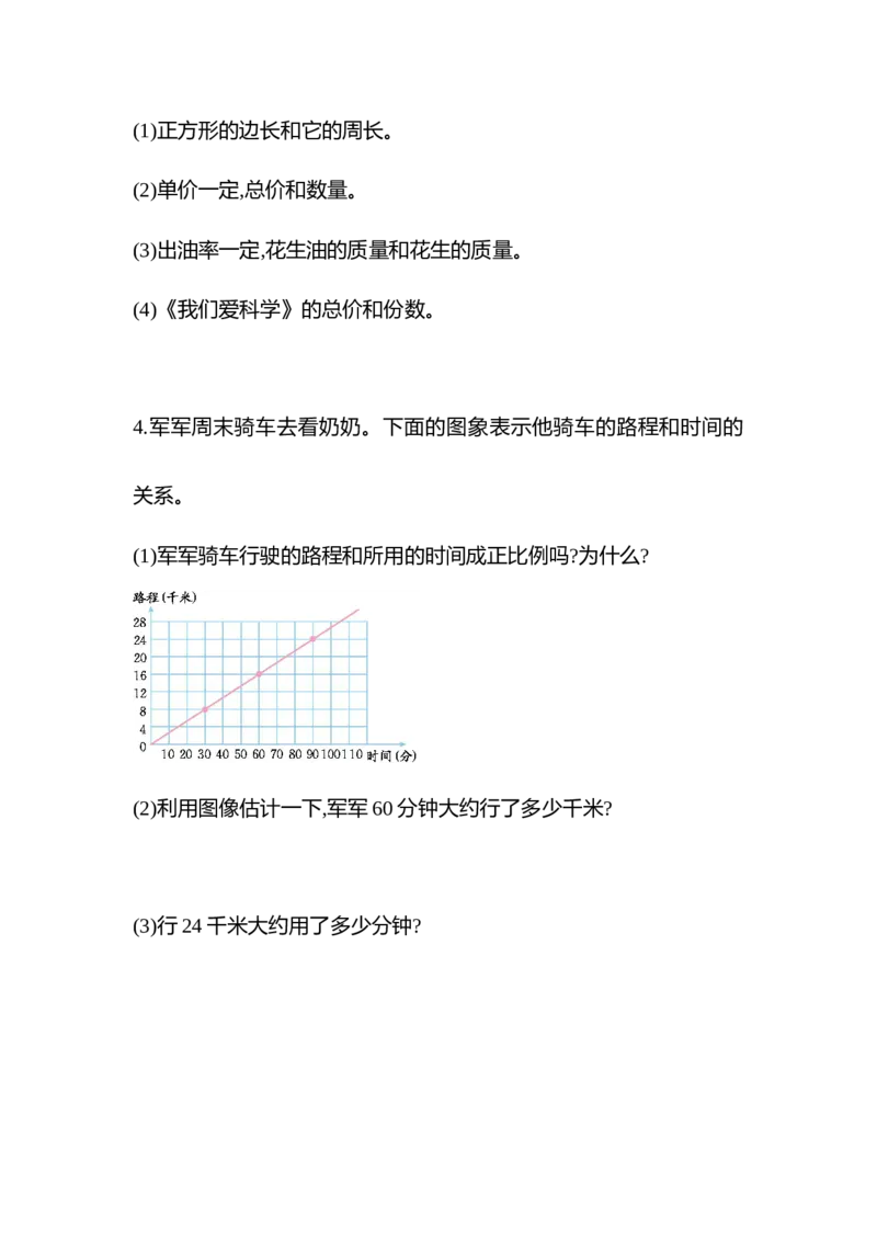
3.5 根据正比例图像解决问题 1.辨一辨。(正确的画“√”,错误的画“✕”) (1)一个儿童的身高与年龄成正比例。( ) (2)一个加数不变,和与另一个加数成正比例。( ) y (3)因为 =k,所以y和x成正比例。( ) x 2.选一选。(把正确答案的序号填在括号里) (1)a和b成正比例的是( )。 A.c÷a=b(c一定,a≠0) B.ab=c(c一定,a、b均不为0) C.a÷b=c(c一定,b≠0) (2)同时同地的不同物体的高度和影长( )。 A.成正比例 B.不成正比例 C.无法确定 3.判断下面每题中的两个量是不是成正比例,并说明理由。(1)正方形的边长和它的周长。 (2)单价一定,总价和数量。 (3)出油率一定,花生油的质量和花生的质量。 (4)《我们爱科学》的总价和份数。 4.军军周末骑车去看奶奶。下面的图象表示他骑车的路程和时间的 关系。 (1)军军骑车行驶的路程和所用的时间成正比例吗?为什么? (2)利用图像估计一下,军军60分钟大约行了多少千米? (3)行24千米大约用了多少分钟?答案提示 1.(1)✕ (2)✕ (3)✕ 2.(1)C (2)A 3.(1)成正比例,因为周长∶边长=4。 (2)成正比例,因为总价∶数量=单价(一定)。 (3)成正比例,因为花生油的质量∶花生的质量=出油率(一定)。 (4)成正比例,因为总价∶份数=《我们爱科学》的单价(一定)。 4.(1)成正比例,因为路程和时间的比值一定。 (2)16千米 (3)90分钟