当前位置:首页>文档>精品解析:北京市顺义区2020-2021学年九年级上学期期末化学试题(原卷版)(1)_北京初中期末题_C605-京七八九_B京化学七八九_北京9上化学_2020-2021

精品解析:北京市顺义区2020-2021学年九年级上学期期末化学试题(原卷版)(1)_北京初中期末题_C605-京七八九_B京化学七八九_北京9上化学_2020-2021

  • 2026-03-09 20:46:53 2026-03-09 20:46:53

文档预览

精品解析:北京市顺义区2020-2021学年九年级上学期期末化学试题(原卷版)(1)_北京初中期末题_C605-京七八九_B京化学七八九_北京9上化学_2020-2021
精品解析:北京市顺义区2020-2021学年九年级上学期期末化学试题(原卷版)(1)_北京初中期末题_C605-京七八九_B京化学七八九_北京9上化学_2020-2021
精品解析:北京市顺义区2020-2021学年九年级上学期期末化学试题(原卷版)(1)_北京初中期末题_C605-京七八九_B京化学七八九_北京9上化学_2020-2021
精品解析:北京市顺义区2020-2021学年九年级上学期期末化学试题(原卷版)(1)_北京初中期末题_C605-京七八九_B京化学七八九_北京9上化学_2020-2021
精品解析:北京市顺义区2020-2021学年九年级上学期期末化学试题(原卷版)(1)_北京初中期末题_C605-京七八九_B京化学七八九_北京9上化学_2020-2021
精品解析:北京市顺义区2020-2021学年九年级上学期期末化学试题(原卷版)(1)_北京初中期末题_C605-京七八九_B京化学七八九_北京9上化学_2020-2021
精品解析:北京市顺义区2020-2021学年九年级上学期期末化学试题(原卷版)(1)_北京初中期末题_C605-京七八九_B京化学七八九_北京9上化学_2020-2021
精品解析:北京市顺义区2020-2021学年九年级上学期期末化学试题(原卷版)(1)_北京初中期末题_C605-京七八九_B京化学七八九_北京9上化学_2020-2021
精品解析:北京市顺义区2020-2021学年九年级上学期期末化学试题(原卷版)(1)_北京初中期末题_C605-京七八九_B京化学七八九_北京9上化学_2020-2021
精品解析:北京市顺义区2020-2021学年九年级上学期期末化学试题(原卷版)(1)_北京初中期末题_C605-京七八九_B京化学七八九_北京9上化学_2020-2021
精品解析:北京市顺义区2020-2021学年九年级上学期期末化学试题(原卷版)(1)_北京初中期末题_C605-京七八九_B京化学七八九_北京9上化学_2020-2021
精品解析:北京市顺义区2020-2021学年九年级上学期期末化学试题(原卷版)(1)_北京初中期末题_C605-京七八九_B京化学七八九_北京9上化学_2020-2021

文档信息

文档格式
doc
文档大小
0.854 MB
文档页数
12 页
上传时间
2026-03-09 20:46:53

文档内容

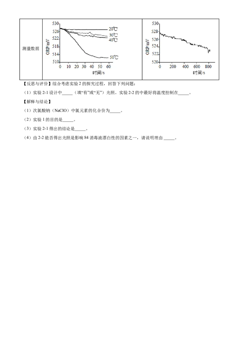
北京市顺义区 2020-2021 学年度第一学期期末九年级教学质量检测 化学试卷 考生须知 1.本试卷共8页,共两部分, 38道小题 ,满分70分。考试时间70分钟。 2.在试卷和答题卡上准确填写学校名称、姓名和准考证号。 3.试题答案一律填涂或书写在答题卡上,在试卷上作答无效。 4.在答题卡上,选择题用2B铅笔作答,其他试题用黑色字迹签字笔作答。 可能用到的相对原子质量:H-1 O-16 第一部分 选择题(共25分) (每小题只有一个选项符合题意。共25道小题,每小题1分) 1. 空气成分中,体积分数最大的是( ) A. 氮气 B. 二氧化碳 C. 氧气 D. 稀有气体 2. 垃圾分类投放是每个公民应尽的义务。下列废弃物,不能投入可回收垃圾箱的是 A. 废报纸 B. 橘子皮 C. 矿泉水瓶 D. 铝质易拉罐 3. 下列物质溶于水能形成溶液的是 A. 蔗糖 B. 花生油 C. 面粉 D. 奶粉 4. 硬水给生活带来诸多不便。下列离子中,与水硬度有关的是 A. Na+ B. Ca2+ C. Cl- D. H+ 5. 下列物质在氧气中燃烧,生成物是黑色固体的是 A. 木炭 B. 铁丝 C. 镁条 D. 红磷 6. 下列符号表示2个氢原子的是 A. 2H B. 2H+ C. H D. 2H 2 2 7. 下列不属于二氧化碳用途的是A. 灭火 B. 人工降雨 C. 火箭燃料 D. 气体肥料 8. 金被加工成金箔,说明金具有良好的 A. 延展性 B. 导电性 C. 导热性 D. 抗腐蚀性 的 9. 下列金属不能与稀盐酸发生反应 是 A. 镁 B. 锌 C. 铜 D. 铁 10. 下列有关物质性质的描述,属于化学性质的是 A. 浓盐酸易挥发 B. 干冰易升华 C. 一氧化碳有毒 D. 食盐有咸味 11. 为保证实验安全,下列使用酒精灯的实验操作合理的是 A. 点燃酒精灯 B. 添加酒精 C. 加热液体 D. 熄灭酒精灯 12. 下列物质的化学式书写不正确的是 A. 氯化镁 MgCl B. 硫酸锌 ZnSO 4 C. 氢氧化钠 NaOH D. 氧化铜 CuO 13. 元素周期表中某个格中的信息如图所示,下列说法错误的是 A. 元素符号为Na B. 相对原子质量为22.99 C. 元素名称为钠 D. 原子核内中子数为1114. 下列灭火方法不正确的是 A. 电器起火—用水浇灭 B. 森林起火—砍伐树木形成隔离带 C. 油锅起火—用锅盖盖灭 D. 图书起火—用二氧化碳灭火器灭火 15. 氮化硅是一种性能优异的无机非金属材料,可通过以下反应来制备: , 此化学方程式中X的化学式是( ) A. N 2 B. Si C. NO D. CO 2 16. 用图所示装置进行电解水实验,下列说法正确的是 A. b中气体能燃烧 B. a中气体是氧气 C. 水分子由氢原子和氧原子构成 D. 水由氢气和氧气组成 17. 下列有关金属或合金的说法正确的是 A. 合金属于单质 B. 铁在潮湿的空气中不易生锈 C. 铝的金属活动性强,在空气中易被腐蚀 D. 铜的导电性好,常用于电线电缆 18. 下列实验操作中,正确的是 A. 倾倒液体 B. 检查气密性C. 称量固体 D. 过滤 19. 如图所示装置可用于测定空气中氧气的含量。下列说法不正确的是 A. 实验装置的气密性要好 B. 红磷足量是实验成功的关键之一 C. 如果没冷却就打开弹簧夹,测量结果将偏大 D. 进入集气瓶内水的体积等于消耗掉氧气的体积 20. 下列化学方程式书写正确的是 A. H CO=H O +CO B. P+O PO 2 3 2 2 2 2 C. C+O =CO D. H O +CO =H CO 2 2 2 2 2 3 21. 配制100 g质量分数为16%的食盐水,下列说法不正确的是 A. 实验步骤是计算、称量、溶解 B. 量取水的体积为100mL C. 实验中要用到胶头滴管 D. 溶解不能在量筒中进行 22. 有关空气中成分的说法中,不正确的是 A. 氮气用于制作霓虹灯 B. CO 过多会造成温室效应 2 C. 氧气用于急救病人 D. 稀有气体化学性质稳定 23. 不同温度时,NaCl固体的溶解度如下表所示: 温度/℃ 20 40 60 80 100 溶解度/g 36.0 36.6 37.3 38.4 39.8 20℃时,将50g NaCl固体加入到盛有100g水的烧杯中,充分溶解得到溶液。下列说法错误的是 A. 烧杯中溶液的质量为150g B. 所得溶液为饱和溶液C. 烧杯中剩余固体的质量为14g D. 所得溶液中溶质质量分数约为26.5% 24. 甲、乙两种固体的溶解度曲线如下图所示。下列说法中,正确的是 A. 20℃时,甲、乙的溶液溶质质量分数相同 B. 升温能将乙的饱和溶液溶液变为不饱和溶液 C. 将20℃甲的饱和溶液升温至40℃,溶质质量增加 D. 将甲、乙的饱和溶液从40oC降温到20℃,甲析出多 25. 在下图1的三口瓶中加入一定量的暖宝宝原料(主要成分为Fe和碳粉),并滴加几滴水,分别用压强、 氧气浓度和温度三种数字传感器绘制出数据变化图像如图2所示,下列说法中不正确的是 A. I为温度变化曲线 B. II为压强变化曲线 C. Ⅲ为氧气浓度变化曲线 D. 如果暖宝宝原料足量压强可降至0 第二部分 非选择题(共45分,每空1分) 【生活现象解释】 26. 中国探月工程“绕”“落”“回”三步走规划如期完成。回答下列问题: 的 (1)嫦娥一号利用干涉成像光谱仪获得月球Fe和Ti等元素 含量。铁元素与钛元素的本质区别是_____。 (2)嫦娥二号由长征三号丙火箭送入既定轨道。长征三号丙火箭的三级推进剂为液氢和液氧,在点燃条 件下两者发生反应的化学方程式为_____。 (3)嫦娥三号着陆地球表面,对可能存在的He-3等进行探测。He-3原子的原子核内有2个质子和1个中 子,其原子核外电子数为_____。的 (4)嫦娥四号 月球车靠太阳能从月夜中唤醒,已完成25个月昼的探测工作。下列能源中,与太阳能一 样属于新能源的是_____。 A 风能 B 潮汐能 C 化石燃料 (5)2020年12月17日,嫦娥五号携带月壤样品成功返回地球。月球岩石中的长石以钙长石(CaO· Al O·2SiO) 为主,钙长石由_____种元素组成。 2 3 2 27. 《2050年世界与中国能源展望-2019版》预测,未来30年,世界能源结构将发生如图所示的变化。回 答下列问题: (1)化石燃料是指天然气、煤和_____。 (2)天然气燃烧的化学方程式为_____。 (3)未来30年,能源发展的总趋势是_____。 28. 小明网购金鱼时,暖心的商家附赠了一包增氧颗粒(如图),其有效成分为过碳酸钠 (2NaCO·3H O)。 2 3 2 2 (1)过碳酸钠溶于水时分解为过氧化氢和碳酸钠,过氧化氢分解生成氧气的化学方程式为_____。 (2)向增氧颗粒上滴加稀盐酸,有大量气泡产生,检验该气体为二氧化碳的操作是_____。 29. 钢铁有工业的骨骼之称。工业上用赤铁矿(主要成分为Fe O)炼铁的化学方程式为_____。 2 3 【科普阅读理解】 30. 臭氧层位于距地面20-50公里的上空,其作用之一是保护地球上的人类和动植物免遭短波紫外线的伤害。在紫外线照射下,氧气和臭氧之间转化关系为3O 2O。臭氧(O)是一种淡蓝色、有刺激气味 2 3 3 的氧化性气体,空气中臭氧浓度太高会刺激人的呼吸道,引发支气管炎和肺气肿等。 城市空气中的臭氧主要是由汽车、石油化工等排放的氮氧化物(NO )和挥发性有机物(VOCs)在大气中 X 进行复杂的光化学反应而产生。 研究臭氧浓度的日变化规律与空气中NO 浓度、气温的关系,结果如下图所示。 2 回答下列问题: (1)氧气在紫外线照射下转化为臭氧的过程属于_____变化。 (2)臭氧与氧气性质的不同点有_____(写出两点)。 (3)臭氧的日间(7:00-19:00)变化与气温的关系是_____。 (4)下列说法正确的是_____。 A臭氧层对人类有保护作用 B二氧化氮也是空气污染物之一 C晴朗的夏天,更有可能形成臭氧污染 D湿度与臭氧浓度的关系跟气温与臭氧浓度的关系相似 【生产实际分析】 31. 自来水生产过程如图所示。回答下列问题: (1)明矾[KAl(SO )·12H O]中含有的金属元素是_____。 4 2 2 (2)清水池中盛放的清水属于_____。 A 纯净物 B 单质 C 混合物 D 氧化物 (3)上述流程中起过滤作用的是_____。 32. 海水是一个巨大的化学资源宝库。海水综合利用可获取很多物质,其部分工业流程如下: 回答下列问题: (1)使海水淡化的方法有_____(写出一种即可)。 (2)反应②有NaCl生成,其化学方程式为_____。 (3)上述流程中,与反应②类型相同的反应是_____。 【实际应用定量分析】 33. 使用氢能可实现如图所示的绿色循环。我国科学家研究用BiVO 提高光催化分解水的转化率取得重大 4 进展。用该方法分解18克水,可得到氢气多少克?(请分别依据化学式和化学方程式计算) 【基本实验及其原理分析】 34. 结合下图所示装置回答问题:(1)仪器a的名称是_____。 (2)实验室制取并收集一瓶CO,选择的装置是_____。 2 的 (3)能用E装置收集 气体具有的性质是_____。 (4)用AC连接制取O,发生反应的化学方程式为_____。检验氧气是否收集满的方法是_____。 2 35. 依据下图所示实验回答问题。 (1)A实验中观察到的现象是_____。 (2)B实验中观察到天平的指针_____(填“向左”“不”或“向右”)偏转。 (3)C实验的目的是_____。 36. 为了探究相关金属的活动性,设计了如下图所示的实验。 (1)实验①的目的是_____。 (2)实验②中发生反应的反应方程式为_____。 (3)该探究得到的实验结论是_____。 37. 用下图所示实验探究CO 的性质。 2的 (1)证明二氧化碳能与水反应,依据 实验现象为_____。 (2)c处发生反应的化学方程式为_____。 (3)d处观察到燃烧的蜡烛自下而上依次熄灭,说明二氧化碳具有的性质是_____。 【科学探究】 38. 84消毒液是生活中常用的一种消毒液,实验小组对其进行研究。 【查阅资料】 Ⅰ、 84消毒液的有效成分为次氯酸钠(NaClO)。 Ⅱ、消毒原理是使菌体蛋白质变性,变性程度越大,消毒效果越好。鸡蛋清中的蛋白质变性时变为白色固 体。 Ⅲ、ORP指漂白能力,ORP数值越大,漂白能力越强。 【进行实验】 实验1:在鸡蛋清中加入不同浓度的消毒液,静置15min现象如下表。 序号 1-1 1-2 1-3 1-4 实验 操作 实验 液体表面产生大量气泡,无 液体中产生大量白 液体中产生少量白 液体中产生极少量白 现象 其他现象 色固体 色固体 色固体 实验2:探究影响84消毒液漂白性的因素 序号 2-1 2-2 取四个烧杯,分别倒入30mL浓度为1:100 的84 取烧杯倒入30mL浓度为1:100 的84 实验操作 消毒液,并置于20°C、30°C、40°C、50°C恒温箱 消毒液,在距烧杯10 cm处进行光 加热,测量 ORP 变化 照,测量 ORP 变化测量数据 【反思与评价】综合考虑实验2的探究过程,回答下列问题: (1)实验2-1设计中_____(填“有”或“无”)光照。实验2-2的中最好将温度控制在_____。 【解释与结论】 (1)次氯酸钠(NaClO)中氯元素的化合价为_____。 (2)实验1的目的是_____。 (3)实验2-1得出的结论是_____。 (4)由2-2能否得出光照是影响84消毒液漂白性的因素之一,请说明理由 _____。本试卷的题干、答案和解析均由组卷网(http://zujuan.xkw.com)专业教师团队编校出品。 登录组卷网可对本试卷进行单题组卷、细目表分析、布置作业、举一反三等操作。 试卷地址:在组卷网浏览本卷 组卷网是学科网旗下的在线题库平台,覆盖小初高全学段全学科、超过900万精品解析试题。 关注组卷网服务号,可使用移动教学助手功能(布置作业、线上考试、加入错题本、错题训练)。 学科网长期征集全国最新统考试卷、名校试卷、原创题,赢取丰厚稿酬,欢迎合作。 钱老师 QQ:537008204 曹老师 QQ:713000635
基本 文件 流程 错误 SQL 调试
  1. 请求信息 : 2026-03-09 20:53:11 HTTP/1.1 GET : https://www.yeyulingfeng.com/wendang/367005.html
  2. 运行时间 : 0.109021s [ 吞吐率:9.17req/s ] 内存消耗:5,527.67kb 文件加载:144
  3. 缓存信息 : 0 reads,0 writes
  4. 会话信息 : SESSION_ID=77ca00788156f943b8f7c2def2e83106
  1. /yingpanguazai/ssd/ssd1/www/wwww.yeyulingfeng.com/public/index.php ( 0.79 KB )
  2. /yingpanguazai/ssd/ssd1/www/wwww.yeyulingfeng.com/vendor/autoload.php ( 0.17 KB )
  3. /yingpanguazai/ssd/ssd1/www/wwww.yeyulingfeng.com/vendor/composer/autoload_real.php ( 2.49 KB )
  4. /yingpanguazai/ssd/ssd1/www/wwww.yeyulingfeng.com/vendor/composer/platform_check.php ( 0.90 KB )
  5. /yingpanguazai/ssd/ssd1/www/wwww.yeyulingfeng.com/vendor/composer/ClassLoader.php ( 14.03 KB )
  6. /yingpanguazai/ssd/ssd1/www/wwww.yeyulingfeng.com/vendor/composer/autoload_static.php ( 6.05 KB )
  7. /yingpanguazai/ssd/ssd1/www/wwww.yeyulingfeng.com/vendor/topthink/think-helper/src/helper.php ( 8.34 KB )
  8. /yingpanguazai/ssd/ssd1/www/wwww.yeyulingfeng.com/vendor/topthink/think-validate/src/helper.php ( 2.19 KB )
  9. /yingpanguazai/ssd/ssd1/www/wwww.yeyulingfeng.com/vendor/ralouphie/getallheaders/src/getallheaders.php ( 1.60 KB )
  10. /yingpanguazai/ssd/ssd1/www/wwww.yeyulingfeng.com/vendor/topthink/think-orm/src/helper.php ( 1.47 KB )
  11. /yingpanguazai/ssd/ssd1/www/wwww.yeyulingfeng.com/vendor/topthink/think-orm/stubs/load_stubs.php ( 0.16 KB )
  12. /yingpanguazai/ssd/ssd1/www/wwww.yeyulingfeng.com/vendor/topthink/framework/src/think/Exception.php ( 1.69 KB )
  13. /yingpanguazai/ssd/ssd1/www/wwww.yeyulingfeng.com/vendor/topthink/think-container/src/Facade.php ( 2.71 KB )
  14. /yingpanguazai/ssd/ssd1/www/wwww.yeyulingfeng.com/vendor/symfony/deprecation-contracts/function.php ( 0.99 KB )
  15. /yingpanguazai/ssd/ssd1/www/wwww.yeyulingfeng.com/vendor/symfony/polyfill-mbstring/bootstrap.php ( 8.26 KB )
  16. /yingpanguazai/ssd/ssd1/www/wwww.yeyulingfeng.com/vendor/symfony/polyfill-mbstring/bootstrap80.php ( 9.78 KB )
  17. /yingpanguazai/ssd/ssd1/www/wwww.yeyulingfeng.com/vendor/symfony/var-dumper/Resources/functions/dump.php ( 1.49 KB )
  18. /yingpanguazai/ssd/ssd1/www/wwww.yeyulingfeng.com/vendor/topthink/think-dumper/src/helper.php ( 0.18 KB )
  19. /yingpanguazai/ssd/ssd1/www/wwww.yeyulingfeng.com/vendor/symfony/var-dumper/VarDumper.php ( 4.30 KB )
  20. /yingpanguazai/ssd/ssd1/www/wwww.yeyulingfeng.com/vendor/guzzlehttp/guzzle/src/functions_include.php ( 0.16 KB )
  21. /yingpanguazai/ssd/ssd1/www/wwww.yeyulingfeng.com/vendor/guzzlehttp/guzzle/src/functions.php ( 5.54 KB )
  22. /yingpanguazai/ssd/ssd1/www/wwww.yeyulingfeng.com/vendor/topthink/framework/src/think/App.php ( 15.30 KB )
  23. /yingpanguazai/ssd/ssd1/www/wwww.yeyulingfeng.com/vendor/topthink/think-container/src/Container.php ( 15.76 KB )
  24. /yingpanguazai/ssd/ssd1/www/wwww.yeyulingfeng.com/vendor/psr/container/src/ContainerInterface.php ( 1.02 KB )
  25. /yingpanguazai/ssd/ssd1/www/wwww.yeyulingfeng.com/app/provider.php ( 0.19 KB )
  26. /yingpanguazai/ssd/ssd1/www/wwww.yeyulingfeng.com/vendor/topthink/framework/src/think/Http.php ( 6.04 KB )
  27. /yingpanguazai/ssd/ssd1/www/wwww.yeyulingfeng.com/vendor/topthink/think-helper/src/helper/Str.php ( 7.29 KB )
  28. /yingpanguazai/ssd/ssd1/www/wwww.yeyulingfeng.com/vendor/topthink/framework/src/think/Env.php ( 4.68 KB )
  29. /yingpanguazai/ssd/ssd1/www/wwww.yeyulingfeng.com/app/common.php ( 0.03 KB )
  30. /yingpanguazai/ssd/ssd1/www/wwww.yeyulingfeng.com/vendor/topthink/framework/src/helper.php ( 18.78 KB )
  31. /yingpanguazai/ssd/ssd1/www/wwww.yeyulingfeng.com/vendor/topthink/framework/src/think/Config.php ( 5.54 KB )
  32. /yingpanguazai/ssd/ssd1/www/wwww.yeyulingfeng.com/config/alipay.php ( 3.59 KB )
  33. /yingpanguazai/ssd/ssd1/www/wwww.yeyulingfeng.com/vendor/topthink/framework/src/think/facade/Env.php ( 1.67 KB )
  34. /yingpanguazai/ssd/ssd1/www/wwww.yeyulingfeng.com/config/app.php ( 0.95 KB )
  35. /yingpanguazai/ssd/ssd1/www/wwww.yeyulingfeng.com/config/cache.php ( 0.78 KB )
  36. /yingpanguazai/ssd/ssd1/www/wwww.yeyulingfeng.com/config/console.php ( 0.23 KB )
  37. /yingpanguazai/ssd/ssd1/www/wwww.yeyulingfeng.com/config/cookie.php ( 0.56 KB )
  38. /yingpanguazai/ssd/ssd1/www/wwww.yeyulingfeng.com/config/database.php ( 2.48 KB )
  39. /yingpanguazai/ssd/ssd1/www/wwww.yeyulingfeng.com/config/filesystem.php ( 0.61 KB )
  40. /yingpanguazai/ssd/ssd1/www/wwww.yeyulingfeng.com/config/lang.php ( 0.91 KB )
  41. /yingpanguazai/ssd/ssd1/www/wwww.yeyulingfeng.com/config/log.php ( 1.35 KB )
  42. /yingpanguazai/ssd/ssd1/www/wwww.yeyulingfeng.com/config/middleware.php ( 0.19 KB )
  43. /yingpanguazai/ssd/ssd1/www/wwww.yeyulingfeng.com/config/route.php ( 1.89 KB )
  44. /yingpanguazai/ssd/ssd1/www/wwww.yeyulingfeng.com/config/session.php ( 0.57 KB )
  45. /yingpanguazai/ssd/ssd1/www/wwww.yeyulingfeng.com/config/trace.php ( 0.34 KB )
  46. /yingpanguazai/ssd/ssd1/www/wwww.yeyulingfeng.com/config/view.php ( 0.82 KB )
  47. /yingpanguazai/ssd/ssd1/www/wwww.yeyulingfeng.com/app/event.php ( 0.25 KB )
  48. /yingpanguazai/ssd/ssd1/www/wwww.yeyulingfeng.com/vendor/topthink/framework/src/think/Event.php ( 7.67 KB )
  49. /yingpanguazai/ssd/ssd1/www/wwww.yeyulingfeng.com/app/service.php ( 0.13 KB )
  50. /yingpanguazai/ssd/ssd1/www/wwww.yeyulingfeng.com/app/AppService.php ( 0.26 KB )
  51. /yingpanguazai/ssd/ssd1/www/wwww.yeyulingfeng.com/vendor/topthink/framework/src/think/Service.php ( 1.64 KB )
  52. /yingpanguazai/ssd/ssd1/www/wwww.yeyulingfeng.com/vendor/topthink/framework/src/think/Lang.php ( 7.35 KB )
  53. /yingpanguazai/ssd/ssd1/www/wwww.yeyulingfeng.com/vendor/topthink/framework/src/lang/zh-cn.php ( 13.70 KB )
  54. /yingpanguazai/ssd/ssd1/www/wwww.yeyulingfeng.com/vendor/topthink/framework/src/think/initializer/Error.php ( 3.31 KB )
  55. /yingpanguazai/ssd/ssd1/www/wwww.yeyulingfeng.com/vendor/topthink/framework/src/think/initializer/RegisterService.php ( 1.33 KB )
  56. /yingpanguazai/ssd/ssd1/www/wwww.yeyulingfeng.com/vendor/services.php ( 0.14 KB )
  57. /yingpanguazai/ssd/ssd1/www/wwww.yeyulingfeng.com/vendor/topthink/framework/src/think/service/PaginatorService.php ( 1.52 KB )
  58. /yingpanguazai/ssd/ssd1/www/wwww.yeyulingfeng.com/vendor/topthink/framework/src/think/service/ValidateService.php ( 0.99 KB )
  59. /yingpanguazai/ssd/ssd1/www/wwww.yeyulingfeng.com/vendor/topthink/framework/src/think/service/ModelService.php ( 2.04 KB )
  60. /yingpanguazai/ssd/ssd1/www/wwww.yeyulingfeng.com/vendor/topthink/think-trace/src/Service.php ( 0.77 KB )
  61. /yingpanguazai/ssd/ssd1/www/wwww.yeyulingfeng.com/vendor/topthink/framework/src/think/Middleware.php ( 6.72 KB )
  62. /yingpanguazai/ssd/ssd1/www/wwww.yeyulingfeng.com/vendor/topthink/framework/src/think/initializer/BootService.php ( 0.77 KB )
  63. /yingpanguazai/ssd/ssd1/www/wwww.yeyulingfeng.com/vendor/topthink/think-orm/src/Paginator.php ( 11.86 KB )
  64. /yingpanguazai/ssd/ssd1/www/wwww.yeyulingfeng.com/vendor/topthink/think-validate/src/Validate.php ( 63.20 KB )
  65. /yingpanguazai/ssd/ssd1/www/wwww.yeyulingfeng.com/vendor/topthink/think-orm/src/Model.php ( 23.55 KB )
  66. /yingpanguazai/ssd/ssd1/www/wwww.yeyulingfeng.com/vendor/topthink/think-orm/src/model/concern/Attribute.php ( 21.05 KB )
  67. /yingpanguazai/ssd/ssd1/www/wwww.yeyulingfeng.com/vendor/topthink/think-orm/src/model/concern/AutoWriteData.php ( 4.21 KB )
  68. /yingpanguazai/ssd/ssd1/www/wwww.yeyulingfeng.com/vendor/topthink/think-orm/src/model/concern/Conversion.php ( 6.44 KB )
  69. /yingpanguazai/ssd/ssd1/www/wwww.yeyulingfeng.com/vendor/topthink/think-orm/src/model/concern/DbConnect.php ( 5.16 KB )
  70. /yingpanguazai/ssd/ssd1/www/wwww.yeyulingfeng.com/vendor/topthink/think-orm/src/model/concern/ModelEvent.php ( 2.33 KB )
  71. /yingpanguazai/ssd/ssd1/www/wwww.yeyulingfeng.com/vendor/topthink/think-orm/src/model/concern/RelationShip.php ( 28.29 KB )
  72. /yingpanguazai/ssd/ssd1/www/wwww.yeyulingfeng.com/vendor/topthink/think-helper/src/contract/Arrayable.php ( 0.09 KB )
  73. /yingpanguazai/ssd/ssd1/www/wwww.yeyulingfeng.com/vendor/topthink/think-helper/src/contract/Jsonable.php ( 0.13 KB )
  74. /yingpanguazai/ssd/ssd1/www/wwww.yeyulingfeng.com/vendor/topthink/think-orm/src/model/contract/Modelable.php ( 0.09 KB )
  75. /yingpanguazai/ssd/ssd1/www/wwww.yeyulingfeng.com/vendor/topthink/framework/src/think/Db.php ( 2.88 KB )
  76. /yingpanguazai/ssd/ssd1/www/wwww.yeyulingfeng.com/vendor/topthink/think-orm/src/DbManager.php ( 8.52 KB )
  77. /yingpanguazai/ssd/ssd1/www/wwww.yeyulingfeng.com/vendor/topthink/framework/src/think/Log.php ( 6.28 KB )
  78. /yingpanguazai/ssd/ssd1/www/wwww.yeyulingfeng.com/vendor/topthink/framework/src/think/Manager.php ( 3.92 KB )
  79. /yingpanguazai/ssd/ssd1/www/wwww.yeyulingfeng.com/vendor/psr/log/src/LoggerTrait.php ( 2.69 KB )
  80. /yingpanguazai/ssd/ssd1/www/wwww.yeyulingfeng.com/vendor/psr/log/src/LoggerInterface.php ( 2.71 KB )
  81. /yingpanguazai/ssd/ssd1/www/wwww.yeyulingfeng.com/vendor/topthink/framework/src/think/Cache.php ( 4.92 KB )
  82. /yingpanguazai/ssd/ssd1/www/wwww.yeyulingfeng.com/vendor/psr/simple-cache/src/CacheInterface.php ( 4.71 KB )
  83. /yingpanguazai/ssd/ssd1/www/wwww.yeyulingfeng.com/vendor/topthink/think-helper/src/helper/Arr.php ( 16.63 KB )
  84. /yingpanguazai/ssd/ssd1/www/wwww.yeyulingfeng.com/vendor/topthink/framework/src/think/cache/driver/File.php ( 7.84 KB )
  85. /yingpanguazai/ssd/ssd1/www/wwww.yeyulingfeng.com/vendor/topthink/framework/src/think/cache/Driver.php ( 9.03 KB )
  86. /yingpanguazai/ssd/ssd1/www/wwww.yeyulingfeng.com/vendor/topthink/framework/src/think/contract/CacheHandlerInterface.php ( 1.99 KB )
  87. /yingpanguazai/ssd/ssd1/www/wwww.yeyulingfeng.com/app/Request.php ( 0.09 KB )
  88. /yingpanguazai/ssd/ssd1/www/wwww.yeyulingfeng.com/vendor/topthink/framework/src/think/Request.php ( 55.78 KB )
  89. /yingpanguazai/ssd/ssd1/www/wwww.yeyulingfeng.com/app/middleware.php ( 0.25 KB )
  90. /yingpanguazai/ssd/ssd1/www/wwww.yeyulingfeng.com/vendor/topthink/framework/src/think/Pipeline.php ( 2.61 KB )
  91. /yingpanguazai/ssd/ssd1/www/wwww.yeyulingfeng.com/vendor/topthink/think-trace/src/TraceDebug.php ( 3.40 KB )
  92. /yingpanguazai/ssd/ssd1/www/wwww.yeyulingfeng.com/vendor/topthink/framework/src/think/middleware/SessionInit.php ( 1.94 KB )
  93. /yingpanguazai/ssd/ssd1/www/wwww.yeyulingfeng.com/vendor/topthink/framework/src/think/Session.php ( 1.80 KB )
  94. /yingpanguazai/ssd/ssd1/www/wwww.yeyulingfeng.com/vendor/topthink/framework/src/think/session/driver/File.php ( 6.27 KB )
  95. /yingpanguazai/ssd/ssd1/www/wwww.yeyulingfeng.com/vendor/topthink/framework/src/think/contract/SessionHandlerInterface.php ( 0.87 KB )
  96. /yingpanguazai/ssd/ssd1/www/wwww.yeyulingfeng.com/vendor/topthink/framework/src/think/session/Store.php ( 7.12 KB )
  97. /yingpanguazai/ssd/ssd1/www/wwww.yeyulingfeng.com/vendor/topthink/framework/src/think/Route.php ( 23.73 KB )
  98. /yingpanguazai/ssd/ssd1/www/wwww.yeyulingfeng.com/vendor/topthink/framework/src/think/route/RuleName.php ( 5.75 KB )
  99. /yingpanguazai/ssd/ssd1/www/wwww.yeyulingfeng.com/vendor/topthink/framework/src/think/route/Domain.php ( 2.53 KB )
  100. /yingpanguazai/ssd/ssd1/www/wwww.yeyulingfeng.com/vendor/topthink/framework/src/think/route/RuleGroup.php ( 22.43 KB )
  101. /yingpanguazai/ssd/ssd1/www/wwww.yeyulingfeng.com/vendor/topthink/framework/src/think/route/Rule.php ( 26.95 KB )
  102. /yingpanguazai/ssd/ssd1/www/wwww.yeyulingfeng.com/vendor/topthink/framework/src/think/route/RuleItem.php ( 9.78 KB )
  103. /yingpanguazai/ssd/ssd1/www/wwww.yeyulingfeng.com/route/app.php ( 3.82 KB )
  104. /yingpanguazai/ssd/ssd1/www/wwww.yeyulingfeng.com/vendor/topthink/framework/src/think/facade/Route.php ( 4.70 KB )
  105. /yingpanguazai/ssd/ssd1/www/wwww.yeyulingfeng.com/vendor/topthink/framework/src/think/route/dispatch/Controller.php ( 4.74 KB )
  106. /yingpanguazai/ssd/ssd1/www/wwww.yeyulingfeng.com/vendor/topthink/framework/src/think/route/Dispatch.php ( 10.44 KB )
  107. /yingpanguazai/ssd/ssd1/www/wwww.yeyulingfeng.com/app/controller/Index.php ( 9.69 KB )
  108. /yingpanguazai/ssd/ssd1/www/wwww.yeyulingfeng.com/app/BaseController.php ( 2.05 KB )
  109. /yingpanguazai/ssd/ssd1/www/wwww.yeyulingfeng.com/vendor/topthink/think-orm/src/facade/Db.php ( 0.93 KB )
  110. /yingpanguazai/ssd/ssd1/www/wwww.yeyulingfeng.com/vendor/topthink/think-orm/src/db/connector/Mysql.php ( 5.44 KB )
  111. /yingpanguazai/ssd/ssd1/www/wwww.yeyulingfeng.com/vendor/topthink/think-orm/src/db/PDOConnection.php ( 52.47 KB )
  112. /yingpanguazai/ssd/ssd1/www/wwww.yeyulingfeng.com/vendor/topthink/think-orm/src/db/Connection.php ( 8.39 KB )
  113. /yingpanguazai/ssd/ssd1/www/wwww.yeyulingfeng.com/vendor/topthink/think-orm/src/db/ConnectionInterface.php ( 4.57 KB )
  114. /yingpanguazai/ssd/ssd1/www/wwww.yeyulingfeng.com/vendor/topthink/think-orm/src/db/builder/Mysql.php ( 16.58 KB )
  115. /yingpanguazai/ssd/ssd1/www/wwww.yeyulingfeng.com/vendor/topthink/think-orm/src/db/Builder.php ( 24.06 KB )
  116. /yingpanguazai/ssd/ssd1/www/wwww.yeyulingfeng.com/vendor/topthink/think-orm/src/db/BaseBuilder.php ( 27.50 KB )
  117. /yingpanguazai/ssd/ssd1/www/wwww.yeyulingfeng.com/vendor/topthink/think-orm/src/db/Query.php ( 15.71 KB )
  118. /yingpanguazai/ssd/ssd1/www/wwww.yeyulingfeng.com/vendor/topthink/think-orm/src/db/BaseQuery.php ( 45.13 KB )
  119. /yingpanguazai/ssd/ssd1/www/wwww.yeyulingfeng.com/vendor/topthink/think-orm/src/db/concern/TimeFieldQuery.php ( 7.43 KB )
  120. /yingpanguazai/ssd/ssd1/www/wwww.yeyulingfeng.com/vendor/topthink/think-orm/src/db/concern/AggregateQuery.php ( 3.26 KB )
  121. /yingpanguazai/ssd/ssd1/www/wwww.yeyulingfeng.com/vendor/topthink/think-orm/src/db/concern/ModelRelationQuery.php ( 20.07 KB )
  122. /yingpanguazai/ssd/ssd1/www/wwww.yeyulingfeng.com/vendor/topthink/think-orm/src/db/concern/ParamsBind.php ( 3.66 KB )
  123. /yingpanguazai/ssd/ssd1/www/wwww.yeyulingfeng.com/vendor/topthink/think-orm/src/db/concern/ResultOperation.php ( 7.01 KB )
  124. /yingpanguazai/ssd/ssd1/www/wwww.yeyulingfeng.com/vendor/topthink/think-orm/src/db/concern/WhereQuery.php ( 19.37 KB )
  125. /yingpanguazai/ssd/ssd1/www/wwww.yeyulingfeng.com/vendor/topthink/think-orm/src/db/concern/JoinAndViewQuery.php ( 7.11 KB )
  126. /yingpanguazai/ssd/ssd1/www/wwww.yeyulingfeng.com/vendor/topthink/think-orm/src/db/concern/TableFieldInfo.php ( 2.63 KB )
  127. /yingpanguazai/ssd/ssd1/www/wwww.yeyulingfeng.com/vendor/topthink/think-orm/src/db/concern/Transaction.php ( 2.77 KB )
  128. /yingpanguazai/ssd/ssd1/www/wwww.yeyulingfeng.com/vendor/topthink/framework/src/think/log/driver/File.php ( 5.96 KB )
  129. /yingpanguazai/ssd/ssd1/www/wwww.yeyulingfeng.com/vendor/topthink/framework/src/think/contract/LogHandlerInterface.php ( 0.86 KB )
  130. /yingpanguazai/ssd/ssd1/www/wwww.yeyulingfeng.com/vendor/topthink/framework/src/think/log/Channel.php ( 3.89 KB )
  131. /yingpanguazai/ssd/ssd1/www/wwww.yeyulingfeng.com/vendor/topthink/framework/src/think/event/LogRecord.php ( 1.02 KB )
  132. /yingpanguazai/ssd/ssd1/www/wwww.yeyulingfeng.com/vendor/topthink/think-helper/src/Collection.php ( 16.47 KB )
  133. /yingpanguazai/ssd/ssd1/www/wwww.yeyulingfeng.com/vendor/topthink/framework/src/think/facade/View.php ( 1.70 KB )
  134. /yingpanguazai/ssd/ssd1/www/wwww.yeyulingfeng.com/vendor/topthink/framework/src/think/View.php ( 4.39 KB )
  135. /yingpanguazai/ssd/ssd1/www/wwww.yeyulingfeng.com/vendor/topthink/framework/src/think/Response.php ( 8.81 KB )
  136. /yingpanguazai/ssd/ssd1/www/wwww.yeyulingfeng.com/vendor/topthink/framework/src/think/response/View.php ( 3.29 KB )
  137. /yingpanguazai/ssd/ssd1/www/wwww.yeyulingfeng.com/vendor/topthink/framework/src/think/Cookie.php ( 6.06 KB )
  138. /yingpanguazai/ssd/ssd1/www/wwww.yeyulingfeng.com/vendor/topthink/think-view/src/Think.php ( 8.38 KB )
  139. /yingpanguazai/ssd/ssd1/www/wwww.yeyulingfeng.com/vendor/topthink/framework/src/think/contract/TemplateHandlerInterface.php ( 1.60 KB )
  140. /yingpanguazai/ssd/ssd1/www/wwww.yeyulingfeng.com/vendor/topthink/think-template/src/Template.php ( 46.61 KB )
  141. /yingpanguazai/ssd/ssd1/www/wwww.yeyulingfeng.com/vendor/topthink/think-template/src/template/driver/File.php ( 2.41 KB )
  142. /yingpanguazai/ssd/ssd1/www/wwww.yeyulingfeng.com/vendor/topthink/think-template/src/template/contract/DriverInterface.php ( 0.86 KB )
  143. /yingpanguazai/ssd/ssd1/www/wwww.yeyulingfeng.com/runtime/temp/10a0c909b6afa23b5a52a2e2d58c3c0f.php ( 21.72 KB )
  144. /yingpanguazai/ssd/ssd1/www/wwww.yeyulingfeng.com/vendor/topthink/think-trace/src/Html.php ( 4.42 KB )
  1. CONNECT:[ UseTime:0.000675s ] mysql:host=127.0.0.1;port=3306;dbname=wenku;charset=utf8mb4
  2. SHOW FULL COLUMNS FROM `fenlei` [ RunTime:0.000652s ]
  3. SELECT * FROM `fenlei` WHERE `fid` = 0 [ RunTime:0.000307s ]
  4. SELECT * FROM `fenlei` WHERE `fid` = 63 [ RunTime:0.000312s ]
  5. SHOW FULL COLUMNS FROM `set` [ RunTime:0.000606s ]
  6. SELECT * FROM `set` [ RunTime:0.000212s ]
  7. SHOW FULL COLUMNS FROM `wendang` [ RunTime:0.000680s ]
  8. SELECT * FROM `wendang` WHERE `id` = 367005 LIMIT 1 [ RunTime:0.000652s ]
  9. UPDATE `wendang` SET `liulancishu` = 1 WHERE `id` = 367005 [ RunTime:0.011536s ]
  10. UPDATE `wendang` SET `lasttime` = 1773060791 WHERE `id` = 367005 [ RunTime:0.000606s ]
  11. SELECT * FROM `wendang` WHERE `id` < 367005 ORDER BY `id` DESC LIMIT 1 [ RunTime:0.000542s ]
  12. SELECT * FROM `wendang` WHERE `id` > 367005 ORDER BY `id` ASC LIMIT 1 [ RunTime:0.002052s ]
  13. SELECT * FROM `wendang` WHERE `id` <> 367005 ORDER BY `id` DESC LIMIT 10 [ RunTime:0.004361s ]
  14. SELECT * FROM `wendang` WHERE `id` <> 367005 ORDER BY `id` DESC LIMIT 10,10 [ RunTime:0.011320s ]
  15. SELECT * FROM `wendang` WHERE `id` <> 367005 ORDER BY `id` DESC LIMIT 20,10 [ RunTime:0.002472s ]
0.110805s