当前位置:首页>文档>精品解析:北京市首都师范大学第二附属中学2023-2024学年上学期八年级物理10月测试题(原卷版)(1)_北京初中期末题_C605-京七八九_B京物理八九_物理_八年级上学期物理_2023-2024

精品解析:北京市首都师范大学第二附属中学2023-2024学年上学期八年级物理10月测试题(原卷版)(1)_北京初中期末题_C605-京七八九_B京物理八九_物理_八年级上学期物理_2023-2024

  • 2026-03-09 22:07:14 2026-03-09 22:07:14

文档预览

精品解析:北京市首都师范大学第二附属中学2023-2024学年上学期八年级物理10月测试题(原卷版)(1)_北京初中期末题_C605-京七八九_B京物理八九_物理_八年级上学期物理_2023-2024
精品解析:北京市首都师范大学第二附属中学2023-2024学年上学期八年级物理10月测试题(原卷版)(1)_北京初中期末题_C605-京七八九_B京物理八九_物理_八年级上学期物理_2023-2024
精品解析:北京市首都师范大学第二附属中学2023-2024学年上学期八年级物理10月测试题(原卷版)(1)_北京初中期末题_C605-京七八九_B京物理八九_物理_八年级上学期物理_2023-2024
精品解析:北京市首都师范大学第二附属中学2023-2024学年上学期八年级物理10月测试题(原卷版)(1)_北京初中期末题_C605-京七八九_B京物理八九_物理_八年级上学期物理_2023-2024
精品解析:北京市首都师范大学第二附属中学2023-2024学年上学期八年级物理10月测试题(原卷版)(1)_北京初中期末题_C605-京七八九_B京物理八九_物理_八年级上学期物理_2023-2024
精品解析:北京市首都师范大学第二附属中学2023-2024学年上学期八年级物理10月测试题(原卷版)(1)_北京初中期末题_C605-京七八九_B京物理八九_物理_八年级上学期物理_2023-2024
精品解析:北京市首都师范大学第二附属中学2023-2024学年上学期八年级物理10月测试题(原卷版)(1)_北京初中期末题_C605-京七八九_B京物理八九_物理_八年级上学期物理_2023-2024
精品解析:北京市首都师范大学第二附属中学2023-2024学年上学期八年级物理10月测试题(原卷版)(1)_北京初中期末题_C605-京七八九_B京物理八九_物理_八年级上学期物理_2023-2024
精品解析:北京市首都师范大学第二附属中学2023-2024学年上学期八年级物理10月测试题(原卷版)(1)_北京初中期末题_C605-京七八九_B京物理八九_物理_八年级上学期物理_2023-2024

文档信息

文档格式
docx
文档大小
0.622 MB
文档页数
9 页
上传时间
2026-03-09 22:07:14

文档内容

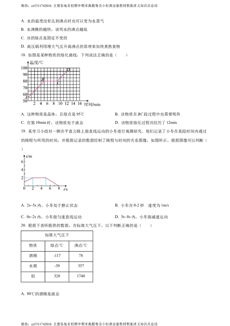
微信:cs5311742016 主营各地名校期中期末真题卷及小初高全套教材教案讲义知识点总结 初二年级物理练习 一、单项选择题(下列各小题均有四个选项,其中只有一个选项符合题意。共30分,每小题 2分) 1. 在国际单位制中,时间的单位为( ) A. 小时(h) B. 秒(s) C. 分钟(min) D. 摄氏度(℃) 2. 下列物态变化过程属于液化的是( ) A. 春天,冰封的湖面开始解冻 B. 夏天,打开冰棍纸看到“白气” C. 冬天,冰冻的衣服逐渐变干 D. 深秋,屋顶的瓦上结了一层霜 3. 下列措施中,目的是为了减慢蒸发的是( ) A. 用吹风机吹干头发 B. 冬天将湿衣服晾在暖气上方 C. 将湿衣服展开晾晒 D. 将新鲜的蔬菜装入保鲜袋 4. 估测在实际生活中的应用十分广泛,下列所估测的数据中最接近实际的是( ) A. 播放完一首国歌用时5分钟 B. 我国高铁的速度约为300km/h C. 舒适的房间温度约37℃ D. 普通中学生跑完100m用时约为1min 5. 在颐和园的昆明湖上,小红同学坐在航行的游艇内,若说她是静止的,则所选择的参照物是( ) A. 湖岸 B. 湖水 C. 小红乘坐的游艇 D. 岸边的树 6. 夏天从冰箱中取出的苹果,常看到苹果先湿后干的现象,此现象反映的物态变化过程是 A. 先液化后汽化 B. 先蒸发后汽化 C. 先液化后升华 D. 先凝华后升华 7. 某晶体在熔化过程中温度随时间变化的曲线可能是图中的( ) A. B. C. D. 8. 关于蒸发和沸腾,下列说法中不正确的是( ) A. 都需要吸热 B. 都属于液化现象 C. 液体在任何温度下都可以蒸发,沸腾需要液体温度达到沸点 D. 蒸发只发生在液体表面,沸腾发生在液体的表面和内部 微信:cs5311742016 主营各地名校期中期末真题卷及小初高全套教材教案讲义知识点总结微信:cs5311742016 主营各地名校期中期末真题卷及小初高全套教材教案讲义知识点总结 9. 小明乘车去博物馆的路上,拍摄了一张前方行驶车辆的照片,如图所示。关于路上车辆的运动情况,下 列判断正确的是( ) A. ①号车比②号车运动的快,因为它在②号车的前面 B. ①号车和②号车运动快慢相同,因为它们相对是静止的 C. ②号车行驶在行车道上,肯定不存在超速行驶的行为 D. 若小明每隔0.5s连拍多张照片,就能从他的照片中比较出这段时间内两车运动的快慢 10. 关于熔化和凝固,下列说法中正确的是( ) A. 每种固体都有自己的熔点 B. 同一种晶体的熔点和凝固点不同 C. 非晶体在熔化过程中不需要吸热 D. 冰的温度升高到0℃,它不一定会熔化 11. 下列说法正确的是( ) A. 做匀速直线运动的物体,速度越大,表明物体运动一定越快 B. 1 km/h大于1m/s C. 运动快慢不变的运动一定是匀速直线运动 D. 由 可知,物体运动路程越长,其速度越大 12. 用图象表示物体运动规律,图中表示同一运动规律的是( ) A. 甲图和丙图 B. 甲图和丁图 C. 乙图和丙图 D. 乙图和丁图 13. 甲、乙两小车同时同地同方向做直线运动,它们的s-t图像如图所示。则( ) 微信:cs5311742016 主营各地名校期中期末真题卷及小初高全套教材教案讲义知识点总结微信:cs5311742016 主营各地名校期中期末真题卷及小初高全套教材教案讲义知识点总结 A. 经过6s,甲在乙前面0.8m处 B. 经过足够长的时间,两车会相遇 C. 甲车比乙车运动得快 D. 甲车和乙车都在做加速运动 14. “频闪摄影”是研究物体运动时常用的一种实验方法,摄影在暗室中进行,闪光灯每隔相同的时间闪 亮一次,底片就记录下这时物体的位置;如图是甲、乙两个网球沿水平面从左向右运动时的频闪照片,则 下列说法正确的是( ) A. 从a到b,甲球运动的时间比乙球短 B. 从a到b,甲球的平均速度比乙球大 C. 甲球可能做匀速直线运动 D. 乙球的运动速度越来越大 15. 甲乙两人各乘一台升降机,甲看见楼房在匀速上升,乙也在匀速上升;乙看见楼房在匀速上升,甲在 匀速下降,则他们相当于地面( ) A. 甲乙都下降,但甲比乙慢 B. 甲乙都下降,且甲比乙快 C. 甲上升,乙下降 D. 甲下降,乙上升 二、多项选择题(下列各小题均有四个选项,其中符合题意的选项均多于一个。共15分,每 小题3分。每小题选项全选对的得3分,选对但不全的得2分,有错选的不得分) 16. 下列物态变化中放热的是( ) A. 放在衣箱中的卫生球日久变小 的 B. 冰熔化成水 过程 C. 出炉的钢水变成钢锭的过程 D. 室内的水蒸气在玻璃窗上形成冰花的过程 17. 下列有关热现象的说法中,正确的是( ) 微信:cs5311742016 主营各地名校期中期末真题卷及小初高全套教材教案讲义知识点总结微信:cs5311742016 主营各地名校期中期末真题卷及小初高全套教材教案讲义知识点总结 A. 水的温度没有达到沸点时也可以变为水蒸气 B. 水沸腾的越快,说明水的沸点越低 C. 冰的熔点是固定不变的 D. 高压锅利用增大气压升高沸点的原理来加快煮熟食物 18. 如图是某种物质的熔化曲线,下列说法正确的是( ) A. 这种物质是晶体,且熔点是95℃ B. 该物质在BC段过程中也需要吸热 C. 在第10min时,该物质处于液态 D. 该物质熔化过程共经历了12min 19. 某学习小组对一辆在平直公路上做直线运动的小车进行观测研究。他们记录了小车在某段时间内通过 的路程与所用的时间,并根据记录的数据绘制了路程与时间的关系图像,如图所示。根据图像可以判断( ) 的 A. 2s~5s内,小车处于静止状态 B. 小车在0-2秒 速度为1m/s C. 0s~2s内,小车做匀速直线运动 D. 5s~8s内,小车做减速运动 20. 根据下表所提供的数据,在标准大气压下,以下判断正确的是( ) 标准大气压下 物质 熔点/℃ 沸点/℃ 酒精 -117 78 水银 -39 357 铅 328 1740 A. 80℃的酒精是液态 微信:cs5311742016 主营各地名校期中期末真题卷及小初高全套教材教案讲义知识点总结微信:cs5311742016 主营各地名校期中期末真题卷及小初高全套教材教案讲义知识点总结 B. 气温接近-50℃时,在酒精和水银中,应选用酒精做温度计的测温物质 的 C. -39℃ 水银吸热,温度可能不变 D. 铅的凝固点是328℃ 三、实验探究题(共46分,每空2分) 21. (1)如图所示体温计的示数是__________℃; (2)如图所示温度计的示数是___________℃。 22. 小东在探究冰和石蜡的熔化规律时,用两个相同的酒精灯持续给冰和石蜡加热,每隔1 min分别记录 冰和石蜡的温度,实验数据如下表所示。请根据表中的实验数据回答下列问题。 加热时间/min 0 1 2 3 4 5 6 7 8 9 10 11 12 冰的温度/℃ -6 -4 -2 0 0 0 0 0 0 0 1 2 3 石蜡的温度/℃ 25 27 28 30 32 34 36 38 40 42 44 46 48 (1)在冰和石蜡两种物质中,属于晶体的是_________(选填“冰”或“石蜡”)。你的判断依据是 _________; (2)在4~8 min内,冰_________(选填“吸收”或“不吸收”)热量,温度不变; (3)在10~12 min内,冰处于_________(选填“固”“液”或“固液共存”)态。 23. 小阳和小丽分别利用如图甲所示装置“探究水沸腾前和沸腾时温度随时间变化的特点”。 微信:cs5311742016 主营各地名校期中期末真题卷及小初高全套教材教案讲义知识点总结微信:cs5311742016 主营各地名校期中期末真题卷及小初高全套教材教案讲义知识点总结 (1)按照图甲组装实验器材后,还需要补充一个测量仪器 是________; (2)两位同学利用完全相同的实验装置分别进行规范实验,并依据实验数据分别绘制出如图乙所示的A、 B两条图线,由图像可知水的沸点都是__________℃。标准大气压下沸水的温度是100℃,可以判断此时 液体上方的气压比标准大气压________;(选填“高”或“低”) (3)由图像可知两次实验中水开始沸腾的时间不同,你认为导致这种现象出现的主要原因是:________; (4)如图所示,甲、乙两图是某个同学做“水的沸腾”实验时观察到的现象,其中能正确反映沸腾时的 现象的是图________。 24. 实验桌上有两块完全相同的玻璃板,其上分别滴有等量的、表面积相同的水,小明加热其中一块玻璃 板,如图所示,观察两板变干的快慢.小明探究的问是:水蒸发的快慢与____是否有关. 25. 如图所示是某物体做直线运动的图像,0-12s内通过的路程是_______m,0-3s内物体的速度是 ______m/s,7-12s内物体的速度是_______m/s。 微信:cs5311742016 主营各地名校期中期末真题卷及小初高全套教材教案讲义知识点总结微信:cs5311742016 主营各地名校期中期末真题卷及小初高全套教材教案讲义知识点总结 26. 小利在测量小车沿斜面向下运动的平均速度时,用如图所示的实验装置,进行如下实验: ①用刻度尺分别测出AB间的距离 、BC间的距离 ; ②将小车从斜面A点由静止释放,并同时用停表开始计时,小车经过B点时停表示数为 ,小车到达C点 时停表示数为 。小车从B点运动至C点过程中的平均速度表达式为 ______。(用题目中给出的物 理量符号表示) 27. 手机上某款运动记录软件记录了一次慢跑数据,每公里耗时如表所示。分析表中数据可知,第______ 公里跑得最快,你的判断依据是______。 公里 累计耗时(时:分:秒) 配速(每公里耗时) 1km 00:07:02 7分02秒 2km 00:13:36 6分34秒 3km 00:21:35 7分59秒 4km 00:28:14 6分39秒 5km 00:35:33 7分19秒 6km 00:42:50 7分17秒 7km 00:49:46 6分56秒 8km 00:57:24 7分38秒 9km 01:03:53 6分29秒 微信:cs5311742016 主营各地名校期中期末真题卷及小初高全套教材教案讲义知识点总结微信:cs5311742016 主营各地名校期中期末真题卷及小初高全套教材教案讲义知识点总结 28. 小丽家里有只热水瓶,妈妈告诉她里面的水有时热有时冷。究竟是什么因素影响热水瓶的保温性能呢? 小丽和她的小组决定一探究竟。可选用的器材有:带有塞子的热水瓶、温度计两支(A.实验用温度计; B.家用体温计)、热水、秒表、电子秤。他们提出了如下猜想: 猜想一:热水瓶 的保温性能可能与软木塞的松紧程度有关; 猜想二:热水瓶的保温性能可能与水量多少有关; 猜想三:热水瓶的保温性能可能与水的初温高低有关。 (1)实验中通过_________来反应保温性能的好与差; (2)小丽利用选好的温度计与其他器材进行了探究,记录相关数据于下表: 次 塞子的松紧 水量多 水的初温 6h后温度计的示 12h后温度计的示 数 程度 少 T/℃ 数/℃ 数/℃ 1 紧 100 80 50 2 很松 100 62 41 3 很松 100 55 25 4 紧 100 85 59 5 紧 满 100 89 66 ①由实验序号1、2、3可知:_________相同时,塞子越紧,热水瓶的保温性能越好; ②由________三组实验(填实验序号)可知:在塞子松紧程度和水的初温相同时,水量越多,热水瓶的保 温性能越好。 (3)同组的小强同学在探究猜想三时,设计的表格如下,小丽同学指出小强的实验设计不合格,你认为 小丽的理由是________; 次 塞子的松紧 水量多 水的初温 6h后温度计的示 12h后温度计的示 数 程度 少 T/℃ 数/℃ 数/℃ 6 紧 100 7 紧 满 85 (4)你认为影响热水瓶的保温性能的因素除了上述因素以外,可能还有________(仅填写一个)。 五、计算题(共9分,29题4分,30题5分) 微信:cs5311742016 主营各地名校期中期末真题卷及小初高全套教材教案讲义知识点总结微信:cs5311742016 主营各地名校期中期末真题卷及小初高全套教材教案讲义知识点总结 29. 一列速度是10 m/s的列车,高速行驶了3分钟,则它通过的路程是多少? 30. 小田一家国庆节期间从南宁东站乘动车出发去桂林旅游。已知南宁东站到桂林的铁路全程为500km, 时刻表如下表所示。求: 车站 到达时间 发车时间 南宁东 始发站 08∶15 柳州 9∶26 9∶30 桂林 10∶45 (1)该次动车从南宁东站到桂林运行的平均速度; (2)若南宁东到桂林的列车平均速度提高到250km/h,则运行时间将比现在节约多少? 微信:cs5311742016 主营各地名校期中期末真题卷及小初高全套教材教案讲义知识点总结
基本 文件 流程 错误 SQL 调试
  1. 请求信息 : 2026-03-09 22:13:30 HTTP/1.1 GET : https://www.yeyulingfeng.com/wendang/367260.html
  2. 运行时间 : 0.096842s [ 吞吐率:10.33req/s ] 内存消耗:5,362.61kb 文件加载:144
  3. 缓存信息 : 0 reads,0 writes
  4. 会话信息 : SESSION_ID=77ca00788156f943b8f7c2def2e83106
  1. /yingpanguazai/ssd/ssd1/www/wwww.yeyulingfeng.com/public/index.php ( 0.79 KB )
  2. /yingpanguazai/ssd/ssd1/www/wwww.yeyulingfeng.com/vendor/autoload.php ( 0.17 KB )
  3. /yingpanguazai/ssd/ssd1/www/wwww.yeyulingfeng.com/vendor/composer/autoload_real.php ( 2.49 KB )
  4. /yingpanguazai/ssd/ssd1/www/wwww.yeyulingfeng.com/vendor/composer/platform_check.php ( 0.90 KB )
  5. /yingpanguazai/ssd/ssd1/www/wwww.yeyulingfeng.com/vendor/composer/ClassLoader.php ( 14.03 KB )
  6. /yingpanguazai/ssd/ssd1/www/wwww.yeyulingfeng.com/vendor/composer/autoload_static.php ( 6.05 KB )
  7. /yingpanguazai/ssd/ssd1/www/wwww.yeyulingfeng.com/vendor/topthink/think-helper/src/helper.php ( 8.34 KB )
  8. /yingpanguazai/ssd/ssd1/www/wwww.yeyulingfeng.com/vendor/topthink/think-validate/src/helper.php ( 2.19 KB )
  9. /yingpanguazai/ssd/ssd1/www/wwww.yeyulingfeng.com/vendor/ralouphie/getallheaders/src/getallheaders.php ( 1.60 KB )
  10. /yingpanguazai/ssd/ssd1/www/wwww.yeyulingfeng.com/vendor/topthink/think-orm/src/helper.php ( 1.47 KB )
  11. /yingpanguazai/ssd/ssd1/www/wwww.yeyulingfeng.com/vendor/topthink/think-orm/stubs/load_stubs.php ( 0.16 KB )
  12. /yingpanguazai/ssd/ssd1/www/wwww.yeyulingfeng.com/vendor/topthink/framework/src/think/Exception.php ( 1.69 KB )
  13. /yingpanguazai/ssd/ssd1/www/wwww.yeyulingfeng.com/vendor/topthink/think-container/src/Facade.php ( 2.71 KB )
  14. /yingpanguazai/ssd/ssd1/www/wwww.yeyulingfeng.com/vendor/symfony/deprecation-contracts/function.php ( 0.99 KB )
  15. /yingpanguazai/ssd/ssd1/www/wwww.yeyulingfeng.com/vendor/symfony/polyfill-mbstring/bootstrap.php ( 8.26 KB )
  16. /yingpanguazai/ssd/ssd1/www/wwww.yeyulingfeng.com/vendor/symfony/polyfill-mbstring/bootstrap80.php ( 9.78 KB )
  17. /yingpanguazai/ssd/ssd1/www/wwww.yeyulingfeng.com/vendor/symfony/var-dumper/Resources/functions/dump.php ( 1.49 KB )
  18. /yingpanguazai/ssd/ssd1/www/wwww.yeyulingfeng.com/vendor/topthink/think-dumper/src/helper.php ( 0.18 KB )
  19. /yingpanguazai/ssd/ssd1/www/wwww.yeyulingfeng.com/vendor/symfony/var-dumper/VarDumper.php ( 4.30 KB )
  20. /yingpanguazai/ssd/ssd1/www/wwww.yeyulingfeng.com/vendor/guzzlehttp/guzzle/src/functions_include.php ( 0.16 KB )
  21. /yingpanguazai/ssd/ssd1/www/wwww.yeyulingfeng.com/vendor/guzzlehttp/guzzle/src/functions.php ( 5.54 KB )
  22. /yingpanguazai/ssd/ssd1/www/wwww.yeyulingfeng.com/vendor/topthink/framework/src/think/App.php ( 15.30 KB )
  23. /yingpanguazai/ssd/ssd1/www/wwww.yeyulingfeng.com/vendor/topthink/think-container/src/Container.php ( 15.76 KB )
  24. /yingpanguazai/ssd/ssd1/www/wwww.yeyulingfeng.com/vendor/psr/container/src/ContainerInterface.php ( 1.02 KB )
  25. /yingpanguazai/ssd/ssd1/www/wwww.yeyulingfeng.com/app/provider.php ( 0.19 KB )
  26. /yingpanguazai/ssd/ssd1/www/wwww.yeyulingfeng.com/vendor/topthink/framework/src/think/Http.php ( 6.04 KB )
  27. /yingpanguazai/ssd/ssd1/www/wwww.yeyulingfeng.com/vendor/topthink/think-helper/src/helper/Str.php ( 7.29 KB )
  28. /yingpanguazai/ssd/ssd1/www/wwww.yeyulingfeng.com/vendor/topthink/framework/src/think/Env.php ( 4.68 KB )
  29. /yingpanguazai/ssd/ssd1/www/wwww.yeyulingfeng.com/app/common.php ( 0.03 KB )
  30. /yingpanguazai/ssd/ssd1/www/wwww.yeyulingfeng.com/vendor/topthink/framework/src/helper.php ( 18.78 KB )
  31. /yingpanguazai/ssd/ssd1/www/wwww.yeyulingfeng.com/vendor/topthink/framework/src/think/Config.php ( 5.54 KB )
  32. /yingpanguazai/ssd/ssd1/www/wwww.yeyulingfeng.com/config/alipay.php ( 3.59 KB )
  33. /yingpanguazai/ssd/ssd1/www/wwww.yeyulingfeng.com/vendor/topthink/framework/src/think/facade/Env.php ( 1.67 KB )
  34. /yingpanguazai/ssd/ssd1/www/wwww.yeyulingfeng.com/config/app.php ( 0.95 KB )
  35. /yingpanguazai/ssd/ssd1/www/wwww.yeyulingfeng.com/config/cache.php ( 0.78 KB )
  36. /yingpanguazai/ssd/ssd1/www/wwww.yeyulingfeng.com/config/console.php ( 0.23 KB )
  37. /yingpanguazai/ssd/ssd1/www/wwww.yeyulingfeng.com/config/cookie.php ( 0.56 KB )
  38. /yingpanguazai/ssd/ssd1/www/wwww.yeyulingfeng.com/config/database.php ( 2.48 KB )
  39. /yingpanguazai/ssd/ssd1/www/wwww.yeyulingfeng.com/config/filesystem.php ( 0.61 KB )
  40. /yingpanguazai/ssd/ssd1/www/wwww.yeyulingfeng.com/config/lang.php ( 0.91 KB )
  41. /yingpanguazai/ssd/ssd1/www/wwww.yeyulingfeng.com/config/log.php ( 1.35 KB )
  42. /yingpanguazai/ssd/ssd1/www/wwww.yeyulingfeng.com/config/middleware.php ( 0.19 KB )
  43. /yingpanguazai/ssd/ssd1/www/wwww.yeyulingfeng.com/config/route.php ( 1.89 KB )
  44. /yingpanguazai/ssd/ssd1/www/wwww.yeyulingfeng.com/config/session.php ( 0.57 KB )
  45. /yingpanguazai/ssd/ssd1/www/wwww.yeyulingfeng.com/config/trace.php ( 0.34 KB )
  46. /yingpanguazai/ssd/ssd1/www/wwww.yeyulingfeng.com/config/view.php ( 0.82 KB )
  47. /yingpanguazai/ssd/ssd1/www/wwww.yeyulingfeng.com/app/event.php ( 0.25 KB )
  48. /yingpanguazai/ssd/ssd1/www/wwww.yeyulingfeng.com/vendor/topthink/framework/src/think/Event.php ( 7.67 KB )
  49. /yingpanguazai/ssd/ssd1/www/wwww.yeyulingfeng.com/app/service.php ( 0.13 KB )
  50. /yingpanguazai/ssd/ssd1/www/wwww.yeyulingfeng.com/app/AppService.php ( 0.26 KB )
  51. /yingpanguazai/ssd/ssd1/www/wwww.yeyulingfeng.com/vendor/topthink/framework/src/think/Service.php ( 1.64 KB )
  52. /yingpanguazai/ssd/ssd1/www/wwww.yeyulingfeng.com/vendor/topthink/framework/src/think/Lang.php ( 7.35 KB )
  53. /yingpanguazai/ssd/ssd1/www/wwww.yeyulingfeng.com/vendor/topthink/framework/src/lang/zh-cn.php ( 13.70 KB )
  54. /yingpanguazai/ssd/ssd1/www/wwww.yeyulingfeng.com/vendor/topthink/framework/src/think/initializer/Error.php ( 3.31 KB )
  55. /yingpanguazai/ssd/ssd1/www/wwww.yeyulingfeng.com/vendor/topthink/framework/src/think/initializer/RegisterService.php ( 1.33 KB )
  56. /yingpanguazai/ssd/ssd1/www/wwww.yeyulingfeng.com/vendor/services.php ( 0.14 KB )
  57. /yingpanguazai/ssd/ssd1/www/wwww.yeyulingfeng.com/vendor/topthink/framework/src/think/service/PaginatorService.php ( 1.52 KB )
  58. /yingpanguazai/ssd/ssd1/www/wwww.yeyulingfeng.com/vendor/topthink/framework/src/think/service/ValidateService.php ( 0.99 KB )
  59. /yingpanguazai/ssd/ssd1/www/wwww.yeyulingfeng.com/vendor/topthink/framework/src/think/service/ModelService.php ( 2.04 KB )
  60. /yingpanguazai/ssd/ssd1/www/wwww.yeyulingfeng.com/vendor/topthink/think-trace/src/Service.php ( 0.77 KB )
  61. /yingpanguazai/ssd/ssd1/www/wwww.yeyulingfeng.com/vendor/topthink/framework/src/think/Middleware.php ( 6.72 KB )
  62. /yingpanguazai/ssd/ssd1/www/wwww.yeyulingfeng.com/vendor/topthink/framework/src/think/initializer/BootService.php ( 0.77 KB )
  63. /yingpanguazai/ssd/ssd1/www/wwww.yeyulingfeng.com/vendor/topthink/think-orm/src/Paginator.php ( 11.86 KB )
  64. /yingpanguazai/ssd/ssd1/www/wwww.yeyulingfeng.com/vendor/topthink/think-validate/src/Validate.php ( 63.20 KB )
  65. /yingpanguazai/ssd/ssd1/www/wwww.yeyulingfeng.com/vendor/topthink/think-orm/src/Model.php ( 23.55 KB )
  66. /yingpanguazai/ssd/ssd1/www/wwww.yeyulingfeng.com/vendor/topthink/think-orm/src/model/concern/Attribute.php ( 21.05 KB )
  67. /yingpanguazai/ssd/ssd1/www/wwww.yeyulingfeng.com/vendor/topthink/think-orm/src/model/concern/AutoWriteData.php ( 4.21 KB )
  68. /yingpanguazai/ssd/ssd1/www/wwww.yeyulingfeng.com/vendor/topthink/think-orm/src/model/concern/Conversion.php ( 6.44 KB )
  69. /yingpanguazai/ssd/ssd1/www/wwww.yeyulingfeng.com/vendor/topthink/think-orm/src/model/concern/DbConnect.php ( 5.16 KB )
  70. /yingpanguazai/ssd/ssd1/www/wwww.yeyulingfeng.com/vendor/topthink/think-orm/src/model/concern/ModelEvent.php ( 2.33 KB )
  71. /yingpanguazai/ssd/ssd1/www/wwww.yeyulingfeng.com/vendor/topthink/think-orm/src/model/concern/RelationShip.php ( 28.29 KB )
  72. /yingpanguazai/ssd/ssd1/www/wwww.yeyulingfeng.com/vendor/topthink/think-helper/src/contract/Arrayable.php ( 0.09 KB )
  73. /yingpanguazai/ssd/ssd1/www/wwww.yeyulingfeng.com/vendor/topthink/think-helper/src/contract/Jsonable.php ( 0.13 KB )
  74. /yingpanguazai/ssd/ssd1/www/wwww.yeyulingfeng.com/vendor/topthink/think-orm/src/model/contract/Modelable.php ( 0.09 KB )
  75. /yingpanguazai/ssd/ssd1/www/wwww.yeyulingfeng.com/vendor/topthink/framework/src/think/Db.php ( 2.88 KB )
  76. /yingpanguazai/ssd/ssd1/www/wwww.yeyulingfeng.com/vendor/topthink/think-orm/src/DbManager.php ( 8.52 KB )
  77. /yingpanguazai/ssd/ssd1/www/wwww.yeyulingfeng.com/vendor/topthink/framework/src/think/Log.php ( 6.28 KB )
  78. /yingpanguazai/ssd/ssd1/www/wwww.yeyulingfeng.com/vendor/topthink/framework/src/think/Manager.php ( 3.92 KB )
  79. /yingpanguazai/ssd/ssd1/www/wwww.yeyulingfeng.com/vendor/psr/log/src/LoggerTrait.php ( 2.69 KB )
  80. /yingpanguazai/ssd/ssd1/www/wwww.yeyulingfeng.com/vendor/psr/log/src/LoggerInterface.php ( 2.71 KB )
  81. /yingpanguazai/ssd/ssd1/www/wwww.yeyulingfeng.com/vendor/topthink/framework/src/think/Cache.php ( 4.92 KB )
  82. /yingpanguazai/ssd/ssd1/www/wwww.yeyulingfeng.com/vendor/psr/simple-cache/src/CacheInterface.php ( 4.71 KB )
  83. /yingpanguazai/ssd/ssd1/www/wwww.yeyulingfeng.com/vendor/topthink/think-helper/src/helper/Arr.php ( 16.63 KB )
  84. /yingpanguazai/ssd/ssd1/www/wwww.yeyulingfeng.com/vendor/topthink/framework/src/think/cache/driver/File.php ( 7.84 KB )
  85. /yingpanguazai/ssd/ssd1/www/wwww.yeyulingfeng.com/vendor/topthink/framework/src/think/cache/Driver.php ( 9.03 KB )
  86. /yingpanguazai/ssd/ssd1/www/wwww.yeyulingfeng.com/vendor/topthink/framework/src/think/contract/CacheHandlerInterface.php ( 1.99 KB )
  87. /yingpanguazai/ssd/ssd1/www/wwww.yeyulingfeng.com/app/Request.php ( 0.09 KB )
  88. /yingpanguazai/ssd/ssd1/www/wwww.yeyulingfeng.com/vendor/topthink/framework/src/think/Request.php ( 55.78 KB )
  89. /yingpanguazai/ssd/ssd1/www/wwww.yeyulingfeng.com/app/middleware.php ( 0.25 KB )
  90. /yingpanguazai/ssd/ssd1/www/wwww.yeyulingfeng.com/vendor/topthink/framework/src/think/Pipeline.php ( 2.61 KB )
  91. /yingpanguazai/ssd/ssd1/www/wwww.yeyulingfeng.com/vendor/topthink/think-trace/src/TraceDebug.php ( 3.40 KB )
  92. /yingpanguazai/ssd/ssd1/www/wwww.yeyulingfeng.com/vendor/topthink/framework/src/think/middleware/SessionInit.php ( 1.94 KB )
  93. /yingpanguazai/ssd/ssd1/www/wwww.yeyulingfeng.com/vendor/topthink/framework/src/think/Session.php ( 1.80 KB )
  94. /yingpanguazai/ssd/ssd1/www/wwww.yeyulingfeng.com/vendor/topthink/framework/src/think/session/driver/File.php ( 6.27 KB )
  95. /yingpanguazai/ssd/ssd1/www/wwww.yeyulingfeng.com/vendor/topthink/framework/src/think/contract/SessionHandlerInterface.php ( 0.87 KB )
  96. /yingpanguazai/ssd/ssd1/www/wwww.yeyulingfeng.com/vendor/topthink/framework/src/think/session/Store.php ( 7.12 KB )
  97. /yingpanguazai/ssd/ssd1/www/wwww.yeyulingfeng.com/vendor/topthink/framework/src/think/Route.php ( 23.73 KB )
  98. /yingpanguazai/ssd/ssd1/www/wwww.yeyulingfeng.com/vendor/topthink/framework/src/think/route/RuleName.php ( 5.75 KB )
  99. /yingpanguazai/ssd/ssd1/www/wwww.yeyulingfeng.com/vendor/topthink/framework/src/think/route/Domain.php ( 2.53 KB )
  100. /yingpanguazai/ssd/ssd1/www/wwww.yeyulingfeng.com/vendor/topthink/framework/src/think/route/RuleGroup.php ( 22.43 KB )
  101. /yingpanguazai/ssd/ssd1/www/wwww.yeyulingfeng.com/vendor/topthink/framework/src/think/route/Rule.php ( 26.95 KB )
  102. /yingpanguazai/ssd/ssd1/www/wwww.yeyulingfeng.com/vendor/topthink/framework/src/think/route/RuleItem.php ( 9.78 KB )
  103. /yingpanguazai/ssd/ssd1/www/wwww.yeyulingfeng.com/route/app.php ( 3.82 KB )
  104. /yingpanguazai/ssd/ssd1/www/wwww.yeyulingfeng.com/vendor/topthink/framework/src/think/facade/Route.php ( 4.70 KB )
  105. /yingpanguazai/ssd/ssd1/www/wwww.yeyulingfeng.com/vendor/topthink/framework/src/think/route/dispatch/Controller.php ( 4.74 KB )
  106. /yingpanguazai/ssd/ssd1/www/wwww.yeyulingfeng.com/vendor/topthink/framework/src/think/route/Dispatch.php ( 10.44 KB )
  107. /yingpanguazai/ssd/ssd1/www/wwww.yeyulingfeng.com/app/controller/Index.php ( 9.69 KB )
  108. /yingpanguazai/ssd/ssd1/www/wwww.yeyulingfeng.com/app/BaseController.php ( 2.05 KB )
  109. /yingpanguazai/ssd/ssd1/www/wwww.yeyulingfeng.com/vendor/topthink/think-orm/src/facade/Db.php ( 0.93 KB )
  110. /yingpanguazai/ssd/ssd1/www/wwww.yeyulingfeng.com/vendor/topthink/think-orm/src/db/connector/Mysql.php ( 5.44 KB )
  111. /yingpanguazai/ssd/ssd1/www/wwww.yeyulingfeng.com/vendor/topthink/think-orm/src/db/PDOConnection.php ( 52.47 KB )
  112. /yingpanguazai/ssd/ssd1/www/wwww.yeyulingfeng.com/vendor/topthink/think-orm/src/db/Connection.php ( 8.39 KB )
  113. /yingpanguazai/ssd/ssd1/www/wwww.yeyulingfeng.com/vendor/topthink/think-orm/src/db/ConnectionInterface.php ( 4.57 KB )
  114. /yingpanguazai/ssd/ssd1/www/wwww.yeyulingfeng.com/vendor/topthink/think-orm/src/db/builder/Mysql.php ( 16.58 KB )
  115. /yingpanguazai/ssd/ssd1/www/wwww.yeyulingfeng.com/vendor/topthink/think-orm/src/db/Builder.php ( 24.06 KB )
  116. /yingpanguazai/ssd/ssd1/www/wwww.yeyulingfeng.com/vendor/topthink/think-orm/src/db/BaseBuilder.php ( 27.50 KB )
  117. /yingpanguazai/ssd/ssd1/www/wwww.yeyulingfeng.com/vendor/topthink/think-orm/src/db/Query.php ( 15.71 KB )
  118. /yingpanguazai/ssd/ssd1/www/wwww.yeyulingfeng.com/vendor/topthink/think-orm/src/db/BaseQuery.php ( 45.13 KB )
  119. /yingpanguazai/ssd/ssd1/www/wwww.yeyulingfeng.com/vendor/topthink/think-orm/src/db/concern/TimeFieldQuery.php ( 7.43 KB )
  120. /yingpanguazai/ssd/ssd1/www/wwww.yeyulingfeng.com/vendor/topthink/think-orm/src/db/concern/AggregateQuery.php ( 3.26 KB )
  121. /yingpanguazai/ssd/ssd1/www/wwww.yeyulingfeng.com/vendor/topthink/think-orm/src/db/concern/ModelRelationQuery.php ( 20.07 KB )
  122. /yingpanguazai/ssd/ssd1/www/wwww.yeyulingfeng.com/vendor/topthink/think-orm/src/db/concern/ParamsBind.php ( 3.66 KB )
  123. /yingpanguazai/ssd/ssd1/www/wwww.yeyulingfeng.com/vendor/topthink/think-orm/src/db/concern/ResultOperation.php ( 7.01 KB )
  124. /yingpanguazai/ssd/ssd1/www/wwww.yeyulingfeng.com/vendor/topthink/think-orm/src/db/concern/WhereQuery.php ( 19.37 KB )
  125. /yingpanguazai/ssd/ssd1/www/wwww.yeyulingfeng.com/vendor/topthink/think-orm/src/db/concern/JoinAndViewQuery.php ( 7.11 KB )
  126. /yingpanguazai/ssd/ssd1/www/wwww.yeyulingfeng.com/vendor/topthink/think-orm/src/db/concern/TableFieldInfo.php ( 2.63 KB )
  127. /yingpanguazai/ssd/ssd1/www/wwww.yeyulingfeng.com/vendor/topthink/think-orm/src/db/concern/Transaction.php ( 2.77 KB )
  128. /yingpanguazai/ssd/ssd1/www/wwww.yeyulingfeng.com/vendor/topthink/framework/src/think/log/driver/File.php ( 5.96 KB )
  129. /yingpanguazai/ssd/ssd1/www/wwww.yeyulingfeng.com/vendor/topthink/framework/src/think/contract/LogHandlerInterface.php ( 0.86 KB )
  130. /yingpanguazai/ssd/ssd1/www/wwww.yeyulingfeng.com/vendor/topthink/framework/src/think/log/Channel.php ( 3.89 KB )
  131. /yingpanguazai/ssd/ssd1/www/wwww.yeyulingfeng.com/vendor/topthink/framework/src/think/event/LogRecord.php ( 1.02 KB )
  132. /yingpanguazai/ssd/ssd1/www/wwww.yeyulingfeng.com/vendor/topthink/think-helper/src/Collection.php ( 16.47 KB )
  133. /yingpanguazai/ssd/ssd1/www/wwww.yeyulingfeng.com/vendor/topthink/framework/src/think/facade/View.php ( 1.70 KB )
  134. /yingpanguazai/ssd/ssd1/www/wwww.yeyulingfeng.com/vendor/topthink/framework/src/think/View.php ( 4.39 KB )
  135. /yingpanguazai/ssd/ssd1/www/wwww.yeyulingfeng.com/vendor/topthink/framework/src/think/Response.php ( 8.81 KB )
  136. /yingpanguazai/ssd/ssd1/www/wwww.yeyulingfeng.com/vendor/topthink/framework/src/think/response/View.php ( 3.29 KB )
  137. /yingpanguazai/ssd/ssd1/www/wwww.yeyulingfeng.com/vendor/topthink/framework/src/think/Cookie.php ( 6.06 KB )
  138. /yingpanguazai/ssd/ssd1/www/wwww.yeyulingfeng.com/vendor/topthink/think-view/src/Think.php ( 8.38 KB )
  139. /yingpanguazai/ssd/ssd1/www/wwww.yeyulingfeng.com/vendor/topthink/framework/src/think/contract/TemplateHandlerInterface.php ( 1.60 KB )
  140. /yingpanguazai/ssd/ssd1/www/wwww.yeyulingfeng.com/vendor/topthink/think-template/src/Template.php ( 46.61 KB )
  141. /yingpanguazai/ssd/ssd1/www/wwww.yeyulingfeng.com/vendor/topthink/think-template/src/template/driver/File.php ( 2.41 KB )
  142. /yingpanguazai/ssd/ssd1/www/wwww.yeyulingfeng.com/vendor/topthink/think-template/src/template/contract/DriverInterface.php ( 0.86 KB )
  143. /yingpanguazai/ssd/ssd1/www/wwww.yeyulingfeng.com/runtime/temp/10a0c909b6afa23b5a52a2e2d58c3c0f.php ( 21.72 KB )
  144. /yingpanguazai/ssd/ssd1/www/wwww.yeyulingfeng.com/vendor/topthink/think-trace/src/Html.php ( 4.42 KB )
  1. CONNECT:[ UseTime:0.000958s ] mysql:host=127.0.0.1;port=3306;dbname=wenku;charset=utf8mb4
  2. SHOW FULL COLUMNS FROM `fenlei` [ RunTime:0.001428s ]
  3. SELECT * FROM `fenlei` WHERE `fid` = 0 [ RunTime:0.000647s ]
  4. SELECT * FROM `fenlei` WHERE `fid` = 63 [ RunTime:0.000604s ]
  5. SHOW FULL COLUMNS FROM `set` [ RunTime:0.000525s ]
  6. SELECT * FROM `set` [ RunTime:0.000197s ]
  7. SHOW FULL COLUMNS FROM `wendang` [ RunTime:0.000553s ]
  8. SELECT * FROM `wendang` WHERE `id` = 367260 LIMIT 1 [ RunTime:0.000445s ]
  9. UPDATE `wendang` SET `liulancishu` = 1 WHERE `id` = 367260 [ RunTime:0.001034s ]
  10. UPDATE `wendang` SET `lasttime` = 1773065610 WHERE `id` = 367260 [ RunTime:0.000472s ]
  11. SELECT * FROM `wendang` WHERE `id` < 367260 ORDER BY `id` DESC LIMIT 1 [ RunTime:0.000495s ]
  12. SELECT * FROM `wendang` WHERE `id` > 367260 ORDER BY `id` ASC LIMIT 1 [ RunTime:0.000341s ]
  13. SELECT * FROM `wendang` WHERE `id` <> 367260 ORDER BY `id` DESC LIMIT 10 [ RunTime:0.005658s ]
  14. SELECT * FROM `wendang` WHERE `id` <> 367260 ORDER BY `id` DESC LIMIT 10,10 [ RunTime:0.001932s ]
  15. SELECT * FROM `wendang` WHERE `id` <> 367260 ORDER BY `id` DESC LIMIT 20,10 [ RunTime:0.008987s ]
0.098482s