当前位置:首页>文档>微专题双曲线与平面向量的综合问题学案——2023届高考数学一轮《考点·题型·技巧》精讲与精练_2.2025数学总复习_赠品通用版(老高考)复习资料_一轮复习

微专题双曲线与平面向量的综合问题学案——2023届高考数学一轮《考点·题型·技巧》精讲与精练_2.2025数学总复习_赠品通用版(老高考)复习资料_一轮复习

  • 2026-04-06 02:19:12 2026-03-20 02:24:54

文档预览

微专题双曲线与平面向量的综合问题学案——2023届高考数学一轮《考点·题型·技巧》精讲与精练_2.2025数学总复习_赠品通用版(老高考)复习资料_一轮复习
微专题双曲线与平面向量的综合问题学案——2023届高考数学一轮《考点·题型·技巧》精讲与精练_2.2025数学总复习_赠品通用版(老高考)复习资料_一轮复习
微专题双曲线与平面向量的综合问题学案——2023届高考数学一轮《考点·题型·技巧》精讲与精练_2.2025数学总复习_赠品通用版(老高考)复习资料_一轮复习
微专题双曲线与平面向量的综合问题学案——2023届高考数学一轮《考点·题型·技巧》精讲与精练_2.2025数学总复习_赠品通用版(老高考)复习资料_一轮复习
微专题双曲线与平面向量的综合问题学案——2023届高考数学一轮《考点·题型·技巧》精讲与精练_2.2025数学总复习_赠品通用版(老高考)复习资料_一轮复习
微专题双曲线与平面向量的综合问题学案——2023届高考数学一轮《考点·题型·技巧》精讲与精练_2.2025数学总复习_赠品通用版(老高考)复习资料_一轮复习
微专题双曲线与平面向量的综合问题学案——2023届高考数学一轮《考点·题型·技巧》精讲与精练_2.2025数学总复习_赠品通用版(老高考)复习资料_一轮复习
微专题双曲线与平面向量的综合问题学案——2023届高考数学一轮《考点·题型·技巧》精讲与精练_2.2025数学总复习_赠品通用版(老高考)复习资料_一轮复习
微专题双曲线与平面向量的综合问题学案——2023届高考数学一轮《考点·题型·技巧》精讲与精练_2.2025数学总复习_赠品通用版(老高考)复习资料_一轮复习
微专题双曲线与平面向量的综合问题学案——2023届高考数学一轮《考点·题型·技巧》精讲与精练_2.2025数学总复习_赠品通用版(老高考)复习资料_一轮复习
微专题双曲线与平面向量的综合问题学案——2023届高考数学一轮《考点·题型·技巧》精讲与精练_2.2025数学总复习_赠品通用版(老高考)复习资料_一轮复习
微专题双曲线与平面向量的综合问题学案——2023届高考数学一轮《考点·题型·技巧》精讲与精练_2.2025数学总复习_赠品通用版(老高考)复习资料_一轮复习
微专题双曲线与平面向量的综合问题学案——2023届高考数学一轮《考点·题型·技巧》精讲与精练_2.2025数学总复习_赠品通用版(老高考)复习资料_一轮复习
微专题双曲线与平面向量的综合问题学案——2023届高考数学一轮《考点·题型·技巧》精讲与精练_2.2025数学总复习_赠品通用版(老高考)复习资料_一轮复习
微专题双曲线与平面向量的综合问题学案——2023届高考数学一轮《考点·题型·技巧》精讲与精练_2.2025数学总复习_赠品通用版(老高考)复习资料_一轮复习
微专题双曲线与平面向量的综合问题学案——2023届高考数学一轮《考点·题型·技巧》精讲与精练_2.2025数学总复习_赠品通用版(老高考)复习资料_一轮复习
微专题双曲线与平面向量的综合问题学案——2023届高考数学一轮《考点·题型·技巧》精讲与精练_2.2025数学总复习_赠品通用版(老高考)复习资料_一轮复习
微专题双曲线与平面向量的综合问题学案——2023届高考数学一轮《考点·题型·技巧》精讲与精练_2.2025数学总复习_赠品通用版(老高考)复习资料_一轮复习
微专题双曲线与平面向量的综合问题学案——2023届高考数学一轮《考点·题型·技巧》精讲与精练_2.2025数学总复习_赠品通用版(老高考)复习资料_一轮复习
微专题双曲线与平面向量的综合问题学案——2023届高考数学一轮《考点·题型·技巧》精讲与精练_2.2025数学总复习_赠品通用版(老高考)复习资料_一轮复习
微专题双曲线与平面向量的综合问题学案——2023届高考数学一轮《考点·题型·技巧》精讲与精练_2.2025数学总复习_赠品通用版(老高考)复习资料_一轮复习
微专题双曲线与平面向量的综合问题学案——2023届高考数学一轮《考点·题型·技巧》精讲与精练_2.2025数学总复习_赠品通用版(老高考)复习资料_一轮复习
微专题双曲线与平面向量的综合问题学案——2023届高考数学一轮《考点·题型·技巧》精讲与精练_2.2025数学总复习_赠品通用版(老高考)复习资料_一轮复习
微专题双曲线与平面向量的综合问题学案——2023届高考数学一轮《考点·题型·技巧》精讲与精练_2.2025数学总复习_赠品通用版(老高考)复习资料_一轮复习
微专题双曲线与平面向量的综合问题学案——2023届高考数学一轮《考点·题型·技巧》精讲与精练_2.2025数学总复习_赠品通用版(老高考)复习资料_一轮复习
微专题双曲线与平面向量的综合问题学案——2023届高考数学一轮《考点·题型·技巧》精讲与精练_2.2025数学总复习_赠品通用版(老高考)复习资料_一轮复习
微专题双曲线与平面向量的综合问题学案——2023届高考数学一轮《考点·题型·技巧》精讲与精练_2.2025数学总复习_赠品通用版(老高考)复习资料_一轮复习
微专题双曲线与平面向量的综合问题学案——2023届高考数学一轮《考点·题型·技巧》精讲与精练_2.2025数学总复习_赠品通用版(老高考)复习资料_一轮复习
微专题双曲线与平面向量的综合问题学案——2023届高考数学一轮《考点·题型·技巧》精讲与精练_2.2025数学总复习_赠品通用版(老高考)复习资料_一轮复习
微专题双曲线与平面向量的综合问题学案——2023届高考数学一轮《考点·题型·技巧》精讲与精练_2.2025数学总复习_赠品通用版(老高考)复习资料_一轮复习
微专题双曲线与平面向量的综合问题学案——2023届高考数学一轮《考点·题型·技巧》精讲与精练_2.2025数学总复习_赠品通用版(老高考)复习资料_一轮复习
微专题双曲线与平面向量的综合问题学案——2023届高考数学一轮《考点·题型·技巧》精讲与精练_2.2025数学总复习_赠品通用版(老高考)复习资料_一轮复习
微专题双曲线与平面向量的综合问题学案——2023届高考数学一轮《考点·题型·技巧》精讲与精练_2.2025数学总复习_赠品通用版(老高考)复习资料_一轮复习
微专题双曲线与平面向量的综合问题学案——2023届高考数学一轮《考点·题型·技巧》精讲与精练_2.2025数学总复习_赠品通用版(老高考)复习资料_一轮复习
微专题双曲线与平面向量的综合问题学案——2023届高考数学一轮《考点·题型·技巧》精讲与精练_2.2025数学总复习_赠品通用版(老高考)复习资料_一轮复习

文档信息

文档格式
docx
文档大小
2.121 MB
文档页数
35 页
上传时间
2026-03-20 02:24:54

文档内容

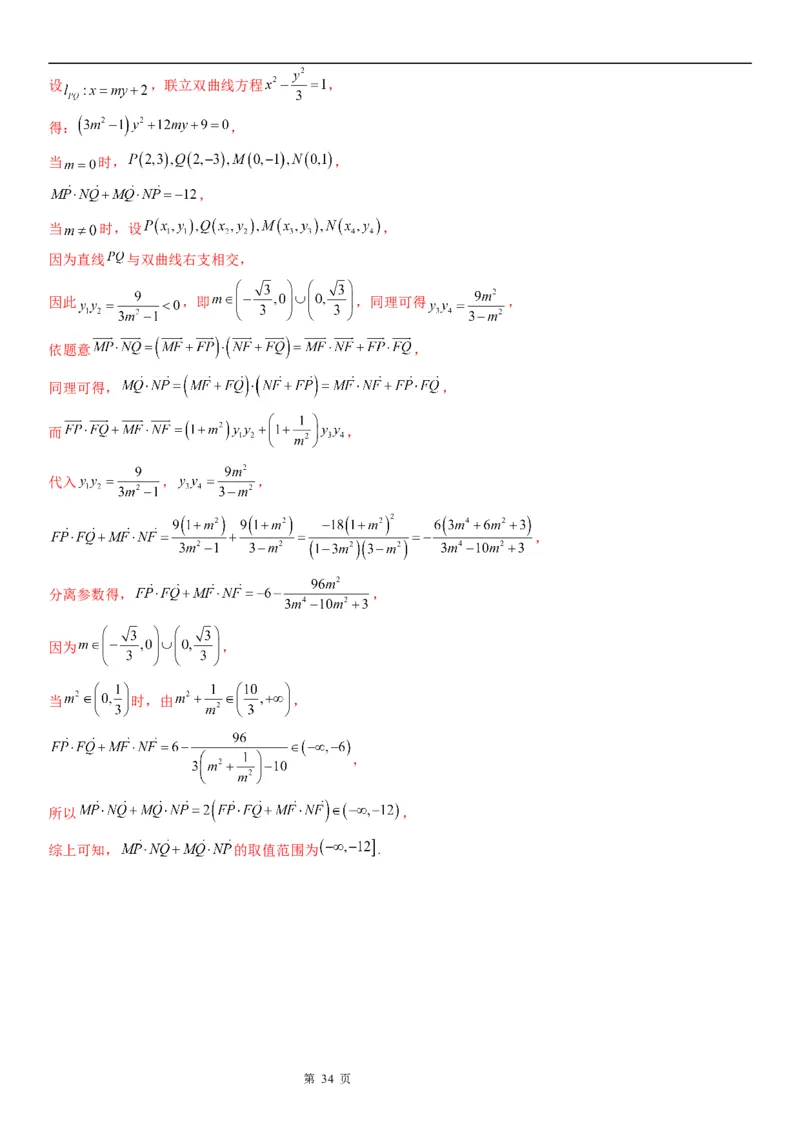
微专题:双曲线与平面向量的综合问题 【考点梳理】 双曲线的综合问题难度一般不大,此例体现了新高考“四翼”中“综合性”的要求,这类问题常与其他知识 综合在一起考查,如向量等,要求灵活应用相关知识解题. 【典例剖析】 典例1.已知双曲线 : 的左、右焦点分别为 、 ,左、右顶点分别为 、 ,过点 的直线与双曲 线 的右支交于 点,且 ,则 ( ) A. B.1 C.2 D.3 典例2.已知双曲线 的两个焦点分别为 , ,过点 的直线与双 曲线的左、右两支分别交于 两点,且 ,则双曲线的离心率为( ) A. B. C. D. 典例3.在直角坐标系 中,直线 是双曲线 的一条渐近线,点 在双曲线C上,设 为双曲线上的动点,直线 与y轴相交于点P,点M关于y轴的对称点为N,直线 与y轴相交 于点Q. (1)求双曲线C的方程; (2)在x轴上是否存在一点T?使得 ,若存在,求T点的坐标;若不存在,说明理由; (3)求M点的坐标,使得 的面积最小. 典例4.设双曲线C: -y2=1(a>0)与直线l:x+y=1相交于两个不同的点A,B. (1)求双曲线C的离心率e的取值范围; (2)设直线l与y轴的交点为P,且 ,求a的值. 第 1 页 学学科科网网((北北京京))股股份份有有限限公公司司典例5.已知点 、 依次为双曲线 ( , )的左、右焦点,且 , , . (1)若 ,以 为方向向量的直线 经过 ,求 到 的距离; (2)若双曲线 上存在点 ,使得 ,求实数 的取值范围. 【双基达标】 6.已知双曲线 的右焦点为 ,过点 的直线交双曲线的右支于 、 两点,且 ,点 关 于坐标原点的对称点为 ,且 ,则双曲线的离心率为( ) A. B. C. D. 7.已知双曲线 的左、右焦点分别为 , ,过点 的直线与双曲线 的右支交于 , 两点,点 在线段 上,且 , ,则双曲线 的离心率为( ) A. B. C.2 D. 8.已知双曲线 的左焦点为 , 分别是 的左、右顶点, 为 上一点,且 轴,过点 的直线 与线段 交于点 ,与 轴交于点 ,直线 与 轴交于点 ,若 ( 为 坐标原点),则双曲线 的离心率为_____. 9.设 , 为双曲线 : ( , )的左、右焦点,过 的直线 交双曲线 的右支于 , 第 2 页 学学科科网网((北北京京))股股份份有有限限公公司司两点,且 , ,则双曲线的离心率为__________. 10.已知 , 分别为双曲线 : 左、右焦点,过点 的直线与双曲线 的左、右两支分 别交于 , 两点,且 , ,则双曲线 的离心率是______. 11.已知曲线E:ax2+by2=1(a>0,b>0),经过点M 的直线l与曲线E交于点A,B,且 =-2 .若 点B的坐标为(0,2),求曲线E的方程. 12.已知双曲线 与圆 交于点 第一象限 ,曲线 为 、 上取满 足 的部分. (1)若 ,求b的值; (2)当 , 与x轴交点记作点 、 ,P是曲线 上一点,且在第一象限,且 ,求 ; (3)过点 斜率为 的直线l与曲线 只有两个交点,记为M、N,用b表示 ,并求 的取值范围. 13.已知:双曲线 ( , )的离心率为 且点 在双曲线上. (1)求双曲线的标准方程; (2)若双曲线的左顶点为 ,右焦点为 ,P为双曲线右支上任意一点,求 的最小值; (3)若M是双曲线左支上任意一点, 为左焦点,写出 的最小值. 14.已知椭圆 离心率为 ,点P(0,1)在短轴CD上,且 . (I)求椭圆E的方程; (II)过点P的直线l与椭圆E交于A,B两点.若 ,求直线l的方程. 第 3 页 学学科科网网((北北京京))股股份份有有限限公公司司15.如图,已知双曲线C的方程为 ,渐近线方程为 ,焦点到渐近线的距离为1.M、 N两动点在双曲线C的两条渐近线上,且分别位于第一象限和第四象限,P是直线MN与双曲线右支的一个公共点, . (1)求双曲线C的方程; (2)当λ=1时,求 的取值范围; (3)试用λ表示 MON的面积S,设双曲线C上的点到其焦点的距离的取值范围为集合 ,若 ∈ ,求S的取值 范围. 16.已知双曲线 的左、右焦点分别为 , ,离心率为 ,过点 的直线 与双曲线的左、右 两支分别交于点 , .当 时, 的面积为5. (1)求双曲线的标准方程; (2)若直线 与 轴交于点 ,且 , ,求证: 为定值. 17.已知双曲线的焦点在 轴上,中心在原点,离心率为 ,且过点 . (1)求双曲线的标准方程; (2)双曲线的左右顶点为 , ,且动点 , 在双曲线上,直线 与直线 交于点 , , ,求 的取值范围. 18.已知双曲线 ,O为坐标原点,离心率 ,点 在双曲线上. 第 4 页 学学科科网网((北北京京))股股份份有有限限公公司司(1)求双曲线的方程 (2)如图,若直线l与双曲线的左、右两支分别交于点Q,P,且 ,求 的最小值. 19.设 , 分别是双曲线 的左、右两焦点,过点 的直线 ( ) 与 的右支交于 , 两点, 过点 ,且它的虚轴的端点与焦点的距离为 . (1)求双曲线 的方程; (2)当 时,求实数 的值; (3)设点 关于坐标原点 的对称点为 ,当 时,求 面积 的值. 20.已知点 , ,双曲线C上除顶点外任一点 满足直线RM与QM的斜率之积为4. (1)求C的方程; (2)若直线l过C上的一点P,且与C的渐近线相交于A,B两点,点A,B分别位于第一、第二象限, , 求 的最小值. 【高分突破】 一、单选题 21.已知直线 与圆锥曲线 相交于 、 两点,与 轴、 轴分别交于 、 两点,且满足 、 . (1)已知直线 的方程为 ,抛物线 的方程为 ,求 的值; (2)已知直线 ,椭圆 ,求 的取值范围; 第 5 页 学学科科网网((北北京京))股股份份有有限限公公司司(3)已知双曲线 , ,求点 的坐标. 22.已知双曲线 的离心率为2,焦点到渐近线的距离为 ,点 的坐标为 ,过 的直线 与双曲线 交于不同两点 、 . (1)求双曲线 的方程; (2)求 的取值范围( 为坐标原点). 23.已知曲线 上任意一点 满足方程 , (1)求曲线 的方程; (2)若直线 与曲线 在 轴左、右两侧的交点分别是 ,且 ,求 的最小值. 24.已知双曲线C: 的渐近线方程为 ,O为坐标原点,点 在双曲线上. (1)求双曲线C的方程; (2)若直线l与双曲线交于P、Q两点,且 ,求 的最小值. 25.已知椭圆E: 的离心率为 ,且过点 .直线l: 与y轴交于点P,与椭圆 交于M,N两点. (1)求椭圆E的标准方程; (2)若 ,求实数m的值. 26.设点M、N分别是不等边△ABC的重心与外心,已知 、 ,且 . (1)求动点C的轨迹E; (2)若直线 与曲线E交于不同的两点P、Q,且满足 ,求实数 的取值范围. 第 6 页 学学科科网网((北北京京))股股份份有有限限公公司司27.已知圆 ,点P为圆O上的动点, 轴,垂足为D,若 ,设点M的轨迹为曲线 E. (1)求曲线E的方程; (2)直线 与曲线E交于A,B两点,N为曲线E上任意一点,且 ,证明: 为定值. 28.如图,曲线τ的方程是 ,其中A、B为曲线τ与x轴的交点,A点在B点的左边,曲线τ与y轴的交 点为D.已知F(﹣c,0),F(c,0),c 0, 的面积为 . 1 2 (1)过点B作斜率为k的直线l交曲线τ于P、Q两点(异于B点),点P在第一象限,设点P的横坐标为xP、Q 的横坐标为xQ,求证:xP•xQ是定值; (2)过点F 的直线n与曲线τ有且仅有一个公共点,求直线n的倾斜角范围; 2 (3)过点B作斜率为k的直线l交曲线τ于P、Q两点(异于B点),点P在第一象限,当 时, 求 成立时λ的值. 29.已知P是平面上的动点,且点P与 的距离之差的绝对值为 .设点P的轨迹为曲线E. (1)求曲线E的方程; (2)设不与y轴垂直的直线l过点 且交曲线E于M,N两点,曲线E与x轴的交点为A,B,当 时,求 的取值范围. 第 7 页 学学科科网网((北北京京))股股份份有有限限公公司司30.已知双曲线 的离心率为2,F为双曲线的右焦点,直线l过F与双曲线的右支交于 两点,且当l垂直于x轴时, ; (1)求双曲线的方程; (2)过点F且垂直于l的直线 与双曲线交于 两点,求 的取值范围. 第 8 页 学学科科网网((北北京京))股股份份有有限限公公司司参考答案 1.D 【分析】根据双曲线性质,结合 可知 ,即可求得 . 【详解】双曲线 : 由双曲线性质可知 过点 的直线与双曲线 的右支交于 点,且 则 则 点的横坐标为2,代入双曲线 可得P点的纵坐标为 所以 故选:D 【点睛】本题考查了双曲线的标准方程及性质的简单应用,双曲线中通径的求法,属于基础题. 2.A 【分析】由共线向量可确定 ,得到 ,由此构造关于 的齐次方程求得离心率. 【详解】 由 可知: , , , 即 ,即 , , . 故选:A. 3.(1) ;(2)存在, ;(3) 或 或 或 . 【分析】(1)由渐近线方程得 ,再由顶点坐标可得 ,得双曲线方程; (2)假设 ,由直线 方程和是 坐标,由向量的数量积运算可得 ,用坐标表示这个结 论可得 与 关系,再由点 在双曲线可得结论; 第 9 页(3)直接计算 的面积,用基本不等式可得最小值,从而得点坐标. 【详解】(1)由已知得 ,所以 , ,所以双曲线方程为 (2)设 ,因为 ,令 得 , ,令 得 因为 ,平方可得 ,所以 , 因为 ,所以 ,故 ,存在 ; (3)因为 , 当且仅当 时,取得最小值, 此时M的坐标是 或 或 或 . 【点睛】关键点点睛:本题考查求双曲线有方程,双曲线中存在性问题,三角形面积的最值问题,解题方法是解 析几何的基本方程,设出点的坐标,写出直线方程,求出交点坐标,由交点坐标表示数量积或三角形面积,然后 根据定值或最值求解. 4.(1)e> 且e≠ ;(2)a= . 【分析】(1)由直线与双曲线联立得(1-a2)x2+2a2x-2a2=0,结合条件得 ,从而可得离心 率范围; (2)设点A(x,y),B(x,y),由 可得x= x,由根与系数的关系可得- = ,从而得解. 1 1 2 2 1 2 【详解】(1)将y=-x+1代入双曲线 -y2=1中,得(1-a2)x2+2a2x-2a2=0.① ∴ 解得0 且e≠ . (2)设点A(x,y),B(x,y).有P(0,1). 1 1 2 2 ∵ ,∴(x,y-1)= (x,y-1). 1 1 2 2 第 10 页由此得x= x.由于x,x 都是方程①的根,且1-a2≠0,因此由根与系数的关系,得 x=- , = 1 2 1 2 2 - . 消去x,得- = .由a>0,得a= . 2 【点睛】本题考查双曲线的几何性质、向量问题坐标化,直线与双曲线的位置关系等基础知识,考查推理论证能 力、运算求解能力、考查化归与转化、特殊与一般、分类与整合等数学思想,属于中档题. 5.(1) ;(2) . 【解析】(1)由题意知, ,根据 的关系求出 ,根据向量的共线定理设出直线方程 ,再代入点 ,求出直线方程,根据点到直线的距离公式计算距离;(2)设出点 ,根据 数量积公式得 ,再根据点 在双曲线上得 ,联立求解以后根据 代入不等式 求范围即可. 【详解】(1)依题意, ,则双曲线 , , , 设直线 ,将 代入解得: , 此时 , 到 的距离为 ; (2) 设双曲线上的点 满足 ,即 , 又 ,∴ ,即 , ∵ ,且 ,∴ , 又因为 ,∴实数 的取值范围是 . 【点睛】解答直线与双曲线的题目时,时常把两个曲线的方程联立,消去 或 建立一元二次方程,然后借助根与 系数的关系,并结合题设条件建立有关参变量的等量关系或者不等关系求解. 6.C 【分析】设双曲线 的左焦点为 ,连接 、 、 ,推导出四边形 为矩形,设 , 则 ,在 中,利用勾股定理得出 ,然后在 中利用勾股定理可得出 、 的等量关系, 由此可求得双曲线 的离心率. 【详解】设双曲线 的左焦点为 ,连接 、 、 ,则四边形 为平行四边形, 设 ,则 , 由双曲线的定义可得 , , 第 11 页, , , 所以,四边形 为矩形, 由勾股定理得 ,即 ,解得 , , ,由勾股定理得 ,即 , 双曲线 的离心率为 . 故选:C. 【点睛】本题考查双曲线离心率的求解,考查利用双曲线的定义解决双曲线的焦点三角形问题,考查计算能力, 属于中等题. 7.B 【分析】根据题意,判断△ 的形状,结合双曲线定义,求得 ,利用离心率公式即可求得结果. 【详解】根据题意,作图如下: 因为 ,故可得 , 故可得 // ,且 ,故 分别为 的中点; 第 12 页又 ,故可得 既是三角形 的中线又是角平分线, 故可得 ;又 为 中点,由对称性可知: 垂直于 轴. 故△ 为等边三角形,则 ; 令 ,可得 ,解得 ,故可得 , 则 ,由双曲线定义可得: , 即 ,解得 ,则离心率为 . 故选:B. 【点睛】本题考察双曲线离心率的求解,核心步骤在于根据向量关系,判断三角形形状,以及双曲线定义的利用, 属中档题. 8.3 【分析】根据条件分别求出直线AE和BN的方程,求出N,E的坐标,利用 的关系建立方程进行求解 即可. 【详解】解:因为 轴,所以设 , 则 , , AE的斜率 , 则AE的方程为 ,令 ,则 , 即 , BN的斜率为 ,则BN的方程为 , 令 ,则 ,即 , 因为 ,所以 , 即 ,即 ,则离心率 . 第 13 页故答案为3. 【点睛】本题主要考查双曲线离心率的计算,根据条件求出直线方程和点N,E的坐标是解决本题的关键. 9. 【分析】由题意,设 ,则 ,利用勾股定理,求出 , 的关系,再利用勾股定理确定 , 的 关系,即可求出双曲线的离心率. 【详解】解:由题意,设 ,因为 ,则 , , , 因为 所以 , , , ,即 ,即 . 故答案为: . 10. 【分析】由正弦定理和双曲线的定义可得 是正三角形,从而 .在 中,由余弦定理即 可得到答案. 【详解】由 ,得 ,因为 ,所以 , .又 ,即 ,所以 .设 ,则 , 又 ,则 ,解得 ,所以 , ,所以 是正三角形,从 而 .在 中,由 ,得 ,所以 . 第 14 页故答案为: 11.x2+ =1. 【解析】设A(x,y),由已知得出 =-2 .求得x= ,y=-1,再由A,B都在曲线E上, 0 0 0 0 代入可得方程. 【详解】设A(x,y),因为B(0,2),M ,故 = , = . 0 0 由于 =-2 ,所以 =-2 . 所以x= ,y=-1,即A . 0 0 因为A,B都在曲线E上, 所以 解得 所以曲线E的方程为x2+ =1. 12.(1) ;(2) ;(3) , . 【分析】(1)联立曲线 与曲线 的方程,以及 ,解方程可得b; (2)由双曲线的定义和三角形的余弦定理,计算可得所求角; (3)设直线 ,求得O到直线l的距离,判断直线l与圆的关系:相切,可设切点为M,考虑双 曲线的渐近线方程,只有当 时,直线l才能与曲线 有两个交点,解不等式可得b的范围,由向量投影的定 义求得 ,进而得到所求范围. 【详解】(1)由 ,点A为曲线 与曲线 的交点, 联立 ,解得 , ; (2)由题意可得 , 为曲线 的两个焦点, 由双曲线的定义可得 , 又 , , 所以 , 因为 ,则 , 所以 , 第 15 页在 中,由余弦定理可得 , 由 ,可得 ; (3)设直线 ,可得原点O到直线l的距离 , 所以直线l是圆的切线,设切点为M, 所以 ,并设 与圆 联立, 可得 , 可得 , ,即 , 注意直线l与双曲线的斜率为负的渐近线平行, 所以只有当 时,直线l才能与曲线 有两个交点, 由 ,可得 , 所以有 ,解得 或 舍去 , 因为 为 在 上的投影可得, , 所以 , 则 . 13.(1) ;(2)-4;(3) . 【分析】(1)根据离心率及双曲线上的点联立方程求a,b即可求标准方程; (2)设 ,写出向量 ,利用二次函数求最值; (3)设 为双曲线左支上任意一点,求 ,利用二次函数求最值. 【详解】(1)由题意有 ,解得 , , 第 16 页故双曲线的标准方程为 ; (2)由已知得 , ,设 ,则 , , 所以 , 因为 ,所以当 时, 取得最小值,且最小值为-4. (3)设 为双曲线左支上任意一点, 因为左焦点 , 所以 , 由 ,对称轴为 知, 当 时, , 所以 . 14.(1) . (2)y= x+1. 【分析】(1)通过椭圆的离心率和向量的数量积的坐标表示,计算即得 , ,进而得结论;(2)设直 线l为 ,代入椭圆方程 ,运用韦达定理和向量共线的坐标表示,解方程可求斜率k,进而得到 所求直线方程. 【详解】(1)由题意,e= ,得a= 又C(0,b),D(0,-b). ∴ =(b-1)(-b-1)=-1, ∴b2=2 ∴a=2, 所以椭圆E的方程为 . (2)当直线l的斜率不存在时, , , , 不符合题意,不存在这样的直线. 当直线l斜率存在时,设直线l的方程为y=kx+1. A(x,y) , B(x,y). 1 1 2 2 联立方程 ,整理得(1+2k2)x2+4kx-2=0, 由韦达定理得x+x= ,xx= , 1 2 1 2 由 得,(x,y-1)= (-x,1-y), ∴x=- x, 2 2 1 1 2 1 第 17 页∴x = ,x2 = , 解得k2= , ∴k= , 1 1 所以直线l的方程为y= x+1. 【点睛】本题考查椭圆的标准方程与几何性质、直线方程,向量共线和数量积运算,直线与椭圆的位置关系等基 础知识,考查推理论证能力、运算求解能力、考查化归与转化、特殊与一般、分类与整合等数学思想,属于中档 题. 15.(1) -y2=1 (2)(-∞,-1] (3) 【分析】(1)由题意, , ,即得解; (2)设M(2m,m),N(2n,-n),由 可得 ,代入双曲线可得mn=1,坐标表示 , 结合均值不等式即得解; (3)由 =λ 可得P ,代入双曲线可得mn= ,利用M,N坐标表示MN方程可得 (m+n)x-(2m-2n)y-4mn=0,从而表示出 MON的面积 ,再求出 的取值范围,即可得出 的取值范围,结合单调性即得解. (1) 双曲线的渐近线方程为bx±ay=0.故 又 =1⇒b=1⇒a2=4,所以双曲线C的方程为 -y2=1. (2) 由题意,设M(2m,m),N(2n,-n),m>0,n>0, 当λ=1时, 设 ,即 则 所以 =1, 整理得mn=1. 又 , 所以 mn≤- ·2mn+ =-1,当且仅当m=n=1时,等号成立, 第 18 页所以 ∈(-∞,-1]. (3) 设M(2m,m),N(2n,-n),m>0,n>0, 由 =λ 得 =λ( ), 即(1+λ) +λ , 则 = . 所以P . 把点P的坐标代入双曲线的方程得 =1, 即(m+λn)2-(m-λn)2=(1+λ)2, 所以mn= . 当直线MN的斜率不存在时,其方程为x=2m. 当直线MN的斜率存在时,kMN= , 此时直线MN的方程为y-m= (x-2m),即(m+n)x-(2m-2n)y-4mn=0, 经检验,斜率不存在时,直线方程也满足上式,所以直线MN的方程为(m+n)x-(2m-2n)y-4mn=0, 所以点O到直线(m+n)x-(2m-2n)y-4mn=0的距离 d= = , 又|MN|= , 所以S= ·|MN|·d=2mn= +1. 记双曲线的左、右焦点分别为F(- ,0),P(x,y)(x≥2), 1 则|PF|>|PF|, 1 2 又|PF|= 2 = = x-2, 所以|PF|∈ 2 第 19 页即双曲线C上的点到其焦点的距离的取值范围为集合 因为 ∈Ω,所以λ∈[5 -10,+∞), 令f(x)= +1,x∈[5 -10,+∞), 任取x,x∈[5 -10,+∞),且 , 1 2 则f(x)-f(x)= <0, 1 2 因为 , , 所以 所以f(x)<f(x), 1 2 所以f(x)在x∈[5 -10,+∞)上单调递增, 因此f(x) =f(5 , min 即S = . min 所以S∈ . 16.(1) ;(2)证明见解析. 【分析】(1)当 时,由勾股定理和三角形面积公式可得 ,再由双曲线定义,即可得出结果. (2)当直线 与 轴垂直时,点 与原点 重合,求出定值; 当直线 与 轴不垂直时,设直线 的方程为 ,由渐近线可得 ,联立直线与双曲线方程,由韦 达定理结合向量知识,即可得出定值. 【详解】(1)当 时, , , 可得 . 由双曲线的定义可知, , 两边同时平方可得, , 所以 .① 又双曲线的离心率为 ,所以 .② 由①②可得, , ,所以 , 所以双曲线的标准方程为 . 第 20 页(2)当直线 与 轴垂直时,点 与原点 重合, 此时 , , ,所以 , , . 当直线 与 轴不垂直时,设直线 的方程为 , , , 由题意知 且 , 将直线 的方程与双曲线方程联立,消去 得, , 则 , , . 易知点 的坐标为 , 则由 ,可得 , 所以 , 同理可得 . 所以 . 综上, 为定值 . 【点睛】易错点点睛:直线与双曲线左、右分支各交于一点,直线斜率的取值范围容易忽略.本题考查了运算求解 能力和逻辑推理能力,属于一般题目. 17.(1) ; (2) . 【分析】(1)利用离心率,点在双曲线上以及 , , 的关系,联立方程即可求得 , 的值,从而求得双曲线 的标准方程; (2)将直线 和直线 的方程分别用点斜式表示出来,并联立求得点 的轨迹方程,易知 ,再由点 的轨迹方程,可知 的范围,从而求解. (1) 解:设双曲线的标准方程为 , 联立 得 , ,所以双曲线的标准方程为 . 第 21 页(2) 解:已知 , , , . 当 时,动点 与点 , 重合, 当 时,直线 ,直线 , 联立两直线方程得 . 又因为 ,即 ,所以 ,即 . 又 , 且 ,所以 . 18.(1) ;(2)24. 【解析】(1)由条件可知 ,再代入点求双曲线方程;(2)设直线OP的方程为 ,则直线OQ 的方程为 ,与双曲线方程联立,求点 的坐标,并求 ,再将 换为 求 ,利用 是定值,求 的最小值再表示 【详解】 因为 ,所以 , . 所以双曲线的方程为 ,即 . 因为点 在双曲线上,所以 ,所以 . 所以所求双曲线的方程为 . 设直线OP的方程为 ,则直线OQ的方程为 , 由 ,得 , 所以 . 同理可得, , 所以 . 第 22 页设 , 则 , 所以 ,即 当且仅当 时取等号 . 所以当 时, 取得最小值24. 【点睛】关键点点睛:本题的第一个关键是利用直线 和 垂直,利用斜率的关系求 ,第二个关键是注意 隐含条件 19.(1) ; (2) ; (3) . 【分析】(1)根据点在双曲线上及两点距离列方程组求双曲线参数,即可得方程; (2)由点在直线上求得 ,根据 到直线 与等腰三角形 底边 上的高相等,列方程求 参数m; (3)设 , ,联立双曲线与直线方程,应用韦达定理得 , ,由向量 的数量关系可得 ,根据对称点、三角形面积公式 求 面积. (1) 由 过点 ,且它的虚轴的端点与焦点的距离为 , 所以 ,即 , 则所求的双曲线 的方程为 . (2) 因为直线 过点 ,所以 , 由 得:等腰三角形 底边 上的高的大小为 , 又 到直线 的距离等于等腰三角形 底边上的高,则 , 第 23 页即 ,则 . (3) 设 , , 由 得: , 则 , ,又 ,即 , 则 , ,即 ,则 , 又 关于坐标原点 的对称点为 , 则 . 则所求的 面积为 . 20.(1) (2)1 【分析】(1)由题意得 ,化简可得答案, (2)求出渐近线方程,设点 , , , , ,由 可得 , 代入双曲线方程化简可得 ,然后表示 的坐标,再进行数量积运算,化简后利用基本 不等式可得答案 (1) 由题意得 ,即 , 整理得 , 因为双曲线的顶点坐标满足上式, 所以C的方程为 . (2) 由(1)可知,曲线C的渐近线方程为 , 设点 , , , , , 由 ,得 , 第 24 页整理得 , ①, 把①代入 ,整理得 ②, 因为 , , 所以 .由 ,得 , 则 , 当且仅当 时等号成立,所以 的最小值是1. 21.(1) ;(2) ;(3) . 【解析】(1)根据已知求出 的坐标,再求出 , , , 的坐标,代入 , ,即 可求出 和 的值; (2)将直线 的方程与椭圆 的方程联立,消去 可得关于 的一元二次方程,再利用根与系数关系求出两根之和、 两根之积,再结合 、 ,即可得到 ,从而可将 表示为关于 的函数,即可求出 的取值范围; (3)设直线 的方程为 并与双曲线 的方程联立消去 可得关于 的一元二次方程,再利用根与系数关系求 出 , ,再结合 、 ,即可求出点 的坐标. 【详解】(1)将 ,代入 ,求得点 , ,又因为 , , 由 得到, , , 同理由 得, , 所以 . (2)联立方程组 ,得 , 所以 , ,又点 , , 由 ,可得 , , 同理由 ,可得 , , 第 25 页所以 ,即 , 所以 , 因为 ,所以点 在椭圆上位于第三象限的部分上运动, 由分点的性质可知 ,所以 . (3)设直线 的方程为 ,代入方程 ,得 , 所以 , ,所以 (1) 而由 、 ,可得 (2) 又 (3) 由(1)(2)(3)得 , , 所以点 , 当直线 与 轴重合时, , 或者 , ,都有 也满足要求, 所以在 轴上存在定点 . 【点睛】本题主要考查直线与圆锥曲线的位置关系,根与系数关系的运用,考查运算求解能力,属于中档题. 22.(1) ; (2) 或 . 【分析】(1)解方程 和 即得解; (2)设过 的直线 的方程为 ,设 , ,联立直线和双曲线方程得到韦达定理,求出 ,再根据 的范围求解. (1) 解:双曲线 的右焦点为 ,一条渐近线方程为 ∵双曲线 的离心率为2,焦点到渐近线的距离为 , ∴ , ,∵ ∴ , 第 26 页∴双曲线 的方程为 . (2) 解:点 的坐标为 ,设过 的直线 的方程为 , 与双曲线方程联立可得 消去 可得 ① ,不符合题意,舍去; ② 时, 得 . 设 , ,则 , ∴ ∴ . ∵ , , ∴ , ∴ 或 ∴ 或 ∴ 或 . 23.(1) (2)8 【分析】(1)根据双曲线的定义即可得出答案; (2)可设直线 的方程为 ,则直线 的方程为 ,由 ,求得 ,同理求得 ,从而可求得 的值,再结合基本不等式即可得出答案. (1) 解:设 , 则 ,等价于 , 曲线 为以 为焦点的双曲线,且实轴长为2,焦距为 , 故曲线 的方程为: ; (2) 解:由题意可得直线 的斜率存在且不为0,可设直线 的方程为 , 第 27 页则直线 的方程为 ,由 ,得 , 所以 , 同理可得, , 所以 , , 当且仅当 时取等号, 所以当 时, 取得最小值8. 24.(1) (2)24 【分析】(1)待定系数法去求双曲线C的方程; (2)联立直线PQ的方程与双曲线C的方程,以设而不求的方法得到 的表达式,再对其求最小值即可 解决. (1) 双曲线C的渐近线方程为 , 所以 ,双曲线的方程可设为 . 因为点 在双曲线上,可解得 ,所以双曲线C的方程为 ; (2) 当直线PQ不垂直与x轴时,设其方程为y=kx+m,设点 、 , 将直线PQ的方程代入双曲线C的方程,可化为 , 所以 ① 则 , . 由 第 28 页即 ,所以 化简得 , . 则 (当k=0时等号成立)且满足①, 又因为当直线PQ垂直x轴时, ,所以 的最小值是24. 25.(1) (2) 【解析】(1)根据离心率和过点 代入计算得到答案. (2)设 , , ,联立方程,利用韦达定理得到 , ,计算得 到答案. 【详解】(1)离心率 且E过点 ,即 解得 , ,故所求椭圆E的方程为: ; (2)设 , , 由 联立化简得: , 又 , 与 联立解得: , 代入 解得: , 验证:当 时, 成立,符合题意 故所求 . 【点睛】本题考查了椭圆的标准方程,直线和椭圆的位置关系求参数,意在考查学生的综合应用能力. 26.(1) ;(2) 或 且 . 第 29 页【分析】(1)设点 ,由重心坐标和外心坐标,结合圆的几何性质及 列方程,化简求得轨迹 的方程. (2)联立直线 的方程和轨迹 的方程,化简后写出判别式和韦达定理,根据 ,利用向量的坐 标运算进行化简,求得 的等量关系式,并由此求得 的取值范围. 【详解】(1)设 ,则△ABC的重心 , 又△ABC是不等边三角形,则 ,设△ABC的外心 . 由 ,即 ,可得 . 又 ,即 ,化简整理得:轨迹 是 (2)将直线 代入 ,化简得: 依题意知: , ,且 ,化简得: 设 、 ,又 , 所以 又 , , 所以 ,化简得 所以 ,解得: 或 且 . 【点睛】关键点点睛: (1)设 ,写出重心坐标,再由向量数乘的几何意义确定外心坐标,进而应用两点距离公式列方程求轨迹; (2)根据直线与椭圆关系,结合判别式求k、b不等关系,再应用向量数量积的坐标表示及韦达定理求k、b的等 量关系,结合(1)椭圆中 ,求参数范围. 27.(1) ;(2)证明见解析. 【分析】(1)设点M的坐标为 ,点P的坐标为 ,可得 , ,代入圆 的方程,进而可得 结果; (2)设 , ,联立直线 与椭圆方程可得关于 的一元二次方程,由根与系数关系可得 , ,将向量式化为坐标表示,再代入椭圆 ,即可证得结果. 【详解】(1)设点M的坐标为 ,点P的坐标为 ,则有 , , 第 30 页所以有 , ,因为点P在圆上,所以 . 则有 ,即 ,所以曲线E的方程为 . (2)由 ,有 , 显然 ,设 , , 则 , , 设 ,则 ,又点N在曲线E上,则 , 又 , , , 则 , 所以 为定值. 【点睛】关键点点睛:联立直线与椭圆方程利用根与系数关系,证明 是解题的关键点和难点. 28.(1)证明见解析;(2) ;(3)答案见解析. 【分析】(1)求出点P,点Q的坐标,计算即可得证; (2)根据题意可得 ,设直线n的方程为 ,由直线n与曲线τ有且仅有一个公共点,可得 , 显然直线n的方程为 时也符合题意,进而得出结论; (3) ,利用数量积公式建立关于k的方程,解出k,进而得出答案. 【详解】(1)设直线方程 , 联立方程组 ,解得 , 联立方程组 ,解得 , 所以 . (2)因为 的面积为 ,可得 ,解得 , 第 31 页设过点F,直线n的方程为 ,则 只有一个交点, 2 故方程 只有一个解,亦即 , 由 ,解得 , 显然直线n的方程为 时也符合题意, 由图可知,当 与双曲线 的渐近线 平行时, , 此时仅有一个交点, 所以直线n的倾斜角的取值范围为 ; (3)由 , 所以 因为 所以 ,所以 , 所以 , , 则 【点睛】直线与圆锥曲线的综合问题的求解策略: 对于直线与圆锥曲线的位置关系的综合应用问题,通常联立直线方程与圆锥曲线方程,应用一元二次方程根与系 数的关系,以及弦长公式等进行求解,此类问题易错点是复杂式子的变形能力不足,导致错解,能较好的考查考 生的逻辑思维能力、运算求解能力. 29.(1) (2) 【分析】(1)根据题意得到 ,结合双曲线的定义,即可求解; (2)设直线 方程为 ,联立方程组求得 ,利用弦长公式和 , 求得 或 ,结合向量的数量积的运算公式,化简得到 ,进而求得其范围, 即可求解. (1) 解:依题意,P是平面上的动点,且点 与 的距离之差的绝对值为 . 即 , 第 32 页根据双曲线的定义,可得点 的轨迹E是以 为焦点, 其中 ,所以 ,则 , 所以轨迹 的方程为 . (2) 解:设直线 方程为 ,点 , 联立方程组 ,整理得 , 可得 且 . 由弦长公式,可得 因为 ,可得 ,解得 或 因为 , 所以 , 因为 或 ,所以 , 所以 的取值范围是 . 30.(1) (2) 【分析】(1)根据通径 ,直接求得 ,再结合离心率为2即可求双曲线的方程; (2)通过对 转化为 ,从而简化计算,利用韦达定理求解即可. (1) 依题意, ,当l垂直于x轴时, , 即 ,即 , 解得 , ,因此 ; (2) 第 33 页设 ,联立双曲线方程 , 得: , 当 时, , , 当 时,设 , 因为直线 与双曲线右支相交, 因此 ,即 ,同理可得 , 依题意 , 同理可得, , 而 , 代入 , , , 分离参数得, , 因为 , 当 时,由 , , 所以 , 综上可知, 的取值范围为 . 第 34 页第 35 页