当前位置:首页>文档>专题04氧化还原反应(讲义)(原卷版)_05高考化学_2024年新高考资料_2.2024二轮复习_2024年高考化学二轮复习讲练测(新教材新高考)

专题04氧化还原反应(讲义)(原卷版)_05高考化学_2024年新高考资料_2.2024二轮复习_2024年高考化学二轮复习讲练测(新教材新高考)

  • 2026-04-03 02:56:05 2026-03-27 06:21:30

文档预览

专题04氧化还原反应(讲义)(原卷版)_05高考化学_2024年新高考资料_2.2024二轮复习_2024年高考化学二轮复习讲练测(新教材新高考)
专题04氧化还原反应(讲义)(原卷版)_05高考化学_2024年新高考资料_2.2024二轮复习_2024年高考化学二轮复习讲练测(新教材新高考)
专题04氧化还原反应(讲义)(原卷版)_05高考化学_2024年新高考资料_2.2024二轮复习_2024年高考化学二轮复习讲练测(新教材新高考)
专题04氧化还原反应(讲义)(原卷版)_05高考化学_2024年新高考资料_2.2024二轮复习_2024年高考化学二轮复习讲练测(新教材新高考)
专题04氧化还原反应(讲义)(原卷版)_05高考化学_2024年新高考资料_2.2024二轮复习_2024年高考化学二轮复习讲练测(新教材新高考)
专题04氧化还原反应(讲义)(原卷版)_05高考化学_2024年新高考资料_2.2024二轮复习_2024年高考化学二轮复习讲练测(新教材新高考)
专题04氧化还原反应(讲义)(原卷版)_05高考化学_2024年新高考资料_2.2024二轮复习_2024年高考化学二轮复习讲练测(新教材新高考)
专题04氧化还原反应(讲义)(原卷版)_05高考化学_2024年新高考资料_2.2024二轮复习_2024年高考化学二轮复习讲练测(新教材新高考)
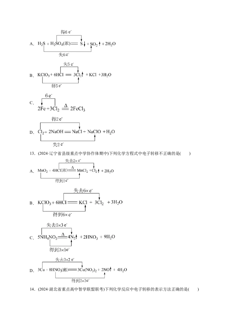
专题04氧化还原反应(讲义)(原卷版)_05高考化学_2024年新高考资料_2.2024二轮复习_2024年高考化学二轮复习讲练测(新教材新高考)
专题04氧化还原反应(讲义)(原卷版)_05高考化学_2024年新高考资料_2.2024二轮复习_2024年高考化学二轮复习讲练测(新教材新高考)
专题04氧化还原反应(讲义)(原卷版)_05高考化学_2024年新高考资料_2.2024二轮复习_2024年高考化学二轮复习讲练测(新教材新高考)
专题04氧化还原反应(讲义)(原卷版)_05高考化学_2024年新高考资料_2.2024二轮复习_2024年高考化学二轮复习讲练测(新教材新高考)
专题04氧化还原反应(讲义)(原卷版)_05高考化学_2024年新高考资料_2.2024二轮复习_2024年高考化学二轮复习讲练测(新教材新高考)
专题04氧化还原反应(讲义)(原卷版)_05高考化学_2024年新高考资料_2.2024二轮复习_2024年高考化学二轮复习讲练测(新教材新高考)
专题04氧化还原反应(讲义)(原卷版)_05高考化学_2024年新高考资料_2.2024二轮复习_2024年高考化学二轮复习讲练测(新教材新高考)
专题04氧化还原反应(讲义)(原卷版)_05高考化学_2024年新高考资料_2.2024二轮复习_2024年高考化学二轮复习讲练测(新教材新高考)
专题04氧化还原反应(讲义)(原卷版)_05高考化学_2024年新高考资料_2.2024二轮复习_2024年高考化学二轮复习讲练测(新教材新高考)
专题04氧化还原反应(讲义)(原卷版)_05高考化学_2024年新高考资料_2.2024二轮复习_2024年高考化学二轮复习讲练测(新教材新高考)
专题04氧化还原反应(讲义)(原卷版)_05高考化学_2024年新高考资料_2.2024二轮复习_2024年高考化学二轮复习讲练测(新教材新高考)
专题04氧化还原反应(讲义)(原卷版)_05高考化学_2024年新高考资料_2.2024二轮复习_2024年高考化学二轮复习讲练测(新教材新高考)
专题04氧化还原反应(讲义)(原卷版)_05高考化学_2024年新高考资料_2.2024二轮复习_2024年高考化学二轮复习讲练测(新教材新高考)

文档信息

文档格式
docx
文档大小
1.268 MB
文档页数
17 页
上传时间
2026-03-27 06:21:30

文档内容

专题 04 氧化还原反应 目 录 1 2 考点一 氧化还原反应基本概念 3 【真题研析·规律探寻】 3 【核心提炼·考向探究】 4 1.氧化还原反应基本概念 4 2.常见氧化剂和还原剂 4 3.电子转移的表示方法 4 【题型特训·命题预测】 5 题型一 氧化还原反应概念辨析 5 题型二 电子转移的表示方法 7 考点二 氧化还原反应的基本规律及应用 8 【真题研析·规律探寻】 8 【核心提炼·考向探究】 10 1.氧化还原反应的基本规律 10 2.物质氧化性、还原性强弱的应用 11 【题型特训·命题预测】 12 题型一 氧化性还原性强弱判断 12 题型二 氧化还原反应规律的应用 13 考点三 氧化还原反应方程式的书写与配平 14 【真题研析·规律探寻】 14 【核心提炼·考向探究】 16 1.氧化还原方程式配平的基本原则 16 2.氧化还原方程式配平的一般步骤 16 3.书写信息型氧化还原反应的步骤(三步法) 17【题型特训·命题预测】 17 考点要求 考题统计 考情分析 2023浙江1月6题,3分; 【命题规律】 2023浙江6月6题,3分; 氧化还原反应是中学化学教材中的重要概念,贯 氧化还原反应基 2022浙江1月10题,2分; 穿整个高中化学的始终,因此,它是历年高考的必考 内容,填空题、简答题均有可能出现。从近三年高考 本概念 2022浙江6月10题,2分; 试题来看,氧化还原反应除浙江选考卷外,一般不单 2021浙江1月10题,2分; 独考查,而是与其它模块知识融合进行综合考查,如 2021浙江6月8题,2分 选择题中与阿伏加德逻常数结合考查电子转移数目, 2023全国乙卷7题,6分; 以化学实验为载体,考查氧化还反应相关概念和规 2023湖南卷10题,3分; 氧化还原反应的 律;非选择题一般在无机推断或化工流程题中考查信 2022山东卷1题,2分;2021 基本规律 息型化学反应方程式的书写,在综合实验题中考查氧 湖南卷8题,3分;2021北京 化还原反应的相关计算。 卷9题,4分 【命题预测】 2021 河北卷 15 题(4)(5),4 预测2024年高考中,氧化还原反应在高考中密切 氧化还原反应方 分;2021 福建卷 11 题(4) 关注:** 错误的表达式 **信息型化学反应方程式的书 程式的书写与配 (6),4分;2021湖南卷17题 写,这是化工流程题和原理综合中必考的知识点,** 错 平 (5)(6),4分 误的表达式 **关注综合实验题中涉及氧化还原反应的实 验原理,进而强化氧化还原反应的相关计算,尤其是得 失电子守恒的应用。 考点一 氧化还原反应基本概念 1.(2023•全国乙卷,7)下列应用中涉及到氧化还原反应的是( ) A.使用明矾对水进行净化 B.雪天道路上撒盐融雪 C.暖贴中的铁粉遇空气放热 D.荧光指示牌被照发光 2.(2023•浙江省1月选考,6)关于反应2NH OH+4Fe3+=N O↑+4Fe2++H O,下列说法正确的是( ) 2 2 2A.生成1molN O,转移4mol电子 B.NH OH是还原产物 2 2 C.NH OH既是氧化剂又是还原剂 D.若设计成原电池,Fe2+为负极产物 2 3.(2022•山东卷,1)古医典富载化学知识,下述之物见其氧化性者为( ) A.金(Au):“虽被火亦未熟" B.石灰(CaO):“以水沃之,即热蒸而解” C.石硫黄(S):“能化……银、铜、铁,奇物” D.石钟乳(CaCO):“色黄,以苦酒(醋)洗刷则白” 3 4.(2022·浙江省1月选考,10)关于反应4CO+SiH 4CO+2HO+SiO,下列说法正确的是( 2 4 2 2 ) A.CO是氧化产物 B.SiH 发生还原反应 4 C.氧化剂与还原剂的物质的量之比为1∶4 D.生成1molSiO 时,转移8mol电子 2 5.(2022·浙江省6月选考,10)关于反应NaSO+H SO =Na SO +S ↓+SO ↑ +H O,下列说法正确的是( 2 2 3 2 4 2 4 2 2 ) A.HSO 发生还原反应 2 4 B.NaSO 既是氧化剂又是还原剂 2 2 3 C.氧化产物与还原产物的物质的量之比为2∶1 D.1mol Na SO 发生反应,转移4mol电子 2 2 3 6.(2021•浙江1月选考,10)关于反应8NH +6NO=7N +12H O,下列说法正确的是( ) 3 2 2 2 A.NH 中H元素被氧化 3 B.NO 在反应过程中失去电子 2 C.还原剂与氧化剂的物质的量之比为3:4 D.氧化产物与还原产物的质量之比为4:3 7.(2021•浙江6月选考,8)关于反应KHIO +9HI=2KI+4I +6H O,下列说法正确的是( ) 2 3 6 2 2 A. KHIO 发生氧化反应 B.KI是还原产物 2 3 6 C.生成12.7g I 时,转移0.1mol电子 D.还原剂与氧化剂的物质的量之比为7:1 21.氧化还原反应基本概念 2.常见氧化剂和还原剂 (1)常见氧化剂及其还原产物 酸性KMnO 、 氧化剂 Cl(X ) O Fe3+ 4 HClO 浓HSO HNO HO 2 2 2 2 4 3 2 2 KCr O 2 2 7 还原产 HO/ O2-/ Cl-(X-) 2 Fe2+/ Fe Mn2+、Cr3+ Cl- SO NO /NO HO 物 OH- 2 2 2 (2)常见还原剂及其氧化产物 还原剂 金属单质 非金属单质 Fe2+ HS/ S2- HI/I- NH CO SO /SO 2 3 2 非金属 氧化产物 金属离子 Fe3+ S、SO I N、NO CO SO 、SO 2 2 2 2 3 氧化物 3.电子转移的表示方法 (1)双线桥法:①标变价,②画箭头,③算数目,④说变化。 (2)单线桥法:箭头由失电子原子指向得电子原子,线桥上只标电子转移的数目,不标“得”“失”字 样。1.误认为有单质参与或生成的反应一定是氧化还原反应。如O 与O 的转化为非氧化还原反应。 2 3 2.误认为元素由化合态变为游离态一定被还原,其实不一定。如 HCl→Cl ,氯元素被氧化, 2 CuO→Cu,铜元素被还原。 3.误认为氧化还原反应中有一种元素被氧化,则一定有另一种元素被还原,其实不一定。如 Cl + 2 HO HCl+HClO中,被氧化和被还原的都是氯元素。 2 4.误认为具有氧化性的物质和具有还原性的物质一定都能发生化学反应,其实不一定。如SO 具有还 2 原性,浓HSO 具有氧化性,但二者不发生氧化还原反应。 2 4 5.误认为同种元素的高价态的物质一定比低价态物质的氧化性强,其实不一定。如 HClO的氧化性高 于HClO。 4 题型一 氧化还原反应概念辨析 1.(2024·河南省部分学校高三第二次联考)亚硝酸(HNO)是一种弱酸,HO 与HNO 溶液反应的主要 2 2 2 2 产物是( ) A.O、HNO B.O、NO C.HO、HNO D.HO、NO 2 3 2 2 2 3 2 2.(2024·甘肃酒泉高三联考)关于反应2 KMnO +10HF+2KF+3H O=2 K MnF +3O ↑+8H O,下列说法 4 2 2 2 6 2 2 正确的是( ) A.HO 既是氧化剂又是还原剂 B.KMnF 是氧化产物 2 2 2 6 C.生成1molO ,转移2mol电子 D.氧化剂与还原剂的物质的量之比为3:2 2 3.(2024·广东广州华南师大附中高三期中)关于反应S+2KNO +3C=K S+N↑+3CO ↑,下列说法正确的 3 2 2 2 是( ) A.C发生还原反应 B.KS是氧化产物 2 C.氧化剂和还原剂的物质的量之比为1∶3 D.生成1 mol N 时,转移12 mol电子 2 4.(2024·河南省部分学校高三第二次联考)氮化钛(TiN)是一种新型多功能金属陶瓷材料,以四氯化钛 为原料,在氢气氛围下,与氨气在700℃时制得TiN的反应方程式为TiCl +NH→ TiN+N+HCl(未配平), 4 3 2 下列说法正确的是( ) A.TiCl 作氧化剂,氯被还原 4 B.参加反应的NH 有 被氧化 3 C.TiN既是还原产物又是氧化产物 D.反应中每转移1.2mol电子,会生成2.5mol气体 → 5.(2024·湖南衡阳湖湘教育三新探索协作体联考)化学镀银实验中,常使用HPO 将Ag+转化为 3 2 Ag,HPO 具有较强的还原性,在溶液中常被氧化成PO 3-,下列选项中正确的是( ) 3 2 4 A.反应中P元素化合价下降,HPO 被氧化 3 2 B.每生成一个PO 3-粒子,反应中转移了3个电子 4C.该反应中氧化产物为Ag D.还原产物与氧化产物的个数比为4:1 6.(2024·浙江省浙东北联盟期中)用硫酸渣制备铁黄(一种铁基颜料)的过程中存在如下反应:FeSO+8 4 NH ·H O +O =4FeOOH+4(NH )SO +2H O下列说法正确的是( ) 3 2 2 4 2 4 2 A.O 发生氧化反应 2 B.FeSO 作氧化剂 4 C.生成1molFeOOH时,转移电子数目为4N A D. 既是氧化产物又是还原产物 7.(2023·浙江省天域全国名校协作体高三联考)火箭推进发生反应的化学方程式为: C NH+2N O=2CO ↑+3N ↑+4H O (偏二甲肼中C、N元素的化合价相等)。下列说法正确的是( ) 2 2 8 2 4 2 2 2 A.C NH 是氧化剂 B.NO 被氧化 2 2 8 2 4 C.氧化产物与还原产物之比为3∶2 D.NO 完全反应,有8N 个电子转移 2 4 A 8.(2023·上海市宝山区一模)氨基钠(NaNH )是重要的化学试剂,其与氧气的反应如下:4 NaNH+3O = 2 2 2 2NaOH+2 NaNO +2NH。下列说法正确的是( ) 2 3 A.n(氧化剂):n(还原剂)=3:4 B.每消耗0.3molO,转移电子数是2.4 N 2 A C.NH 是氧化产物 3 D.NaNH 中N的化合价部分发生变化 2 9.(2024·北京东城期中)K FeO 是优良的水处理剂,一种制备方法是将Fe O、KNO、KOH混合共熔, 2 4 2 3 3 反应方程式为Fe O+3KNO +4KOH=2 KFeO+3KNO +2H O。下列关于该反应的说法错误的是( ) 2 3 3 2 4 2 2 A.铁元素被氧化,氮元素被还原 B.每生成1molK FeO,转移6mol e- 2 4 C.KFeO 具有氧化杀菌作用 2 4 D.该实验条件下的氧化性:KNO>KFeO 3 2 4 10.(2023·浙江省浙里卷天下高三开学测试)高氯酸铵可以用于固体火箭的推进剂,关于 2NH ClO (s)=N(g)+Cl(g)+2O(g+4HO(g)反应,下列说法不正确的是( ) 4 4 2 2 2 2 A.0.5molNH ClO 完全分解产生气体的体积约为44.8L 4 4 B.NH ClO 既是氧化剂又是还原剂 4 4 C.该反应中,还原产物与氧化产物的物质的量之比为 D.上述NH ClO 的分解反应,反应物的总键能小于生成物的总键能 4 4 11.过氧化钠具有强氧化性,遇亚铁离子可将其氧化为一种常见的高效水处理剂,化学方程式为 2FeSO +6Na O=2Na FeO+2Na O+2Na SO +O ↑。下列说法中不正确的是( )。 4 2 2 2 4 2 2 4 2 A.氧化性:NaO>Na FeO>FeSO 2 2 2 4 4 B.FeSO 只作还原剂,NaO 既作氧化剂,又作还原剂 4 2 2 C.由反应可知每3 mol FeSO 完全反应时,反应中共转移12 mol电子 4 D.NaFeO 处理水时,不仅能杀菌消毒,还能起到净水的作用 2 4 题型二 电子转移的表示方法 12.(2024·重庆市名校联盟期中)下列化学方程式中,表示电子转移的方向和数目都正确的是( )A. B. C. D. 13.(2024·辽宁省县级重点中学协作体期中)下列化学方程式中电子转移不正确的是( ) A. B. C. D. 14.(2024·湖北省重点高中智学联盟联考)下列化学反应中电子转移的表示方法正确的是( )A. B. C. D. 考点二 氧化还原反应的基本规律及应用 1.(2023•浙江省6月选考,6)化学烫发巧妙利用了头发中蛋白质发生化学反应实现对头发的“定型”, 其变化过程示意图如下。下列说法不正确的是( ) A.药剂A具有还原性 B.①→②过程若有2 mol S-S键断裂,则转移4 mol电子 C.②→③过程若药剂B是HO,其还原产物为O 2 2 2 D.化学烫发通过改变头发中某些蛋白质中S-S键位置来实现头发的定型 2.(2023•湖南卷,10)油画创作通常需要用到多种无机颜料。研究发现,在不同的空气湿度和光照条 件下,颜料雌黄(AsS)褪色的主要原因是发生了以下两种化学反应: 2 3下列说法正确的是( ) A.SO2-和SO 2-的空间结构都是正四面体形 2 3 4 B.反应Ⅰ和Ⅱ中,元素As和S都被氧化 C.反应Ⅰ和Ⅱ中,参加反应的 :Ⅰ<Ⅱ D.反应Ⅰ和Ⅱ中,氧化1 mol As S 转移的电子数之比为3∶7 2 3 3.(2021•湖南选择性考试,8)KIO 常用作食盐中的补碘剂,可用“氯酸钾氧化法”制备,该方法的第 3 一步反应为6I+11KClO +3H O 6KH(IO)+5KCl+3Cl ↑。下列说法错误的是( ) 2 3 2 3 2 2 A.产生22.4L(标准状况)Cl 时,反应中转移10mol e﹣ 2 B.反应中氧化剂和还原剂的物质的量之比为11:6 C.可用石灰乳吸收反应产生的Cl 制备漂白粉 2 D.可用酸化的淀粉碘化钾溶液检验食盐中IO -的存在 3 4.(2021•北京卷,9)电石中混有CaS、Ca P 等杂质,用电石水解制备乙炔时,乙炔中常混有HS、 3 2 2 PH ,可用CuSO 溶液除去这两种杂质,相应的化学方程式是( ) 3 4 i.CuSO +H S=CuS↓+H SO 4 2 2 4 ii.11PH+24CuSO+12H O=3HPO +24H SO +8Cu P↓ 3 4 2 3 4 2 4 3 下列说法不正确的是 A.反应i不能说明HS的酸性强于HSO 2 2 4 B.24molCuSO 完全反应时,可氧化11molPH 4 3 C.HS、PH 会干扰KMnO 酸性溶液对乙炔性质的检验 2 3 4 D.CaS的水解方程式:CaS+2H O=Ca(OH) +H S↑;Ca P 水解方程式:Ca P+6H O=3Ca(OH) +2PH↑ 2 2 2 3 2 3 2 2 2 3 根据影响因素判断氧化性、还原性强弱的方法 (1)浓度:同一种物质浓度越大,氧化性(或还原性)越强。如氧化性:浓HSO >稀HSO ,浓HNO>稀 2 4 2 4 3 HNO,还原性:浓HCl>稀HCl。 3 (2)温度:同一种物质,温度越高其氧化性越强。如热的浓硫酸的氧化性比冷的浓硫酸的氧化性强。 (3)酸碱性:同一种物质,所处环境酸(碱)性越强其氧化性(还原性)越强。 如酸性条件:2MnO+6H++5SO===2Mn2++5SO+3HO 2 中性条件:2MnO+HO+3SO===2MnO+3SO+2OH- 2 2 碱性条件:2MnO+2OH-+SO===2MnO+SO+HO 2 其氧化性为KMnO (酸性)>KMnO (中性)>KMnO (碱性)。 4 4 4 1.氧化还原反应的基本规律 化合价升高总数与降低总数相等,实质是反应中失电子总数与得电子总 定义 数相等。即n(氧化剂)×变价原子个数×化合价变化值=n(还原剂)×变价原 守恒律 子个数×化合价变化值。 ①直接计算参与氧化还原反应物质间的数量关系。 应用 ②配平氧化还原反应方程式。氧化性:氧化剂>氧化产物; 定义 还原性:还原剂>还原产物。 强弱律 ①判断某氧化还原反应中,氧化性、还原性的相对强弱。 应用 ②判断某氧化还原反应能否正常进行。 当存在多种还原剂(氧化剂)时,氧化剂(还原剂)通常先和还原性(氧化性) 定义 最强的还原剂(氧化剂)反应。 ①判断某一氧化还原反应能否正常进行。 优先律 ②可判断物质发生氧化还原反应的先后顺序。 应用 如:向NaBr和NaI的混合溶液中通入Cl,因I-的还原性强于Br-,则先 2 发生反应:2I-+Cl===2Cl-+I ,然后发生反应:2Br-+Cl===2Cl-+ 2 2 2 Br 。 2 有多种价态的元素,处于最高价态时只具有氧化性(如HSO 中的S元 2 4 价态律 定义 素),处于最低价态时只具有还原性(如HS中的S元素),处于中间价态 2 时既有氧化性又有还原性(如SO 中的S元素)。 2 ①判断氧化还原反应能不能发生。 应用 ②判断同种元素的不同物质间发生氧化还原反应时的化合价变化情况。 同种元素不同价态间发生归中反应时,元素的化合价只接近而不交叉, 定义 最多达到同种价态。 转化律 如:HS+HSO (浓)===S↓+SO ↑+2HO(H S→S,HSO→SO)、5Cl-+ 2 2 4 2 2 2 2 4 2 应用 ClO+6H+===3Cl↑+3HO。 2 2 2.物质氧化性、还原性强弱的应用 当不同的氧化剂作用于同一还原剂时,若氧化产物价态相同,可依 据反应条件的难易程度来判断氧化剂氧化性的相对强弱,一般来说反应 (1)依据反应条件 条件越苛刻,说明反应越难发生(即氧化剂得电子越困难),则对应氧化剂 来判断。 的氧化性越弱,例如: Cu+4HNO(浓)===Cu(NO )+2NO ↑+2HO 3 3 2 2 2 Cu+2HSO (浓) CuSO +SO ↑+2HO 2 4 4 2 2 氧化性:浓硝酸>浓硫酸。 物质氧化 ①根据元素周期表判断 性、还原 性强弱判 断的常用 方法 (2)根据“三表” 判断。 ②根据金属及非金属的活动性顺序表判断①两种不同的金属构成原电池的两极时,负极是电子流出的一极,正极 (3)依据“两池” 是电子流入的极。则两种金属的还原性:正极<负极。 判断。 ②用惰性电极电解混合溶液时,在阴极先得电子的阳离子的氧化性较 强,在阳极先失去电子的阴离子的还原性较强。 一般情况下,浓度越大,温度越高,氧化剂的氧化性(或还原剂的还 (4)依据“三度” 原性)越强;酸碱度是影响氧化性强弱的重要因素。 判断(即:浓 例如:①KMnO 在酸性条件下具有较强的氧化性,常温下即可和浓盐酸 4 度、温度、酸碱 反应制取氯气;②HNO(浓)的氧化性强于HNO(稀)的氧化性; 度)。 3 3 ③HNO(热)的氧化性强于HNO(冷)的氧化性。 3 3 题型一 氧化性还原性强弱判断 1.根据下列反应的化学方程式:①I+SO+2H O=HSO +2HI;②2FeCl +Cl=2FeCl ; 2 2 2 2 4 2 2 3 ③2FeCl +2HI=2FeCl +2HCl+I 判断有关物质的还原性强弱顺序是( ) 3 2 2 A. I->Fe2+>Cl->SO B. Cl->Fe2+>SO>I- 2 2 C. Fe2+>I->Cl->SO D. SO >I->Fe2+>Cl- 2 2 2.已知Co O 在酸性溶液中易被还原成Co2+,Co O 、Cl 、FeCl 、I 的氧化性依次减弱。下列反应在 2 3 2 3 2 3 2 水溶液中不可能发生的是( ) A.3Cl+6FeI===2FeCl +4FeI B.Cl+FeI===FeCl +I 2 2 3 3 2 2 2 2 C.Co O+6HCl(浓)===2CoCl +Cl↑+3HO D.2Fe3++2I-===2Fe2++I 2 3 2 2 2 2 3.常温下,在溶液中可发生以下反应: ①16H++10Z-+2XO===2X2++5Z+8HO 2 2 ②2M2++R ===2M3++2R- 2 ③2R-+Z===R +2Z- 2 2 由此判断下列说法错误的是( ) A.氧化性强弱顺序为XOCl >Fe3+ B.氧化性:Cl>Br >Cr O 2 2 2 2 2 C.还原性:SO Cr3+>Fe2+ 2 6.已知HSO +I+HO===H SO +2HI,将0.1 mol Cl 通入100 mL含等物质的量的HI与HSO 的混 2 3 2 2 2 4 2 2 3 合溶液中,有一半的HI被氧化,则下列说法正确的是( ) A.物质的还原性:HI>HSO >HCl 2 3 B.HSO 的物质的量浓度为0.6 mol·L-1 2 3 C.若再通入0.05 mol Cl ,则恰好能将HI和HSO 完全氧化 2 2 3 D.通入0.1 mol Cl 发生反应的离子方程式为5Cl+4HSO +2I-+4HO===4SO+I+10Cl-+16H+ 2 2 2 3 2 2 题型二 氧化还原反应规律的应用 7.有Fe2+、NO、Fe3+、NH、H+和HO六种粒子,属于同一氧化还原反应中的反应物和生成物,下 2 列叙述不正确的是( ) A.氧化剂和还原剂的物质的量之比为1∶8 B.该反应说明Fe(NO ) 溶液不宜加酸酸化 3 2 C.每1 mol NO发生氧化反应,转移8 mol e- D.若把该反应设计为原电池,则负极反应为Fe2+-e-===Fe3+ 8.(2023·四川省德阳市高三质检)四氧化三铁(Fe O)磁性纳米颗粒稳定、容易生产且用途广泛, 是临 3 4 床诊断、生物技术和环境化学领域多 和潜在应用的有力工具。水热法制备(Fe O)纳米颗粒的反应是: 3 4 3Fe2++2 S O2-+O +xOH-= Fe O↓+ S O2-+2H O。下列问题叙述不正确的是( ) 2 3 2 3 4 4 6 2 A.水热法制备Fe O纳米颗粒的反应中,还原剂不只是SO2- 3 4 2 3 B.反应的离子方程式中x=4 C.每生成 1mol Fe O, 反应转移的电子为 3 4 D.被Fe2+还原的 的物质的量为 9.2022年我国空间站的建设举世瞩目,神州十四飞船整装待发。飞船的天线用钛镍记忆合金制造, 工业上用钛酸亚铁(FeTiO)冶炼钛(Ti)的过程是( ) 3 反应①:2FeTiO+6C+7Cl 2TiCl +2FeCl +6CO 3 2 4 3 反应②:在氩气环境中,2Mg+TiCl Ti+2MgCl 4 2 下列有关说法不正确的是 A.反应①中Cl 是氧化剂,C、FeTiO 是还原剂 2 3 B.反应①中每生成标准状况下6.72LCO气体,转移0.7N 个电子 A C.反应②中Mg被氧化,TiCl 被还原 4 D.反应①、②中钛元素的化合价都发生了变化 10.(2023·山西省吕梁市高三阶段性测试)(双选)钒元素在酸性溶液中有多种存在形式,其中VO2+为蓝色,VO +为淡黄色,VO +具有较强的氧化性,Fe2+、SO 2- 等能把VO +还原为VO2+,向VOSO 溶液中滴加 2 2 3 2 4 酸性KMnO 溶液,溶液颜色由蓝色变为淡黄色。下列说法正确的是( ) 4 A.在酸性溶液中氧化性:MnO ->VO2+>SO 2- 4 4 B.亚硫酸钠溶液与酸性(VO )SO 溶液发生反应:2VO ++2H++ SO 2-=2VO2++ SO 2- +H O 2 2 4 2 3 4 2 C.向VOSO 溶液中滴加FeCl ,溶液由蓝色变为淡黄色 4 3 D.向含1molVO2+的溶液中滴加含1molKMnO 的酸性溶液完全反应,转移电子为5mol 4 11.(2024·江苏苏州高三期中)硼单质及其化合物有重要的应用。硼晶体熔点为2076℃,可形成多种卤 化物。BF 可与NH 反应生成NH BF。BCl 可与H 反应生成乙硼烷B H (标准燃烧热为 ), 3 3 3 3 3 2 2 6 其分子中一个硼与周围的四个氢形成正四面体,结构式为 ,具有还原性。乙硼烷易水解生 成HBO 与H,HBO 是一种一元弱酸,可作吸水剂。乙硼烷可与NH 反应生成氨硼烷(NH BF),其在一 3 3 2 3 3 3 3 3 定条件下可以脱氢,最终得到BN。乙硼烷也可与NaH反应生成NaBH ,是一种常用的还原剂。下列物质 4 的结构、性质、用途之间不具有对应关系的是( ) A.B电负性小于H,NaBH 可用作还原剂 B.HBO 有弱酸性,可用作吸水剂 4 3 3 C.BF 中B有空轨道,易与NH 形成NH BF D.NH BF 可以脱氢,可用作储氢材料 3 3 3 3 3 3 12.(2024·宁夏银川高三第三次月考)向1 L FeI 溶液中不断通入Cl,溶液中I-、I、IO 和Fe2+、Fe3+的 2 2 2 物质的量随 的值的变化分别如图1、图2所示 已知:5Cl+I +6H O=2IO-+10Cl-+12H+。下列说法正确的是( ) 2 2 2 3 A.图1中b表示IO -,图2中e表示Fe3+ 3 B.由图可知,FeI 的物质的量浓度为1 mol·L-1 2 C. =4时,溶液中的I 与Fe3+的物质的量相等 2 D.还原性:I->Fe2+>I >Cl- 2 考点三 氧化还原反应方程式的书写与配平 1.(2021•河北选择性考试)绿色化学在推动社会可持续发展中发挥着重要作用。某科研团队设计了一 种熔盐液相氧化法制备高价铬盐的新工艺,该工艺不消耗除铬铁矿、氢氧化钠和空气以外的其他原料,不 产生废弃物,实现了Cr—Fe—Al—Mg的深度利用和Na+内循环。工艺流程如图:回答下列问题: (1)高温连续氧化工序中被氧化的元素是____________(填元素符号)。 (2)工序①的名称为____________________。 (3)滤渣的主要成分是___________(填化学式)。 (4)工序③中发生反应的离子方程式为______________________________。 (5)物质V可代替高温连续氧化工序中的NaOH,此时发生的主要反应的化学方程式为 ____________________________,可代替NaOH的化学试剂还有_______(填化学式)。 (6)热解工序产生的混合气体最适宜返回工序_____________________(填“①”或“②”或“③”或 “④”)参与内循环。 (7)工序④溶液中的铝元素恰好完全转化为沉淀的pH为____________________。(通常认为溶液中离子 浓度小于10-5mol•L-1为沉淀完全;A1(OH) +OH- Al(OH) -:K=100.63,K =10-14,K [A1(OH) ]=10-33) 3 4 w sp 3 Al(OH) - +H+ A1(OH) +H Oc[Al(OH) -]2.(2021·福建卷,11)四钼酸铵是钼深加工的 4 3 2 4 重要中间产品具有广泛的用途。一种以钼精矿(主要含MoS,还有 、 的化合物及SiO 等)为原料制备 2 2 四钼酸铵的工艺流程如下图所示。 回答下列问题: (4)“净化”后,溶液中若有低价钼(MoO2-表示),可加入适量HO 将其氧化为MoO2-,反应的离子方 3 2 2 4 程式为_______。 (6)高温下用H 还原(NH )MoO 可制得金属钼,反应的化学方程式为_______。【已知:(NH )MoO 2 4 2 4 13 4 2 4 13 受热分解生成MoO】 3 3.(2021•湖南卷,17)Ce (CO) 可用于催化剂载体及功能材料的制备。天然独居石中,铈(Ce)主要以 2 3 3 CePO 形式存在,还含有SiO 、Al O 、Fe O 、CaF 等物质。以独居石为原料制备Ce (CO)•nH O的工艺 4 2 2 3 2 3 2 2 3 3 2 流程如图: 回答下列问题: (5)“沉铈”过程中,生成Ce (CO)•nH O的离子方程式为 ; 2 3 3 2 (6)滤渣Ⅱ的主要成分为 FePO ,在高温条件下,LiCO 、葡萄糖(C H O)和FePO 可制备电极材料 4 2 3 6 12 6 4LiFePO ,同时生成CO和HO,该反应的化学方程式为 。 4 2 陌生化学方程式书写的思路 首先根据题给材料中的信息写出部分反应物和生成物的化学式,再根据反应前后元素化合价有无变化 判断反应类型: (1)元素化合价无变化则为非氧化还原反应,遵循原子守恒定律。 (2)元素化合价有变化则为氧化还原反应,除遵循原子守恒定律外,还要遵循得失电子守恒规律。最后 根据题目要求写出化学方程式或离子方程式(需要遵循电荷守恒规律)即可。 1.氧化还原方程式配平的基本原则 2.氧化还原方程式配平的一般步骤 3.书写信息型氧化还原反应的步骤(三步法) 根据氧化还原顺序规律确定氧化性最强的为氧化剂,还原性最强的为还原 剂;根据化合价规律及题给信息和已知元素化合物性质确定相应的还原产物、 第1步 氧化产物;根据氧化还原反应的守恒规律确定氧化剂、还原剂、还原产物、氧 化产物的相应化学计量数。 根据溶液的酸碱性,通过在反应方程式的两端添加H+或OH-的形式使方程式 第2步 两端的电荷守恒。 根据原子守恒,通过在反应方程式两端添加HO(或其他小分子)使方程式两端 第3步 2 的原子守恒。1.(2024·黑龙江龙东五地市联考期中)将Cl 通入70℃的氢氧化钠水溶液中,能同时发生以下两个反应 2 (均未配平):NaOH+Cl →NaCl+NaClO+H O,NaOH+Cl →NaCl+NaClO +H O,反应完成后测得溶液中 2 2 2 3 2 NaClO与NaClO 的物质的量浓度之比为5:2,则该溶液中 与 的物质的量之比为( ) 3 A. B. C. D. 2.高锰酸钾溶液在酸性条件下可以与硫酸亚铁反应,反应方程式如下:KMnO +FeSO+H SO 4 4 2 4 KSO +MnSO +Fe (SO )+H O(未配平)。下列说法正确的是( )。 2 4 4 2 4 3 2 A.Fe2+的还原性强于Mn2+ B.MnO -是氧化剂,Fe3+是还原产物 4 C.氧化剂和还原剂物质的量之比为5∶1 D.生成1 mol水时,转移2.5 mol电子 3.NaNO 是一种食品添加剂,它能致癌。酸性KMnO 溶液与NaNO 反应的化学方程式是:MnO+ 2 4 2 NO+→Mn2++NO+HO。下列叙述中正确的是( ) 2 A.该反应中NO被还原 B.反应过程中溶液的pH减小 C.生成1 mol NaNO 需消耗0.4 mol KMnO D.中的粒子是OH- 3 4 4.(2023·河南省洛阳创新发展联盟高三调研)二氧化氯(ClO )是一种优良的消毒剂,可用氯酸钠和双氧 2 水在酸性条件下反应制备:NaClO+H O+H SO →ClO ↑+O ↑+Na SO +H O (未配平)。下列说法正确的是( 3 2 2 2 4 2 2 2 4 2 ) A.每转移1mol电子,生成标准状况下11.2LO B.HO 是氧化剂,发生氧化反应 2 2 2 C.HO是还原产物 D.产物中ClO 与O 的物质的量之比为1∶2 2 2 2 5.已知二氧化硒是一种氧化剂,它可由Se+2HSO (浓)===2SO↑+SeO +2HO制取。又知离子方程 2 4 2 2 2 式aSeO+bSO +cHO===aSe+b__X__+d__Y__;则关于下列叙述正确的是( ) 2 2 2 A.a∶b=1∶1 B.Y为OH- C.氧化性为SeO>HSO (浓) D.若每生成0.2 mol X则该反应转移0.4N 个电子 2 2 4 A 6.FeO·Cr O+NaCO+NaNO ――→NaCrO+Fe O+CO+NaNO 2 3 2 3 3 2 4 2 3 2 2 上述反应配平后 FeO·Cr O 与 NaNO 的系数比为________。该步骤不能使用陶瓷容器,原因是 2 3 3 ___________________________________________________________________。 7.MnO(OH) +I-+H+→Mn2++I+HO(未配平),其化学计量数依次为________。 2 2 2 8.高铁酸钠(Na FeO)是水处理过程中使用的一种新型净水剂作剂,它的氧化性比高锰酸钾更强,本身 2 4 在反应中被还原为Fe2+离子.配平制取铁酸钠的化学方程式: ________Fe(NO )+________NaOH+________Cl ═________Na FeO+________NaCl+6NaNO +8H O.反应中, 3 3 2 2 4 3 2 ________元素被氧化,每生成8mol HO转移电子总数为________。 2 9.高锰酸钾(KMnO)和过氧化氢(H O)是两种常见的氧化剂。 4 2 2 (1)下列物质中能使酸性KMnO 溶液褪色的是________(填字母)。 4 a.臭碱(Na S) b.小苏打(NaHCO ) 2 3 c.水玻璃(Na SiO 溶液) d.酒精(C HOH) 2 3 2 5 (2)某强酸性反应体系中,参与反应的共有六种微粒:O、MnO -、HO、Mn2+、HO、H+。 2 4 2 2 2 ①该反应中应选择的酸是________(填字母)。 a.盐酸 b.浓硫酸 c.稀硫酸 d.稀硝酸 ②该反应中发生还原反应的过程是________→________。 ③写出该反应的离子方程式:____________________________________。④若上述反应中有6.72 L(标准状况)气体生成,则转移的电子为________mol。 10.常温下,二氧化氯(ClO )是一种黄绿色气体,具有强氧化性,已被联合国世界卫生组织(WHO)列 2 为AI级高效安全消毒剂。常温下,它可用氯酸钠固体与浓盐酸反应制备得到,该反应体系中的物质有 NaCl 、HO、ClO 、NaClO、Cl、HCl。 2 2 3 2 (1)写出并配平该反应的化学方程式 _____________________________________。 (2)该反应的还原产物是_____________。 (3)在标准状况下,如果反应中生成11.2L氯气,则被氧化的HCl的物质的量为______,转移电子数目 为 ___________。 (4)二氧化氯可迅速氧化硫化物(其中还原产物中氯元素为负一价),以除去水中硫化物产生的臭味。取 适量ClO 通入到含有HS(二元弱酸)的水中,再向其中加入少量氯化钡溶液,发现有白色沉淀生成。写出 2 2 ClO 与HS水溶液反应的离子方程式_________________________________。 2 2