当前位置:首页>文档>专题14三角函数与解三角形大题训练(教师版)_02高考数学_通用版(老高考)复习资料_2024年复习资料_完备战2024年高考数学一轮复习考点帮(全国通用)_核心考点讲练

专题14三角函数与解三角形大题训练(教师版)_02高考数学_通用版(老高考)复习资料_2024年复习资料_完备战2024年高考数学一轮复习考点帮(全国通用)_核心考点讲练

  • 2026-04-12 02:07:58 2026-04-12 02:07:58

文档预览

专题14三角函数与解三角形大题训练(教师版)_02高考数学_通用版(老高考)复习资料_2024年复习资料_完备战2024年高考数学一轮复习考点帮(全国通用)_核心考点讲练
专题14三角函数与解三角形大题训练(教师版)_02高考数学_通用版(老高考)复习资料_2024年复习资料_完备战2024年高考数学一轮复习考点帮(全国通用)_核心考点讲练
专题14三角函数与解三角形大题训练(教师版)_02高考数学_通用版(老高考)复习资料_2024年复习资料_完备战2024年高考数学一轮复习考点帮(全国通用)_核心考点讲练
专题14三角函数与解三角形大题训练(教师版)_02高考数学_通用版(老高考)复习资料_2024年复习资料_完备战2024年高考数学一轮复习考点帮(全国通用)_核心考点讲练
专题14三角函数与解三角形大题训练(教师版)_02高考数学_通用版(老高考)复习资料_2024年复习资料_完备战2024年高考数学一轮复习考点帮(全国通用)_核心考点讲练
专题14三角函数与解三角形大题训练(教师版)_02高考数学_通用版(老高考)复习资料_2024年复习资料_完备战2024年高考数学一轮复习考点帮(全国通用)_核心考点讲练
专题14三角函数与解三角形大题训练(教师版)_02高考数学_通用版(老高考)复习资料_2024年复习资料_完备战2024年高考数学一轮复习考点帮(全国通用)_核心考点讲练
专题14三角函数与解三角形大题训练(教师版)_02高考数学_通用版(老高考)复习资料_2024年复习资料_完备战2024年高考数学一轮复习考点帮(全国通用)_核心考点讲练
专题14三角函数与解三角形大题训练(教师版)_02高考数学_通用版(老高考)复习资料_2024年复习资料_完备战2024年高考数学一轮复习考点帮(全国通用)_核心考点讲练
专题14三角函数与解三角形大题训练(教师版)_02高考数学_通用版(老高考)复习资料_2024年复习资料_完备战2024年高考数学一轮复习考点帮(全国通用)_核心考点讲练
专题14三角函数与解三角形大题训练(教师版)_02高考数学_通用版(老高考)复习资料_2024年复习资料_完备战2024年高考数学一轮复习考点帮(全国通用)_核心考点讲练
专题14三角函数与解三角形大题训练(教师版)_02高考数学_通用版(老高考)复习资料_2024年复习资料_完备战2024年高考数学一轮复习考点帮(全国通用)_核心考点讲练
专题14三角函数与解三角形大题训练(教师版)_02高考数学_通用版(老高考)复习资料_2024年复习资料_完备战2024年高考数学一轮复习考点帮(全国通用)_核心考点讲练
专题14三角函数与解三角形大题训练(教师版)_02高考数学_通用版(老高考)复习资料_2024年复习资料_完备战2024年高考数学一轮复习考点帮(全国通用)_核心考点讲练
专题14三角函数与解三角形大题训练(教师版)_02高考数学_通用版(老高考)复习资料_2024年复习资料_完备战2024年高考数学一轮复习考点帮(全国通用)_核心考点讲练
专题14三角函数与解三角形大题训练(教师版)_02高考数学_通用版(老高考)复习资料_2024年复习资料_完备战2024年高考数学一轮复习考点帮(全国通用)_核心考点讲练
专题14三角函数与解三角形大题训练(教师版)_02高考数学_通用版(老高考)复习资料_2024年复习资料_完备战2024年高考数学一轮复习考点帮(全国通用)_核心考点讲练
专题14三角函数与解三角形大题训练(教师版)_02高考数学_通用版(老高考)复习资料_2024年复习资料_完备战2024年高考数学一轮复习考点帮(全国通用)_核心考点讲练
专题14三角函数与解三角形大题训练(教师版)_02高考数学_通用版(老高考)复习资料_2024年复习资料_完备战2024年高考数学一轮复习考点帮(全国通用)_核心考点讲练
专题14三角函数与解三角形大题训练(教师版)_02高考数学_通用版(老高考)复习资料_2024年复习资料_完备战2024年高考数学一轮复习考点帮(全国通用)_核心考点讲练
专题14三角函数与解三角形大题训练(教师版)_02高考数学_通用版(老高考)复习资料_2024年复习资料_完备战2024年高考数学一轮复习考点帮(全国通用)_核心考点讲练
专题14三角函数与解三角形大题训练(教师版)_02高考数学_通用版(老高考)复习资料_2024年复习资料_完备战2024年高考数学一轮复习考点帮(全国通用)_核心考点讲练
专题14三角函数与解三角形大题训练(教师版)_02高考数学_通用版(老高考)复习资料_2024年复习资料_完备战2024年高考数学一轮复习考点帮(全国通用)_核心考点讲练
专题14三角函数与解三角形大题训练(教师版)_02高考数学_通用版(老高考)复习资料_2024年复习资料_完备战2024年高考数学一轮复习考点帮(全国通用)_核心考点讲练
专题14三角函数与解三角形大题训练(教师版)_02高考数学_通用版(老高考)复习资料_2024年复习资料_完备战2024年高考数学一轮复习考点帮(全国通用)_核心考点讲练
专题14三角函数与解三角形大题训练(教师版)_02高考数学_通用版(老高考)复习资料_2024年复习资料_完备战2024年高考数学一轮复习考点帮(全国通用)_核心考点讲练
专题14三角函数与解三角形大题训练(教师版)_02高考数学_通用版(老高考)复习资料_2024年复习资料_完备战2024年高考数学一轮复习考点帮(全国通用)_核心考点讲练
专题14三角函数与解三角形大题训练(教师版)_02高考数学_通用版(老高考)复习资料_2024年复习资料_完备战2024年高考数学一轮复习考点帮(全国通用)_核心考点讲练
专题14三角函数与解三角形大题训练(教师版)_02高考数学_通用版(老高考)复习资料_2024年复习资料_完备战2024年高考数学一轮复习考点帮(全国通用)_核心考点讲练
专题14三角函数与解三角形大题训练(教师版)_02高考数学_通用版(老高考)复习资料_2024年复习资料_完备战2024年高考数学一轮复习考点帮(全国通用)_核心考点讲练
专题14三角函数与解三角形大题训练(教师版)_02高考数学_通用版(老高考)复习资料_2024年复习资料_完备战2024年高考数学一轮复习考点帮(全国通用)_核心考点讲练
专题14三角函数与解三角形大题训练(教师版)_02高考数学_通用版(老高考)复习资料_2024年复习资料_完备战2024年高考数学一轮复习考点帮(全国通用)_核心考点讲练
专题14三角函数与解三角形大题训练(教师版)_02高考数学_通用版(老高考)复习资料_2024年复习资料_完备战2024年高考数学一轮复习考点帮(全国通用)_核心考点讲练
专题14三角函数与解三角形大题训练(教师版)_02高考数学_通用版(老高考)复习资料_2024年复习资料_完备战2024年高考数学一轮复习考点帮(全国通用)_核心考点讲练
专题14三角函数与解三角形大题训练(教师版)_02高考数学_通用版(老高考)复习资料_2024年复习资料_完备战2024年高考数学一轮复习考点帮(全国通用)_核心考点讲练
专题14三角函数与解三角形大题训练(教师版)_02高考数学_通用版(老高考)复习资料_2024年复习资料_完备战2024年高考数学一轮复习考点帮(全国通用)_核心考点讲练
专题14三角函数与解三角形大题训练(教师版)_02高考数学_通用版(老高考)复习资料_2024年复习资料_完备战2024年高考数学一轮复习考点帮(全国通用)_核心考点讲练
专题14三角函数与解三角形大题训练(教师版)_02高考数学_通用版(老高考)复习资料_2024年复习资料_完备战2024年高考数学一轮复习考点帮(全国通用)_核心考点讲练
专题14三角函数与解三角形大题训练(教师版)_02高考数学_通用版(老高考)复习资料_2024年复习资料_完备战2024年高考数学一轮复习考点帮(全国通用)_核心考点讲练
专题14三角函数与解三角形大题训练(教师版)_02高考数学_通用版(老高考)复习资料_2024年复习资料_完备战2024年高考数学一轮复习考点帮(全国通用)_核心考点讲练
专题14三角函数与解三角形大题训练(教师版)_02高考数学_通用版(老高考)复习资料_2024年复习资料_完备战2024年高考数学一轮复习考点帮(全国通用)_核心考点讲练
专题14三角函数与解三角形大题训练(教师版)_02高考数学_通用版(老高考)复习资料_2024年复习资料_完备战2024年高考数学一轮复习考点帮(全国通用)_核心考点讲练
专题14三角函数与解三角形大题训练(教师版)_02高考数学_通用版(老高考)复习资料_2024年复习资料_完备战2024年高考数学一轮复习考点帮(全国通用)_核心考点讲练
专题14三角函数与解三角形大题训练(教师版)_02高考数学_通用版(老高考)复习资料_2024年复习资料_完备战2024年高考数学一轮复习考点帮(全国通用)_核心考点讲练
专题14三角函数与解三角形大题训练(教师版)_02高考数学_通用版(老高考)复习资料_2024年复习资料_完备战2024年高考数学一轮复习考点帮(全国通用)_核心考点讲练
专题14三角函数与解三角形大题训练(教师版)_02高考数学_通用版(老高考)复习资料_2024年复习资料_完备战2024年高考数学一轮复习考点帮(全国通用)_核心考点讲练
专题14三角函数与解三角形大题训练(教师版)_02高考数学_通用版(老高考)复习资料_2024年复习资料_完备战2024年高考数学一轮复习考点帮(全国通用)_核心考点讲练
专题14三角函数与解三角形大题训练(教师版)_02高考数学_通用版(老高考)复习资料_2024年复习资料_完备战2024年高考数学一轮复习考点帮(全国通用)_核心考点讲练
专题14三角函数与解三角形大题训练(教师版)_02高考数学_通用版(老高考)复习资料_2024年复习资料_完备战2024年高考数学一轮复习考点帮(全国通用)_核心考点讲练
专题14三角函数与解三角形大题训练(教师版)_02高考数学_通用版(老高考)复习资料_2024年复习资料_完备战2024年高考数学一轮复习考点帮(全国通用)_核心考点讲练
专题14三角函数与解三角形大题训练(教师版)_02高考数学_通用版(老高考)复习资料_2024年复习资料_完备战2024年高考数学一轮复习考点帮(全国通用)_核心考点讲练
专题14三角函数与解三角形大题训练(教师版)_02高考数学_通用版(老高考)复习资料_2024年复习资料_完备战2024年高考数学一轮复习考点帮(全国通用)_核心考点讲练
专题14三角函数与解三角形大题训练(教师版)_02高考数学_通用版(老高考)复习资料_2024年复习资料_完备战2024年高考数学一轮复习考点帮(全国通用)_核心考点讲练
专题14三角函数与解三角形大题训练(教师版)_02高考数学_通用版(老高考)复习资料_2024年复习资料_完备战2024年高考数学一轮复习考点帮(全国通用)_核心考点讲练
专题14三角函数与解三角形大题训练(教师版)_02高考数学_通用版(老高考)复习资料_2024年复习资料_完备战2024年高考数学一轮复习考点帮(全国通用)_核心考点讲练
专题14三角函数与解三角形大题训练(教师版)_02高考数学_通用版(老高考)复习资料_2024年复习资料_完备战2024年高考数学一轮复习考点帮(全国通用)_核心考点讲练
专题14三角函数与解三角形大题训练(教师版)_02高考数学_通用版(老高考)复习资料_2024年复习资料_完备战2024年高考数学一轮复习考点帮(全国通用)_核心考点讲练
专题14三角函数与解三角形大题训练(教师版)_02高考数学_通用版(老高考)复习资料_2024年复习资料_完备战2024年高考数学一轮复习考点帮(全国通用)_核心考点讲练
专题14三角函数与解三角形大题训练(教师版)_02高考数学_通用版(老高考)复习资料_2024年复习资料_完备战2024年高考数学一轮复习考点帮(全国通用)_核心考点讲练
专题14三角函数与解三角形大题训练(教师版)_02高考数学_通用版(老高考)复习资料_2024年复习资料_完备战2024年高考数学一轮复习考点帮(全国通用)_核心考点讲练
专题14三角函数与解三角形大题训练(教师版)_02高考数学_通用版(老高考)复习资料_2024年复习资料_完备战2024年高考数学一轮复习考点帮(全国通用)_核心考点讲练
专题14三角函数与解三角形大题训练(教师版)_02高考数学_通用版(老高考)复习资料_2024年复习资料_完备战2024年高考数学一轮复习考点帮(全国通用)_核心考点讲练
专题14三角函数与解三角形大题训练(教师版)_02高考数学_通用版(老高考)复习资料_2024年复习资料_完备战2024年高考数学一轮复习考点帮(全国通用)_核心考点讲练
专题14三角函数与解三角形大题训练(教师版)_02高考数学_通用版(老高考)复习资料_2024年复习资料_完备战2024年高考数学一轮复习考点帮(全国通用)_核心考点讲练
专题14三角函数与解三角形大题训练(教师版)_02高考数学_通用版(老高考)复习资料_2024年复习资料_完备战2024年高考数学一轮复习考点帮(全国通用)_核心考点讲练
专题14三角函数与解三角形大题训练(教师版)_02高考数学_通用版(老高考)复习资料_2024年复习资料_完备战2024年高考数学一轮复习考点帮(全国通用)_核心考点讲练
专题14三角函数与解三角形大题训练(教师版)_02高考数学_通用版(老高考)复习资料_2024年复习资料_完备战2024年高考数学一轮复习考点帮(全国通用)_核心考点讲练
专题14三角函数与解三角形大题训练(教师版)_02高考数学_通用版(老高考)复习资料_2024年复习资料_完备战2024年高考数学一轮复习考点帮(全国通用)_核心考点讲练
专题14三角函数与解三角形大题训练(教师版)_02高考数学_通用版(老高考)复习资料_2024年复习资料_完备战2024年高考数学一轮复习考点帮(全国通用)_核心考点讲练
专题14三角函数与解三角形大题训练(教师版)_02高考数学_通用版(老高考)复习资料_2024年复习资料_完备战2024年高考数学一轮复习考点帮(全国通用)_核心考点讲练
专题14三角函数与解三角形大题训练(教师版)_02高考数学_通用版(老高考)复习资料_2024年复习资料_完备战2024年高考数学一轮复习考点帮(全国通用)_核心考点讲练
专题14三角函数与解三角形大题训练(教师版)_02高考数学_通用版(老高考)复习资料_2024年复习资料_完备战2024年高考数学一轮复习考点帮(全国通用)_核心考点讲练

文档信息

文档格式
docx
文档大小
4.181 MB
文档页数
72 页
上传时间
2026-04-12 02:07:58

文档内容

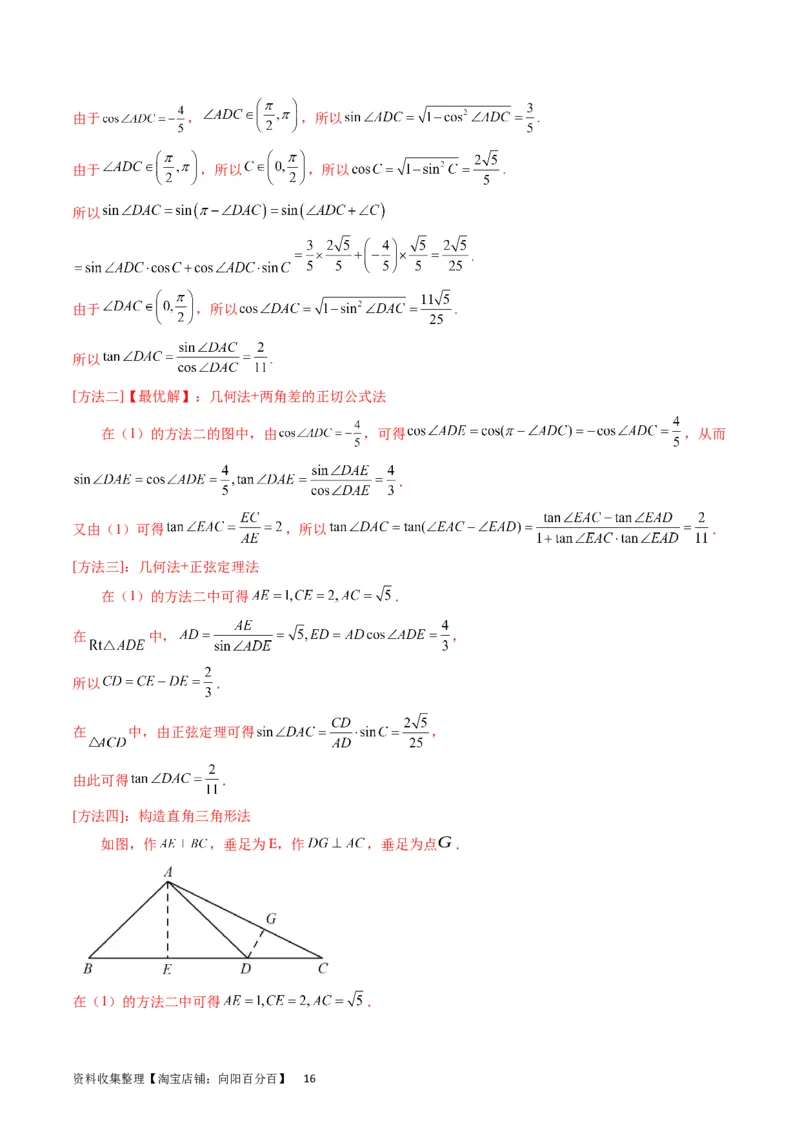
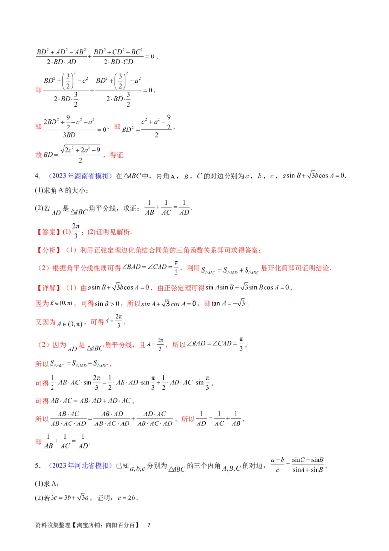
专题 14 三角函数与解三角形大题训练 题型一、正、余弦定理判定三角形形状 1.(2023年浙江省模拟)在 中,内角 所对的边分别为 , , ,已知 . (1)求角 的大小; (2)若 , ,求 的值; (3)若 ,判断 的形状. 【答案】(1) ;(2) ;(3)正三角形. 【分析】(1)根据三角形中角的范围可以确定 的大小; (2)代入余弦定理的公式既可以求得; (3)根据余弦定理和已知条件可以确定 ,在结合第一问求得的角的大小来确定三角形的形状. 【详解】(1)因为在三角形中, , ,所以 ; (2)根据余弦定理, , , ,解得 ; (3)因为 , , 化简得 ,则 , 又由(1)可知, ,所以 为正三角形. 2.(2023年广东省模拟)在 中, 是角 所对的边,且满足 (1)求角 的大小; (2)设向量 ,向量 ,且向量 共线,判断 的形状. 【答案】(1) ;(2)直角三角形. 【分析】(1)利用余弦定理可求 ,结合三角形性质可得角 的大小; (2)根据向量共线得出角 ,进而可以判断三角形的形状. 【详解】(1)因为 ,所以 ; 资料收集整理【淘宝店铺:向阳百分百】 1因为 ,所以 ; (2)因为 , 共线,所以 , 所以 或 (舍); 当 时, ,所以 为直角三角形. 3.在 中,角 、 、 所对的边分别为 、 、 .已知 ,且 为锐角. (1)求角 的大小; (2)若 ,证明: 是直角三角形. 【答案】(1) ;(2)证明见解析. 【分析】(1)利用正弦定理边化角可解得 ,再由 为锐角即可求解(2)利用正弦定理边化角之 后再消元,可得 ,再结合 的范围即可得证 【详解】(1)由正弦定理可知, , 又在 中, ,即 , 为锐角, . (2) 所以由正弦定理得: , 又 , 即 , , 故可得 , 即 为直角三角形. 资料收集整理【淘宝店铺:向阳百分百】 24.在 中,角 , , 所对的边分别是 , , ,且 (1)若 , ,求 ; (2)若 ,试判断 的形状. 【答案】(1)1;(2)等边三角形. 【分析】(1)先求出角B,然后结合已知条件,利用正弦定理求出角A,进而可得角C,从而可得答案; (2)利用余弦定理,结合已知条件可得 ,则有 ,从而即可判断 的形状. a=c 【详解】(1)解:在 中,由 , ,得 , 因为 , , 所以由正弦定理,可得 ,即 , 又 ,所以 , 所以 , 所以 ; (2)解:因为 ,所以 ,又由余弦定理有 . 所以 ,即 , 所以 , 所以 ,又 , 所以 , 所以 是等边三角形. 5.在△ABC中,a,b,c分别为角A,B,C的对边,已知 . (1)求角A的大小; (2)若b,a,c成等比数列,判断△ABC的形状. 【答案】(1) ;(2)等边三角形. 【分析】(1)由条件结合诱导公式和正弦定理可得 ,从而得到 ,得出答 案. (2)由条件可得 ,结合余弦定理可得 ,从而得到 ,结合 可判断出三角 资料收集整理【淘宝店铺:向阳百分百】 3形的形状. 【详解】(1)因为 ,由诱导公式得 由正弦定理得 ∵ ,∴ ,即∴ ∵ ,∴ b,a,c (2)∵ 成等比数列,则∴ 又因为 即 ,所以 ,即∴ 又∵ ,△ABC为等边三角形 题型二、证明三角形中的恒等或不等式 1.在 中, . (1)求 的大小; (2)若 ,证明: . 【答案】(1) ;(2)证明见解析. 【分析】(1)利用降幂公式化简已知条件,求出 tanB即可求出B; (2)结合余弦定理和已知条件即可证明. 【详解】(1)在 中,∵ , ∴ ,∴ ,∴ , ∵ ,∴ ; (2)∵ ,∴ . 由余弦定理得 ①, ∵ ,∴ ②, 资料收集整理【淘宝店铺:向阳百分百】 4将②代入①,得 , 整理得 ,∴ . 2.如图,在 中,点D在边AB上,BD=2AD,∠ACD=45°,∠BCD=90°. (1)求证: ; (2)若 ,求BC的长. 【答案】(1)证明见解析;(2) . 【分析】(1)由已知及正弦定理可得 AC=√2AD⋅sin∠ADC ,在ΔBCD中,由∠BCD=90°.可得 BC=BD⋅sin∠BDC,由∠BDC+∠ADC=π,BD=2AD,即可代入证明. (2)在ΔABC中,∠ACB=∠ACD+∠BCD=135°, BC=√2AC ,由余弦定理即可解得BC的值. 【详解】解:(1)在 中,∠ACD=45°, 由正弦定理可得: = , AD⋅sin∠ADC AD⋅sin∠ADC AC= = =√2AD⋅sin∠ADC 可得: sin∠ACD √2 , 2 在 中,∠BCD=90°. 则BC=BD⋅sin∠BDC, 由于:∠BDC+∠ADC=π,BD=2AD, 所以: BC=BD⋅sin∠BDC=2AD⋅sin∠ADC=√2AC , 即:BC=√2AC. (2)在ΔABC中,∠ACB=∠ACD+∠BCD=135°, BC=√2AC , 由余弦定理AB2 =AC2 +BC2 −2AC⋅BCcos∠ACB, √2 即:5=AC2 +(√2AC) 2 −2AC√2AC×(− )=5AC2 , 2 因为AC>0,所以:AC=1, BC=√2. 3.(2023年广东省衡水大联考数学试题)在 中,角 的对边分别为a,b,c,且 资料收集整理【淘宝店铺:向阳百分百】 5. (1)求B; (2)若 外接圆的半径为 ,点D为 边的中点,证明: . 【答案】(1) ;(2)证明见解析. 【分析】(1)对式子先用倍角公式和半角公式换为关于角 的等式,再将 提出后,括号内的用 两角和的正弦公式,最后用三角形中角之间的关系及诱导公式进行化简求值即可; (2)根据(1)的结论和正弦定理即可得 ,根据D为 边的中点,可得三角形中长度关系,根据 ,即 在两个小三角形中分别用余弦定理建立等式即可解得 . 【详解】(1)解:因为 , 即 , 即 , 即 , 因为 ,所以 ,且 , 所以等式可化为 ,即 , 即 ,因为 ,所以 ; (2)解:由(1)知 ,因为 外接圆的半径为 , 所以 中,由正弦定理知: , 即 ,解得 ,因为点 为 边的中点, b=3 D 所以 ,因为 , 所以 , 在 分别由余弦定理可得: , 代入 中可得: 资料收集整理【淘宝店铺:向阳百分百】 6, 即 , 即 ,即 , 故 ,得证. 4.(2023年湖南省模拟)在 中,内角 , , 的对边分别为 , , , . (1)求角A的大小; (2)若 是 角平分线,求证: . 【答案】(1) ;(2)证明见解析. 【分析】(1)利用正弦定理边化角结合同角的三角函数关系即可求得答案; (2)根据角平分线性质可得 ,利用 展开化简即可证明结论. 【详解】(1)由 ,由正弦定理可得 , 因为 ,可得 ,所以 ,即 , 又因为 ,可得 . (2)因为 是 角平分线,且 ,所以 , 所以 , 可得 , 可得 , 所以 ,所以 , 即 . 5.(2023年河北省模拟)已知 分别为 的三个内角 的对边, . (1)求A; (2)若 ,证明: . 资料收集整理【淘宝店铺:向阳百分百】 7【答案】(1) ;(2)证明见解析. 【分析】(1)由已知结合正弦定理角化边,可得 ,利用余弦定理即可求得答案; (2)利用正弦定理边化角,化简 ,可得 ,结合辅助角公式化简可求得角B 以及角C,利用直角三角形性质即可证明结论. 【详解】(1)由题意 ,由正弦定理可得 , 即 , 故 , 而 ,故 . (2)证明:因为 ,由正弦定理可得 , 即 , 所以 ,即 , 因为 ,则 , 故 , 故在 中, . 6.(2023年湖北省模拟)在 中,角 , , 的对边为 , , ,已知 ,且 . (1)若 ,求 ; (2)证明: ; 【答案】(1) ;(2)证明见解析. 【分析】(1)根据 , ,然后结合正弦定理以及二倍角公式解得 . (2)根据(1) ,然后结合余弦定理证明即可; 【详解】(1)依题意, ,所以 ,即 , 由正弦定理可知, ,即 , 资料收集整理【淘宝店铺:向阳百分百】 8从而 , A为三角形内角,故 . (2)由(1)可知, ,由余弦定理可得: ,即 , 则 ,又 ,故 ,从而 . 题型三、求三角形中的边长或周长的最值 1.△ABC的内角A,B,C的对边分别为a,b,c, , . (1)求角C; (2)求△ABC的外接圆的半径R,并求△ABC的周长的取值范围. 【答案】(1) ;(2) , . 【分析】(1)由正弦定理结合和角公式得出角C; (2)由正弦定理得出 ,由正弦定理的边化角公式得出 ,结合三角函 数的性质得出ΔABC 的周长的取值范围. 【详解】(1)由题,因为 所以由正弦定理可得 即 在ΔABC中, ,且 ,B, 又 ,所以 ,则 (2)由正弦定理得 ,所以 由(1)知 , , 所以 资料收集整理【淘宝店铺:向阳百分百】 9因为 ,所以 则 即△ABC的周长的取值范围为 2.(2023年宁夏月考数学(理科)试题)在 中, 、 、 分别是角A、B、C的对边, . (1)求B的大小; (2)若 ,求 的周长 的取值范围. 【答案】(1) ;(2) . 【分析】(1)由已知等式化简可得 ,结合余弦定理即可求得B的大小; (2)由正弦定理及三角恒等变换即可得周长 ,再根据正弦型函数的性质即可得 的取 值范围. 【详解】(1)由 得: 整理得 ,由余弦定理得 , 又 ,所以 ; (2)由正弦定理得 ,所以 , 则 的周长 , 因为 ,所以 ,所以 , 所以周长 的取值范围为 . 3.(2023届湖南省新高考适应性考试数学试题)在锐角 中,角A,B,C所对应的边分别为a,b, c,已知 . (1)求角B的值; 资料收集整理【淘宝店铺:向阳百分百】 10(2)若 ,求 的周长的取值范围. 【答案】(1) ;(2) . 【分析】(1)根据正弦定理得到 ,再利用余弦定理求出 ; (2)根据正弦定理得到 ,从而得到 ,求出 ,得到 , ,从而求出周长的取值范围. 【详解】(1) ,由正弦定理得: , 即 , 由余弦定理得: , 因为 ,所以 ; (2)锐角 中, , , 由正弦定理得: , 故 , 则 , 因为锐角 中, ,则 , , 解得: ,故 , , 则 , 故 , 所以三角形周长的取值范围是 . 【点睛】解三角形中最值或范围问题,通常涉及与边长,周长有关的范围问题,与面积有关的范围问题, 或与角度有关的范围问题, 资料收集整理【淘宝店铺:向阳百分百】 11常用处理思路:①余弦定理结合基本不等式构造不等关系求出答案; ②采用正弦定理边化角,利用三角函数的范围求出最值或范围,如果三角形为锐角三角形,或其他的限制, 通常采用这种方法; ③巧妙利用三角换元,实现边化角,进而转化为正弦或余弦函数求出最值 4.在 中, . ΔABC (1)求A; (2)若ΔABC 的内切圆半径 ,求 的最小值. 【答案】(1) ;(2) . 【分析】(1)根据已知条件、三角形的内角和定理及两角和的正弦公式,再结合解三角方程即可求解. (2)由题意可知,利用三角形的等面积法 及余弦 定理得出含有 和 的关系式,再利用基本不等式的变形即可求得 的最小值. 【详解】(1)在 中, , 整理得 ,即 ,于是 所以 , 因为 ,所以 ,即 , 所以 ,又因为 ,所以 , 所以 ,解得 .所以 . (2)令 ,(1)知 . 由 ,得 ,即 , 由余弦定理及(1)知 ,得 , 所以 , 资料收集整理【淘宝店铺:向阳百分百】 12即 ,于是 ,当且仅当 时取等号 所以 , 或 又 的内切圆半径 , , , , 的最小值为 . 5.在锐角 中,角 的对边分别为 ,且 . (1)求角 的大小; (2)若 ,求 的取值范围. 【答案】(1) ;(2) . 【分析】(1)利用正弦定理边化角,结合两角和差公式可化简求得 ,由此可得 ; (2)利用正弦定理可将 化为 ,利用两角和差公式和辅助角公式 可化简得到 ;根据正弦型函数值域求法,结合 的范围可得结果. 【详解】(1)由正弦定理得: , , , , , . (2)由正弦定理得: , , , ; 为锐角三角形, ,即 , , 资料收集整理【淘宝店铺:向阳百分百】 13, , , 即 的取值范围为 . 6.(2023届山东省模拟)在 中,角 , , 的对边分别是 , , ,满足 (1)求角 ; (2)若角 的平分线交 于点 ,且 ,求 的最小值. 【答案】(1) ;(2) . 【分析】(1)结合已知条件,利用余弦定理即可求解; (2)利用正弦定理得到 , ,然后利用基本不等式即可求解. 【详解】(1)由 可得: , 由余弦定理知, , 又 因此 . (2)在 中,由 ,得 , 在 中,由 ,可得 , 所以 ; 在 中,由 ,得 , 解得 , , 所以 , 因为 , , 所以 , 当且仅当 时取等号, 资料收集整理【淘宝店铺:向阳百分百】 14因此 的最小值为 . 题型四、几何图形中的计算 1.(2020年江苏省高考数学试题)在△ABC中,角A,B,C的对边分别为a,b,c,已知 . (1)求 的值; (2)在边BC上取一点D,使得 ,求 的值. 【答案】(1) ;(2) . 【分析】(1)方法一:利用余弦定理求得 ,利用正弦定理求得 . (2)方法一:根据 的值,求得 的值,由(1)求得 的值,从而求得 的值,进而求得 的值. 【详解】(1)[方法一]:正余弦定理综合法 由余弦定理得 ,所以 . 由正弦定理得 . [方法二]【最优解】:几何法 过点A作 ,垂足为E.在 中,由 ,可得 ,又 ,所以 . 在 中, ,因此 . (2)[方法一]:两角和的正弦公式法 资料收集整理【淘宝店铺:向阳百分百】 15由于 , ,所以 . 由于 ,所以 ,所以 . 所以 . 由于 ,所以 . 所以 . [方法二]【最优解】:几何法+两角差的正切公式法 在(1)的方法二的图中,由 ,可得 ,从而 . 又由(1)可得 ,所以 . [方法三]:几何法+正弦定理法 在(1)的方法二中可得 . 在 中, , 所以 . 在 中,由正弦定理可得 , 由此可得 . [方法四]:构造直角三角形法 如图,作 ,垂足为E,作 ,垂足为点G. 在(1)的方法二中可得 . 资料收集整理【淘宝店铺:向阳百分百】 16由 ,可得 . 在 中, . 由(1)知 ,所以在 中, ,从而 . 在 中, . 所以 . 【整体点评】(1)方法一:使用余弦定理求得 ,然后使用正弦定理求得 ;方法二:抓住45° 角的特点,作出辅助线,利用几何方法简单计算即得答案,运算尤其简洁,为最优解;(2)方法一:使 用两角和的正弦公式求得 的正弦值,进而求解;方法二:适当作出辅助线,利用两角差的正切公式 求解,运算更为简洁,为最优解;方法三:在几何法的基础上,使用正弦定理求得 的正弦值,进而 得解;方法四:更多的使用几何的思维方式,直接作出含有 的直角三角形,进而求解,也是很优美 的方法. 2.如图,已知在 中,M为BC上一点, , 且 . (1)若 ,求 的值; (2)若AM为 的平分线,且 ,求 的面积. 【答案】(1) ;(2) . 【分析】(1)由 求得 ,由 可得 ,结合 得 ,利用正弦定理即可求得答案; (2)由余弦定理求得 ,根据角平分线性质定理可求得 ,再求得 ,由三角形面积公式 可得答案. 【详解】(1)因为 , ,所以 , 因为 , 资料收集整理【淘宝店铺:向阳百分百】 17所以由正弦定理知 ,即 , 因为 ,所以 , , 在 中, . (2)由题意知 ,设 , 由余弦定理得 ,解得 或 . 因为 ,所以 , 因为AM为 的平分线, 所以 (h为底边BC的高) 所以 ,故 , 而由(1)知 , 所以 . 3.如图,在平面四边形ABCD中, , , . (1)若 ,求 的面积; (2)若 ,求BC. 【答案】(1) ;(2) . 【分析】(1)根据 求得 ,再结合 求 解即可 (2)设 ,再在 中利用正弦定理得出关于 的方程,再根据三角函数恒等变换化简求解即 可 【详解】(1)由 可得 ,又 故 , 故 资料收集整理【淘宝店铺:向阳百分百】 18(2)设 ,则 , ,在 中,由正弦定理可得 ,即 ,交叉相乘化简得 ,即 ,利用降幂公式有 ,利用辅助角公 式有 ,故 ,利用诱导公式可得 ,故 ,又 ,解得 ,又由正弦定理有 ,故 . 4.如图,在圆内接四边形ABCD中, , , , 的面积为 . (1)求AC; (2)求 . 【答案】(1) ;(2) . 【分析】(1)根据面积公式可得 ,再根据余弦定理求解可得 ; (2)根据内接四边形可得 ,再根据正弦定理求解即可 【详解】(1)因为 的面积为 ,所以 . 又因为 , ,所以 . 由余弦定理得, , ,所以 . ABCD (2)因为 为圆内接四边形,且 , 所以 .又 ,由正弦定理可得, , 故 . 资料收集整理【淘宝店铺:向阳百分百】 19因为 , 所以 ,所以 . 5.如图,在梯形 中, , , , . (1)若 ,求梯形 的面积; (2)若 ,求 . 【答案】(1) ;(2) . BC BC 【分析】(1) 中,利用含 的余弦定理表达式建立 的方程,求出 而得 面积,再利 用面积关系求 的面积得解; (2)由题设中角的信息用 表示出 与 中的相关角,再在这两个三角形中利用正弦定理建立 两个方程,联立整理得 的方程,解之即得. 【详解】(1)设 ,在 中,由余弦定理 得: ,即 ,而 ,解得 , x>0 x=4 所以 ,则 的面积 , 梯形 中, , 与 等高,且 , 所以 的面积 , 则梯形 的面积 ; (2)在梯形 中,设 ,而 , 则 , , , , 在 中,由正弦定理 得: , 在 中,由正弦定理 得: , 两式相除得: , 整理得 , 资料收集整理【淘宝店铺:向阳百分百】 20即 解得 或 , 因为 ,则 ,即 . 【点睛】(1)三角形中已知两边及一边对角求第三边,利用余弦定理建立关于第三边的一元二次方程求解; (2)涉及平面多边形问题,把图形拆分成若干个三角形,再在各个三角形内利用正弦、余弦定理求解. 6.(2023年广东省模拟数学试题)如图,在平面四边形 中, , . (1)若 平分 ,证明: ; (2)记 与 的面积分别为 和 ,求 的最大值. 【答案】(1)证明见解析;(2) . 【分析】(1)利用 可构造方程求得 ,利用余弦定理可求得 ,由 此可得结论; (2)在 中,利用余弦定理可构造方程求得 ,利用三角形面积公式化简 为 ,结合二次函数性质可得最大值. 【详解】(1) 平分 , ,则 , 由余弦定理得: , 即 ,解得: ; , , ,又 , , (2) , ,整理可得: ; 资料收集整理【淘宝店铺:向阳百分百】 21, , 当 时, 取得最大值,最大值为 . 7.(2023年浙江省名校联盟联考数学试题)如图,平面四边形ABCD中, , , . 的内角A,B,C的对边分别为a,b,c,且满足 . (1)求四边形ABCD的外接圆半径R; (2)求 内切圆半径r的取值范围. 【答案】(1) ;(2) . 【分析】(1)利用余弦定理求出 ,再利用正弦定理和余弦定理求得 ,进而得到 , , , A B C D四点共圆,利用正弦理即可求解. (2)结合(1)的结论和正弦定理可得: ,然后再利用正弦定理和辅助角公式以及正弦 函数的图像和性质即可求解. 【详解】(1)在 中, , 所以 ,由正弦定理, ,可得 , 再由余弦定理, ,又 ,所以 .因为 , 所以 ,所以A,B,C,D四点共圆, ABCD 则四边形 的外接圆半径就等于 外接圆的半径. 又 ,所以 . (2)由(1)可知: ,则 . , 则 . 在 中,由正弦定理, ,所以 , ,则 资料收集整理【淘宝店铺:向阳百分百】 22, 又 ,所以 ,所以 , ,所以 . 题型五、求三角形面积的最值或范围 类型一:用基本不等式求面积最值 1. 的内角A,B,C的对边分别为a,b,c,且 . (1)求A; (2)若 ,求 面积的最大值. 【答案】(1) ;(2) . 【分析】(1)由正弦定理将边化为角,结合三角函数的两角和的正弦公式,可求得答案; (2)由余弦定理结合基本不等式可求得 ,再利用三角形面积公式求得答案. 【详解】(1)根据正弦定理及 , 得 . ∵ ,∴ . ∵ ,∴ . (2)由(1)知 ,又 , 由余弦定理得 ,即 , ∵ ,∴ ,即 ,当且仅当 时取等号. ∴ . ∴ 的最大值为 . 2.已知 的内角A,B,C所对的边分别为a,b,c,且 . (1)求角A; 资料收集整理【淘宝店铺:向阳百分百】 23(2)若M为 的中点, ,求 面积的最大值. 【答案】(1) ;(2) . 【分析】(1)解法一:根据正弦定理边化角求解即可; 解法二:利用余弦定理将 用边表示再化简即可; (2)解法一:根据基底向量的方法得 ,两边平方化简后可得 ,再结合基 本不等式与面积公式求面积最大值即可; 解法二:设 ,再分别在 , 和 中用余弦定理,结合 可得 ,再结合基本不等式与面积公式求面积最大值即可 【详解】(1)解法一:因为 , 由正弦定理得: , 所以 , 因为 ,所以 , 因为 ,所以 . 解法二:因为 ,由余弦定理得: , 整理得 ,即 , 又由余弦定理得 ,所以 , 因为 ,所以 . (2)解法一:因为 为 的中点,所以 , M 所以 ,即 , 即 ,而 , 所以 即 ,当且仅当 时等号成立 所以 的面积为 . 即 的面积的最大值为 . 解法二:设 , 在 中,由余弦定理得 ,① 在 中,由余弦定理得 ,② 因为 ,所以 资料收集整理【淘宝店铺:向阳百分百】 24所以①+②式得 .③ 在 中,由余弦定理得 , 而 ,所以 ,④ 联立③④得: ,即 , 而 , 所以 ,即 ,当且仅当 时等号成立. 所以 的面积为 . 即 的面积的最大值为 . 3.记△ABC的内角A,B,C的对边分别为a,b,c,且 . (1)求A的大小; (2)若A的角平分线交BC于D,且AD=3,求△ABC面积的最小值. 【答案】(1) ;(2) . 【分析】(1)利用正弦定理将边向角转化,然后利用三角函数的公式变形可得答案; (2)由 可得 ,然后利用基本不等式可得答案. 【详解】(1)由正弦定理,得 , 得 , 得 , 因为 ,所以 ,即 . (2)因为 , 所以 . 因为 ,即bc≥36(当且仅当b=c=6时,等号成立), 所以 .故 面积的最小值为 . ΔABC 三角函数+基本不等式 4.在 中,角 、 、 所对的边分别为 、 、 , . (1)求 ; (2)若 ,求 面积 的最小值. 资料收集整理【淘宝店铺:向阳百分百】 25【答案】(1) ;(2) . 【分析】(1)利用正弦定理结合两角和的余弦公式化简可得出 ,即可求得 的值; (2)分析可知 、 均为锐角,利用两角和的正切公式结合基本不等式可得出 ,求出 的 最小值,即可求得 的最小值. 【详解】(1)解: , . 由正弦定理得 . . 因为 ,则 , , , 则 , 所以, ,即 , 所以, , ,即 . (2)解:由(1)得 . 若 ,则 、 均为钝角,则 ,矛盾, 所以, , ,此时 、 均为锐角,合乎题意, , 当且仅当 时,等号成立,且 为钝角. ,则 ,且 为锐角, 由 ,解得 ,即 , 当且仅当 时,等号成立, 资料收集整理【淘宝店铺:向阳百分百】 26, . 因此, 面积的最小值为 . 类型二:转化为正切函数求面积取值范围 1.(2023届河北省教学质量检测数学试题)已知 内角 所对的边长分别为 . (1)求 ; (2)若 为锐角三角形,且 ,求 面积的取值范围. 【答案】(1) ;(2) . 【分析】(1)利用余弦定理可得 ,结合三角形内角性质求角的大小; (2)法一:由已知可得 ,应用正弦边角关系及三角形面积公式可得 即可得范围; 法二:根据三角形为锐角三角形,应用几何法找到边界情况求面积的范围. 【详解】(1)由余弦定理得 ,即 , 所以 ,又 ,则 . (2)法一: 为锐角三角形, ,则 , 所以 ,可得 , 又 ,则 ,故 由 ,即 而 , 所以 ,故 面积的取值范围为 . 法二:由 ,画出如图所示三角形, 为锐角三角形, 点 落在线段 (端点 除外)上, 当 时, , 资料收集整理【淘宝店铺:向阳百分百】 27当 时, , . 2.(2023年普通高等学校招生全国统一考试数学预测卷)已知锐角三角形ABC中,角A,B,C的对边 分别为a,b,c,且满足 , . (1)求 的取值范围; (2)若 ,求三角形ABC面积的取值范围. 【答案】(1) ;(2) . 【分析】(1)先根据条件化简得出 ,然后化简目标式,结合导数求解范围; (2)先利用正弦定理表示出 ,结合面积公式得出 ,利用 的范围及单调性进行 求解. 【详解】(1)因为 ,且 都为锐角,所以 , , 所以 ,由正弦定理可得 , 又 ,所以 , 整理得 ,即有 , 所以 ,即 ,所以 . 在锐角三角形中, ,且 ,所以 ; 令 ,则 , , 资料收集整理【淘宝店铺:向阳百分百】 28令 ,则 , 因为 ,所以 ,所以 为增函数, 又 ,所以 ,即 的取值范围是 . (2)由(1)得 . 因为 ,由 ,得 ; 设三角形ABC的面积为 ,则 , 因为 ,所以 , 设 , , , , 为减函数, 所以 ,所以 . 3.(2022年黑龙江省期末考试数学试题)已知锐角 的内角A,B,C的对边分别为a,b,c, , . (1)求角B; (2)求 面积的取值范围. 【答案】(1) ;(2) . 【分析】(1)利用正弦定理边化角,再利用诱导公式、二倍角的正弦公式化简,计算作答. (2)利用正弦定理将a表示为角的函数,再利用三角形面积公式结合三角恒等变换求解作答. 【详解】(1)在锐角 中,由正弦定理及 得: , 而 ,则 ,又 , ,因此 ,即 , 所以 . 资料收集整理【淘宝店铺:向阳百分百】 29(2)在锐角 中,由(1)知, ,有 ,令 ,则 , , 由正弦定理得 , 的面积 , 由 得 , ,于是得 , 所以 面积的取值范围是 . 【点睛】思路点睛:求三角形面积的最大值或范围,一是找到边之间的关系,利用基本不等式求解,二是 利用正弦定理,转化为关于某个角的函数,利用函数思想求解. 类型三:转化为正弦函数求面积取值范围 1.已知 中,a,b,c分别为角A,B,C的对边,且 (1)求角C (2)若 , , 为角C的平分线,求 的长; (3)若 ,求锐角 面积的取值范围. 【答案】(1) ;(2) ;(3) . 【分析】(1)利用正弦定理将边化角,再由两角和的正弦公式及诱导公式求出 ,即可得解; (2)设 ,根据 及面积公式得到方程,解得即可; (3)首先利用正弦定理求出 ,再由正弦定理得到 , ,再根据 转化 为关于 的三角函数,根据正弦函数的性质求出面积的取值范围; 【详解】(1)解:由 及正弦定理得 所以 ,∴ ,∴ ∵ ,∴ (2)解:设 由 得 . 资料收集整理【淘宝店铺:向阳百分百】 30解得 ,即角平分线 的长度为 (3)解:设 外接圆半径为R,由 ,即 ,即 ,∴ 所以 的面积 ∵ ,∴ , ∴ ∵ , , ,∴ ,∴ , ∴ ,∴ , ∴ 2.(2023年黑龙江省八校联合模拟试题)在锐角 中,内角 的对边分别为 ,且满足 (1)求角C的大小; (2)若 ,角A与角B的内角平分线相交于点D,求 面积的取值范围. 【答案】(1) ;(2) . 【分析】(1)根据正弦定理及三角恒等变换可得 ,进而即得; (2)设 ,利用正弦定理,三角形面积公式及三角恒等变换可得 , 然后利用三角函数的性质即得. 【详解】(1)∵ ,由正弦定理可得, , 整理可得: , 资料收集整理【淘宝店铺:向阳百分百】 31即 ,即: , 又因为锐角 ,所以 , , 所以 ,即 ,又 , 所以 ; (2)由题意可知 ,设 ,所以 , 又 , ,所以 , 在 中,由正弦定理可得 , 即 ,所以 , 所以 , 又 ,所以 ,所以 , 所以 即 面积的取值范围为 . 3.已知 的内角A,B,C的对边分别是a,b,c, 的面积为S,且满足 , . (1)求A和a的大小; (2)若 为锐角三角形,求 的面积S的取值范围. 【答案】(1) , ;(2) . 【分析】(1)由已知条件,应用正余弦定理的边角关系及三角形内角性质,即可求A和a的大小; (2)由锐角三角形得 ,根据正弦定理有 , ,最后利用三角形面积 公式、三角恒等变换化简,并由正弦型函数性质求范围. 【详解】(1)因为 , 由正弦定理得: 资料收集整理【淘宝店铺:向阳百分百】 32所以 ,所以 , 因为 中 ,所以 ,因为 ,所以 , 因为 ,由余弦定理得: ,解得 , 综上, , . (2)由(1)知: , , 由正弦定理得: , . 因为 为锐角三角形,故 ,得 . 从而 的面积 , 又 , , 所以 ,从而 的面积的取值范围为 . 4.在 中,内角A,B,C所对的边分别为a,b,c, . (1)求A; (2)若 是锐角三角形,且 ,求 面积的取值范围. 【答案】(1) ;(2) . 【分析】(1)根据正弦定理将边化角或根据余弦定理将角化边. (2)根据正弦定理和面积公式求解即可. 【详解】(1)(解法一)因为 , 所以 则 ,即 资料收集整理【淘宝店铺:向阳百分百】 33因为 ,所以 ,因为 所以 . (解法二)由全弦定理 , 得 整理得 . 所以 , 因为 所以 . (2)因为 ,所以 , . 所以 因为△ABC为锐角三角形,所以 解得 . 所以 , 所以 . 题型六、正余弦定理与三角函数性质的结合 1.已知函数 (1)求函数 的最小正周期; 资料收集整理【淘宝店铺:向阳百分百】 34(2)在锐角 中,内角A,B,C所对的边分别为a,b,c,若 ,且 ,试判断 的形 状. 【答案】(1) ;(2) 是正三角形. 【分析】(1)运用三角恒等变换公式化简函数 ,利用正弦函数的周期公式可求得答案; (2)由(1)求得 ,再运用余弦定理求得 ,由此可判断 的形状. (1)解:函数 , . ∴函数的最小正周期为 . (2)解: , ,所以解得 . 又 , ,即 . 是正三角形. 2.已知函数 . (Ⅰ)求函数 在区间 上的值域. (Ⅱ)在 中,角A,B,C,所对的边分别是a,b,c,若角C为锐角, ,且 ,求 面积的最大值. 【答案】(Ⅰ) ;(Ⅱ) 【分析】(Ⅰ)利用差角的正弦公式、辅助角公式化简函数,结合正弦函数的性质,可得函数 在区间 , 上的值域; (Ⅱ)先求出 ,再利用余弦定理,结合基本不等式,即可求得 面积的最大值. 【详解】解:(Ⅰ) 资料收集整理【淘宝店铺:向阳百分百】 35, π π π π 2π 由 ≤x≤ ,有 ≤2x− ≤ ,所以 4 2 6 3 3 函数 的值域为 . (Ⅱ)由 ,有 , 为锐角, , . , 由余弦定理得: , , . , 当 ,即 为正三角形时, 的面积有最大值 . 3.(2022年江西省重点名校联合考试数学(文)试题)已知向量 , , . (1)求函数 的最小正周期; (2)在 中,内角A,B,C的对边分别为a,b,c,且 , ,求 的面积的最大值. 【答案】(1) ;(2) . 【分析】(1)利用数量积坐标运算得到 ,再利用正弦函数的性质求解; (2)由 ,解得 ,再利用余弦定理结合基本不等式得到 ,然后 利用三角形面积公式求解. 【详解】(1)解: , , 则其最小正周期 ; (2)由 ,且 , 资料收集整理【淘宝店铺:向阳百分百】 36所以 , 由余弦定理得 ,即 , 所以 ,当且仅当 时取等号, 所以 的面积 , 所以该三角形面积的最大值为 . 4.已知函数 . (1)求函数 的单调递减区间; (2)在 中,内角A,B,C的对边分别为a,b,c,且满足 ,求 的取值范 围. 【答案】(1) ; (2) . 【分析】(1)利用三角恒等变换化简已知条件,然后利用整体代入法求得 的单调递减区间. (2)利用余弦定理求得 ,结合三角函数值域的求法求得 的取值范围. 【详解】(1) 令 ,则 所以,单调减区间是 . (2)由 得: ,即 , 由于 ,所以 .在 中, , , 于是 ,则 , , ,所以 . 资料收集整理【淘宝店铺:向阳百分百】 375.设函数f (x)=m⃗⋅⃗n,其中向量 , . (1)求 的最小值; (2)在△ 中, , , 分别是角 , , 所对的边,已知 , ,△ 的面积为 , 求 的值. 【答案】(1) ;(2) . 【分析】(1)利用向量数量积的坐标表示及倍角余弦公式、辅助角公式可得 ,再 由正弦函数性质求最小值. (2)由题设可得 ,应用三角形面积公式有 ,由余弦定理可得 ,最后由正弦定理 ,即可求目标式的值. 【详解】(1)由题设, , 所以,当 时 的最小值为 . (2)由 ,得: ,则 ,又 , 所以 ,故 ,则 . 由 ,可得: . 在△ 中,由余弦定理得: , 所以 . 由 ,则 . 6.(2023年湖南省名校考前演练试题)已知函数 . (1)求函数 的定义域和值域; (2)已知锐角 的三个内角分别为A,B,C,若 ,求 的最大值. 【答案】(1) ; ; / (2) . 资料收集整理【淘宝店铺:向阳百分百】 38【分析】(1)先化简 ,然后利用真数大于0可得 ,即可求出定义域,继而求出值域; (2)先利用(1)可得 ,结合锐角三角形可得 ,然后利用正弦定理进行边变角即可求出答 案 【详解】(1) , 所以要使 有意义, 只需 ,即 , 所以 ,解得 所以函数 的定义域为 , 由于 ,所以 , 所以函数 的值域为 ; (2)由于 ,所以 , 因为 ,所以 ,所以 即 , 由锐角 可得 ,所以 , 由正弦定理可得 , 因为 ,所以 所以 , 所以 的最大值为2. 7.(2021年北京市模拟数学试题)已知 , , (1)求 的最小正周期及单调递减区间; 资料收集整理【淘宝店铺:向阳百分百】 39(2)已知锐角 的内角 的对边分别为 ,且 , ,求 边上的高的最大值. 【答案】(1)最小正周期为 ;单调递减区间为 ; (2) . 【分析】(1)整理得 ,可得其最小正周期及单调递减区间;(2)由 ,可 得 ,设 边上的高为 ,所以有 ,由余弦定理可知: ,得出 ,最后可得 最大值. 【详解】解:(1) . 的最小正周期为: ; 当 时, 即当 时,函数 单调递减, 所以函数 单调递减区间为: ; (2)因为 ,所以 , , , . 设 边上的高为 ,所以有 , 由余弦定理可知: , , , (当用仅当 时,取等号),所以 , 资料收集整理【淘宝店铺:向阳百分百】 40因此 边上的高的最大值 . 题型七、正、余弦定理求代数式的取值范围问题 类型一:求角的三角函数值的代数式的取值范围 1.(2023年全国新高考仿真模拟卷(二)数学试题)已知 的内角 的对边分别为 , 为 钝角.若 的面积为 ,且 . (1)证明: ; (2)求 的最大值. 【答案】(1)证明见解析;(2) . 【分析】(1)利用余弦定理及面积公式将条件变形得 ,再利用诱导公式及三角函数的性质可 证明结论; (2)利用(1)的结论及三角公式,将 转化为关于 的二次函数,然后配方可以求最值. 【详解】(1)由余弦定理 得 , , , , 为钝角,则 均为锐角, ,即 ; (2) , 令 , 为钝角,则 , , 当 ,即 时, 取最大值,且为 . 2.(2021年辽宁省联合模拟考试文科数学试题)在锐角 中,角 的对边分别为 ,已知 资料收集整理【淘宝店铺:向阳百分百】 41(1)若 ,求 ; (2)求 的取值范围. 【答案】(1) ;(2) . 【分析】(1)由正弦定理及二倍角公式可得 ,进而得解; (2)根据正弦定理边角互化可得 ,结合锐角三角形的范围可得解. 【详解】(1)由 ,得 ,得 ,得 , 在 , ,由余弦定理 , 得 , 即 ,解得 或 . 当 时, 即 为钝角(舍), 故 符合. (2)由(1)得 ,所以 , , 为锐角三角形, , , , , 故 的取值范围是 . 【点睛】关键点点睛:本题的解题关键是熟练应用正余弦定理进行边角互化,正确分析锐角三角形中角的 范围是解题的关键. 3.已知锐角 中, . (1)求 ; (2)求 的取值范围. 【答案】(1) ;(2) . 资料收集整理【淘宝店铺:向阳百分百】 42【分析】(1)由正弦定理的角化边公式以及余弦定理求出 ; (2)由内角和定理结合诱导公式、两角和的余弦公式、辅助角公式化简 为 ,再 π 由 B− 的范围结合正弦函数的性质得出所求范围. 6 【详解】解:(1)由正弦定理和已知条件得 ① 由余弦定理知 ② 联立①②得 . 又 ,所以 . (2) . 因为 为锐角三角形,所以 ,且 所以 ,所以 故 的取值范围为 . 【点睛】关键点睛:在第一问中,关键是利用正弦定理的角化边公式得出 ,再由余弦定 理求出 . 4.△ABC的内角A,B,C所对的边分别是a,b,c,且 . (1)若 ,且 ,求△ABC的面积; (2)求 的最大值. 【答案】(1) ;(2) . 【分析】(1)由余弦定理及已知可得 ,再应用三角形面积公式求面积即可. (2)由题设有 ,根据已知及余弦定理有 ,再由正弦边角关系及和差角正弦公式可得 ,即可得 ,进而求 最值. 【详解】(1)由 ,故 ,而 , 资料收集整理【淘宝店铺:向阳百分百】 43所以 ,故 . (2)由 ,故 ,即 , 由余弦定理知: ,即 , 所以 ,即 ,又 , 故 , 由 ,则 或 (舍), 所以 ,则 ,即 , ,而 , 所以,当 时 有最大值为 . 【点睛】关键点点睛:第二问,注意综合应用正余弦定理得到 ,再根据三角形内 角的性质、三角恒等变换得到 的关系及角的范围,进而求最值. 5.已知 的内角 , , 的对边分别为 , , ,且 . (1)求 ; (2)若 为锐角三角形,求 的取值范围. 【答案】(1) ;(2) . 【分析】(1)根据余弦定理,将角化边,即可得到三边关系,进而转化成余弦定理形式求解. (2)用二倍角公式降幂,然后利用辅助角公式合并,根据角的范围求解. a2 +b2 −c2 【详解】(1) 及 cosC= , 2ab ,化简得 , ,又 , . (2)由(1)可得 为锐角三角形, 资料收集整理【淘宝店铺:向阳百分百】 44且 , , . , , 故 的取值范围为 . 6.(2023年河南省质量检测(理科)数学试题)在锐角 中,角A,B,C所对的边分别为a,b, c.已知 . (1)求A; (2)求 的取值范围. 【答案】(1) ;(2) . 【分析】由正弦定理边化角再根据角度范围得角 得大小; 根据锐角三角形得角 得范围,然后将 转化为关于角 的正弦型三角函数,根据正弦型函数性 质从而可得取值范围. 【详解】(1)解:因为 ,由正弦定理 得: , 又因为锐角 中, ,所以 , 则 ,即 ,故 ; (2)解:由(1)得, ,所以 , 又因为锐角 中得: ,所以 , 所以 , 因为 ,所以 ,所以 , 即 的取值范围为 . 资料收集整理【淘宝店铺:向阳百分百】 45类型二:求边的代数式的取值范围 1.(2023年江苏省模拟试题)在 中,角A,B,C成等差数列,角A,B,C所对的边分别为a, b,c. (1)若 ,判断 的形状; (2)若 不是钝角三角形,求 的取值范围. 【答案】(1) 为直角三角形;(2) . 【分析】(1)由已知得 ,再利用余弦定理及正弦定理可求得 ,进而判断三角形形状; (2)先求出 ,再利用正弦定理边化角,结合三角函数性质求最值即可. 【详解】(1)因为角A,B,C成等差数列, 又 , ,即 , , 由余弦定理得: , 由正弦定理得: ,即 , ,即 又 , 所以 为直角三角形. (2) ,则 由 不是钝角三角形,知 , 由正弦定理知 当 时, , 资料收集整理【淘宝店铺:向阳百分百】 46当 时, , , , , , 综上可知, 的取值范围时 2.在锐角 中,角 , , 的对边分别为 , , ,已知 且 . (1)求角A的大小; (2)若 ,求 的面积; (3)求 的取值范围. 【答案】(1) ;(2) ;(3) . 【分析】(1)由条件利用两角和差的三角公式求出 ,即可求解; (2)由余弦定理与三角形面积公式即可求解; (3)把边化为角利用三角函数的值域求解即可 【详解】(1)∵ , ∴ , , , ∵ ,∴ ,又 ,∴ , ∵ , ; (2)∵ , ,∴ , ∴ ; (3)由正弦定理可得: , , 资料收集整理【淘宝店铺:向阳百分百】 47其中 , , , 为锐角, 因为 为锐角三角形,则 , 从而 ,得 , , 所以 , , 所以 ,从而 的取值范围为 3.在 中,A,B为锐角,C为钝角,角A,B,C对应的边分别为a,b,c,且 . (1)求角B; (2)求 的取值范围. 【答案】(1) ;(2) . 【分析】(1)利用 角的余弦定理代入 得到 ,结合 的范围求出 B B 答案; (2)利用正弦定理边化角得到 ,接着根据题意求出 角的范围,继而求出答案 A 【详解】(1)因为 , 所以 , 从而 ,即 , 因为 ,所以 所以 ,即 ; (2)因为 , , 资料收集整理【淘宝店铺:向阳百分百】 48所以 , 因为 , 是钝角, 为锐角,所以 ,即 , C B 解得 , 所以 ,于是 ,从而 , 因此 的取值范围是 4.(2023年普通高等学校招生全国统一考试数学预测卷(五))记△ABC的内角A,B,C的对边分别为 a,b,c,已知 . (1)若 ,求A; (2)若△ABC为锐角三角形,求 的取值范围. 【答案】(1) ;(2) . 【分析】(1)运用二倍角公式及和角公式代入化简解方程即可. (2)根据锐角三角形得B的范围,运用正弦定理边化角,将所求式子转化为关于 的对勾函数,研 究其值域即可. 【详解】(1)∵ , ∴ , ∴ , 又∵ , ∴ ,即 , 又∵ ,∴ , 又∵ ,∴ , 又 ,即 ,∴ , 又∵ ,∴ . 资料收集整理【淘宝店铺:向阳百分百】 49(2)由(1)知 , ①当 时,因为 ,所以 ,即 ,与△ABC为锐角三角形矛盾, 所以不成立; ②当 时,因为 ,所以 , 所以 . 由 ,得 . 所以 , 故 . 因为 ,所以 , , 令 ,则 , 所以 在 上单调递增,所以 , 所以 的取值范围为 . 5.(2023年陕西省模拟数学试题)在 中,内角A,B,C的对边分别为a,b,c,已知 . (1)求A; (2)若 为锐角三角形,且 ,求 的取值范围. 【答案】(1) ;(2) . 【分析】(1)先利用正弦定理化边为角,再结合和差公式整理即可得 的值,进而即可求解 ; (2)结合(1),先根据正弦定理得 , ,再根据余弦定理得 ,从而可得 到 ,结合题意可得到 的取值范围,从而确定 的取值范围,再结合正 弦型函数的性质即可求解. 【详解】(1)根据题意,由正弦定理得 资料收集整理【淘宝店铺:向阳百分百】 50, 又在 中,有 ,所以 , 所以 ,所以 . (2)结合(1)可得 , , 由 ,则根据正弦定理有 ,得 , , 根据余弦定理有 ,得 , 所以 , 又 为锐角三角形,则有 , ,得 , 所以 ,所以 , 故 . 【点睛】关键点点睛:根据正弦定理,余弦定理将求 的范围转化为求正弦型函数 的值域,结合题意得到 的取值范围,再结合正弦型函数的性质是解答小问(2) 的关键. 6.(2023年湖南省部分市大联考数学试题)已知 的内角 、 、 所对的边分别为 、 、 , . (1)求角 ; (2)若 为锐角三角形,且外接圆的半径为 ,求 的取值范围. 【答案】(1) ;(2) . 【分析】(1)利用和差角的余弦公式得到 ,再由正弦定理将边化角,即可求出 ,从而得解; (2)利用正弦定理得到 , ,即可得到 ,由三角形为锐角三角 形得到 的取值范围,即可得到 的取值范围,再根据对勾函数的性质计算可得. 资料收集整理【淘宝店铺:向阳百分百】 51【详解】(1)解:因为 , 可得 , 则 , 所以 , 即 ,由正弦定理得 , 显然 , ,所以 , 所以 ,因为 , 所以 . (2)解:因为 ,即 , 所以 , , 所以 , 因为 为锐角三角形且 ,所以 ,所以 , 即 , 令 , , 根据对勾函数的性质可知函数 在 上单调递减,在 上单调递增, 且 , , , 所以 ,即 ,所以 , 即 的取值范围为 . 7.(2023年广东省模拟数学试题)已知 的内角A,B,C所对的边分别为a,b,c,且 . (1)求证: . 资料收集整理【淘宝店铺:向阳百分百】 52(2)求 的取值范围. 【答案】(1)证明见解析;(2) . 【分析】(1)结合正弦定理及正弦和角公式得 ,结合角度范围即可证明; (2)结合正弦定理及三角恒等变换 ,结合 角范围即可求解. B 【详解】(1)在 中, 由 及正弦定理得: 又∵ , ∴ 即 , ∵ ,∴ . ∵ ,∴ , (2)得: 得 , ∴ ,∴ , 由题意 , 及正弦定理得: ∵ ,∴ ,即 故 的取值范围为 方法二:由正弦定理得: ∵ ,∴ , 资料收集整理【淘宝店铺:向阳百分百】 53由(1)得: ,故 由(1)得: 得 , ∴ ,∴ , ∴ ,即 , 故 的取值范围为 . 题型八、正、余弦定理中的结构不良问题 1.已知函数 . (1)求函数 的单调递增区间; (2)在 中, 分别是角 的对边, ,若 为 上一点,且满足 ____________,求 的面积 . 请从① ;② 为 的中线,且 ;③ 为 的角平分线,且 . 这三个条件中任意选一个补充到横线处并作答.(注:如果选择多个条件分别解答,按第一个解答计分) 【答案】(1) , ;(2)答案见解析. 【分析】(1)先对 解析式进行化简,再对正弦型三角函数求单调递增区间即可; (2)由题干可知 , .选①时, 的面积由 计算;选②③时 的面积由 计算. 资料收集整理【淘宝店铺:向阳百分百】 54【详解】(1) , 由 ,得 , , ∴函数 的单调递增区间为 , ; (2)由 ,得 , 又 中 , ,可知 ; 若选① : 由 ,可知 ,可化为 , 又 ,则 , 又 中 ,故 ,所以 , 则 ,故 ; 若选②: 为 的中线,且 在 中, , ,则有 , 在 中, , 在 中, , 又 , 则 则 ,又知 ,故 ; 故 ; 若选③: 为 的角平分线,且 . 由题意知, , 资料收集整理【淘宝店铺:向阳百分百】 55即 ,整理得 又在 中, , ,则有 , 故 解之得, ,故 . 2.在 中, 分别为角 所对的边.在① ;② ;③ 这三个条件中任选一个,作出解答. (1)求角 的值; (2)若 为锐角三角形,且 ,求 的面积的取值范围. 【答案】条件选择见解析;(1) ;(2) . 【解析】(1)选择条件①,利用正弦定理化简已知条件,再利用两角和的正弦公式化简得 ,根据三角形内角性质得出 且 ,即可求出角 的值;选择条件②,根 据向量的数量积公式以及三角形的面积公式,化简得出 ,即可求出角 的值;选择条件③, 根据两角和的正弦公式和辅助角公式,化简的出 ,从而可求出角 的值; (2)根据题意,利用正弦定理边角互化得出 , ,再根据三角形面积公式化简得出 ,由 为锐角三角形,求出角 的范围,从而得出 的面积的取值范围. 【详解】解:(1)选① , 由正弦定理得: , ∴ , ∵ ,∴ ,∴ , ∵ ,∴ ; 选② , ∴ , ∴ , 资料收集整理【淘宝店铺:向阳百分百】 56∵ ,∴ ,则 , ∴ ; 选③ , 得 , ∴ , ∴ , ∵ ,∴ , ∴ ,∴ . (2)已知 为锐角三角形,且 , 由正弦定理得: , ∴ , , ∴ , ∵ 为锐角三角形, ∴ , π π 5π ∴ <2A− < ,∴ . 6 6 6 【点睛】关键点点睛:本题考查正弦定理的边角互化、两角和的正弦公式、辅助角公式、向量的数量积的 应用,考查三角形的面积公式以及三角形内角的性质,根据三角函数的性质求区间内的最值从而求出三角 形的面积的取值范围是解题的关键,考查转化思想和化简运算能力. 3.(2023年黑龙江省模拟考试数学试题)在① ,② ,③ 这三个条件中任选一个,补充在下面问题中,并解答该问题.问题:锐角 的内角 的对边分别为 ,且______. 资料收集整理【淘宝店铺:向阳百分百】 57(1)求 ; (2)求 的取值范围. 【答案】(1) ;(2) . 【分析】(1)选①,首先通过正弦定理将已知条件中的边转化成角,然后根据恒等变换化简即可求出角 ; 选②,首先通过正弦定理将已知条件中的边转化成角,然后将 代入,最后根据恒等变换 化简即可求出角 ; 选③,首先通过正弦定理将已知条件中的边转化成角,然后根据恒等变换化简求出 ,即可求出角 . (2)首先将 代入,然后利用恒等变换将其化简成正弦型函数,最后根据正弦函数的性 质求解取值范围即可. 【详解】(1)选① ,所以 , 所以 , 整理得 . 因为 ,所以 .因为 ,所以 . 选② 因为 ,所以 , 所以 ,整理得 . 因为 ,所以 ,因为 ,所以 . 选③ 因为 , 所以 , 所以 , 整理得 . 因为 ,所以 . 因为 ,所以 , . (2)因为 , 资料收集整理【淘宝店铺:向阳百分百】 58所以 . 因为 ,所以 ,所以 , 所以 ,所以 ,故 . 4.在① ,② ,③ 三个条件中任选一个补充在下面的横 线上,并加以解答. 在 中,角 , , 的对边分别为 , , 且______,作 ,使得四边形 满足 , , 求 的取值范围. 【答案】 . 【分析】根据题意,选择①②③求得 ,设 ,则 ,在 中,由正弦定理求得 ,在 中,由正弦定理 求得可得 ,结合 和三角函数的性质,即可求解. 【详解】若选①:由 ,根据正弦定理可得 , 即 , 即 , 可得 ,因为 ,所以 , 设 ,则 , 在 中,由正弦定理得 , 可得 , 在 中,由正弦定理得 , 资料收集整理【淘宝店铺:向阳百分百】 59可得 , 因为 ,可得 , 当 时,即 ,可得 , 当 时,即 ,可得 , 所以 的取值范围是 . 选②:由 ,根据正弦定理可得 , 可得 ,即 , 又由余弦定理,可得 , 因为 ,所以 , 设 ,则 , 在 中,由正弦定理得 , 可得 , 在 中,由正弦定理得 , 可得 资料收集整理【淘宝店铺:向阳百分百】 60, 因为 ,可得 , 当 时,即 ,可得 , 当 时,即 ,可得 , 所以 的取值范围是 . 若选③:由 ,可得 , 即 ,可得 , 因为 ,所以 , 设 ,则 , 在 中,由正弦定理得 , 可得 , 在 中,由正弦定理得 , 可得 , 因为 ,可得 , 当 时,即 ,可得 , 资料收集整理【淘宝店铺:向阳百分百】 61当 时,即 ,可得 , 所以 的取值范围是 . 题型九、正、余弦定理的实际应用 1.(2023年江苏省模拟数学试题)如图,某巡逻艇在A处发现北偏东30°相距 海里的B处有一艘 走私船,正沿东偏南45°的方向以3海里 小时的速度向我海岸行驶,巡逻艇立即以 海里 小时的速度 沿着正东方向直线追去,1小时后,巡逻艇到达C处,走私船到达D处,此时走私船发现了巡逻艇,立即 改变航向,以原速向正东方向逃窜,巡逻艇立即加速以 海里 小时的速度沿着直线追击 (1) 当走私船发现了巡逻艇时,两船相距多少海里. (2)问巡逻艇应该沿什么方向去追,才能最快追上走私船. 【答案】(1)两船相距 海里. (2)巡逻艇应该北偏东 方向去追,才能最快追上走私船. 【分析】(1)在 中,解三角形得 , , 在 中,由余弦定理求得 . (2)在 中,解三角形得 , ,得到 ,在 中,由正弦定理 求得 ,结合图形知巡逻艇的追赶方向. 【详解】(1)由题意知,当走私船发现了巡逻艇时,走私船在D处,巡逻艇在C处,此时 , 由题意知 在 中, 由余弦定理得 所以 在 中, 由正弦定理得 ,即 所以 ( 舍去) 所在 资料收集整理【淘宝店铺:向阳百分百】 62又 在 中, 由余弦定理得 , 故当走私船发现了巡逻艇时,两船相距 海里. (2)当巡逻艇经过 小时经 方向在 处追上走私船, 则 在 中,由正弦定理得: 则 所以 , 在 中,由正弦定理得: 则 ,故 ( 舍) 故巡逻艇应该北偏东 方向去追,才能最快追上走私船. 2.如图,一架飞机从 地飞往 地,两地相距 .飞行员为了避开某一区域的雷雨云层,从机场起飞 以后,就沿与原来的飞行方向成 角的方向飞行,飞行到 地,再沿与原来的飞行方向成 角的方向继续 飞行 到达终点. (1)求 、 两地之间的距离; (2)求 . 【答案】(1) ;(2) . 【分析】(1)利用余弦定理可直接求得 的长; (2)利用余弦定理求出 的值,结合同角三角函数的基本关系可求得 的值. 【详解】(1)解:由余弦定理可得 , 资料收集整理【淘宝店铺:向阳百分百】 63所以, . (2)解:由余弦定理可得 , 所以, ,则 为锐角, 故 , 因此, . 3.由于2020年1月份国内疫情爆发,餐饮业受到重大影响,目前各地的复工复产工作在逐步推进,居民 生活也逐步恢复正常.李克强总理在考察山东烟台一处老旧小区时提到,地摊经济、小店经济是就业岗位 的重要来源,是人间的烟火,和“高大上”一样,也是中国的商机.某商场经营者王某准备在商场门前 “摆地摊”,经营“冷饮与小吃”生意.已知该商场门前是一块扇形区域,拟对这块扇形空地 进行改 造.如图所示,平行四边形 区域为顾客的休息区域,阴影区域为“摆地摊”区域,点P在弧 上, 点M和点N分别在线段 和线段 上,且 米, .记 . (1)当 时,求 ; (2)请写出顾客的休息区域 的面积 关于 的函数关系式,并求当 为何值时, 取得最大值. 【答案】(1) ; (2) , ;当 时, 取得最大值. 【分析】(1)在△ 中由正弦定理求得 ,即可由数量积的定义求得结果; (2)在△ 中由正弦定理用 表示 ,结合三角形的面积公式,即可求得结果,再根据三角函 数的性质,即可求得取得最大值时对应的 . 【详解】(1)根据题意,在△ 中, ,又 , 资料收集整理【淘宝店铺:向阳百分百】 64故由正弦定理 可得: 解得 , , 故 . 即 . (2)由题可知,在△ 中, , 则由正弦定理 , 可得 , 故可得 , 故 . 即 . 当 时, ,此时 取得最大值. 4.(2023年云南省教学质量检测数学试题)“不以规矩,不能成方圆”,出自《孟子·离娄章句上》. “规”指圆规,“矩”指由相互垂直的长短两条直尺构成的角尺,是用来测量、画圆和方形图案的工具。 有一块圆形木板,以“矩”量之,较长边为10cm,较短边为5cm,如图所示,将这块圆形木板截出一块三 角形木块,三角形顶点 都在圆周上,角 的对边分别为 , , ,满足 资料收集整理【淘宝店铺:向阳百分百】 65(1)求 ; (2)若 的面积为 ,且 ,求 的周长 【答案】(1) ;(2) cm. 【分析】(1)根据题意可求圆的直径 ,再结合正弦定理运算求解; (2)根据题意结合面积公式和余弦定理运算求解. 【详解】(1)设 的外接圆半径为 ,则 (cm), 由正弦定理 ,可得 . (2)∵ ,则 ,故 为锐角, ∴ , 由面积公式 ,即 ,可得 , 由余弦定理 ,即 , 可得 ,解得 (cm), 故 的周长为 (cm). 5.如图,在海岸边 点的观测站发现南偏西30°方向上,距离 点20海里的 处有一艘走私船,立刻通 知了停在 的正东方向上,且距离 点 海里的 处的缉私艇,缉私艇立刻奉命以 海里/时的 速度追截走私船,此时,走私船正以10海里/时的速度从 处沿南偏东15°方向逃窜. (1)刚发现走私船时,走私船距离缉私艇多远,在缉私艇的什么方向? 资料收集整理【淘宝店铺:向阳百分百】 66(2)缉私艇至少需要多长时间追上走私船? 【答案】(1) 海里,西南方向;(2) 小时. 【分析】(1)在三角形中分别利用余弦定理、正弦定理求解即可; (2)作出图形,设 小时后缉私艇在 处追上走私船,利用正弦定理求出 即可求解. 【详解】(1)由题意可知 , , . 在 中,由余弦定理可得 . 由正弦定理得 ,解得 ,所以 . 故刚发现走私船时,走私船距缉私艇 海里,在缉私艇的西南方向上. (2)如图, 设 小时后缉私艇在 处追上走私船,则 , . . 在 中,由正弦定理得 , 解得 ,则 ,所以 是等腰三角形. ,即 . 故缉私艇至少需要 小时追上走私船. 6.(2023年福建省模拟数学试题)目前,中国已经建成全球最大的5G网络,无论是大山深处还是广表平 原,处处都能见到5G基站的身影.如图,某同学在一条水平公路上观测对面山项上的一座5G基站AB,已 知基站高AB=50m,该同学眼高1.5m(眼睛到地面的距离),该同学在初始位置C处(眼睛所在位置)测 得基站底部B的仰为37°,测得基站顶端A的仰角为45°. 资料收集整理【淘宝店铺:向阳百分百】 67(1)求出山高BE(结果保留整数); (2)如图(第二幅),当该同学面向基站AB前行时(保持在同一铅垂面内),记该同学所在位置C处(眼 睛所在位置)到基站AB所在直线的距离CD=xm,且记在C处观测基站底部B的仰角为 ,观测基站顶端 A的仰角为β.试问当x多大时,观测基站的视角∠ACB最大? 参考数据: . 【答案】(1) ;(2) ,∠ACB最大. 【分析】(1)在 中,利用正弦定理求出 ,再在 中,求出 即可; (2)易得 ,分别在在 和在 中,求出 ,再根据两角和的 正切公式结合基本不等式求出 取得最大值时, 的值,再根据正切函数的单调性即可得解. 【详解】(1)由题意可知, , 在 中, , 所以 , 在 中, , 所以出山高 ; (2)由题意知 ,且 , 则 , 在 中, , 在 中, , 则 资料收集整理【淘宝店铺:向阳百分百】 68, 当且仅当 , 即 时,取等号, 所以 取得最大值时, , 又因为 , 所以此时 最大, 所以当 时, 最大. 7.文笔塔,又称慈云塔,位于保山市隆阳区太保山麓,古塔建设于唐代南诏时期.2007年4月在原址拆 除重建后的文笔塔新塔与广大市民见面.如图,某同学在测量塔高AB时,选取与塔底在同一水平面内的 两个测量基点C和D. 测得 ,在点 C测得塔顶A仰角为 ,已知 , ,且CD=56米. (1)求 ; (2)求塔高AB(结果保留整数). 【答案】(1) ;(2)47. 【分析】(1)利用平方关系求出 ,再根据 利用两角和的正弦公式即可得 解; (2)在 中,利用正弦定理求出 ,再解 即可得解. 【详解】(1)解:在 中,因为 , 所以 , 资料收集整理【淘宝店铺:向阳百分百】 69则 ,所以 , 所以 , 又 ,所以 , 则 ; (2)解:在 中,因为 , 所以 米, 则 中, 米, 所以塔高AB为47米. 题型十、重点训练第一问 1.在△ABC中,设角A,B,C的对边长分别为a,b,c,已知 . 求角B的值; 【答案】60°;﹒ 【分析】根据已知条件,结合正弦定理角化边和余弦定理即可求出cosB及B; 【详解】∵ , ∴由正弦定理得 ,即 ,即 , 即 , 由余弦定理得 ,∵ ,∴ ; 2.已知 的内角 , , 的对边分别为 , , ,且 . 求角 的大小; 【答案】 ; 资料收集整理【淘宝店铺:向阳百分百】 70【分析】利用正弦定理化边为角结合三角恒等变换可得 ,再根据 的范围进而即得 的大 小; 【详解】由正弦定理及 ,得 因为 ,所以 ,所以 , 所以 所以 ,所以 . 因为 ,所以 ,所以 ,故 . 3. 的内角 , , 的对边分别为 , , .已知 . 求角 ; 【详解】方法一:因为 ,所以 , 所以由正弦定理得, . 又 ,所以 .因为 ,所以 . 方法二:因为 , 可化为 即 即 即 ,因为 ,所以 .又因为 ,所以 . 4. 的内角 的对边分别为 ,已知 . 证明: ; 【详解】证明:由正弦定理及 ,可得 , 因为 ,可得 , 所以 ,所以 或 , 因为 ,所以 ,即 . 5.在平面四边形 中, , , , . 求 ; 资料收集整理【淘宝店铺:向阳百分百】 71【详解】在 中,由正弦定理得 . 由题设知, ,所以 . 由题设知, ,所以 . 6.在 中,内角A, , 所对的边分别是 , , ,且 . 求 ; 【详解】由 结合正弦定理边化角可得,可得 . 因为 ,所以 . 又 ,所以 或 . 7.已知 内角A,B,C的对边分别为a,b,c,且 , 求 的值; 【详解】因为 ,所以由正弦定理得 , 又 , 所以 ,则 , 因为 ,则 ,所以 . 8. 中,三个内角 , , 所对的边分别为 , , 且 若 , ,求 内切圆的半径长; 【详解】因为 ,所以 , 由 得 ,由 ,解得 , ∴ ,设 内切圆的半径长为 , 则 ,所以 . 资料收集整理【淘宝店铺:向阳百分百】 72