当前位置:首页>文档>专题09坐标系中与点有关的五类综合题型(压轴题专项训练)(教师版)_北师大初中数学_8上-北师大版初中数学_初中数学北师大8上-2025秋季新版_第二套推荐25_08专项讲练

专题09坐标系中与点有关的五类综合题型(压轴题专项训练)(教师版)_北师大初中数学_8上-北师大版初中数学_初中数学北师大8上-2025秋季新版_第二套推荐25_08专项讲练

  • 2026-04-13 00:07:45 2026-04-12 22:31:54

文档预览

专题09坐标系中与点有关的五类综合题型(压轴题专项训练)(教师版)_北师大初中数学_8上-北师大版初中数学_初中数学北师大8上-2025秋季新版_第二套推荐25_08专项讲练
专题09坐标系中与点有关的五类综合题型(压轴题专项训练)(教师版)_北师大初中数学_8上-北师大版初中数学_初中数学北师大8上-2025秋季新版_第二套推荐25_08专项讲练
专题09坐标系中与点有关的五类综合题型(压轴题专项训练)(教师版)_北师大初中数学_8上-北师大版初中数学_初中数学北师大8上-2025秋季新版_第二套推荐25_08专项讲练
专题09坐标系中与点有关的五类综合题型(压轴题专项训练)(教师版)_北师大初中数学_8上-北师大版初中数学_初中数学北师大8上-2025秋季新版_第二套推荐25_08专项讲练
专题09坐标系中与点有关的五类综合题型(压轴题专项训练)(教师版)_北师大初中数学_8上-北师大版初中数学_初中数学北师大8上-2025秋季新版_第二套推荐25_08专项讲练
专题09坐标系中与点有关的五类综合题型(压轴题专项训练)(教师版)_北师大初中数学_8上-北师大版初中数学_初中数学北师大8上-2025秋季新版_第二套推荐25_08专项讲练
专题09坐标系中与点有关的五类综合题型(压轴题专项训练)(教师版)_北师大初中数学_8上-北师大版初中数学_初中数学北师大8上-2025秋季新版_第二套推荐25_08专项讲练
专题09坐标系中与点有关的五类综合题型(压轴题专项训练)(教师版)_北师大初中数学_8上-北师大版初中数学_初中数学北师大8上-2025秋季新版_第二套推荐25_08专项讲练
专题09坐标系中与点有关的五类综合题型(压轴题专项训练)(教师版)_北师大初中数学_8上-北师大版初中数学_初中数学北师大8上-2025秋季新版_第二套推荐25_08专项讲练
专题09坐标系中与点有关的五类综合题型(压轴题专项训练)(教师版)_北师大初中数学_8上-北师大版初中数学_初中数学北师大8上-2025秋季新版_第二套推荐25_08专项讲练
专题09坐标系中与点有关的五类综合题型(压轴题专项训练)(教师版)_北师大初中数学_8上-北师大版初中数学_初中数学北师大8上-2025秋季新版_第二套推荐25_08专项讲练
专题09坐标系中与点有关的五类综合题型(压轴题专项训练)(教师版)_北师大初中数学_8上-北师大版初中数学_初中数学北师大8上-2025秋季新版_第二套推荐25_08专项讲练
专题09坐标系中与点有关的五类综合题型(压轴题专项训练)(教师版)_北师大初中数学_8上-北师大版初中数学_初中数学北师大8上-2025秋季新版_第二套推荐25_08专项讲练
专题09坐标系中与点有关的五类综合题型(压轴题专项训练)(教师版)_北师大初中数学_8上-北师大版初中数学_初中数学北师大8上-2025秋季新版_第二套推荐25_08专项讲练
专题09坐标系中与点有关的五类综合题型(压轴题专项训练)(教师版)_北师大初中数学_8上-北师大版初中数学_初中数学北师大8上-2025秋季新版_第二套推荐25_08专项讲练
专题09坐标系中与点有关的五类综合题型(压轴题专项训练)(教师版)_北师大初中数学_8上-北师大版初中数学_初中数学北师大8上-2025秋季新版_第二套推荐25_08专项讲练
专题09坐标系中与点有关的五类综合题型(压轴题专项训练)(教师版)_北师大初中数学_8上-北师大版初中数学_初中数学北师大8上-2025秋季新版_第二套推荐25_08专项讲练
专题09坐标系中与点有关的五类综合题型(压轴题专项训练)(教师版)_北师大初中数学_8上-北师大版初中数学_初中数学北师大8上-2025秋季新版_第二套推荐25_08专项讲练
专题09坐标系中与点有关的五类综合题型(压轴题专项训练)(教师版)_北师大初中数学_8上-北师大版初中数学_初中数学北师大8上-2025秋季新版_第二套推荐25_08专项讲练
专题09坐标系中与点有关的五类综合题型(压轴题专项训练)(教师版)_北师大初中数学_8上-北师大版初中数学_初中数学北师大8上-2025秋季新版_第二套推荐25_08专项讲练
专题09坐标系中与点有关的五类综合题型(压轴题专项训练)(教师版)_北师大初中数学_8上-北师大版初中数学_初中数学北师大8上-2025秋季新版_第二套推荐25_08专项讲练
专题09坐标系中与点有关的五类综合题型(压轴题专项训练)(教师版)_北师大初中数学_8上-北师大版初中数学_初中数学北师大8上-2025秋季新版_第二套推荐25_08专项讲练
专题09坐标系中与点有关的五类综合题型(压轴题专项训练)(教师版)_北师大初中数学_8上-北师大版初中数学_初中数学北师大8上-2025秋季新版_第二套推荐25_08专项讲练
专题09坐标系中与点有关的五类综合题型(压轴题专项训练)(教师版)_北师大初中数学_8上-北师大版初中数学_初中数学北师大8上-2025秋季新版_第二套推荐25_08专项讲练
专题09坐标系中与点有关的五类综合题型(压轴题专项训练)(教师版)_北师大初中数学_8上-北师大版初中数学_初中数学北师大8上-2025秋季新版_第二套推荐25_08专项讲练
专题09坐标系中与点有关的五类综合题型(压轴题专项训练)(教师版)_北师大初中数学_8上-北师大版初中数学_初中数学北师大8上-2025秋季新版_第二套推荐25_08专项讲练
专题09坐标系中与点有关的五类综合题型(压轴题专项训练)(教师版)_北师大初中数学_8上-北师大版初中数学_初中数学北师大8上-2025秋季新版_第二套推荐25_08专项讲练
专题09坐标系中与点有关的五类综合题型(压轴题专项训练)(教师版)_北师大初中数学_8上-北师大版初中数学_初中数学北师大8上-2025秋季新版_第二套推荐25_08专项讲练
专题09坐标系中与点有关的五类综合题型(压轴题专项训练)(教师版)_北师大初中数学_8上-北师大版初中数学_初中数学北师大8上-2025秋季新版_第二套推荐25_08专项讲练
专题09坐标系中与点有关的五类综合题型(压轴题专项训练)(教师版)_北师大初中数学_8上-北师大版初中数学_初中数学北师大8上-2025秋季新版_第二套推荐25_08专项讲练
专题09坐标系中与点有关的五类综合题型(压轴题专项训练)(教师版)_北师大初中数学_8上-北师大版初中数学_初中数学北师大8上-2025秋季新版_第二套推荐25_08专项讲练
专题09坐标系中与点有关的五类综合题型(压轴题专项训练)(教师版)_北师大初中数学_8上-北师大版初中数学_初中数学北师大8上-2025秋季新版_第二套推荐25_08专项讲练
专题09坐标系中与点有关的五类综合题型(压轴题专项训练)(教师版)_北师大初中数学_8上-北师大版初中数学_初中数学北师大8上-2025秋季新版_第二套推荐25_08专项讲练
专题09坐标系中与点有关的五类综合题型(压轴题专项训练)(教师版)_北师大初中数学_8上-北师大版初中数学_初中数学北师大8上-2025秋季新版_第二套推荐25_08专项讲练
专题09坐标系中与点有关的五类综合题型(压轴题专项训练)(教师版)_北师大初中数学_8上-北师大版初中数学_初中数学北师大8上-2025秋季新版_第二套推荐25_08专项讲练
专题09坐标系中与点有关的五类综合题型(压轴题专项训练)(教师版)_北师大初中数学_8上-北师大版初中数学_初中数学北师大8上-2025秋季新版_第二套推荐25_08专项讲练
专题09坐标系中与点有关的五类综合题型(压轴题专项训练)(教师版)_北师大初中数学_8上-北师大版初中数学_初中数学北师大8上-2025秋季新版_第二套推荐25_08专项讲练
专题09坐标系中与点有关的五类综合题型(压轴题专项训练)(教师版)_北师大初中数学_8上-北师大版初中数学_初中数学北师大8上-2025秋季新版_第二套推荐25_08专项讲练
专题09坐标系中与点有关的五类综合题型(压轴题专项训练)(教师版)_北师大初中数学_8上-北师大版初中数学_初中数学北师大8上-2025秋季新版_第二套推荐25_08专项讲练
专题09坐标系中与点有关的五类综合题型(压轴题专项训练)(教师版)_北师大初中数学_8上-北师大版初中数学_初中数学北师大8上-2025秋季新版_第二套推荐25_08专项讲练
专题09坐标系中与点有关的五类综合题型(压轴题专项训练)(教师版)_北师大初中数学_8上-北师大版初中数学_初中数学北师大8上-2025秋季新版_第二套推荐25_08专项讲练
专题09坐标系中与点有关的五类综合题型(压轴题专项训练)(教师版)_北师大初中数学_8上-北师大版初中数学_初中数学北师大8上-2025秋季新版_第二套推荐25_08专项讲练
专题09坐标系中与点有关的五类综合题型(压轴题专项训练)(教师版)_北师大初中数学_8上-北师大版初中数学_初中数学北师大8上-2025秋季新版_第二套推荐25_08专项讲练
专题09坐标系中与点有关的五类综合题型(压轴题专项训练)(教师版)_北师大初中数学_8上-北师大版初中数学_初中数学北师大8上-2025秋季新版_第二套推荐25_08专项讲练
专题09坐标系中与点有关的五类综合题型(压轴题专项训练)(教师版)_北师大初中数学_8上-北师大版初中数学_初中数学北师大8上-2025秋季新版_第二套推荐25_08专项讲练
专题09坐标系中与点有关的五类综合题型(压轴题专项训练)(教师版)_北师大初中数学_8上-北师大版初中数学_初中数学北师大8上-2025秋季新版_第二套推荐25_08专项讲练
专题09坐标系中与点有关的五类综合题型(压轴题专项训练)(教师版)_北师大初中数学_8上-北师大版初中数学_初中数学北师大8上-2025秋季新版_第二套推荐25_08专项讲练
专题09坐标系中与点有关的五类综合题型(压轴题专项训练)(教师版)_北师大初中数学_8上-北师大版初中数学_初中数学北师大8上-2025秋季新版_第二套推荐25_08专项讲练
专题09坐标系中与点有关的五类综合题型(压轴题专项训练)(教师版)_北师大初中数学_8上-北师大版初中数学_初中数学北师大8上-2025秋季新版_第二套推荐25_08专项讲练
专题09坐标系中与点有关的五类综合题型(压轴题专项训练)(教师版)_北师大初中数学_8上-北师大版初中数学_初中数学北师大8上-2025秋季新版_第二套推荐25_08专项讲练
专题09坐标系中与点有关的五类综合题型(压轴题专项训练)(教师版)_北师大初中数学_8上-北师大版初中数学_初中数学北师大8上-2025秋季新版_第二套推荐25_08专项讲练
专题09坐标系中与点有关的五类综合题型(压轴题专项训练)(教师版)_北师大初中数学_8上-北师大版初中数学_初中数学北师大8上-2025秋季新版_第二套推荐25_08专项讲练
专题09坐标系中与点有关的五类综合题型(压轴题专项训练)(教师版)_北师大初中数学_8上-北师大版初中数学_初中数学北师大8上-2025秋季新版_第二套推荐25_08专项讲练
专题09坐标系中与点有关的五类综合题型(压轴题专项训练)(教师版)_北师大初中数学_8上-北师大版初中数学_初中数学北师大8上-2025秋季新版_第二套推荐25_08专项讲练
专题09坐标系中与点有关的五类综合题型(压轴题专项训练)(教师版)_北师大初中数学_8上-北师大版初中数学_初中数学北师大8上-2025秋季新版_第二套推荐25_08专项讲练
专题09坐标系中与点有关的五类综合题型(压轴题专项训练)(教师版)_北师大初中数学_8上-北师大版初中数学_初中数学北师大8上-2025秋季新版_第二套推荐25_08专项讲练
专题09坐标系中与点有关的五类综合题型(压轴题专项训练)(教师版)_北师大初中数学_8上-北师大版初中数学_初中数学北师大8上-2025秋季新版_第二套推荐25_08专项讲练
专题09坐标系中与点有关的五类综合题型(压轴题专项训练)(教师版)_北师大初中数学_8上-北师大版初中数学_初中数学北师大8上-2025秋季新版_第二套推荐25_08专项讲练
专题09坐标系中与点有关的五类综合题型(压轴题专项训练)(教师版)_北师大初中数学_8上-北师大版初中数学_初中数学北师大8上-2025秋季新版_第二套推荐25_08专项讲练
专题09坐标系中与点有关的五类综合题型(压轴题专项训练)(教师版)_北师大初中数学_8上-北师大版初中数学_初中数学北师大8上-2025秋季新版_第二套推荐25_08专项讲练
专题09坐标系中与点有关的五类综合题型(压轴题专项训练)(教师版)_北师大初中数学_8上-北师大版初中数学_初中数学北师大8上-2025秋季新版_第二套推荐25_08专项讲练
专题09坐标系中与点有关的五类综合题型(压轴题专项训练)(教师版)_北师大初中数学_8上-北师大版初中数学_初中数学北师大8上-2025秋季新版_第二套推荐25_08专项讲练
专题09坐标系中与点有关的五类综合题型(压轴题专项训练)(教师版)_北师大初中数学_8上-北师大版初中数学_初中数学北师大8上-2025秋季新版_第二套推荐25_08专项讲练
专题09坐标系中与点有关的五类综合题型(压轴题专项训练)(教师版)_北师大初中数学_8上-北师大版初中数学_初中数学北师大8上-2025秋季新版_第二套推荐25_08专项讲练
专题09坐标系中与点有关的五类综合题型(压轴题专项训练)(教师版)_北师大初中数学_8上-北师大版初中数学_初中数学北师大8上-2025秋季新版_第二套推荐25_08专项讲练
专题09坐标系中与点有关的五类综合题型(压轴题专项训练)(教师版)_北师大初中数学_8上-北师大版初中数学_初中数学北师大8上-2025秋季新版_第二套推荐25_08专项讲练
专题09坐标系中与点有关的五类综合题型(压轴题专项训练)(教师版)_北师大初中数学_8上-北师大版初中数学_初中数学北师大8上-2025秋季新版_第二套推荐25_08专项讲练
专题09坐标系中与点有关的五类综合题型(压轴题专项训练)(教师版)_北师大初中数学_8上-北师大版初中数学_初中数学北师大8上-2025秋季新版_第二套推荐25_08专项讲练
专题09坐标系中与点有关的五类综合题型(压轴题专项训练)(教师版)_北师大初中数学_8上-北师大版初中数学_初中数学北师大8上-2025秋季新版_第二套推荐25_08专项讲练
专题09坐标系中与点有关的五类综合题型(压轴题专项训练)(教师版)_北师大初中数学_8上-北师大版初中数学_初中数学北师大8上-2025秋季新版_第二套推荐25_08专项讲练
专题09坐标系中与点有关的五类综合题型(压轴题专项训练)(教师版)_北师大初中数学_8上-北师大版初中数学_初中数学北师大8上-2025秋季新版_第二套推荐25_08专项讲练
专题09坐标系中与点有关的五类综合题型(压轴题专项训练)(教师版)_北师大初中数学_8上-北师大版初中数学_初中数学北师大8上-2025秋季新版_第二套推荐25_08专项讲练
专题09坐标系中与点有关的五类综合题型(压轴题专项训练)(教师版)_北师大初中数学_8上-北师大版初中数学_初中数学北师大8上-2025秋季新版_第二套推荐25_08专项讲练
专题09坐标系中与点有关的五类综合题型(压轴题专项训练)(教师版)_北师大初中数学_8上-北师大版初中数学_初中数学北师大8上-2025秋季新版_第二套推荐25_08专项讲练
专题09坐标系中与点有关的五类综合题型(压轴题专项训练)(教师版)_北师大初中数学_8上-北师大版初中数学_初中数学北师大8上-2025秋季新版_第二套推荐25_08专项讲练
专题09坐标系中与点有关的五类综合题型(压轴题专项训练)(教师版)_北师大初中数学_8上-北师大版初中数学_初中数学北师大8上-2025秋季新版_第二套推荐25_08专项讲练
专题09坐标系中与点有关的五类综合题型(压轴题专项训练)(教师版)_北师大初中数学_8上-北师大版初中数学_初中数学北师大8上-2025秋季新版_第二套推荐25_08专项讲练
专题09坐标系中与点有关的五类综合题型(压轴题专项训练)(教师版)_北师大初中数学_8上-北师大版初中数学_初中数学北师大8上-2025秋季新版_第二套推荐25_08专项讲练
专题09坐标系中与点有关的五类综合题型(压轴题专项训练)(教师版)_北师大初中数学_8上-北师大版初中数学_初中数学北师大8上-2025秋季新版_第二套推荐25_08专项讲练
专题09坐标系中与点有关的五类综合题型(压轴题专项训练)(教师版)_北师大初中数学_8上-北师大版初中数学_初中数学北师大8上-2025秋季新版_第二套推荐25_08专项讲练
专题09坐标系中与点有关的五类综合题型(压轴题专项训练)(教师版)_北师大初中数学_8上-北师大版初中数学_初中数学北师大8上-2025秋季新版_第二套推荐25_08专项讲练
专题09坐标系中与点有关的五类综合题型(压轴题专项训练)(教师版)_北师大初中数学_8上-北师大版初中数学_初中数学北师大8上-2025秋季新版_第二套推荐25_08专项讲练
专题09坐标系中与点有关的五类综合题型(压轴题专项训练)(教师版)_北师大初中数学_8上-北师大版初中数学_初中数学北师大8上-2025秋季新版_第二套推荐25_08专项讲练
专题09坐标系中与点有关的五类综合题型(压轴题专项训练)(教师版)_北师大初中数学_8上-北师大版初中数学_初中数学北师大8上-2025秋季新版_第二套推荐25_08专项讲练
专题09坐标系中与点有关的五类综合题型(压轴题专项训练)(教师版)_北师大初中数学_8上-北师大版初中数学_初中数学北师大8上-2025秋季新版_第二套推荐25_08专项讲练
专题09坐标系中与点有关的五类综合题型(压轴题专项训练)(教师版)_北师大初中数学_8上-北师大版初中数学_初中数学北师大8上-2025秋季新版_第二套推荐25_08专项讲练

文档信息

文档格式
docx
文档大小
8.615 MB
文档页数
82 页
上传时间
2026-04-12 22:31:54

文档内容

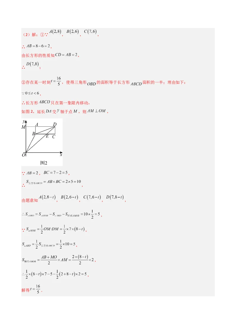
专题 09 坐标系中与点有关的五类综合题型 目录 典例详解 类型一、坐标系中的面积问题 类型二、坐标系中的角度问题 类型三、坐标系中的线段问题 类型四、坐标系中的规律性探究问题 类型五、坐标系中的新定义问题 压轴专练 类型一、坐标系中的面积问题 例1.如图所示,在平面直角坐标系中,已知 , , . (1)在平面直角坐标系中画出 . (2)点 关于 轴的对称点 的坐标为__________,点 关于 轴的对称点 的坐标为__________; (3)在 轴上找一点 ,使 最大;(4)在 轴上找一点 ,使 的周长最小,并求出周长; (5)已知 为 轴上一点,若 的面积为4,求点 的坐标. 【答案】(1)见解析 (2) , (3)当点 在同一条直线上时, 最大,最大值为 的长度,图见详解 (4)图见详解, 的周长最小为 (5)点 的坐标为 或 【分析】本题主要考查了网格坐标系和几何图形,求关于坐标轴对称的点的坐标,利用三角形的三边关系 确定最值,利用轴对称解决最短路径问题,勾股定理,根据三角形的面积确定点的坐标等知识点,解题的 关键是熟练掌握以上性质. (1)根据点的坐标确定图形即可; (2)利用轴对称的性质即可求出点的坐标; (3)利用三角形的三边关系即可确定点的位置和最值; (4)利用轴对称的性质即可确定点的位置,并利用勾股定理求出三角形的周长; (5)设 ,根据三角形的面积得 ,求解即可确定点的坐标. 【详解】(1)解: 即为所求; (2)解:点 关于 轴的对称点 的坐标为 , 点 关于 轴的对称点 的坐标为 ,故答案为: , ; (3)解:如图,延长 交 轴于一点 ,点 即为所求; 当点 不在同一条直线上时,三点构成三角形,根据三角形的三边关系, ; 所以,当点 在同一条直线上时, 最大,最大值为 的长度; (4)解:如图,找点 关于 轴的对称点 ,连接 交 轴于一点 ,点 即为所求; 此时, , 根据勾股定理得, , , 所以, 的周长为 ; (5)解:设 ,根据题意得, ,解得 , 即 , 解得, 或 , 所以,点 的坐标为 或 . 变式1-1.在平面直角坐标系中 、 ,a、b满足 . (1)如图1,求点A、B的坐标; (2)如图2,y轴上有一点E, 的面积是6,求点E的坐标; (3)如图3,将线段 沿x轴的正方向平移4个单位长度,过A、B两点分别作y轴的垂线,垂足分别为 D、C,在坐标平面内是否存在点 ,使得 与 的面积相等,且 与 的面积相等?若存在,请求P点的坐标;若不存在,请说明理由. 【答案】(1) , (2) 或 (3) 或 【分析】本题是三角形综合题,考查了非负性,三角形的面积公式,利用分类讨论思想解决问题是解题的 关键. (1)利用非负性可求a、b的值,即可求解; (2)分两种情况讨论:①当E在直线 上方时;②当E在直线 下方时;分别根据 的面积是6, 列方程求解;(3)由 与 的面积相等,列出方程可求m的值,再分两种情况讨论,即可求解. 【详解】(1)解:∵ ,且 , 又∵ , ∴ , , ∴ , , ∴ , , ∴ , , ∴ , ; (2)解:设E为 , 分以下两种情况讨论: ①如图,当E在直线 上方时,作 轴,作 连接 , 则 , ∴ , , ②当E在直线 下方时,同样可得 , ∴ , , ∴点E的坐标为 或 ;(3)解:存在,设点P的坐标为 ,由平移得 、 ,则 、 , 依题意知点P不可能在梯形 的上方或线段 的右上方或线段 左方,故分以下两种情形: ①如图,当点P在梯形 的内部时, ∵ , ∴ , ∴ , , ∵ , , ∴ , 解得 , ∴ ; ②如图,当点P在梯形 的下方时, ∵ , ∴ ,∴ , ∴ , , ∴点 在x轴上, 如图,作 轴于G,连接 , , ,∴ ,解得 ,∴ , 综上所述,P点的坐标为 或 . 变式1-2.如图,在长方形 中, 为平面直角坐标系的原点,点 的坐标为 ,点 的坐标为 ,且 、 满足 .点 在第一象限内,点 从原点 出发,以每秒2个单位长度的速 度沿着 的路线运动,回到 点,停止移动.设点 运动的时间为 ; (1)点 的坐标为______;当点 运动5秒时,点 的坐标为______; (2)在点 运动过程中,当三角形 的面积为一个定值时,则 的取值范围是______; (3)在运动过程中,当点 到 轴的距离为4个单位长度时,求点 运动的时间; (4)在 路线的运动过程中,是否存在某个时刻,使三角形 的面积是10?若存在,求出点 运动的时间;若不存在,请说明理由. 【答案】(1) ; (2) (3) 秒或 秒 (4) 秒或 秒 【分析】本题考查了非负数的性质,长方形的性质,动点问题. (1)先根据非负数的性质求出a、b的值,进而得 , ,再根据长方形的性质得 , ,即可得点B的坐标,当点 运动5秒时, ,即此时点P与点B重合, ; (2)由图可知,当点P在 上运动时,三角形 的面积为一个定值,求出点 运动到点 所用的时 间,结合(1)可得结论; (3)分两种情况:当点P在 上时, ;当点P在 上时, ;分别求出对应的时间即可; (4)设点P的运动时间为t,三角形 的面积是10,分两种情况:当点P在 上时, ;当点 P在 上时, ,则 ;分别根据面积求出t的值即可. 【详解】(1)解:∵ 、 满足 , ∴ , , ∴ , , ∴点 的坐标为 ,点 的坐标为 , ∴ , , ∵四边形 为长方形, ∴ , , ∴点 的坐标为 ; 当点 运动5秒时, , 即此时点P与点B重合, ,故答案为: ; ; (2)解:由图可知,当点P在 上运动时,三角形 的面积为一个定值, (秒), 由(1)知,运动到点B需要5秒, ∴ 的取值范围是 , 故答案为: ; (3)解:如图, 分两种情况: 当点P在 上时, , (秒); 当点P在 上时, ,则 , ∴ , (秒). 综上,当点 到 轴的距离为4个单位长度时,点 运动的时间为 秒或 秒; (4)解:设点P的运动时间为t,三角形 的面积是10, 分以下两种情况: 当点P在 上时, , ∴ , ∴ , 解得 ;当点P在 上时, ,则 , ∴ , ∴ , 解得 ; 综上,当点P的运动时间为 秒或 秒时,三角形 的面积是10. 变式1-3.如图 ,在平面直角坐标系中, , ,且满足 ,将线段 平移 得线段 ,点 对应点 ,点 对应点 ,点 的对应点 在 轴上,点 的对应点 在 轴上. (1)直接写出 、 、 三点的坐标; (2)如图 ,点 是 轴上的一个动点,当三角形 面积是三角形 的面积的一半时,求点 的坐标; (3)如图 ,若动点 从点 出发向左运动,同时动点 从点 出发向上运动,两个点的运动速度之比是 : ,运动过程中直线 和 交于点 ,若三角形 的面积等于 ,求出点 的坐标. 【答案】(1) , , (2) 或 (3) 或 【分析】(1)根据绝对值和算术平方根的非负性求出 , ,根据 到 向下平移的距离,求出点 坐标 即可;(2)设 交 轴于 ,作 轴于 ,根据 的面积等于 和梯形 的面积和,求出 点坐标,根据割补法,用 点坐标表示出 和 的面积,然后代入数量关系求解即可; (3)连接 ,假设 点坐标,根据 点位置分类讨论,根据不同的割补方法列出关于 点坐标的二元 一次方程组,求解 点坐标即可. 【详解】(1)解: , , , , , , , 平移到 向下平移了 , 到 向下平移了 , ; (2)解: , , , , 设 交 轴于 ,作 轴于 ,如图: 设 , , , 解得: , ,设 , , , , 当 或 时, , 解得: , 当 时, , 解得: , 或 ; (3)解: , 不在 内, 设 , , 运动速度之比是 , , 设 , , 当 在 轴上方时,如图: , , ,又 , , 解得: , , ; 当 在 轴下方时,作 轴于 , 轴于 ,如图: , , , , , 解得: , , , 综上所述, 点坐标为 或 . 【点睛】本题考查的是坐标与图形,平移的性质,动点问题与面积,合理利用割补法求三角形面积是本题 解题的关键. 变式1-4.在平面直角坐标系中, , , ,且 .(1)填空: ______, ______; (2)如图(1),平移线段 至 的位置,使A点的对应点是点C,B点的对应点是点D,连接 , , 直线 交x轴于点P,求点D与点P的坐标; (3)如图(2),连接 ,点T是x轴正半轴上一点,当 把四边形 的面积分为 的两部分时,求 的长. 【答案】(1)5, (2) , (3) 的长为 或16 【分析】本题属于四边形综合题,主要考查了坐标系中的平移、算术平方根非负数的性质、三角形的面积. (1)先根据算术平方根的非负性,得到关于m,n的方程,解方程即可求得m,n; (2)先根据(1)求出 , , ,再根据“平移线段 至 ,使A点的对应点是点 C”,得出平移的方向与距离,由此求得 ,设 ,利用三角形面积,得出关于a的方程求解即可 求得点P的坐标; (3)先求出四边形 的面积分,再分“ ”、“ ”两种情况,分别求 出 的长. 【详解】(1)解:∵ , 由题意得: , 解得: ,故答案为:5, ; (2)解:在平面直角坐标系中, , , ,且 , , ∴ , , , ∵平移线段 至 ,使A点的对应点是点C,点 , , ∴点A向右移动5个单位,向上移动1个单位, ∵ , ∴ , 设 , ∵ , ∴ , 解得: , ∴点P的坐标为 ; (3)解:设 , ∵ , , , ∴ , 分以下两种情况: 当 时, , ∴ ,解得: , ∴ , ∵ , ∴ ; 当 时, , ∴ , 解得: , ∴ , ∵ , ∴ , 综上所述,点T是x轴正半轴上一点,当 把四边形 的面积分为 的两部分时, 的长为 或 16. 类型二、坐标系中的角度问题 例2.如图,在平面直角坐标系 中,点 , , ,且满足 ,点 、 点 同时出发, 点从 点出发沿 轴正方向以每秒2个单位长度的速度匀速移动, 点从 点出发沿 轴负方向以每秒1个单位长度的速度匀速移动.(1) 和 位置关系是_______; (2)如图(1)当 、 分别在线段 , 上时,连接 , ,设此时点 、点 的运动时间为 . ①请分别用含t的式子表示 和 的面积; ②若 ,求出点P的坐标; (3)在 、 的运动过程中,当 时,请直接写出 和 的数量关系. 【答案】(1)平行; (2)① ;② ; (3) 或 【分析】本题考查的是三角形综合题,涉及到坐标与图形性质、平行线的性质、三角形内角和定理,掌握 非负数的性质、灵活运用分情况讨论思想是解题的关键; (1)根据非负数的性质分别求出 、 ,得到点 、 、 的坐标,根据坐标与图形性质判断 和 位置关系; (2)①过 点作 于 ,设时间经过 秒, ,则 , , , , ,根据 , ,代入即可求解;②根据 , 由①得 ,求解得 ,即可求得 、 值,从而得出点 坐标; (3)分点 在点 的上方、点 在点 的下方两种情况,根据平行线的性质解答即可. 【详解】(1)解: ,, , , , , , , . 故答案为: ; (2)解:①过 点作 于 , 设时间经过 秒, ,则 , , , , , , , ② , 解得, , , , 点 的坐标为 ; (3)解: 或 . 理由如下: ①当点 在点 的上方时,过 点作 ,如图2所示,, , , , , ,即 ; ②当点 在点 的下方时;过 点作 如图3所示, , , , , , , , 即 , 综上所述, 或 . 变式2-1.如图,在平面直角坐标系中,点 ,且 与 是一个正实数的两个不同平方根, 轴,且 ,点C在x轴的正半轴, 的平分线 交 于点D,过点A作 , 交 于点E,点F是线段 上一点,且 .(1)求点B的坐标. (2)若 ,求 的度数. (3)点P在线段 上, ,直线 交 于点Q,求 的值. 【答案】(1) (2) (3) 【分析】(1)由平方根的定义计算得出 ,从而得出 ,再结合 轴即可得解; (2)先求出 ,再由平行线的性质可得 ,再由角平分线的定义可得 ,由平行线的性质得出 ,结合题意计算即可得解; (3)设 , ,则 , ,由平行线的性质可 得 ,由角平分线的定义可得 ,再由平行线的性质得出 , 表示出 , ,代入计算即可得解. 【详解】(1)解:∵ 与 是一个正实数的两个不同平方根, ∴ , ∴ , ∴ , ∴ , ∴ , ∵ 轴, ∴ ; (2)解:∵ , ∴ ,∵ , ∴ , ∵ 平分 , ∴ , ∵ 轴, ∴ , ∵ , , ∴ ; (3)解:设 , ,则 , , ∵ , ∴ , ∵ 平分 , ∴ , ∵ 轴, ∴ , , ∴ , ∴ , ∵ , , ∴ . 【点睛】本题考查了平方根的定义、坐标与图形、角平分线的定义、平行线的性质,熟练掌握以上知识点 并灵活运用是解此题的关键. 变式2-2.如图1,在平面直角坐标系中,点A,C在y轴正半轴上,点B在x轴正半轴上, , , ,且 .(1)求A,B,C三点的坐标; (2)若点P在y轴上,且三角形 的面积是三角形 面积的 ,求点P的坐标; (3)过点B作 轴,已知 平分 ,点E是y轴上的一个动点(不与点A,C重合), 平分 交直线 于点F,过点F作 交直线 于点G. ①如图2,点E在点A的上方, ,求 的值; ②请直接写出 和 之间的数量关系. 【答案】(1) , , (2) 或 (3)① ;②当点E在点D的左侧, ;当点E在点D的左侧, 【分析】本题考查坐标与图形,非负性,平行线的性质,与角平分线有关的计算,利用属性集合和分类讨 论的思想进行求解,是解题的关键: (1)非负性求出 的值即可得出结果; (2)求出 ,进而求出 ,设点P坐标为 ,根据三角形的面积公式进行求解即可; (3)①根据平行线的性质,结合角平分线的定义,以及角的和差关系进行求解即可;②分点E在点 的 上方和点E在点 的下方,两种情况进行求解即可. 【详解】(1)解:∵ ,∴ , 解得: , ∵点C、A在y轴正半轴上,点B在x轴正半轴上, ∴ , , . (2)解:由(1)可得 , ∴ , ∴ , 设点P坐标为 , 则 , 即 , 解得: 或 , ∴P坐标为 或 . (3)①解:∵ , ∴ , 设 , ∵ 平分 , ∴ , ∴ , , ∵ 平分 , ∴ , ∴ , 又∵ 轴, ∴ .②解:当点E在点 的上方,设 , ∵ , ∴ , 设 ,则 , ∴ , , ∵ 平分 , ∴ , ∴ , 又∵ 轴, ∴ . 当点E在点A的下方,设 , ∴ , 设 ,则 , ∴ , , ∵ 平分 , ∴ , ∴ ,又∵ 轴, ∴ , 即: . 综上: 或 . 变式2-3.在平面直角坐标系中, , ,且a,c满足 . (1)直接写出a,c的值. (2)如图1,点 ,在第二象限内有一点 ,若 ,求m的取值范围. (3)如图2,若 ,点G是第二象限内一点,并且y轴平分 .点E是线段 上一动点, 连接 交 于点H,当点E在 上运动时, 的值是否发生变化?若变化,请说明理由; 若不变,请求出其值. 【答案】(1) (2) (3)变化,见解析 【分析】(1)利用非负性进行求解即可; (2)分别求出 ,根据 ,列出不等式进行求解即可; (3)设 ,过点H作 交x轴于F,推出 ,过点 E作 的平行线,推出 ,得到 ,再进行判断即可.【详解】(1)解:∵ , ∴ , ∴ . (2)解:∵ . ∴ ∵ 且在第二象限, ∴点 到 轴的距离为 , 过点 作 轴于点 ,则 , ∴ , ∵ , , , ∴ , ∵ , ∵ , ∴ , 解得, ; (3)解:变化,理由如下:∵x轴⊥y轴, ∴ , ∴ . 又∵ , ∴ .(等角的余角相等) ∵y轴平分 , ∴ . ∴ . ∴ , 设 ,则 , 如图,过点H作 交x轴于F, ∴ , ∴ . ∵ , ∴ , ∴ , 即 , ∴ . 过点E作 的平行线,同理可得: , ∴ . 又∵ , ∴ , ∴ , ∵点 是线段 上一动点, ∴α的大小在发生变化,又∵β是个定值, ∴ 的值在变化. 【点睛】本题考查坐标与图形,平行线的判定和性质.利用数形结合的思想,构造平行线进行求解,是解 题的关键. 类型三、坐标系中的线段问题 例3.在平面直角坐标系中,点A,B,C的坐标分别为 , , , 其中, 点A在 第一象限, 且满足 , . (1)请在图1的平面直角坐标系中标出点B 和点C的大致位置,并写出点A,B, C的坐标分别为 A , B , C . (2)动点P从点B出发,以每秒4个单位长度的速度沿射线 的方向运动,连接 ,设点P的运动时间为 t秒,三角形 的面积为 ,请用含t的式子表示S (写出相应的t的取值范围); (3)在(2)的条件下,在动点P从点B出发的同时,动点Q 从点A出发以每秒1个单位长度的速度沿射线 的方向运动.分别过点O,Q作直线 的垂线,垂足分别为点 G,H.当 时,求t的值. 【答案】(1)图见解析, (2) (3) 或 【分析】本题考查坐标与图形,两点间得距离,熟练掌握相关知识点,利用数形结合的思想进行求解是解题的关键: (1)由题意,易得: 轴,进而标出点B 和点C的大致位置,得到 ,根据 , ,求出 的 值,进而写出三个点的坐标即可; (2)分 和 两种情况进行讨论求解即可. (3)分 和 两种情况进行讨论求解即可. 【详解】(1)∵ , , ,点A在第一象限, ∴ 轴,标出点B 和点C的大致位置如图: ∴ , ∴ , , ∴ , , ∴ ; (2)∵ , ∴ , ∵动点P从点B出发,以每秒4个单位长度的速度沿射线 的方向运动, ∴当点 运动到点 时, , ∴当 时, , ; 当 时, , ∴ ;综上: (3)①当 时,则: ,由(1)知: , ∴ , 由(2)知: , ∵ , , , 轴, ∴ 相当于把 扩大 倍得到的, ∴ , ∴ ,解得: ; 当 时, 同理: ,解得: ;综上: 或 . 变式3-1.在平面直角坐标系中,点 ,点 ,且 、 满足 . (1)直接写出 ________, ________,三角形 的面积是________; (2)线段 上有一点 ,连接 ,若 平分三角形 的面积,求点 的坐标; (3)现将线段 平移至 ,使点 、 均落在坐标轴上,且点 、 与点 、 依次对应,线段 与直 线 相交于点 ,直接写出 的值. 【答案】(1)2;2;10 (2) (3) 或 【分析】本题主要考查了坐标与图形,坐标与图形变化—平移,非负性的性质,熟知相关知识是解题的关 键. (1)根据非负性的性质求出a、b的值,得到点A和点B的坐标,过点 作 轴于 ,过点A作 轴于 ,根据 列式求解即可; (2)过点 作 轴于 ,连接 ,设 ,根据 ,可得 ,则 ;过点 作 轴,交 轴于点 ,过点 作 轴交 轴于 点, 与 交于点 , 可得到 ,根据 ,得到,解方程即可得到答案; (3)当点 在 轴上,点 在 轴上时,则平移方式为向左平移2个单位长度,向下平移2个单位长度, 当点 在 轴上,点 在 轴上时,则平移方式为向左平移6个单位长度,向下平移4个单位长度,两种 情况画出示意图讨论求解即可. 【详解】(1)解:∵ , , ∴ , ∴ , ∴ , ∴ , , 如图所示,过点 作 轴于 ,过点A作 轴于 , ∴ ; (2)解:如图所示,过点 作 轴于 ,连接 ,设 , , , ;过点 作 轴交 轴于点 ,过点 作 轴交 轴于 点, 与 交于点 , ∵ 平分三角形 的面积, ∴ , ∵ , ∴ , , , ; (3)解:如图所示,当点 在 轴上,点 在 轴上时,则平移方式为向左平移2个单位长度,向下平移 2个单位长度, , , 如图所示,连接 ,则 轴,, , , 设 , , , , , , , , , ; 如图所示,当点 在 轴上,点 在 轴上时,则平移方式为向左平移6个单位长度,向下平移4个单位 长度, , , 同理可得 (可取一点 ,仿照上面得到点Q坐标), , , 综上所述, 或 .变式3-2.如图,在平面直角坐标系中, 轴负半轴上有点 ,点 为 中点. (1)如图1,点 与点 关于 轴对称,且 ,则点 的坐标为________;求证: 为等边三角 形; (2)在(1)的条件下,若点 为 轴上 点右侧的一个动点,则 ______ ,并求出 的最小 值(用含 的式子表示); (3)如图2, 分别为 轴正半轴与 轴正半轴上的动点,若 ,点 为 的角平分线 交点,猜想线段 与 的数量关系,并说明理由. 【答案】(1) ,证明见解析 (2) , (3) ,理由见解析 【分析】(1)根据关于 轴对称的点的纵坐标互为相反数,即可得出 点的坐标,根据题意, 垂直平 分 , 垂直平分 ,进而根据垂直平分线的性质可得 ,即可得证; (2)根据等边三角形的性质, ,可得 , ,过点 作 于点 ,则 ,得出 ,则当 三点共线时,取得最小值, 是等 边三角形的高,则 ,即可求解; (3)连接 ,点 为 的角平分线交点,根据角平分线的定义可得 , ,进而得出 ,证明 ,可得出 ,则 是等腰直角三角形,同理可得 ,可得 是等腰直角三角形,延长 至 ,使得,连接 ,倍长中线法证明 ,进而证明 ,可得 ,即 , 即可得证. 【详解】(1)解:∵点 与点 关于 轴对称,且 , ∴ 点的坐标为 , 故答案为: . 证明:∵ 是 的中点, , ∴ 垂直平分 , ∴ , ∵ ,且 , ∴ 垂直平分 , ∴ , ∴ , ∴ 是等边三角形; (2)解:∵ 是等边三角形, , ∴ , , 故答案为: . 如图所示,过点 作 于点 ,则 , ∴ ,则当 三点共线时,取得最小值, ∵ , 则 与 轴的交点即为点 ,此时 ,又 是等边三角形的高,则 ∴ 的最小值为 ; (3)解: ,理由如下, 如图所示,连接 , ∵点 为 的角平分线交点, ∴ , , ∴ , ∴ , ∵ , , ∴ ∴ , , ∴ ,则 是等腰直角三角形, 同理可得 ,可得 是等腰直角三角形,∴ , , ∵ 是 的中点,∴ , 延长 至 ,使得 ,连接 , 又∵ ,∴ ,∴ , , ∵ , 又 ,∴ 在 中, ,∴ ,∴ ,即 ,∴ 【点睛】本题考查了坐标与图形,垂直平分线的性质,轴对称的性质求线段的和,含30度角的直角三角形的性质,等边三角形的性质与判定,全等三角形性质与判定,熟练掌握以上知识是解题的关键. 类型四、坐标系中的规律性探究问题 例4.如图,在平面直角坐标系中,动点 按图中箭头所示方向依次运动,第1次从点 运动到点 ,第2次运动到点 ,第3次运动到点 ,…,按这样的运动规律,动点 第2025次运动到点 ( ) A. B. C. D. 【答案】A 【分析】本题为平面直角坐标系下的规律探究题,解题的关键是注意探究动点的运动规律,又要注意动点 的坐标的所在象限及符号. 观察图形可知,每4次运动为一个循环组循环,并且每一个循环组向右运动4个单位,用2025除以4,然 后根据商的情况确定运动后点的坐标即可. 【详解】解:点 可以看作周期运动,运动周期为4, , ∴动点 第2025次运动到点 , 故选:A. 变式4-1.平面直角坐标系中,我们把横、纵坐标都是整数,且横、纵坐标之和大于0的点称为“和点”. 将某“和点”平移,每次平移的方向取决于该点横、纵坐标之和除以4所得的余数(当余数为0时,向右 平移;当余数为1时,向上平移;当余数为2时,向左平移;余数为3时,向下平移),每次平移1个单位长度.“和点” 按上述规则连续平移3次后,到达点 ,其平移过程如下: .若“和点” 按上述规则连续平移10次后,到达点 ,则点 的坐标可能为( ) A. B. C. D. 【答案】B 【分析】本题考查点的坐标规律问题,熟练找到点的坐标规律是解题的关键.根据题意找出点的坐标规律 即可得出答案.先分别计算余0,1,2,3的平移,找到规律,根据移动规律可知,若“和点”横、纵坐标 之和除以4所得的余数为1时,之后按照向上、向左,不断重复的规律平移,按照 的反向运动理解 去讨论即可求出点R的坐标. 【详解】解:若“和点”R按上述规则连续平移10次后,到达点 , 则按照“和点”反向运动10次即可, 是R连续平移10次后余1, 从第一次平移开始,余2,余1,……循环, 共余2有5次,余1有5次,共计向上平移了5次,向左平移了5次, 即 ; 故选:B. 变式4-2.如图,将点 向上平移1个单位,再向右平移2个单位,得到点 ;将点 向上平移2个单 位,再向右平移4个单位,得到点 ;将点 向上平移4个单位,再向右平移8个单位,得到点 …按这 个规律平移得到点 ,则点 的横坐标为( )A. B. C. D. 【答案】B 【分析】根据题意, 的横坐标为 , 的横坐标为 , 的横坐标为 ,由此得到点 的横坐标为 ,解答即可. 本题考查了坐标的平移,坐标的规律,求和,熟练掌握规律发现求和方法是解题的关键. 【详解】解:根据题意,得 的横坐标为 , 的横坐标为 , 的横坐标 为 ,由此得到点 的横坐标为 , 设 ,故 下式减去上式,得 ,故横坐标为 .故选:B. 变式4-4.如图,点A在x轴正半轴及y轴正半轴上运动,点A从原点出发,依次跳动至点 、 、 、 、 、 、 、 ,……按此规律,则点 的坐标是( ) A. B. C. D.【答案】D 【分析】根据已知点的坐标特征,将连续的4个点看成一组,由第1组,第2组确定组内点的位置特征、 点坐标与组序数的联系;以此类推, ,故点 是第506组的第3个点,则 在x轴上, 其非零坐标即横坐标为 . 【详解】解:根据题意,将连续的4个点A看成一组, 第1组:A(0,1),A(1,0),A(2,0),A(0,2),其位置分别为y轴、x轴、x轴、y轴,前两个点的非 1 2 3 4 零坐标为1,后两个点的非零坐标为2;其中, , ; 第2组:A(0,3),A(3,0),A(4,0),A(0,4),其位置分别为y轴、x轴、x轴、y轴,前两个点的非 5 6 7 8 零坐标为3,后两个点的非零坐标为4;其中, , ;…… 以此类推, , 则点 是第506组的第3个点,则 在x轴上,其非零坐标即横坐标为 ,故点 的坐 标是 ;故选:D. 【点睛】本题考查规律探索,根据已知的点坐标,对点分组找出规律是解题的关键. 类型五、坐标系中的新定义问题 例5.在平面直角坐标系 中,给定 (n为正整数)个不同的点 给出如下定义:记 点 称为这 个点的n阶中点. 例如,当 时,点 为 的1阶中点, 已知点 , , , .(1)点A,B,C,D的2阶中点P的坐标是 ; (2)点A,B,C,D中任意两点的1阶中点坐标共有 种可能的情况; (3)在四边形 的四条边上分别取点E, , , , 点Q为E,F,G,H的2阶 中点, 点R为A,B,C,D,E,F,G,H的3阶中点, ① 若点Q与点 R重合时,则点E的坐标为 ;b,d满足的关系式为 ; ② 若点E,F,H分别在线段 , , 上运动,请直接写出所有点 R组成的图形面积. 【答案】(1) (2)5 (3)① , ② 【分析】本题考查新定义的运算,点的坐标,掌握新定义的运算法则是解题的关键. (1)根据新定义运算法则计算解答; (2)分别根据新定义运算法则计算,然后判断解答即可; (3)①先判断点 在 边上,设点 的作标为 ,然后根据新定义的运算法则列等式求出 值,即可 解题; ②根据新定义的运算法则求出点 的坐标,然后根据点的位置求出 组成的图形是平行四边形形,然后计 算面积解答即可.【详解】(1)解: , , ∴点A,B,C,D的2阶中点P的坐标是 , 故答案为: ; (2)解:点A和B的1阶中点坐标为 ,即 ; 点A和C的1阶中点坐标为 ,即 ; 点A和D的1阶中点坐标为 ,即 ; 点B和C的1阶中点坐标为 ,即 ; 点B和D的1阶中点坐标为 ,即 ; 点C和D的1阶中点坐标为 ,即 ; 故答案为: ; (3)①解:设点E的坐标为 , 则 , , 解得 , , 又∵E, , , , ∴点G在 边上,点F在 边上,点H在 上, ∴点E在 上, 则点 的坐标为 , ∴ ,故答案为: , ; ②解:∵点E在 上, ∴ 点R的坐标为 ,即为 , ∵ , , , , ∴ , , ∴点R构成的图形是长为 ,高为 的平行四边形, ∴点R构成的图形的面积为 . 变式5-1.对于平面直角坐标系 中的图形 和点 ,给出如下定义:将图形 绕点 顺时针旋转 得 到图形 ,图形 称为图形 关于点 的“垂直图形”,例如,图1中线段 为线段 关于点 的 “垂直图形”. (1)线段 关于点 的“垂直图形”为线段 .①若点 的坐标为 ,则点 的坐标为____. ②若点 的坐标为 ,则点 的坐标为_____. (2) , , ,线段 关于点 的“垂直图形”记为 ,点 的对应点为 ,点F 的对应点为 . ①求点 的坐标(用含 的式子表示); ②若 的半径为2, 上任意一点都在 内部或圆上,直接写出满足条件的 的取值范围. 【答案】(1)① ;② (2)① ;② 【分析】(1)①②根据“垂直图形”定义,结合旋转性质、坐标与图形即可求解; (2)①过点 作 轴于 , 轴于 ,证明 得到 , , 进而可求得点 的坐标;②根据旋转性质和“垂直图形”的定义可知,满足条件的点在第一象限的 上 时取得最大值,与原点重合时取得最小值,进而根据勾股定理求解即可. 【详解】(1)①如图: 点 的坐标为 , 点坐标为 故答案为: ; ②当 时,如图, , 故答案为: ; (2)①作 轴于 , 轴于 则,则点 关于点 的“垂直图形”为 , 在 和 中, , , , , 点 的坐标为 ②如图,观察图象可知,满足条件的 如图中阴影部分,当点 在第一象限的 上, 取得最大值,则 , 解得: 的最大值为 当 与原点重合时, 取得最小值,此时 , 的最小值为 综上所述, 的取值范围为 【点睛】本题考查了垂直图形的定义,旋转的性质、全等三角形的判定与性质、坐标与图形变换、勾股定 理,两点距离公式等知识,理解题意并作出相应辅助线构造全等三角形解决问题是解题的关键. 变式5-2.在平面直角坐标系 中,对于任意两点 与 的“条件距离”,给出如下定义: 若 ,则点 与点 的“条件距离”为 ;若 ,则点 与点 的“条 件距离”为 .例如:点 ,点 ,因为 ,所以点 与点 的“条件距离”为 ,也就是如 图1中线段 与线段 长度的较大值(点 为垂直于 轴的直线 与垂直于 轴的直线 的交点). (1)已知点 , 为 轴上的一个动点, ①若点 与点 的“条件距离”为2,写出满足条件的点 的坐标; ②直接写出点 与点 的“条件距离”的最小值; (2)已知点 、 、 、 ,在 的边上存在点 ,使得点 、 的 “条件距离”为2,用 、 表示符合条件的点 的位置. 【答案】(1)① ; ②1; (2)当 时, ;当 时, . 【分析】(1)①根据点 位于 轴上,可以设点 的坐标为 ,由“条件距离”的定义可以确定 ,据此可以求得 的值,可得点 坐标;②设点 的坐标为 ,根据 ,得出点 与 点 的“条件距离”的最小值为1; (2)根据题意分类讨论,当 ,则点 、 的“条件距离”为 ;当 ,则点 、 的“条件距离”为 ,分别求出 、 所满足的范围,结合点 在 的边上,用 、 表示符 合条件的点 的位置.【详解】(1)解:由题意得,设 , ①则 , 点 与点 的“条件距离”为2, ,即 ,解得: ,解得: 点 坐标为 ②由题意得, , 点 与点 的“条件距离”的最小值为 点 与点 的“条件距离”的最小值为1. (2) 当 ,则 或 同时, , ,即 点 满足: 或 ,且 结合图像,若 , ,满足条件的点 在 的边上,符合条件的坐标为 , 若 , ,满足条件的点 在 的边上,符合条件的坐标为满足 , 的所 有点坐标; 当 ,则 或 同时, ,即 点 满足: 或 ,且 ; 结合图像, 若 , ,满足条件的点 在 的边上,没有满足条件的点; 若 , ,满足条件的点 在 的边上,没有满足条件的点; 综上所述,符合条件的点 的位置为: 当 时, ; 当 时, .【点睛】本题考查了有关平面直角坐标系点坐标的新定义题,对于信息给予题,一定要弄清楚题干中的已 知条件,理解题中“条件距离”的定义是正确解题的关键. 1.如图,在平面直角坐标系中,有若干个横坐标分别为整数的点,其顺序按图中“ ”方向排列,如 ……根据这个规律,第 个点的横坐标为 ,第 个点的坐标 为 . 【答案】 1 【分析】本题考查了点的坐标的规律变化,寻找图形和数字的规律特点是解决问题的关键.以正方形最外 边上的点为准考虑,点的总个数等于最右边上的横坐标的平方,且横坐标为奇数时最后一个点在 轴上, 为偶数时,最后以点 结束,因为 , 为偶数,则可得第 个数的横坐标;求出与2017 最接近的平方数为2025,然后写出第2017个点的坐标即可. 【详解】解:根据图形可知:以最外边的矩形边长上的点为准,点的总个数等于 轴上右下角的点的横坐 标的平方, 如:右下角的点的横坐标为1,共有1个,即 , 右下角的点的横坐标为2时,共有4个,即 , 右下角的点的横坐标为3时,共有9个,即 , 右下角的点的横坐标为 时,共有 个,, 根据规律可知:当 为奇数时,最后以点 结束;当 为偶数时,最后以点 结束, 为偶数, ∴第 个点的横坐标为1; , , 根据规律可知:当 为奇数时,最后以点 结束;当 为偶数时,最后以点 结束; 为奇数, 该正方形每一边上有45个点,且最后一个点的坐标为 ,是第2025个点, 第2017个点是从第2025个点向上数第8个点, 第2017个点的坐标为 ; 故答案为: . 2.平面直角坐标系中,我们把横、纵坐标都是整数,且横、纵坐标之和大于0的点称为“和点”,将某 “和点”平移,每次平移的方向取决于该点横、纵坐标之和除以3 所得的余数(当余数为0时,向右平移; 当余数为1时,向上平移;当余数为2时,向左平移),每次平移1个单位长度. 例:“和点” 按上述规则连续平移3次后,到达点 .其平移过程如下:点 横、纵坐标 之和除以3所得的余数为0,向右平移1个单位长度得到点 ,点 横、纵坐标之和除以3所得 的余数为1,向上平移1个单位长度得到点 ,点 横、纵坐标之和除以3所得的余数为2,向 左平移1个单位长度得到点 .若“和点”Q按上述规则连续平移2026次后, 到达点 ,则Q的坐标为 . 【答案】 或 【分析】本题考查了点的坐标规律探索,根据已知:点 横、纵坐标之和除以3所得的余数为1,继而向上平移1个单位得到 ,此时横、纵坐标之和除以3所得的余数为2,继而向左平移1个单位得 到 ,此时横、纵坐标之和除以3所得的余数为1,又向上平移1个单位……,因此发现规律为若 “和点”横、纵坐标之和除以 所得的余数为 时,先向右平移 个单位,再按照向上、向左,向上、向左 不断重复的规律平移;若“和点”Q按上述规则连续平移2026次后,到达点 ,则按照 “和点” 反向运动2026次即可,即向右,向下或者向下,向右,据此进行分析,即可作 答. 【详解】解:依题意,可以分为两种情况: ① 先向右 个单位得到 , 此时横、纵坐标之和除以 所得的余数为 , 应向右平移得到点 ,与到达点 矛盾,不成立; ② 先向下 个单位得到 , 即横、纵坐标之和除以 所得的余数为 ,则 应该向上平移 个单位得到 , 故符合题意, 点 先向下平移,再向右平移,当平移到第2025次时,共计向下平移了1013次,向右平 移了1012次, ∴ , , 此时坐标为 , 设当 第一次向右平移 个单位得 , ∴ , , ∴ , 故 ; 则 即 向右平移得 ,符合题意; 当 第一次向左平移 个单位得 , ∴ , , ∴ , 故 ; 则 即 向左平移 个单位得 ,符合题意; 当 第一次向上平移 个单位得 , ∴ , , ∴ , 故 ; 则 即 向右平移 个单位得 ,不符合题意; 故答案为: 或 . 3.如图六边形 是正六边形,曲线 …叫做正六边形的渐开线,满足 ,, , …;点B、点A与点 共线,点C、点B与点 共线,点D、点C与点 共线…,当点A坐标为 ,点B坐标为 时,点 的坐标是 . 【答案】(- , ) 【分析】由正六边形的性质得到每段弧所对的圆心角的度数都为 ,每段弧的半径都为n,且每六次循环 一次,作图,利用勾股定理及直角三角形30度角的性质求出答案. 【详解】解:∵六边形 是正六边形, ∴每段弧所对的圆心角的度数都为 , ∵ , , , …, ∴每段弧的半径都为n,且每六次一循环, ∵ , ∴如图,A E=2021, 2021 ∵∠HEM= , ∴∠HME= , ∴ME=2HE=2, ∴A M=2019, 2021 ∴A P= , 2021∴PM= , 同理:MN=4, , ∴BP= , ∴点 的坐标是(- , ), 故答案为:(- , ). 【点睛】此题考查了正六边形的性质,勾股定理,直角三角形30度角的性质,正确理解每段弧的半径都是 n是解题的关键. 4.综合与探究: 如图,已知点 满足 .将线段 先向上平移2个单位,再向右平移1个 单位后得到线段 ,并连接(1)点 的坐标是 ,点 的坐标是 ; (2)点 从 点出发,以每秒1个单位的速度向上平移运动.设运动时间为 秒,问:是否存在这样的 , 使得四边形 的面积等于9?若存在,请求出 的值;若不存在,请说明理由; (3)在(2)的条件下,点 从 点出发的同时,点 从点 出发,以每秒2个单位的速度向左平移运动, 设射线 交 轴于点 .设运动时间为 秒,直接写出 的值. 【答案】(1) ; (2)存在,3 (3)3 【分析】(1)利用绝对值与平方的非负性求出a,b的值,即可求解; (2)由平移的性质可得点 ,点 , ,由面积关系可求解; (3)分点N在线段 上,点N在 的延长线上两种情况讨论,由面积和差关系可求解. 【详解】(1)解:∵ , , ,解得 , ∴点A和点 的坐标分别为 ; , 故答案为: ; ; (2)解:存在. 过D作 的延长线,垂足为H,如图所示:∵点A和点 的坐标分别为 ; , ∴ , ∵将线段 先向上平移2个单位,再向右平移1个单位后得到线段 , ∴点C和点D的坐标分别为 和 , ∴ , 设M点坐标为 ,连接 , ∴ , ∵ , ∴ ,即 ,解得 , ∴存在这样的 ,使得四边形 的面积等于9; (3)解:不变. 理由如下: 当点N在线段 上时,如图所示,设运动时间为 秒, , 过D作 的延长线,垂足为H ,连接 , ∵ , , ∴= = , 当点N运动到线段 的延长线上时,如图所示,设运动时间为 秒, ,连接 , , 综上可知, 的值为 . 【点睛】本题是考查了平移的性质,非负数性质,解二元一次方程组,坐标与图形的性质,三角形的面积 公式等知识,利用分类讨论思想解决是本题的关键. 5.已知长方形 在平面直角坐标系中,连接线段 , ,且 交 于点 . (1)如图1, 边与 轴平行, 是 轴的正半轴上一点, 是 轴的正半轴上一点, 的平分线和 的平分线交于点 ,若 ,求 的度数; (2)如图2,若长方形的三个顶点 , , 的坐标分别为 , , . ①请直接写出点 的坐标;②若长方形 以每秒1个单位的速度向下运动,设运动的时间为 秒.是否存在某一时刻 , 使得三角形 的面积等于长方形 的面积的一半?若存在,请求出 的值;若不存在,请说明理由. 【答案】(1) 的度数为 (2)① ;②存在某一时刻 ,使得三角形 的面积等于长方形 面积的一半 【分析】本题考查了平行线的性质、平面直角坐标系中点的坐标、动点问题,熟练掌握以上知识点是解题 的关键. (1)设 , ,过点 作 ,则 ,根据平行线的性质解题; (2)①由长方形的性质写出坐标; ②延长 交 轴于点 ,则 ,列出对应方程,进行求解. 【详解】(1)解:如图1,设 , , 的平分线和 的平分线交于点 , , , , , , , 过点 作 ,则 , , , , 即 的度数为 ;(2)解:①∵ , , , ∴ , 由长方形的性质知 , ∴ ; ②存在某一时刻 ,使得三角形 的面积等于长方形 面积的一半;理由如下: , ∴长方形 只在第一象限内移动, 如图2,延长 交 轴于点 ,则 , ∵ , , ∴ , 由题意知 , , , , , ∵ , , , , 解得 .6.如图1,在平面直角坐标系中, 的三个顶点为 ,且满足 ,线段 交 轴于点 ,点 为 轴上一动点(点 不与点 重合). (1)求点 、 、 的坐标. (2)如图2,当点 在 轴负半轴上运动时,过点 作 ,分别作 的平分线交于点 , 试问在点 的运动过程中, 的度数是否发生变化,若变化,请说明理由,若不变,请求出 的 值. (3)在 轴上是否存在这样的 点, ,若存在,请求出点 坐标,若不存在,请说明理由. 【答案】(1)点 的坐标为 ,点 的坐标为 ,点 的坐标为 ; (2)不变,值为 ; (3)存在, 或 . 【分析】(1)根据 和平方的非负性、二次根式的非负性、绝对值的非负性,求 出: 、 、 的值,从而可得点 、 、 的坐标; (2)过点 作 ,根据两直线平行,内错角相等,可得: , , ,从而可得: ,根据角平分线的定义可知 , ,从而可求 ; (3)当点 在 轴上方时,过点 作 轴于 ,根据 可得:,又因为 ,可得关于 的一元一次方程 ,解方程求出 的坐标即可得到 点 的坐标;当点 在 轴下方时,过点 作 轴于 ,根据 ,可得: ,因为 ,可得关于 的一元一次方程 ,解方程求出 的值,即可得到 点 的坐标. 【详解】(1)解: , , , , , , , 解得: , , , 点 的坐标为 ,点 的坐标为 ,点 的坐标为 ; (2)解: , 如下图所示,过点 作 , , , , , , , , 、 分别为 、 的平分线, , , ; (3)解:设 , 如下图所示,当点 在 轴上方时,过点 作 轴于 ,, , , , , , , , , , , , , ; 如下图所示,当点 在 轴下方时,过点 作 轴于 , 同理可得 , , , , ;综上所述,点 的坐标为 或 . 【点睛】本题主要考查了平面直角坐标系中图形与坐标、平行线的性质、解一元一次方程、角平分线的定 义,解决本题的关键是根据角平分线的定义和平行线的性质找角之间的关系. 7.如图,在平面直角坐标系中,点 , , ,且满足 ,P点从点A出 发沿x轴正方向以每秒2个单位长度的速度移动,点Q从点O出发沿y轴负方向以每秒1个单位长度匀速 运动. (1)求点 的坐标和点 的坐标; (2)在点P,Q运动的过程中,连接 , ,使三角形 的面积是三角形 面积的4倍,求出点P的 坐标; (3)在点P,Q运动的过程中,当 时,请探究 和 的数量关系,并说明理由. 【答案】(1) , (2)点 的坐标为 或 (3) 或 ,见解析 【分析】本题考查了三角形的面积计算、坐标与图形性质、平行线的性质. (1)根据非负数的性质分别求出a、b,即可得点A、B、C的坐标; (2)过点 作 于点 ,分两种情况讨论:①如图,当点 在点 上方时;②如图,当点 在点 下方时;分别根据三角形的面积公式求出 ,得到点P的坐标; (3)分点Q在点C的上方、点Q在点C的下方两种情况,根据平行线的性质解答即可.【详解】(1)解:∵ , ∴ , , 解得, , , 则 , , ; (2)解:如图,过点 作 于点 , 设时间经过 秒,三角形 的面积是三角形 面积的4倍,则 , , , , 三角形 的面积是: , 分以下两种情况: ①如图,当点 在点 上方时, , 三角形 的面积是: , , 解得 , , , 点 的坐标为 ; ②如图,当点 在点 下方时,, 三角形 的面积是: , , 解得 , , , 点 的坐标为 , 综上所述,点 的坐标为 或 ; (3)解: 或 .理由如下: 过点 作 , , , , , 分以下两种情况讨论: ①如图,当点 在点 上方时, 有 , ; ②如图,当点 在点 下方时,有 , , , 综上所述, 或 . 8.如图1,点 , ,且满足 . (1)直接写出 、 的坐标: (0,______), (________,0); (2)点 以每秒2个单位长度从点 向 轴负半轴运动,同时,点 以每秒3个单位长度从 点向 轴正半 轴运动,直线 , 交于点 ,设点 , 运动的时间为 秒. ①当 时,求证: ; ②如图2,当 时,在线段 上任取一点 ,连接 .点 为 的角平分线 上一点,连接 ,且满足 .请将图2补全,直接写出 、 、 之间的 数量关系. 【答案】(1) (2)①证明见解析;②图见解析, 或 【分析】本题考查的是非负数的性质,坐标与图形,三角形的面积的计算,平行线的性质,平行公理的应 用,作出合适的辅助线是解本题的关键.(1)由非负数的性质可得: , ,从而可得答案; (2)利用三角形的面积公式证明 ,再进一步可得答案; (3)先根据题意补全图形,设 ,设 ,则 ,再证明 , ,再进一步可得答案. 【详解】(1)解:∵ , , ∴ ∴ , , 解得: , , ∴点 , 故答案为: ; (2)①当 时, , , ∴ , , ∴ , ∴ , ∴ ; ②如图,补全图形如下: 当点 在 上方时, ∵点 为 的角平分线上一点, ∴设 ,∵ , 设 ,则 , 如图,∵ , ∴ , 过 作 , ∴ , ∴ , , ∴ , 过 作 ,而 , ∴ , ∴ , , ∴ , 而 , ∴ , ∴ , ∴ ; 当点 在 下方时, ∵点 为 的角平分线上一点, ∴设 , ∵ , 设 ,则 , ∵ , ∴ , 过 作 ,∴ , ∴ , , ∴ , 过 作 ,而 , ∴ , ∴ , , ∴ , 而 , ∴ , ∴ , ∴ . 9.如图,在平面直角坐标系中,函数 的图像分别交x轴、y轴于A、B两点,过点A的直线交 y轴正半轴于点M,且点M为线段 的中点. (1)求直线 的函数解析式; (2)若点C是直线 上一点,且 ,求点C的坐标; (3)点P为x轴上一点,当 时,请直接写出满足条件的点P的坐标. 【答案】(1) (2) 或 (3) 或 【分析】本题考查一次函数的综合应用,正确的求出函数解析式,利用数形结合和分类讨论的思想进行求解,是解题的关键. (1)求出 的坐标,中点得到 点的坐标,待定系数法求出直线 的解析式即可; (2)过点 作 轴,交直线 于点 ,设 ,则: , 分割法得到 ,结合 ,进行求解即可; (3)分点 在 点左侧和右侧,两种情况进行讨论求解即可. 【详解】(1)解:∵ , ∴ 时, , 时, , ∴ , ∵ 是 的中点, ∴ , ∴设直线 的解析式为 ,把 ,代入,得: ; ∴直线 的解析式为 ; (2)过点 作 轴于点 ,交直线 于点 ,设 ,则: , ∴ , ∴ ,∵ , ∴ , ∴ , ∴ 或 , ∴ 点坐标为: 或 (3)当点 在 点右侧时:将直线 沿着 轴向上平移 个单位,得到直线 : , 此时 , ∴ , 当 时, , ∴ , 当点 在 点左侧时,作 的中垂线,交 于点 ,连接 交x轴于点P,则: ,∴ , 设 , 则: , ∴ , 解得: , ∴ , 设直线 的解析式为: ,把 代入,得: , ∴ , ∴当 时, , ∴ ; 综上: 或 . 10.如图,在平面直角坐标系中,已知 ,以 为一边在第四象限内画正方形 , 为 轴上的一个动点 ,以 为一直角边在第四象限内画等腰直角 ,其中 .(1)点 的坐标为____________ (2)试判断线段 、 的关系,并说明理由; (3)设 的中点为 ,直线 交 轴于点 .问:随着点 的运动,点 的位置是否会发生变化?若保 持不变,请求出点 的坐标;若发生变化,请说明理由. 【答案】(1) (2) ,且 ,理由见解析 (3)不变, ,理由见解析 【分析】(1)由正方形的性质可得出答案; (2)由正方形 ,可得 , ,由等腰直角三角形 ,可得 , ,再根据 ,即可得到 ,进而得出 ; (3)过点 作 ,分别交直线 , 于点 , ,判定 ,可得 , ,判定 ,可得 ,依据 ,可得 ,依据 ,可得 ,进而得到 是等腰直角三角形,进而得到 ,即点 的位置不会发生变化. 【详解】(1)解: ,以 为一边在第四象限内画正方形 , . 故答案为: . (2)解: .理由如下: 由正方形 ,可得 , , 由等腰直角三角形 ,可得 , , ,即 , , . (3)解:点 的位置不会发生变化.理由如下: 如图,过点 作 ,分别交直线 , 于点 , , , , , 又 , , , , 是 的中点, , , , 又 , , , ,即 , , 又 , , 是等腰直角三角形, , ,即点 的位置不会发生变化. 【点睛】本题主要考查全等三角形的判定和性质、等边三角形的性质、坐标与几何图形的关系、正方形的 性质等知识点,解题的难点在于作辅助线构造全等三角形,运用全等三角形的对应边相等得出 是等腰直角三角形. 11.在平面直角坐标系 中,对于点 和长度为 的线段 给出如下定义:若线段 平行于 轴 (或与 轴重合),则将线段 向下平移 个单位长度,得到线段 ;若线段 平行于 轴(或与 轴重合),则将线段 向右平移 个单位长度,得到线段 .若点 在以 为顶点的 正方形的边上,则称点 是线段 的“方田点”. 已知点 的坐标为 ,点 的坐标为 . (1)在 这四个点中,___________是线段 的“方田点”; (2)点 ,若线段 上存在线段 的“方田点”,则 的取值范围是___________; (3)点 ,点 是线段 的“方田点”,将点 向下平移 个单位长度,得到点 .若线 段 的“方田点”都是线段 的“方田点”,直接写出 的取值范围. 【答案】(1) , (2) (3) 或 【分析】本题考查了新定义、坐标与图形变化—平移、一元一次方程的应用,理解线段的“方田点”的定 义,运用数形结合思想是解题的关键. (1)由题意得, , 轴,将线段 向下平移2个单位长度得到线段 ,在坐标系中画出图形,再根据线段 的“方田点”的定义即可得出结论; (2)结合点 和点 的坐标可得,点 在直线 上,点 在直线 上,根据线段 上存在线段 的“方田点”,得到线段 与正方形 有交点,再结合图形对线段 的位置进行分析即可求解; (3)由题意得, , 轴,将线段 向右平移 个单位长度得到线段 ;再根据题意分 析出线段 的“方田点”所在的区域,记此时的区域为区域 ,根据线段 的“方田点”都是线段 的“方田点”,得到正方形 的边都落在区域 ,再结合图形对正方形 的位置进行分析即 可求解. 【详解】(1)解:∵点 的坐标为 ,点 的坐标为 , ∴ , 轴, 由题意得,将线段 向下平移2个单位长度得到线段 , ∴ , , 画图如下: 由图可知,点 和 是线段 的“方田点”; 故答案为: , ; (2)解:∵点 , ∴点 在直线 上,点 在直线 上, ∴线段 介于直线 和直线 之间,当点 恰好落在点 上,则 ,解得 , 当点 恰好落在点 上,则 ,解得 , 当点 恰好落在线段 上,则 , 当点 恰好落在线段 上,则 , ∴由图可得,当 时,线段 与正方形 有交点, ∴若线段 上存在线段 的“方田点”,则 的取值范围是 ; 故答案为: ; (3)解:∵点 , ∴ , 轴, 由题意得,将线段 向右平移 个单位长度得到线段 , ∴ , , ∴线段 的“方田点”在正方形 的边上, ∵点 是线段 的“方田点”, ∴点 在正方形 的边上, 将正方形 向下平移3个单位长度,得到正方形 , ∵点 向下平移 个单位长度,得到点 , ∴点 落在正方形 的边上, 将正方形 和正方形 分别向右平移3个单位长度,得到正方形 和正方形 ,由题意得,将线段 向右平移3个单位长度得到线段 , ∴点 和点 分别落在正方形 和正方形 的边上, ∴由图可得,线段 的“方田点”组成正方形 内部区域及边界,且不含正方形 内部区 域,记此时的区域为区域 ; 当点 恰好落在点 上,正方形 的边都恰好落在区域 , ∵ , , ∴ ; 当点 恰好落在点 上,正方形 的边都恰好落在区域 ,∵ , , ∴ , , 解得: ; 当点 恰好落在点 上,正方形 的边都恰好落在区域 , ∵ , , ∴ , , 解得: ; 当点 恰好落在点 上,正方形 的边都恰好落在区域 ,∵ , , ∴ ; ∴结合图形可得,若线段 的“方田点”都是线段 的“方田点”,则 的取值范围为 或 .