当前位置:首页>文档>专题1.3动点中的定值和最值问题(强化)(解析版)_北师大初中数学_9上-北师大版初中数学_06专项讲练

专题1.3动点中的定值和最值问题(强化)(解析版)_北师大初中数学_9上-北师大版初中数学_06专项讲练

  • 2026-04-13 00:27:13 2026-04-13 00:27:13

文档预览

专题1.3动点中的定值和最值问题(强化)(解析版)_北师大初中数学_9上-北师大版初中数学_06专项讲练
专题1.3动点中的定值和最值问题(强化)(解析版)_北师大初中数学_9上-北师大版初中数学_06专项讲练
专题1.3动点中的定值和最值问题(强化)(解析版)_北师大初中数学_9上-北师大版初中数学_06专项讲练
专题1.3动点中的定值和最值问题(强化)(解析版)_北师大初中数学_9上-北师大版初中数学_06专项讲练
专题1.3动点中的定值和最值问题(强化)(解析版)_北师大初中数学_9上-北师大版初中数学_06专项讲练
专题1.3动点中的定值和最值问题(强化)(解析版)_北师大初中数学_9上-北师大版初中数学_06专项讲练
专题1.3动点中的定值和最值问题(强化)(解析版)_北师大初中数学_9上-北师大版初中数学_06专项讲练
专题1.3动点中的定值和最值问题(强化)(解析版)_北师大初中数学_9上-北师大版初中数学_06专项讲练
专题1.3动点中的定值和最值问题(强化)(解析版)_北师大初中数学_9上-北师大版初中数学_06专项讲练
专题1.3动点中的定值和最值问题(强化)(解析版)_北师大初中数学_9上-北师大版初中数学_06专项讲练
专题1.3动点中的定值和最值问题(强化)(解析版)_北师大初中数学_9上-北师大版初中数学_06专项讲练
专题1.3动点中的定值和最值问题(强化)(解析版)_北师大初中数学_9上-北师大版初中数学_06专项讲练
专题1.3动点中的定值和最值问题(强化)(解析版)_北师大初中数学_9上-北师大版初中数学_06专项讲练
专题1.3动点中的定值和最值问题(强化)(解析版)_北师大初中数学_9上-北师大版初中数学_06专项讲练
专题1.3动点中的定值和最值问题(强化)(解析版)_北师大初中数学_9上-北师大版初中数学_06专项讲练
专题1.3动点中的定值和最值问题(强化)(解析版)_北师大初中数学_9上-北师大版初中数学_06专项讲练
专题1.3动点中的定值和最值问题(强化)(解析版)_北师大初中数学_9上-北师大版初中数学_06专项讲练
专题1.3动点中的定值和最值问题(强化)(解析版)_北师大初中数学_9上-北师大版初中数学_06专项讲练
专题1.3动点中的定值和最值问题(强化)(解析版)_北师大初中数学_9上-北师大版初中数学_06专项讲练
专题1.3动点中的定值和最值问题(强化)(解析版)_北师大初中数学_9上-北师大版初中数学_06专项讲练
专题1.3动点中的定值和最值问题(强化)(解析版)_北师大初中数学_9上-北师大版初中数学_06专项讲练
专题1.3动点中的定值和最值问题(强化)(解析版)_北师大初中数学_9上-北师大版初中数学_06专项讲练
专题1.3动点中的定值和最值问题(强化)(解析版)_北师大初中数学_9上-北师大版初中数学_06专项讲练
专题1.3动点中的定值和最值问题(强化)(解析版)_北师大初中数学_9上-北师大版初中数学_06专项讲练
专题1.3动点中的定值和最值问题(强化)(解析版)_北师大初中数学_9上-北师大版初中数学_06专项讲练
专题1.3动点中的定值和最值问题(强化)(解析版)_北师大初中数学_9上-北师大版初中数学_06专项讲练
专题1.3动点中的定值和最值问题(强化)(解析版)_北师大初中数学_9上-北师大版初中数学_06专项讲练
专题1.3动点中的定值和最值问题(强化)(解析版)_北师大初中数学_9上-北师大版初中数学_06专项讲练

文档信息

文档格式
docx
文档大小
1.899 MB
文档页数
24 页
上传时间
2026-04-13 00:27:13

文档内容

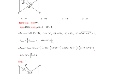
专题 1.3 动点中的定值和最值问题 【例题精讲】 【例1】如图,矩形 对角线 、 相交于点 ,点 是 边上的一个动点,过 点 分别作 于点 , 于点 ,若 , ,则 的值为 A.10 B.9.6 C.4.8 D.2.4 【解答】解:连接 , 矩形 的两边 , , , , , , , , , , . 故选: . 【例2】如图,在周长为12的菱形 中, , ,若 为对角线 上一动 点,则 的最小值为A.1 B.2 C.3 D.4 【解答】解:作 点关于 的对称点 ,连接 交 于点 ,则 . . 由两点之间线段最短可知:当 、 、 在一条直线上时, 的值最小,此时 . 四边形 为菱形,周长为12, , , , , , 四边形 是平行四边形, . 的最小值为3. 故选: . 【例3】如图,在 中, ,且 , ,点 是斜边 上的一 个动点,过点 分别作 于点 , 于点 ,连接 ,则线段 的 最小值为 . 【解答】解:连接 , ,且 , ,, , , , 四边形 是矩形, , 当 时, 的值最小, 此时, 的面积 , , 的最小值为 ; 故答案为: . 【例4】如图,在正方形 中, ,点 , 分别在 , 上, , , 相交于点 ,连接 .点 从点 运动到点 的过程中, 的最小值为 . 【解答】解:如图,四边形 是正方形, , , , , , , , , 点 的运动轨迹是以 为直径的 , 当 , , 共线时, 的值最小,最小值 , 故答案为 . 【题组训练】 和为定值 1.如图,在菱形 中,点 是对角线 上一动点,过点 作 于点 , 于点 .若菱形 的周长为24,面积为24,则 的值为 A.3 B.4 C.5 D.6 【解答】解:延长 交 于点 ,如图所示:在菱形 中, , , , , , , , , 又 , , , , 菱形 的周长为24, , 菱形 面积为24, , , 故选: . 2.如图,在菱形 中, 是对角线 上一动点,过点 作 于点 . 于点 .若菱形 的周长为20,面积为24,则 的值为 A.4 B. C.6 D.【解答】解:连接 ,如图, 四边形 为菱形,菱形 的周长为20, , , , , , 故选: . 3.如图,在矩形 中, , ,点 在 上, 于 , 于 ,则 等于 A. B. C. D. 【解答】解:方法一:设 , . , ; ,故 ①; 同理可得 ,故 ②. ① ②得 ,. 方法二:(面积法) 如图,作 于 ,则 , , , , . 故选: . 4.如图,在矩形 中, , , 为 上一动点, 于 , 于 ,则 的值为 . 【解答】解:连接 , 四边形 是矩形, , , , , , , , , , , , ,, . 故答案为 . 5.如图,在正方形 中, , 是 边上的动点, 于点 , 于点 ,则 的值为 A.4 B. C. D.2 【解答】解:在正方形 中, , , , , 四边形 为矩形, 是等腰直角三角形, , , , 正方形 的边长为2, . 故选: . 6.如图,矩形 的对角线 , 相交于点 ,点 是 边上的一个动点,过点 分别作 于点 , 于点 .若 , ,则 的值为A.10 B.9.6 C.4.8 D.2.4 【解答】解:连接 , 矩形 的两边 , , , , , , , , , , . 故选: . 7.如图,在边长为1的正方形 中,对角线 和 相交于点 , 是 边上任 意一点, 于点 , 于点 ,则 A. B. C. D. 【解答】解: 四边形 是正方形,, , , , , , , , 于点 , 于点 , , 是等腰直角三角形, 四边形 是矩形, , , ; 故选: . 8.如图,在矩形 中, , ,对角线 、 相交于点 ,点 是 上一动点(不与 、 重合),过点 作 和 的垂线,垂足分别为 、 ,则 的值是 A. B. C. D.3 【解答】解:如图所示,连接 ,过点 作 于 , , , 由勾股定理可得 , , 即 , 解得: , 在矩形 中, , ,. 故 . 故选: . 9.如图,菱形 的周长为16,面积为12, 是对角线 上一点,分别作 点到直 线 、 的垂线段 、 ,则 等于 A.6 B.3 C.1.5 D.0.75 【解答】解:连 ,如图, 菱形 的周长为16, , , , 而 , , , , , . 故选: .将军饮马最小值 11.如图,正方形 边长为 1,点 , 分别是边 , 上的两个动点,且 ,连接 , ,则 的最小值为 A. B. C. D. 【解答】解:连接 ,如图1, 四边形 是正方形, , . 又 , . . 所以 最小值等于 最小值. 作点 关于 的对称点 点,如图2, 连接 ,则 、 、 三点共线, 连接 , 与 的交点即为所求的 点. 根据对称性可知 , 所以 . 在 中, , , , 最小值为 . 故选: .13.如图,菱形 中,对角线 、 交于点 , , ,点 是 的中点,点 在 上,则 的最小值为 A. B. C. D.13 【解答】 解:如图,连接 交 于点 ,连接 ,作 于点 ,四边形 是菱形, ,且 ,即 是 的垂直平分线, 且值最小 是 的中点, , , , , 故选: . 14.如图,菱形 的边长为 , ,点 、 在对角线 上运动,且 ,连接 、 ,则 周长的最小值是 A.4 B. C. D.6 【解答】解:如图作 ,使得 ,连接 交 于 ,则 的 值最小,即 的周长最小. , , 四边形 是平行四边形, , , ,菱形 的边长为 , , , 四边形 是菱形, , , , , 在 中, , 的最小值4, 的周长的最小值 , 故选: . 垂线段最小值 16.如图,在 中, , , , 是 上一动点,过点 作 于点 , 于点 ,连接 ,则线段 的最小值是 . 【解答】解:如图,连接 . , , , , , , , 四边形 是矩形, , 由垂线段最短可得 时,线段 的值最小, 此时, , 即 ,解得: , . 故答案为: . 17.如图,在 中, ,点 在边 上(不与点 , 重合), 于点 , 于点 ,连接 .若 , ,则 的最小值为 . 【解答】解:连接 ,如图所示: , , , , , , , 四边形 是矩形, , 由垂线段最短可得 时,线段 的值最小, 此时, , 即 , 解得: ,, 故答案为: . 18.如图,在 中, , , , 为 边上的一动点, 于点 , 于点 , 为 的中点,则 的最小值为 . 【解答】解:过点 作 于点 , 在 中, , , , , , , , 于 , 于 , , 四边形 是矩形, , 与 互相平分, 为 的中点, ,当 最小时, 最短,此时点 与 重合, , 故答案为: . 19.如图,在 中, , , , 为边 上一动点. 于 , 于 , 为 的中点,则 长的最小值是 . 【解答】解:连接 ,如图所示: , , , , , , 四边形 是矩形, , 与 互相平分, 是 的中点, 为 的中点, , 时, 最短,同样 也最短, 当 时, , 最短时, , 当 最短时, ,即 长的最小值为 . 20.如图,在 中, , , , 为边 上一动点, 于 , 于 , 为 中点,则 的最小值为 A. B. C. D. 【解答】解:设 的斜边 上的高为 . 在 中, , , , , , 即 . 又 于 , 于 , 四边形 是矩形, . 是 的中点, . 因为 的最小值即为直角三角形 斜边上的高,即等于 , 的最小值是 . 故选: .21.如图,在 中, , , , 为边 上一动点, 于 , 于 ,则 的最小值为 A.2 B.2.2 C.2.4 D.2.5 【解答】解:连接 , , , , , 四边形 是矩形, , 要使 最小,只要 最小即可, 过 作 于 ,此时 最小, 在 中, , , ,由勾股定理得: , 由三角形面积公式得: , , 即 , 故选: . 声明:试题解析著作权属所有,未经书面同意,不得复制发布日期:2022/7/24 8:51:29;用户:丛老师;邮箱:18805277597;学号:35667739 轨迹最值 22.如图,在边长为2的菱形 中, , 是 边的中点, 是 边上的 一动点,将 沿 所在直线翻折得到△ ,连接 ,则 长度的最小值是 .【解答】解:如图所示: 是定值, 长度取最小值时,即 在 上时, 过点 作 于点 , 在边长为2的菱形 中, , 为 中点, , , , , , , . 故答案为: . 23.如图,在等边 中, , ,则 的最小值为 A.3 B. C. D. 【解答】解:如图取 的中点 ,连接 、 .是等边三角形, , , , , , , , , 当 、 、 共线时, 的值最小,最小值为 , 故选: . 24.如图,在矩形纸片 中,边 , ,点 为 边上的动点(点 不 与点 , 重合),将纸片沿 折叠,则 的最小值为 8 . 【解答】解:连接 ,当点 在 上时, 有最小值, 四边形 是矩形, , , , , , 由折叠性质得: , ,的最小值 , 故答案为:8.