当前位置:首页>文档>专题20空间几何体的结构、三视图、表面积与体积(教师版)_02高考数学_通用版(老高考)复习资料_2024年复习资料_完备战2024年高考数学一轮复习考点帮(全国通用)

专题20空间几何体的结构、三视图、表面积与体积(教师版)_02高考数学_通用版(老高考)复习资料_2024年复习资料_完备战2024年高考数学一轮复习考点帮(全国通用)

  • 2026-04-13 03:35:59 2026-04-13 02:12:30

文档预览

专题20空间几何体的结构、三视图、表面积与体积(教师版)_02高考数学_通用版(老高考)复习资料_2024年复习资料_完备战2024年高考数学一轮复习考点帮(全国通用)
专题20空间几何体的结构、三视图、表面积与体积(教师版)_02高考数学_通用版(老高考)复习资料_2024年复习资料_完备战2024年高考数学一轮复习考点帮(全国通用)
专题20空间几何体的结构、三视图、表面积与体积(教师版)_02高考数学_通用版(老高考)复习资料_2024年复习资料_完备战2024年高考数学一轮复习考点帮(全国通用)
专题20空间几何体的结构、三视图、表面积与体积(教师版)_02高考数学_通用版(老高考)复习资料_2024年复习资料_完备战2024年高考数学一轮复习考点帮(全国通用)
专题20空间几何体的结构、三视图、表面积与体积(教师版)_02高考数学_通用版(老高考)复习资料_2024年复习资料_完备战2024年高考数学一轮复习考点帮(全国通用)
专题20空间几何体的结构、三视图、表面积与体积(教师版)_02高考数学_通用版(老高考)复习资料_2024年复习资料_完备战2024年高考数学一轮复习考点帮(全国通用)
专题20空间几何体的结构、三视图、表面积与体积(教师版)_02高考数学_通用版(老高考)复习资料_2024年复习资料_完备战2024年高考数学一轮复习考点帮(全国通用)
专题20空间几何体的结构、三视图、表面积与体积(教师版)_02高考数学_通用版(老高考)复习资料_2024年复习资料_完备战2024年高考数学一轮复习考点帮(全国通用)
专题20空间几何体的结构、三视图、表面积与体积(教师版)_02高考数学_通用版(老高考)复习资料_2024年复习资料_完备战2024年高考数学一轮复习考点帮(全国通用)
专题20空间几何体的结构、三视图、表面积与体积(教师版)_02高考数学_通用版(老高考)复习资料_2024年复习资料_完备战2024年高考数学一轮复习考点帮(全国通用)
专题20空间几何体的结构、三视图、表面积与体积(教师版)_02高考数学_通用版(老高考)复习资料_2024年复习资料_完备战2024年高考数学一轮复习考点帮(全国通用)
专题20空间几何体的结构、三视图、表面积与体积(教师版)_02高考数学_通用版(老高考)复习资料_2024年复习资料_完备战2024年高考数学一轮复习考点帮(全国通用)
专题20空间几何体的结构、三视图、表面积与体积(教师版)_02高考数学_通用版(老高考)复习资料_2024年复习资料_完备战2024年高考数学一轮复习考点帮(全国通用)
专题20空间几何体的结构、三视图、表面积与体积(教师版)_02高考数学_通用版(老高考)复习资料_2024年复习资料_完备战2024年高考数学一轮复习考点帮(全国通用)
专题20空间几何体的结构、三视图、表面积与体积(教师版)_02高考数学_通用版(老高考)复习资料_2024年复习资料_完备战2024年高考数学一轮复习考点帮(全国通用)
专题20空间几何体的结构、三视图、表面积与体积(教师版)_02高考数学_通用版(老高考)复习资料_2024年复习资料_完备战2024年高考数学一轮复习考点帮(全国通用)
专题20空间几何体的结构、三视图、表面积与体积(教师版)_02高考数学_通用版(老高考)复习资料_2024年复习资料_完备战2024年高考数学一轮复习考点帮(全国通用)
专题20空间几何体的结构、三视图、表面积与体积(教师版)_02高考数学_通用版(老高考)复习资料_2024年复习资料_完备战2024年高考数学一轮复习考点帮(全国通用)
专题20空间几何体的结构、三视图、表面积与体积(教师版)_02高考数学_通用版(老高考)复习资料_2024年复习资料_完备战2024年高考数学一轮复习考点帮(全国通用)
专题20空间几何体的结构、三视图、表面积与体积(教师版)_02高考数学_通用版(老高考)复习资料_2024年复习资料_完备战2024年高考数学一轮复习考点帮(全国通用)
专题20空间几何体的结构、三视图、表面积与体积(教师版)_02高考数学_通用版(老高考)复习资料_2024年复习资料_完备战2024年高考数学一轮复习考点帮(全国通用)
专题20空间几何体的结构、三视图、表面积与体积(教师版)_02高考数学_通用版(老高考)复习资料_2024年复习资料_完备战2024年高考数学一轮复习考点帮(全国通用)
专题20空间几何体的结构、三视图、表面积与体积(教师版)_02高考数学_通用版(老高考)复习资料_2024年复习资料_完备战2024年高考数学一轮复习考点帮(全国通用)
专题20空间几何体的结构、三视图、表面积与体积(教师版)_02高考数学_通用版(老高考)复习资料_2024年复习资料_完备战2024年高考数学一轮复习考点帮(全国通用)
专题20空间几何体的结构、三视图、表面积与体积(教师版)_02高考数学_通用版(老高考)复习资料_2024年复习资料_完备战2024年高考数学一轮复习考点帮(全国通用)
专题20空间几何体的结构、三视图、表面积与体积(教师版)_02高考数学_通用版(老高考)复习资料_2024年复习资料_完备战2024年高考数学一轮复习考点帮(全国通用)
专题20空间几何体的结构、三视图、表面积与体积(教师版)_02高考数学_通用版(老高考)复习资料_2024年复习资料_完备战2024年高考数学一轮复习考点帮(全国通用)
专题20空间几何体的结构、三视图、表面积与体积(教师版)_02高考数学_通用版(老高考)复习资料_2024年复习资料_完备战2024年高考数学一轮复习考点帮(全国通用)
专题20空间几何体的结构、三视图、表面积与体积(教师版)_02高考数学_通用版(老高考)复习资料_2024年复习资料_完备战2024年高考数学一轮复习考点帮(全国通用)
专题20空间几何体的结构、三视图、表面积与体积(教师版)_02高考数学_通用版(老高考)复习资料_2024年复习资料_完备战2024年高考数学一轮复习考点帮(全国通用)
专题20空间几何体的结构、三视图、表面积与体积(教师版)_02高考数学_通用版(老高考)复习资料_2024年复习资料_完备战2024年高考数学一轮复习考点帮(全国通用)
专题20空间几何体的结构、三视图、表面积与体积(教师版)_02高考数学_通用版(老高考)复习资料_2024年复习资料_完备战2024年高考数学一轮复习考点帮(全国通用)
专题20空间几何体的结构、三视图、表面积与体积(教师版)_02高考数学_通用版(老高考)复习资料_2024年复习资料_完备战2024年高考数学一轮复习考点帮(全国通用)
专题20空间几何体的结构、三视图、表面积与体积(教师版)_02高考数学_通用版(老高考)复习资料_2024年复习资料_完备战2024年高考数学一轮复习考点帮(全国通用)
专题20空间几何体的结构、三视图、表面积与体积(教师版)_02高考数学_通用版(老高考)复习资料_2024年复习资料_完备战2024年高考数学一轮复习考点帮(全国通用)
专题20空间几何体的结构、三视图、表面积与体积(教师版)_02高考数学_通用版(老高考)复习资料_2024年复习资料_完备战2024年高考数学一轮复习考点帮(全国通用)
专题20空间几何体的结构、三视图、表面积与体积(教师版)_02高考数学_通用版(老高考)复习资料_2024年复习资料_完备战2024年高考数学一轮复习考点帮(全国通用)
专题20空间几何体的结构、三视图、表面积与体积(教师版)_02高考数学_通用版(老高考)复习资料_2024年复习资料_完备战2024年高考数学一轮复习考点帮(全国通用)
专题20空间几何体的结构、三视图、表面积与体积(教师版)_02高考数学_通用版(老高考)复习资料_2024年复习资料_完备战2024年高考数学一轮复习考点帮(全国通用)
专题20空间几何体的结构、三视图、表面积与体积(教师版)_02高考数学_通用版(老高考)复习资料_2024年复习资料_完备战2024年高考数学一轮复习考点帮(全国通用)
专题20空间几何体的结构、三视图、表面积与体积(教师版)_02高考数学_通用版(老高考)复习资料_2024年复习资料_完备战2024年高考数学一轮复习考点帮(全国通用)
专题20空间几何体的结构、三视图、表面积与体积(教师版)_02高考数学_通用版(老高考)复习资料_2024年复习资料_完备战2024年高考数学一轮复习考点帮(全国通用)
专题20空间几何体的结构、三视图、表面积与体积(教师版)_02高考数学_通用版(老高考)复习资料_2024年复习资料_完备战2024年高考数学一轮复习考点帮(全国通用)
专题20空间几何体的结构、三视图、表面积与体积(教师版)_02高考数学_通用版(老高考)复习资料_2024年复习资料_完备战2024年高考数学一轮复习考点帮(全国通用)
专题20空间几何体的结构、三视图、表面积与体积(教师版)_02高考数学_通用版(老高考)复习资料_2024年复习资料_完备战2024年高考数学一轮复习考点帮(全国通用)
专题20空间几何体的结构、三视图、表面积与体积(教师版)_02高考数学_通用版(老高考)复习资料_2024年复习资料_完备战2024年高考数学一轮复习考点帮(全国通用)
专题20空间几何体的结构、三视图、表面积与体积(教师版)_02高考数学_通用版(老高考)复习资料_2024年复习资料_完备战2024年高考数学一轮复习考点帮(全国通用)
专题20空间几何体的结构、三视图、表面积与体积(教师版)_02高考数学_通用版(老高考)复习资料_2024年复习资料_完备战2024年高考数学一轮复习考点帮(全国通用)
专题20空间几何体的结构、三视图、表面积与体积(教师版)_02高考数学_通用版(老高考)复习资料_2024年复习资料_完备战2024年高考数学一轮复习考点帮(全国通用)
专题20空间几何体的结构、三视图、表面积与体积(教师版)_02高考数学_通用版(老高考)复习资料_2024年复习资料_完备战2024年高考数学一轮复习考点帮(全国通用)
专题20空间几何体的结构、三视图、表面积与体积(教师版)_02高考数学_通用版(老高考)复习资料_2024年复习资料_完备战2024年高考数学一轮复习考点帮(全国通用)
专题20空间几何体的结构、三视图、表面积与体积(教师版)_02高考数学_通用版(老高考)复习资料_2024年复习资料_完备战2024年高考数学一轮复习考点帮(全国通用)
专题20空间几何体的结构、三视图、表面积与体积(教师版)_02高考数学_通用版(老高考)复习资料_2024年复习资料_完备战2024年高考数学一轮复习考点帮(全国通用)
专题20空间几何体的结构、三视图、表面积与体积(教师版)_02高考数学_通用版(老高考)复习资料_2024年复习资料_完备战2024年高考数学一轮复习考点帮(全国通用)
专题20空间几何体的结构、三视图、表面积与体积(教师版)_02高考数学_通用版(老高考)复习资料_2024年复习资料_完备战2024年高考数学一轮复习考点帮(全国通用)
专题20空间几何体的结构、三视图、表面积与体积(教师版)_02高考数学_通用版(老高考)复习资料_2024年复习资料_完备战2024年高考数学一轮复习考点帮(全国通用)
专题20空间几何体的结构、三视图、表面积与体积(教师版)_02高考数学_通用版(老高考)复习资料_2024年复习资料_完备战2024年高考数学一轮复习考点帮(全国通用)
专题20空间几何体的结构、三视图、表面积与体积(教师版)_02高考数学_通用版(老高考)复习资料_2024年复习资料_完备战2024年高考数学一轮复习考点帮(全国通用)
专题20空间几何体的结构、三视图、表面积与体积(教师版)_02高考数学_通用版(老高考)复习资料_2024年复习资料_完备战2024年高考数学一轮复习考点帮(全国通用)
专题20空间几何体的结构、三视图、表面积与体积(教师版)_02高考数学_通用版(老高考)复习资料_2024年复习资料_完备战2024年高考数学一轮复习考点帮(全国通用)
专题20空间几何体的结构、三视图、表面积与体积(教师版)_02高考数学_通用版(老高考)复习资料_2024年复习资料_完备战2024年高考数学一轮复习考点帮(全国通用)
专题20空间几何体的结构、三视图、表面积与体积(教师版)_02高考数学_通用版(老高考)复习资料_2024年复习资料_完备战2024年高考数学一轮复习考点帮(全国通用)
专题20空间几何体的结构、三视图、表面积与体积(教师版)_02高考数学_通用版(老高考)复习资料_2024年复习资料_完备战2024年高考数学一轮复习考点帮(全国通用)
专题20空间几何体的结构、三视图、表面积与体积(教师版)_02高考数学_通用版(老高考)复习资料_2024年复习资料_完备战2024年高考数学一轮复习考点帮(全国通用)
专题20空间几何体的结构、三视图、表面积与体积(教师版)_02高考数学_通用版(老高考)复习资料_2024年复习资料_完备战2024年高考数学一轮复习考点帮(全国通用)

文档信息

文档格式
docx
文档大小
4.750 MB
文档页数
61 页
上传时间
2026-04-13 02:12:30

文档内容

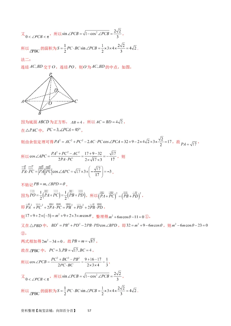
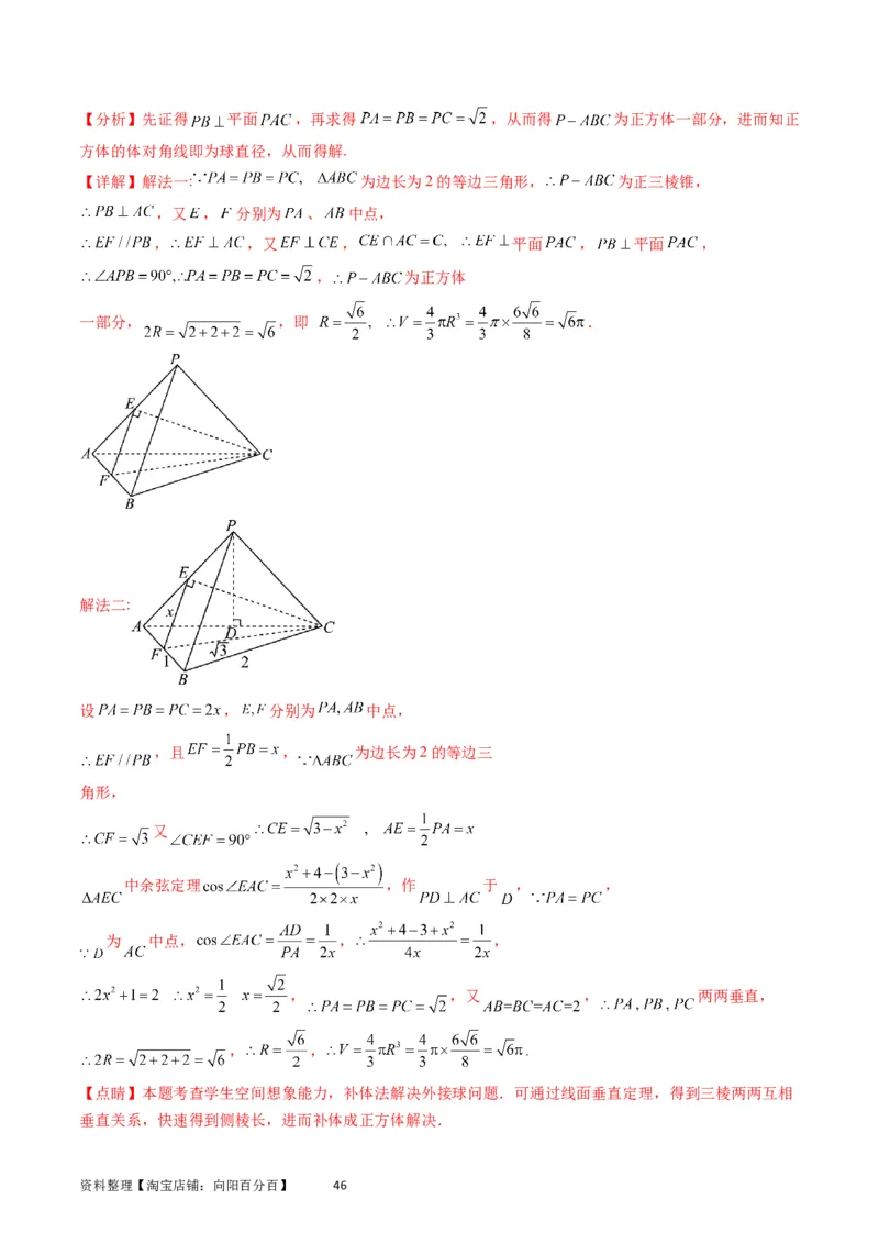
专题 20 空间几何体的结构、三视图、表面积与体积 (核心考点精讲精练) 1. 近几年真题考点分布 空间几何体的结构、三视图、表面积与体积近几年考情 考题示例 考点分析 关联考点 2023年全国乙(文科),第16题,5分 已知三棱锥外接求半径,求线段长 1、证明线面平行; 2023年全国乙(文科),第19题,12分 2、求三棱锥的体积; 2023年全国乙(理科),第3题,5分 通过三视图求几何体的表面积 2023年全国乙(文科),第3题,5分 2023年全国乙(理科),第8题,5分 圆锥体积相关计算 证明面面垂直,由二面角求线段长,从而求线 2023年全国乙(理科),第9题,5分 面角的正切值 1、证明线面平行; 2023年全国乙(理科),第19题,12分 2、证明面面垂直; 3、求二面角 2023年全国甲(文科),第10题,5分 证明线面垂直,求三棱锥的体积 2023年全国甲(文科),第16题,5分 正方体的外接球、棱切球问题 1、证明面面垂直; 2023年全国甲(文科),第18题,12分 2、求四棱锥的高 余弦定理解三 2023年全国甲(理科),第11题,5分 四棱锥表面积有关计算 角形 2023年全国甲(理科),第15题,5分 正方体的棱切球问题 1、已知点面距,证明线面垂直,从而得到线 2023年全国甲(理科),第18题,12分 线相等; 2、已知平行线间的距离,求线面角的正弦值 2. 命题规律及备考策略 资料整理【淘宝店铺:向阳百分百】 1【命题规律】1.本节内容为高考常考内容,常以选填题出现; 2.考查已知三视图求几何体的体积或表面积; 3.考查球体问题; 4.考查几何体的体积或表面积. 【备考策略】1.认识柱体、锥体、台体、球及简单组合体的结构特征,并能运用这些特征识别现实生活中简 单物体的结构; 2.理解球、棱柱、棱锥、棱台的表面积和体积计算公式,并能用公式解决实际问题; 3.会用斜二测画法画出简单空间图形的直观图. 【命题预测】1.考查已知三视图求几何体的体积或表面积; 2.考查球体问题; 3.考查几何体的体积或表面积. 知识讲解 一、空间几何体的结构特征 1.简单多面体的结构特征 资料整理【淘宝店铺:向阳百分百】 2名称 棱柱 棱锥 棱台 图形 底面 互相 平行 且 全等 多边形 互相 平行 且 相似 延长线交于 侧棱 平行且相等 相交于 一点 但不一定相等 一点 侧面 平行四边形 三角形 梯形 形状 2.旋转体的结构特征 名称 图形 母线 轴截面 侧面展开图 互相平行且相等, 垂 圆柱 矩形 矩形 直 于 底 面 相 交 于 圆锥 等腰三角形 扇形 一点 圆台 延长线交于 一点 等腰梯形 扇环 球 圆面 二、直观图 斜二测画法: (1)原图形中x轴, y轴,z轴两两垂直,直观图中x' 轴, y' 轴的夹角为45°(或135°),z' 轴与x' 轴和 y' 轴所 在平面 垂直 . (2)原图形中平行于坐标轴的线段在直观图中仍 平行于坐标轴 ,平行于x轴和z轴的线段在直观图中 保持原长度 不变 ,平行于y轴的线段在直观图中的长度为 原来的一半 . √2 S = S 直观图 4 原图形 按照斜二测画法得到的平面图形的直观图,其面积与原图形面积的关系: , S =2√2S 原图形 直观. 资料整理【淘宝店铺:向阳百分百】 3三、圆柱、圆锥、圆台的侧面展开图及侧面积公式 名称几何体 侧面展开图 侧面积公式 圆柱 S 圆柱侧 = 2 π r l 圆锥 S 圆锥侧 = π r l 圆台 S 圆台侧 = π ( r+r )l 1 2 四、柱体、锥体、台体、球的表面积和体积 名称 表面积 体积 几何体 柱体(棱柱和圆柱) S =S +2S V=S h 表面积 侧 底 底 1 锥体(棱锥和圆锥) S =S +S V= S h 表面积 侧 底 3 底 1 S =S +S 台体(棱台和圆台) 表面积 侧 上 V= (S +S +√S S )h +S 3 上 下 上 下 下 4 球 S= 4 π R 2 V= πR3 3 1.与体积有关的几个结论 (1)一个组合体的体积等于它的各部分体积的和. (2)底面面积及高都相等的两个同类几何体的体积相等. 2.几个与球有关的切、接常用结论 (1)正方体的棱长为a,球的半径为 R , 2R=√3a ①若球为正方体的外接球,则 ; ②若球为正方体的内切球,则 2R=a ; 2R=√2a ③若球与正方体的各棱相切,则 . (2)若长方体过同一顶点的三条棱长分别为a, b ,c,外接球的半径为 R ,则 2R= √a2 +b2 +c2 . (3)正四面体的外接球与内切球的半径之比为3∶1. 解决与空间几何体结构特征有关问题的技巧:(1)熟悉空间几何体的结构特征,依据条件构建几何模型,在 资料整理【淘宝店铺:向阳百分百】 4条件不变的情况下,变换模型中的线面关系或增加线、面等基本元素,再依据题意判定.(2)通过反例对结构特 征进行辨析,要说明一个说法是错误的,只要举出一个反例即可. (1)画几何体的直观图一般采用斜二测画法,其规则可以用“斜”(两坐标轴成45°或135°)和“二测”(平 行于 y 轴的线段长度减半,平行于x轴和z轴的线段长度不变)来掌握.对直观图的考查有两个方向:一是已知 原图形求直观图的相关量;二是已知直观图求原图形中的相关量. √2 (2)按照斜二测画法得到的平面图形的直观图,其面积与原图形面积的关系为S = S . 直观图 4 原图形 通常利用空间几何体的表面展开图解决以下问题:(1)求几何体的表面积或侧面积;(2)求几何体表面上任 意两个点的最短表面距离. 空间几何体表面积的求法 (1)多面体:其表面积是各个面的面积之和. (2)旋转体:其表面积等于侧面面积与底面面积的和. (3)简单组合体:应搞清各构成部分,并注意重合部分的删、补. (4)求不规则几何体的表面积时,通常将所给几何体分割成基本的柱体、锥体、台体,先求出这些基本的 柱体、锥体、台体的表面积,再通过求和或作差,求出几何体的表面积. 计算柱体、锥体、台体的体积,关键是根据条件求出相应的底面面积和高,应注意充分利用多面体的截面,特 别是轴截面,将空间问题转化为平面问题求解. 若所给定的几何体是不规则几何体,则将不规则的几何体通过分割或补形转化为规则几何体,再利用公 式求解. “补形法”是立体几何中一种常见的重要方法,在解题时,把不完整几何体通过“补形”补成一个完整 的几何体或将一个复杂的几何体置于一个更熟悉的几何体中,巧妙地破解空间几何体的体积等问题,常见的 补形法有对称补形、联系补形和还原补形.对于还原补形,主要涉及台体中“还台为锥”. 利用“等体积性”可以解决一些点到平面的距离问题,即将点到平面的距离视为一个三棱锥的高,通过 将其顶点和底面进行转化,借助体积的不变性解决问题. 考点一、基本立体图形 命题角度1 结构特征 1.下列结论正确的是( ). A.各个面都是三角形的几何体是三棱锥 B.以三角形的一条边所在的直线为旋转轴,其余两条边旋转形成的曲面所围成的几何体叫作圆锥 C.若棱锥的侧棱长与底面多边形的边长相等,则此棱锥可能是六棱锥 D.圆锥的顶点与底面圆周上的任意一点的连线都是母线 【答案】D 【详解】A错误,如图①所示,由两个结构相同的三棱锥叠放在一起构成的几何体,各面都是三角形,但它不是 资料整理【淘宝店铺:向阳百分百】 5三棱锥. B错误,如图②所示,若ΔABC 不是直角三角形,或是直角三角形但旋转轴不是直角边所在的直线,则旋转所得 的几何体都不是圆锥. C错误,由几何体的结构特征知,若以正六边形为底面,则侧棱长必然要大于底面边长. 命题角度2 直观图 2.有一块多边形的菜地,它的水平放置的平面图形的斜二测直观图是直角梯形 (如图所示), ∠ABC=45°,AB=AD=1,DC⊥BC,则这块菜地的面积是 . √2 【答案】2+ 2 【详解】过点A作 AE⊥BC 于点E(图略),在 RtΔABE 中,AB=1, √2 ,∴ BE= . ∠ABE=45° 2 又四边形 AECD 为矩形,AD=1, √2 ∴ ,∴ BC=BE+EC= +1, EC=AD=1 2 由此可还原直观图如图所示. √2 在原图形中, , ,B'C' = +1,且 , , A'D'=1 A'B'=2 2 A'D'// {B'C' ¿ A'B' ⊥B'C' 1 1 ( √2) √2 ∴这块菜地的面积 S= (A'D' +B'C' )⋅A'B' = × 1+1+ ×2=2+ . 2 2 2 2 命题角度3 展开图 3.(2021年全国新高考Ⅰ卷数学试题)已知圆锥的底面半径为 ,其侧面展开图为一个半圆,则该圆锥 的母线长为( ) A. B. C. D. 【答案】B 【分析】设圆锥的母线长为 ,根据圆锥底面圆的周长等于扇形的弧长可求得 的值,即为所求. 【详解】设圆锥的母线长为 ,由于圆锥底面圆的周长等于扇形的弧长,则 ,解得 . 资料整理【淘宝店铺:向阳百分百】 61.有下列说法: ①棱柱的侧棱都相等,侧面都是全等的平行四边形; ②在四棱柱中,若两个过相对侧棱的截面都垂直于底面,则该四棱柱为直四棱柱; ③存在每个面都是直角三角形的四面体; ④棱台的侧棱延长后交于一点. 其中正确的说法是 .(填序号) 【答案】②③④ 【详解】①不正确,根据棱柱的定义,棱柱的各个侧面都是 平行四边形,但不一定全等; ②正确,因为两个过相对侧棱的截面的交线平行于侧棱,又垂直于底面; ABCD−A B C D C −ABC ③正确,如图,正方体 1 1 1 1中的三棱锥 1 ,四个 面都是直角三角形;由棱台的概念可知④正确. 2.如图, 是水平放置的 的直观图,则 的周长为 . 【答案】 【分析】根据斜二测画法的规则得到直角三角形 的直角边 长,用勾股定理求出斜边长可得结果. π |OA|=6 |OB|=4 ∠AOB= 2 【详解】根据斜二测画法的规则可知, , , , 资料整理【淘宝店铺:向阳百分百】 7| AB |= √ | OA | 2 +| OB | 2 =√36 + 16 =2√13 所以 , |OA|+|OB|+|AB|=6+4+2√13=10+2√13 ΔOAB 所以 的周长为 . 【点睛】关键点点睛:掌握斜二测画法的规则是解题关键. 3.如图,已知正三棱柱 ABC−A 1 B 1 C 1 的侧棱长为a,底面边长为b,一只蚂蚁从点A出发沿每个侧面爬到点 A ,路线为 A→M→N→A ,则蚂蚁爬行的最短路程是( ) 1 1 A. √a2 +9b2 B. √9a2 +b2 C. √4a2 +9b2 D. √a2 +b2 【答案】A 【详解】由题意知,正三棱柱的侧面展开图是如图所示的矩形,矩形的长为3b,宽为a, AA 则其对角线 的长为最短路程,因此蚂蚁爬行的 1 最短路程为 √a2 +9b2 . 考点二、几何体的表面积 1.(2022年全国新高考II卷数学试题)已知正三棱台的高为1,上、下底面边长分别为 和 ,其顶 点都在同一球面上,则该球的表面积为( ) A. B. C. D. 【答案】A 【分析】根据题意可求出正三棱台上下底面所在圆面的半径 ,再根据球心距,圆面半径,以及球的半 径之间的关系,即可解出球的半径,从而得出球的表面积. 【详解】设正三棱台上下底面所在圆面的半径 ,所以 ,即 ,设球 资料整理【淘宝店铺:向阳百分百】 8心到上下底面的距离分别为 ,球的半径为 ,所以 , ,故 或 ,即 或 ,解得 符合题意,所以球的表面积为 . 2.(2021年北京市高考数学试题)某四面体的三视图如图所示,该四面体的表面积为( ) A. B. C. D. 【答案】A 【分析】根据三视图可得如图所示的几何体(三棱锥),根据三视图中的数据可计算该几何体的表面积. 【详解】根据三视图可得如图所示的几何体-正三棱锥 ,其侧面为等腰直角三角形,底面等边三角 形,由三视图可得该正三棱锥的侧棱长为1,故其表面积为 . 资料整理【淘宝店铺:向阳百分百】 93.(2023届河北省调研数学试题)如图,在四棱锥 中,底面 为菱形, 底面 , ,若 , ,则三棱锥 的 外接球表面积为 . 【答案】 【分析】根据三角形 均为直角三角形,且 面 , 可判断球心的位置为 中点,进而根据几何关系可求半径. 【详解】∵ 平面 , 平面 ,∴ ,又 , ∴ 取 中点分别为 ,连接 ,由于 , 平面 ,所以 平面 , 因为底面 为菱形,所以 , ,且 ,所以 ,即 是三角形 外接圆的圆心,因此球心在直线 上,又 ,所以 ,因此可得 为球心, 又 ,∴ . 1.(2020年天津市高考数学试题)若棱长为 的正方体的顶点都在同一球面上,则该球的表面积为 ( ) A. B. C. D. 【答案】C 【分析】求出正方体的体对角线的一半,即为球的半径,利用球的表面积公式,即可得解. 资料整理【淘宝店铺:向阳百分百】 10【详解】这个球是正方体的外接球,其半径等于正方体的体对角线的一半, 即 , 所以,这个球的表面积为 . 【点睛】本题考查正方体的外接球的表面积的求法,求出外接球的半径是本题的解题关键,属于基础题.求 多面体的外接球的面积和体积问题,常用方法有:(1)三条棱两两互相垂直时,可恢复为长方体,利用 长方体的体对角线为外接球的直径,求出球的半径;(2)直棱柱的外接球可利用棱柱的上下底面平行, 借助球的对称性,球心为上下底面外接圆的圆心连线的中点,再根据勾股定理求球的半径;(3)如果设 计几何体有两个面相交,可过两个面的外心分别作两个面的垂线,垂线的交点为几何体的球心. 2.(2020年北京市高考数学试题)某三棱柱的底面为正三角形,其三视图如图所示,该三棱柱的表面积 为( ). A. B. C. D. 【答案】D 【分析】首先确定几何体的结构特征,然后求解其表面积即可. 【详解】由题意可得,三棱柱的上下底面为边长为2的等边三角形,侧面为三个边长为2的正方形, 则其表面积为: . 【点睛】(1)以三视图为载体考查几何体的表面积,关键是能够对给出的三视图进行恰当的分析,从三视图 中发现几何体中各元素间的位置关系及数量关系. (2)多面体的表面积是各个面的面积之和;组合体的表面积应注意重合部分的处理. (3)圆柱、圆锥、圆台的侧面是曲面,计算侧面积时需要将这个曲面展为平面图形计算,而表面积是侧面积 与底面圆的面积之和. 3.(2020年全国统一高考数学试卷(理科)(新课标Ⅲ))下图为某几何体的三视图,则该几何体的表 面积是( ) 资料整理【淘宝店铺:向阳百分百】 11A.6+4 B.4+4 C.6+2 D.4+2 【答案】C 【分析】根据三视图特征,在正方体中截取出符合题意的立体图形, 求出每个面的面积,即可求得其表面积. 【详解】根据三视图特征,在正方体中截取出符合题意的立体图形 根据立体图形可得: 根据勾股定理可得: 是边长为 的等边三角形 根据三角形面积公式可得: 该几何体的表面积是: . 【点睛】本题主要考查了根据三视图求立体图形的表面积问题,解题关键是掌握根据三视图画出立体图形, 考查了分析能力和空间想象能力,属于基础题. 考点三、几何体的体积 命题角度1 直接法求体积 1.(2022年全国高考甲卷数学(理)试题)甲、乙两个圆锥的母线长相等,侧面展开图的圆心角之和为 资料整理【淘宝店铺:向阳百分百】 12S V ,侧面积分别为 和 ,体积分别为 和 .若 甲 =2,则 甲 =( ). 2π S S V V S V 甲 乙 甲 乙 乙 乙 5√10 A. B. C. D. √5 2√2 √10 4 【答案】C 【分析】设母线长为 ,甲圆锥底面半径为 ,乙圆锥底面圆半径为 ,根据圆锥的侧面积公式可得 , 再结合圆心角之和可将 分别用 表示,再利用勾股定理分别求出两圆锥的高,再根据圆锥的体积公式即 可得解. 【详解】解:设母线长为 ,甲圆锥底面半径为 ,乙圆锥底面圆半径为 , 则 ,所以 ,又 ,则 , 所以 ,所以甲圆锥的高 , 乙圆锥的高 ,所以 . 命题角度2 割补法求体积 ABCDEFG ABACAD ABC DEFG BEF 2.如图所示,已知多面体 中, , , 两两互相垂直,平面 ∥平面 ,平面 ∥平面 ADGC , AB=AD=DG=2 , AC=EF=1 ,则该多面体的体积为 . 【答案】4 【详解】(法一:补形法)因为几何体有两对相对面互相平行,如图①所示,将多面体补成棱长为2的正方体,所 以所求多面体的体积即该正方体体积的一半.又正方体的体积 V 正方体 ABHI−DEKG=23=8 ,故所求几 1 ABCDEFG= ×8=4 V 2 何体的体积为 多面体 . 图① 资料整理【淘宝店铺:向阳百分百】 13(法二:分割法)由题意知,几何体有两对相对面互相平行,如图②所示,过点 C 作 CH⊥DG 于点H ,连接 EH , 即把多面体分割成一个直三棱柱 DEH−ABC 和一个斜三棱柱 BEF−CHG . (1 ) DEH−ABC=SΔDEH⋅AD= ×2×1 ×2=2 V 2 由题意知, 三棱柱 , (1 ) BEF−CHG=SΔBEF⋅DE= ×2×1 ×2=2 V 2 三棱柱 . 故所求几何体的体积 V 多面体 ABCDEFG=2+2=4 . 图② 命题角度3 等体积转换法求体积 ABC−A B C 3.(2023 年广西柳州联考数学试题)如图所示,已知三棱柱 1 1 1的所有棱长均为 1,且 AA⊥底面ABC B −ABC 1 ,则三棱锥 1 1的体积为( ). √3 √3 √6 √6 12 4 12 4 A. B. C. D. 【答案】A √3 1 B −ABC A−B BC A−B BC 2 2 【详解】三棱锥 1 1的体积等于三棱锥 1 1的体积,三棱锥 1 1的高为 ,底面积为 , 1 1 √3 √3 × × = 3 2 2 12 故其体积为 . 1.(2022年全国高考甲卷数学(理)试题)如图,网格纸上绘制的是一个多面体的三视图,网格小正方 形的边长为1,则该多面体的体积为( ) 资料整理【淘宝店铺:向阳百分百】 14A.8 B.12 C.16 D.20 【答案】B 【分析】由三视图还原几何体,再由棱柱的体积公式即可得解. 【详解】由三视图还原几何体,如图, 则该直四棱柱的体积 . 2.(2022年浙江省高考数学试题)某几何体的三视图如图所示(单位: ),则该几何体的体积(单位: )是( ) A. B. C. D. 8π 【答案】C 【分析】根据三视图还原几何体可知,原几何体是一个半球,一个 圆柱,一个圆台组合成的几何体,即可根据球,圆柱,圆台的体积 公式求出. 【详解】由三视图可知,该几何体是一个半球,一个圆柱,一个圆 资料整理【淘宝店铺:向阳百分百】 15台组合成的几何体,球的半径,圆柱的底面半径,圆台的上底面半 径都为 ,圆台的下底面半径为 ,所以该几何体的体积 . 3.(2021年全国高考甲卷数学(理)试题)已知A,B,C是半径为1的球O的球面上的三个点,且 ,则三棱锥 的体积为( ) A. B. C. D. 【答案】A 【分析】由题可得 为等腰直角三角形,得出 外接圆的半径,则可求得 到平面 的距离, 进而求得体积. 【详解】 , 为等腰直角三角形, , 则 外接圆的半径为 ,又球的半径为1, 设 到平面 的距离为d, √ (√2) 2 √2 则d= 12 − = , 2 2 所以 . 【点睛】关键点睛:本题考查球内几何体问题,解题的关键是正确利用截面圆半径、球半径、球心到截面 距离的勾股关系求解. 考点四、球体问题 1.(2023年高考全国甲卷数学(文)真题)在正方体 中, 为 的中点,若该 正方体的棱与球 的球面有公共点,则球 的半径的取值范围是 . 资料整理【淘宝店铺:向阳百分百】 16【答案】 【分析】当球是正方体的外接球时半径最大,当边长为 的正方形是球的大圆的内接正方形时半径达到最 小. 【详解】设球的半径为 . 当球是正方体的外接球时,恰好经过正方体的每个顶点,所求的球的半径最大,若半径变得更大,球会包 含正方体,导致球面和棱没有交点, 正方体的外接球直径 为体对角线长 ,即 ,故 ; 分别取侧棱 的中点 ,显然四边形 是边长为 的正方形,且 为正方形 的对角线交点, 连接 ,则 ,当球的一个大圆恰好是四边形 的外接圆,球的半径达到最小,即 的最 小值为 . 综上, . 2.在三棱锥 中, 平面 , ,且 ,则三棱锥 外接 球的体积等于( ) A. B. C. D. 【答案】C 【分析】将三棱锥放入一个长方体中,求出长方体的体对角线即为长方体外接球的直径,利用球的体积公 式即可求解. 【详解】因为三棱锥 中, 平面 , 不妨将三棱锥放入一个长方体中,则长方体的外接球即为三棱锥的外接球, 因为长方体的体对角线即为其外接球的直径, 因为 ,则长方体的长宽高分别为 所以三棱 外接球的半径为 . 所以三棱锥 外接球的体积为 资料整理【淘宝店铺:向阳百分百】 17. 3.(2019年全国统一高考数学试卷(理科)(新课标Ⅰ))已知三棱锥P-ABC的四个顶点在球O的球面 上,PA=PB=PC,△ABC是边长为2的正三角形,E,F分别是PA,AB的中点,∠CEF=90°,则球O的体 积为( ) A. B. C. D. 【答案】D 【分析】先证得 平面 ,再求得 ,从而得 为正方体一部分,进而知正 方体的体对角线即为球直径,从而得解. 【详解】解法一: 为边长为2的等边三角形, 为正三棱锥, ,又 , 分别为 、 中点, , ,又 , 平面 , 平面 , , 为正方体一部分, ,即 . 解法二: 资料整理【淘宝店铺:向阳百分百】 18设 , 分别为 中点, ,且 , 为边长为2的等边三角形, 又 中余弦定理 ,作 于 , , 为 中点, , , , ,又 , 两两垂直, , , . 【点睛】本题考查学生空间想象能力,补体法解决外接球问题.可通过线面垂直定理,得到三棱两两互相 垂直关系,快速得到侧棱长,进而补体成正方体解决. 4.已知三棱锥 的所有顶点都在球 的球面上, 是边长为 的正三角形, 为球 的直径, 且 ,则此棱锥的体积为( ) A. B. C. D. 【答案】A 【详解】根据题意作出图形: 设球心为O,过ABC三点的小圆的圆心为O1,则OO1⊥平面ABC, 延长CO1交球于点D,则SD⊥平面ABC.∵CO1= , ∴ , ∴高SD=2OO1= ,∵△ABC是边长为1的正三角形,∴S ABC= , △ ∴ . 资料整理【淘宝店铺:向阳百分百】 19考点:棱锥与外接球,体积. 【名师点睛】本题考查棱锥与外接球问题,首先我们要熟记一些特殊的几何体与外接球(内切球)的关系, 如正方体(长方体)的外接球(内切球)球心是对角线的交点,正棱锥的外接球(内切球)球心在棱锥的 高上,对一般棱锥来讲,外接球球心到名顶点距离相等,当问题难以考虑时,可减少点的个数,如先考虑 到三个顶点的距离相等的点是三角形的外心,球心一定在过此点与此平面垂直的直线上.如直角三角形斜 边中点到三顶点距离相等等等. 5.(2023年贵州省教学质量监测考试数学试题)在正四棱台 中, , .其外接球的体积为( ) A. B. C. D. 【答案】C 【分析】根据题意画出图形,结合图形,利用勾股定理得到关于 的方程,从而可得外接球的体积. 【详解】记正四棱台 上下两个底面的中心为 , 连接 , , , ,过点 作 ,垂足为 ,如图, 因为在正四棱台 中, , , 所以 , ,则 , 所以 , , 在 中, , 资料整理【淘宝店铺:向阳百分百】 20则 ,即 是钝角, 所以外接球的球心 在面 的下方,又外接球的球心一定在 上,连接 , 则 ,设 , 在 中, ,即 , 在 中, ,即 , 解得 (负值舍去), 则所求外接球的体积为 . 1.(2020年全国统一高考数学试卷(理科)(新课标Ⅲ))已知圆锥的底面半径为1,母线长为3,则该 圆锥内半径最大的球的体积为 . 【答案】 【分析】将原问题转化为求解圆锥内切球的问题,然后结合截面确定其半径即可确定体积的值. 【详解】易知半径最大球为圆锥的内切球,球与圆锥内切时的轴截面如图所示, 其中 ,且点M为BC边上的中点, 设内切圆的圆心为 , 由于 ,故 , 设内切圆半径为 ,则: , 资料整理【淘宝店铺:向阳百分百】 21解得: ,其体积: . 【点睛】与球有关的组合体问题,一种是内切,一种是外接.解题时要认真分析图形,明确切点和接点的 位置,确定有关元素间的数量关系,并作出合适的截面图,如球内切于正方体,切点为正方体各个面的中 心,正方体的棱长等于球的直径;球外接于正方体,正方体的顶点均在球面上,正方体的体对角线长等于 球的直径. 2.(2014年全国普通高等学校招生统一考试理科数学(大纲卷))正四棱锥的顶点都在同一球面上,若 该棱锥的高为4,底面边长为2,则该球的表面积为( ) A. B. C. D. 【答案】A 【详解】正四棱锥P-ABCD的外接球的球心在它的高 上, 记为O,PO=AO=R, , =4-R, 在Rt 中, , △ 由勾股定理 得 , ∴球的表面积 . 考点:球的体积和表面积 3.已知三棱锥 ,其中 平面 , , ,则该三棱锥外接球的 表面积为( ) A. B. C. D. 【答案】C 【分析】根据余弦定理、正弦定理,结合球的性质、球的表面积公式进行求解即可. 【详解】根据题意设底面 的外心为 ,O为球心,所以 平面 ,因为 平面 , 所以 ,设 是 中点,因为 ,所以 , 因为 平面 , 平面 ,所以 ,因此 , 资料整理【淘宝店铺:向阳百分百】 22因此四边形 是平行四边形,故 , 由余弦定理,得 , 由正弦定理,得 , 所以该外接球的半径 满足 . 【点睛】关键点睛:运用正弦定理、余弦定理是解题的关键. 4.(2023年云南省学业质量监测数学试题)现有一个高为2的三棱锥 被一个平行于底面的平面 截去一个高为1的三棱锥,得到棱台 .已知 , , ,则该棱台的外接 球体积为 . 【答案】 【分析】由余弦定理得 ,由正弦定理得 外接圆的半径,进而得 外接圆的半径,根据球心 与棱台上下底面的位置关系讨论,列出关于外接球半径 的方程,求出 ,进而得出答案. 【详解】由题意, ,且 , 设 外接圆的圆心分别为 ,半径分别为 ,则 , , , , 由余弦定理得, ,则 , 由正弦定理得 ,∴ , 设棱台的外接球球心为 ,半径为 , 若球心 在棱台上下底面之间时, 资料整理【淘宝店铺:向阳百分百】 23在直角 中, ,∴ , 在直角 中, ,∴ , ∵ ,∴ ,此方程无解; 若球心 不在棱台上下底面之间时, 在直角 中, ,∴ , 在直角 中, ,∴ , ∵ ,∴ ,解得 , 则该棱台的外接球体积为 . 5.(2023年重庆市九校联盟模拟数学试题)设直三棱柱 的所有顶点都在一个球面上,且球 的表面积为 , ,则此直三棱柱的高是( ) A.1 B.2 C. D.4 【答案】D 【分析】设 外接圆得圆心为 ,半径为 ,直三棱柱 得高为 ,直三棱柱 外接球得球心为 ,半径为 ,先分别求出 ,再利用勾股定理即可得解. 【详解】设 外接圆得圆心为 ,半径为 ,直三棱柱 得高为 , 直三棱柱 外接球得球心为 ,半径为 , 资料整理【淘宝店铺:向阳百分百】 24则 ,且 平面 , 由正弦定理得 ,所以 , 因为 ,所以 , 所以 ,所以 , 即直三棱柱 得高为 . 6.(2023年广东省模拟数学试题)如图,在边长为2的正方形 中, , 分别是 , 的中点, 将 , , 分别沿 , , 折起,使得 三点重合于点 ,若三棱锥 的所有顶点均在球 的球面上,则球 的体积为( ) A. B. C. D. 【答案】C 【分析】根据题意,把三棱锥 可补成一个长方体,利用长方体的对角线长求得外接球的半径 ,结合球的体积公式,即可求解. 【详解】根据题意,可得 ,且 , 所以三棱锥 可补成一个长方体,则三棱锥 的外接球即为长方体的外接球,如图所示, 资料整理【淘宝店铺:向阳百分百】 25设长方体的外接球的半径为 ,可得 ,所以 , 所以外接球的体积为 . 【基础过关】 资料整理【淘宝店铺:向阳百分百】 261.(2020年全国统一高考数学试卷(文科)(新课标Ⅰ))已知 为球 的球面上的三个点,⊙ 为 的外接圆,若⊙ 的面积为 , ,则球 的表面积为( ) A. B. C. D. 【答案】A 【分析】由已知可得等边 的外接圆半径,进而求出其边长,得出 的值,根据球的截面性质,求 出球的半径,即可得出结论. 【详解】设圆 半径为r,球的半径为 ,依题意,得 , 为等边三角形, 由正弦定理可得 , ,根据球的截面性质 平面 , , 球 的表面积 . 7 2.已知圆锥的顶点为 ,母线 , 所成角的余弦值为 , 与圆锥底面所成的角为45°.若 的面积 S SASB 8 SA ΔSAB 为 5√15 ,则该圆锥的侧面积为 . 【答案】40√2π SA 【详解】因为母线 与圆锥底面所成的角为45°,所以圆锥的轴截面为等腰直角三角形.设底面圆的半径为 7 √15 ,则母线长 .在 中,cos∠ASB= ,所以 sin∠ASB= . l=√2r ΔSAB 8 8 r 1 1 √15 因为 的面积为 ,即 SA⋅SBsin∠ASB= ×√2r×√2r× =5√15 ,所以 , ΔSAB 5√15 2 2 8 r2 =40 故圆锥的侧面积为πrl=√2πr2 =40√2π. 3.(2020年浙江省高考数学试题)某几何体的三视图(单位:cm)如图所示,则该几何体的体积(单位: cm3)是( ) 资料整理【淘宝店铺:向阳百分百】 27A. B. C.3 D.6 【答案】A 【分析】根据三视图还原原图,然后根据柱体和锥体体积计算公式,计算出几何体的体积. 【详解】由三视图可知,该几何体是上半部分是三棱锥,下半部分是三棱柱, 且三棱锥的一个侧面垂直于底面,且棱锥的高为1, 棱柱的底面为等腰直角三角形,棱柱的高为2,000 所以几何体的体积为: . 【点睛】本小题主要考查根据三视图计算几何体的体积,属于基础题. 4.(2021年天津高考数学试题)两个圆锥的底面是一个球的同一截面,顶点均在球面上,若球的体积为 ,两个圆锥的高之比为 ,则这两个圆锥的体积之和为( ) A. B. C. D. 【答案】B 【分析】作出图形,计算球体的半径,可计算得出两圆锥的高,利用三角形相似计算出圆锥的底面圆半径, 再利用锥体体积公式可求得结果. 【详解】如下图所示,设两个圆锥的底面圆圆心为点 , 设圆锥 和圆锥 的高之比为 ,即 , 资料整理【淘宝店铺:向阳百分百】 28设球的半径为 ,则 ,可得 ,所以, , 所以, , , ,则 ,所以, , 又因为 ,所以, , 所以, , , 因此,这两个圆锥的体积之和为 . 5.(2021年全国新高考II卷数学试题)正四棱台的上、下底面的边长分别为2,4,侧棱长为2,则其体积 为( ) A. B. C. D. 【答案】D 【分析】由四棱台的几何特征算出该几何体的高及上下底面面积,再由棱台的体积公式即可得解. 【详解】作出图形,连接该正四棱台上下底面的中心,如图, 因为该四棱台上下底面边长分别为2,4,侧棱长为2, 所以该棱台的高 , 下底面面积 ,上底面面积 , 所以该棱台的体积 . 6.(2021年浙江省高考数学试题)某几何体的三视图如图所示,则该几何体的体积是( ) 资料整理【淘宝店铺:向阳百分百】 29A. B.3 C. D. 【答案】A 【分析】根据三视图可得如图所示的几何体,根据棱柱的体积公式可求其体积. 【详解】几何体为如图所示的四棱柱 ,其高为1,底面为等腰梯形 , 该等腰梯形的上底为 ,下底为 ,腰长为1,故梯形的高为 , 故 , 7.(2021年北京市高考数学试题)某一时间段内,从天空降落到地面上的雨水,未经蒸发、渗漏、流失 而在水平面上积聚的深度,称为这个时段的降雨量(单位: ).24h降雨量的等级划分如下: 等级 24h降雨量(精确到0.1) …… …… 小雨 0.1~9.9 中雨 10.0~24.9 大雨 25.0~49.9 暴雨 50.0~99.9 资料整理【淘宝店铺:向阳百分百】 30…… …… 在综合实践活动中,某小组自制了一个底面直径为200 mm,高为300 mm的圆锥形雨量器.若一次降雨过 程中,该雨量器收集的24h的雨水高度是150 mm(如图所示),则这24h降雨量的等级是( ) A.小雨 B.中雨 C.大雨 D.暴雨 【答案】B 【分析】计算出圆锥体积,除以圆面的面积即可得降雨量,即可得解. 【详解】由题意,一个半径为 的圆面内的降雨充满一个底面半径为 , 高为 的圆锥,所以积水厚度 ,属于中雨. 8.(2021年全国高考甲卷数学(理)试题)在一个正方体中,过顶点A的三条棱的中点分别为E,F, G.该正方体截去三棱锥 后,所得多面体的三视图中,正视图如图所示,则相应的侧视图是 ( ) A. B. C. D. 【答案】D 【分析】根据题意及题目所给的正视图还原出几何体的直观图,结合直观图进行判断. 【详解】由题意及正视图可得几何体的直观图,如图所示, 所以其侧视图为 9.(2020年全国统一高考数学试卷(理科)(新课标Ⅱ))如图是一个多面体的三视图,这个多面体某 条棱的一个端点在正视图中对应的点为 ,在俯视图中对应的点为 ,则该端点在侧视图中对应的点为 资料整理【淘宝店铺:向阳百分百】 31( ) A. B. C. D. 【答案】A 【分析】根据三视图,画出多面体立体图形,即可求得 点在侧视图中对应的点. 【详解】根据三视图,画出多面体立体图形, 上的点在正视图中都对应点M,直线 上的点在俯视图中对应的点为N, ∴在正视图中对应 ,在俯视图中对应 的点是 ,线段 ,上的所有点在侧试图中都对应 ,∴点 在 侧视图中对应的点为 . 【点睛】本题主要考查了根据三视图判断点的位置,解题关键是掌握三视图的基础知识和根据三视图能还 原立体图形的方法,考查了分析能力和空间想象,属于基础题. 10.(2020年全国统一高考数学试卷(文科)(新课标Ⅰ))埃及胡夫金字塔是古代世界建筑奇迹之一, 它的形状可视为一个正四棱锥,以该四棱锥的高为边长的正方形面积等于该四棱锥一个侧面三角形的面积, 则其侧面三角形底边上的高与底面正方形的边长的比值为( ) A. B. C. D. 资料整理【淘宝店铺:向阳百分百】 32【答案】C 【分析】设 ,利用 得到关于 的方程,解方程即可得到答案. 【详解】如图,设 ,则 , 由题意 ,即 ,化简得 , 解得 (负值舍去). 【点晴】本题主要考查正四棱锥的概念及其有关计算,考查学生的数学计算能力,是一道容易题. 11.(2018年全国卷Ⅲ文数高考试题)中国古建筑借助榫卯将木构件连接起来,构件的凸出部分叫榫头, 凹进部分叫卯眼,图中木构件右边的小长方体是榫头.若如图摆放的木构件与某一带卯眼的木构件咬合成 长方体,则咬合时带卯眼的木构件的俯视图可以是( ) A. B. C. D. 【答案】A 【详解】详解:由题意知,题干中所给的是榫头,是凸出的几何体,求得是卯眼的俯视图,卯眼是凹进去 的,即俯视图中应有一不可见的长方形, 且俯视图应为对称图形 故俯视图为 点睛:本题主要考查空间几何体的三视图,考查学生的空间想象能力,属于基础题. 资料整理【淘宝店铺:向阳百分百】 3312.(2022年全国新高考I卷数学试题)南水北调工程缓解了北方一些地区水资源短缺问题,其中一部分 水蓄入某水库.已知该水库水位为海拔 时,相应水面的面积为 ;水位为海拔 时,相 应水面的面积为 ,将该水库在这两个水位间的形状看作一个棱台,则该水库水位从海拔 上 升到 时,增加的水量约为( )( ) A. B. C. D. 【答案】C 【分析】根据题意只要求出棱台的高,即可利用棱台的体积公式求出. 【详解】依题意可知棱台的高为 (m),所以增加的水量即为棱台的体积 . 棱台上底面积 ,下底面积 , ∴ . 13.某圆柱的高为2,底面周长为16,其三视图如图所示,圆柱表面上的点 在正视图上的对应点为 , 圆柱表面上的点 在左视图上的对应点为 ,则在此圆柱侧面上,从 到 的路径中,最短路径的长度 为( ) A. B. C. D.2 【答案】B 【分析】首先根据题中所给的三视图,得到点M和点N在圆柱上所处的位置,将圆柱的侧面展开图平铺, 点M、N在其四分之一的矩形的对角线的端点处,根据平面上两点间直线段最短,利用勾股定理,求得结 果. 【详解】根据圆柱的三视图以及其本身的特征, 将圆柱的侧面展开图平铺, 资料整理【淘宝店铺:向阳百分百】 34可以确定点M和点N分别在以圆柱的高为长方形的宽,圆柱底面圆周长的四分之一为长的长方形的对角线 的端点处, 所以所求的最短路径的长度为 ,故选B. 点睛:该题考查的是有关几何体的表面上两点之间的最短距离的求解问题,在解题的过程中,需要明确两 个点在几何体上所处的位置,再利用平面上两点间直线段最短,所以处理方法就是将面切开平铺,利用平 面图形的相关特征求得结果. 14.(2023年辽宁省模拟数学试题)所有棱长均为6的正三棱锥被平行于其底面的平面所截,截去一个底 面边长为2的正三棱锥,则所得棱台的高为( ) A. B. C. D. 【答案】A 【分析】利用小三棱锥和大三棱锥的比例求解即可. 【详解】 如图, 根据题意可得所得棱台为正三棱台, 该棱台的高等于大正三棱锥的高的 . 设大正三棱锥的高为DH,则: 因为大正三棱锥的高为: , 所以该棱台的高为 . 15.(2021年全国高考甲卷数学(文)试题)已知一个圆锥的底面半径为6,其体积为 则该圆锥的侧 面积为 . 【答案】 【分析】利用体积公式求出圆锥的高,进一步求出母线长,最终利用侧面积公式求出答案. 【详解】∵ 资料整理【淘宝店铺:向阳百分百】 35∴ ∴ ∴ . 16.(2020年江苏省高考数学试题)如图,六角螺帽毛坯是由一个正六棱柱挖去一个圆柱所构成的.已知 螺帽的底面正六边形边长为2 cm,高为2 cm,内孔半径为0.5 cm,则此六角螺帽毛坯的体积是 cm3. 【答案】 【分析】先求正六棱柱体积,再求圆柱体积,相减得结果. 【详解】正六棱柱体积为 圆柱体积为 所求几何体体积为 . 【点睛】本题考查正六棱柱体积、圆柱体积,考查基本分析求解能力,属基础题. 17.(2021年全国新高考II卷数学试题)北斗三号全球卫星导航系统是我国航天事业的重要成果.在卫星 导航系统中,地球静止同步卫星的轨道位于地球赤道所在平面,轨道高度为 (轨道高度是指卫星 到地球表面的距离).将地球看作是一个球心为O,半径r为 的球,其上点A的纬度是指 与赤 道平面所成角的度数.地球表面上能直接观测到一颗地球静止同步轨道卫星点的纬度最大值为 ,记卫星 信号覆盖地球表面的表面积为 (单位: ),则S占地球表面积的百分比约为( ) 资料整理【淘宝店铺:向阳百分百】 36A.26% B.34% C.42% D.50% 【答案】C 【分析】由题意结合所给的表面积公式和球的表面积公式整理计算即可求得最终结果. 【详解】由题意可得,S占地球表面积的百分比约为: . 【能力提升】 1.在三棱锥 中,平面 平面 , , ,则该三棱锥外接球的表 面积是 . 【答案】 / 【分析】设点D为AB的中点,O为 外接圆的圆心,则 ,证得 平面PAB,则 ,O即为三棱锥 外接球的球心,再由球的表面积公式求解即可. 【详解】 如图所示: 设点D为AB的中点,O为 外接圆的圆心, ∵ ,∴O在CD上,且 , , ∴ ,∵平面 平面ABC, 平面 平面 , 平面ABC,∴ 平面PAB, 又AB, 平面PAB,∴ , , 在 中, , D为AB的中点,∴ , ∴ , 资料整理【淘宝店铺:向阳百分百】 37∴O即为三棱锥 外接球的球心,且外接球半径 , ∴该三棱锥外接球的表面积 . 2.已知正方体 的棱长为6,E、F分别是 、 的中点,则平面CEF截正方体所得的 截面的周长为 . 【答案】 【分析】延长EF交DA的延长线于N ,连接CN交AB于点G,连接FG;延长FE交 的延长线于 点M ,连接CM交 点H,连接EH;则正方体被平面CEF截得的截面为CHEFG.则 EF+FG+GC+CH+HE为平面CEF截正方体所得的截面的周长,根据几何关系即可求解. 【详解】延长EF交DA的延长线于N ,连接CN交AB于点G,连接FG;延长FE交 的延长线于 点M ,连接CM交 点H,连接EH; 则正方体被平面CEF截得的截面为CHEFG. 1 ∵ 、 分别是 、 的中点,则易知 AN=A E= AD , E F 1 2 1 ∴ AN= ND ,∴ , 3 资料整理【淘宝店铺:向阳百分百】 38∴ , , ; 同理, , , ; ∴平面CEF截正方体所得截面的周长为: EF+FG+GC+CH+HE=3√2+√13+2√13+2√13+√13=6√13+3√2. 3.(2023届安徽省、云南省、吉林省、黑龙江省适应性测试数学试题)三棱锥 中, 平面 , .若 , ,则该三棱锥体积的最大值为( ) A.2 B. C.1 D. 【答案】D 【分析】先利用线面垂直的判定定理与性质定理依次证得 平面 、 与 ,从而利 用基本不等式求得 ,进而得到 ,由此得解. 【详解】因为 平面 , 平面 ,所以 , 又 , , 平面 ,所以 平面 , 因为 平面 ,所以 , 在 中, , ,则 , 因为 平面 , 平面 ,所以 , 在 中,不妨设 ,则由 得 , 所以 , 当且仅当 且 ,即 时,等号成立, 所以 ,所以该三棱锥体积的最大值为 . 4.(2023届广东省调研数学试题)如图,一个棱长1分米的正方体形封闭容器中盛有V升的水,若将该 容器任意放置均不能使水平面呈三角形,则V的取值范围是( ) 资料整理【淘宝店铺:向阳百分百】 39A. B. C. D. 【答案】A 【分析】找到水最多和水最少的临界情况,如图分别为多面体 和三棱锥 ,从而可得 出答案. 【详解】将该容器任意放置均不能使水平面呈三角形, 则如图,水最少的临界情况为,水面为面 , 水最多的临界情况为多面体 ,水面为 , 因为 , , 所以 ,即 . 5.(2018年全国普通高等学校招生统一考试文科数学(新课标I卷))已知圆柱的上、下底面的中心分别 为 , ,过直线 的平面截该圆柱所得的截面是面积为8的正方形,则该圆柱的表面积为( ) A. B. C. D. 【答案】B 【详解】分析:首先根据正方形的面积求得正方形的边长,从而进一步确定圆柱的底面圆半径与圆柱的高, 从而利用相关公式求得圆柱的表面积. 详解:根据题意,可得截面是边长为 的正方形, 结合圆柱的特征,可知该圆柱的底面为半径是 的圆,且高为 , 所以其表面积为 . 资料整理【淘宝店铺:向阳百分百】 40点睛:该题考查的是有关圆柱的表面积的求解问题,在解题的过程中,需要利用题的条件确定圆柱的相关 量,即圆柱的底面圆的半径以及圆柱的高,在求圆柱的表面积的时候,一定要注意是两个底面圆与侧面积 的和. 6.已知三棱锥 的所有顶点都在球O的球面上,且 平面 , , , ,则球O的表面积为( ) A. B. C. D. 【答案】A 【分析】根据 平面BCD,得到 , ,再由 , , ,得 到 ,则三棱锥 截取于一个长方体,然后由长方体的外接球即为三棱锥的外接球求解. 【详解】因为 平面BCD, 所以 , , ∴ , 在 中, , ∴ , ∴ . 如图所示: 三棱锥 的外接球即为长方体AGFH-BCED的外接球, 设球O的半径为R,则 , 解得 , 所以球O的表面积为 . 7.(2020年全国统一高考数学试卷(文科)(新课标Ⅱ))已知△ABC是面积为 的等边三角形,且 其顶点都在球O的球面上.若球O的表面积为16π,则O到平面ABC的距离为( ) A. B. C.1 D. 【答案】C 【分析】根据球 的表面积和 的面积可求得球 的半径 和 资料整理【淘宝店铺:向阳百分百】 41外接圆半径 ,由球的性质可知所求距离 . 【详解】 设球 的半径为 ,则 ,解得: . 设 外接圆半径为 ,边长为 , 是面积为 的等边三角形, ,解得: , , 球心 到平面 的距离 . 【点睛】本题考查球的相关问题的求解,涉及到球的表面积公式和三角形面积公式的应用;解题关键是明 确球的性质,即球心和三角形外接圆圆心的连线必垂直于三角形所在平面. 8.(2020年新高考全国卷Ⅰ数学高考试题(山东))已知直四棱柱ABCD–ABC D 的棱长均为2, 1 1 1 1 ∠BAD=60°.以 为球心, 为半径的球面与侧面BCC B 的交线长为 . 1 1 【答案】 . 【分析】根据已知条件易得 , 侧面 ,可得侧面 与球面的交线上的点到 的 距离为 ,可得侧面 与球面的交线是扇形 的弧 ,再根据弧长公式可求得结果. 【详解】如图: 取 的中点为 , 的中点为 , 的中点为 , 因为 60°,直四棱柱 的棱长均为2,所以△ 为等边三角形,所以 , , 又四棱柱 为直四棱柱,所以 平面A B C D ,所以 , 1 1 1 1 资料整理【淘宝店铺:向阳百分百】 42因为 ,所以 侧面 , 设 为侧面 与球面的交线上的点,则 , 因为球的半径为 , ,所以 , 所以侧面 与球面的交线上的点到 的距离为 , 因为 ,所以侧面 与球面的交线是扇形 的弧 , 因为 ,所以 , 所以根据弧长公式可得 . 【点睛】本题考查了直棱柱的结构特征,考查了直线与平面垂直的判定,考查了立体几何中的轨迹问题, 考查了扇形中的弧长公式,属于中档题. 9.(2022年全国新高考I卷数学试题)已知正四棱锥的侧棱长为l,其各顶点都在同一球面上.若该球的体 积为 ,且 ,则该正四棱锥体积的取值范围是( ) A. B. C. D. 【答案】C 【分析】设正四棱锥的高为 ,由球的截面性质列方程求出正四棱锥的底面边长与高的关系,由此确定正 四棱锥体积的取值范围. 【详解】∵球的体积为 ,所以球的半径 , [方法一]:导数法 设正四棱锥的底面边长为 ,高为 , 则 , , 所以 , 所以正四棱锥的体积 , 所以 , 资料整理【淘宝店铺:向阳百分百】 43当 时, ,当 时, , 所以当 时,正四棱锥的体积 取最大值,最大值为 , 又 时, , 时, , 所以正四棱锥的体积 的最小值为 , 所以该正四棱锥体积的取值范围是 . 故选:C. [方法二]:基本不等式法 由方法一故所以 当且仅当 取到 , 当 时,得 ,则 当 时,球心在正四棱锥高线上,此时 , ,正四棱锥体积 , 故该正四棱锥体积的取值范围是 10.(2022年全国高考乙卷数学(理)试题)已知球O的半径为1,四棱锥的顶点为O,底面的四个顶点 均在球O的球面上,则当该四棱锥的体积最大时,其高为( ) 1 1 √3 √2 A. B. C. D. 3 2 3 2 【答案】C 【分析】方法一:先证明当四棱锥的顶点O到底面ABCD所在小圆距离一定时,底面ABCD面积最大值 为2r2,进而得到四棱锥体积表达式,再利用均值定理去求四棱锥体积的最大值,从而得到当该四棱锥的 体积最大时其高的值. 【详解】[方法一]:【最优解】基本不等式 设该四棱锥底面为四边形ABCD,四边形ABCD所在小圆半径为r , 设四边形ABCD对角线夹角为α, 则 (当且仅当四边形ABCD为正方形时等号成立) 资料整理【淘宝店铺:向阳百分百】 44即当四棱锥的顶点O到底面ABCD所在小圆距离一定时,底面ABCD面积最大值为2r2 又设四棱锥的高为h,则 , √3 当且仅当 即h= 时等号成立. 3 [方法二]:统一变量+基本不等式 由题意可知,当四棱锥为正四棱锥时,其体积最大,设底面边长为a,底面所在圆的半径为r,则 √ a2 ,所以该四棱锥的高h= 1− , 2 (当且仅当 ,即 时,等号成立) 所以该四棱锥的体积最大时,其高 . [方法三]:利用导数求最值 由题意可知,当四棱锥为正四棱锥时,其体积最大,设底面边长为a,底面所在圆的半径为r,则 ,所以该四棱锥的高 , ,令 a2 =t(0