当前位置:首页>文档>专题16一次函数中的动态问题(解析版)-重难点突破2021-2022学年八年级数学上册常考题专练(北师大版)_北师大初中数学_8上-北师大版初中数学_旧版_06专项讲练

专题16一次函数中的动态问题(解析版)-重难点突破2021-2022学年八年级数学上册常考题专练(北师大版)_北师大初中数学_8上-北师大版初中数学_旧版_06专项讲练

  • 2026-04-13 04:21:27 2026-04-13 03:42:28

文档预览

专题16一次函数中的动态问题(解析版)-重难点突破2021-2022学年八年级数学上册常考题专练(北师大版)_北师大初中数学_8上-北师大版初中数学_旧版_06专项讲练
专题16一次函数中的动态问题(解析版)-重难点突破2021-2022学年八年级数学上册常考题专练(北师大版)_北师大初中数学_8上-北师大版初中数学_旧版_06专项讲练
专题16一次函数中的动态问题(解析版)-重难点突破2021-2022学年八年级数学上册常考题专练(北师大版)_北师大初中数学_8上-北师大版初中数学_旧版_06专项讲练
专题16一次函数中的动态问题(解析版)-重难点突破2021-2022学年八年级数学上册常考题专练(北师大版)_北师大初中数学_8上-北师大版初中数学_旧版_06专项讲练
专题16一次函数中的动态问题(解析版)-重难点突破2021-2022学年八年级数学上册常考题专练(北师大版)_北师大初中数学_8上-北师大版初中数学_旧版_06专项讲练
专题16一次函数中的动态问题(解析版)-重难点突破2021-2022学年八年级数学上册常考题专练(北师大版)_北师大初中数学_8上-北师大版初中数学_旧版_06专项讲练
专题16一次函数中的动态问题(解析版)-重难点突破2021-2022学年八年级数学上册常考题专练(北师大版)_北师大初中数学_8上-北师大版初中数学_旧版_06专项讲练
专题16一次函数中的动态问题(解析版)-重难点突破2021-2022学年八年级数学上册常考题专练(北师大版)_北师大初中数学_8上-北师大版初中数学_旧版_06专项讲练
专题16一次函数中的动态问题(解析版)-重难点突破2021-2022学年八年级数学上册常考题专练(北师大版)_北师大初中数学_8上-北师大版初中数学_旧版_06专项讲练
专题16一次函数中的动态问题(解析版)-重难点突破2021-2022学年八年级数学上册常考题专练(北师大版)_北师大初中数学_8上-北师大版初中数学_旧版_06专项讲练
专题16一次函数中的动态问题(解析版)-重难点突破2021-2022学年八年级数学上册常考题专练(北师大版)_北师大初中数学_8上-北师大版初中数学_旧版_06专项讲练
专题16一次函数中的动态问题(解析版)-重难点突破2021-2022学年八年级数学上册常考题专练(北师大版)_北师大初中数学_8上-北师大版初中数学_旧版_06专项讲练
专题16一次函数中的动态问题(解析版)-重难点突破2021-2022学年八年级数学上册常考题专练(北师大版)_北师大初中数学_8上-北师大版初中数学_旧版_06专项讲练
专题16一次函数中的动态问题(解析版)-重难点突破2021-2022学年八年级数学上册常考题专练(北师大版)_北师大初中数学_8上-北师大版初中数学_旧版_06专项讲练
专题16一次函数中的动态问题(解析版)-重难点突破2021-2022学年八年级数学上册常考题专练(北师大版)_北师大初中数学_8上-北师大版初中数学_旧版_06专项讲练
专题16一次函数中的动态问题(解析版)-重难点突破2021-2022学年八年级数学上册常考题专练(北师大版)_北师大初中数学_8上-北师大版初中数学_旧版_06专项讲练
专题16一次函数中的动态问题(解析版)-重难点突破2021-2022学年八年级数学上册常考题专练(北师大版)_北师大初中数学_8上-北师大版初中数学_旧版_06专项讲练
专题16一次函数中的动态问题(解析版)-重难点突破2021-2022学年八年级数学上册常考题专练(北师大版)_北师大初中数学_8上-北师大版初中数学_旧版_06专项讲练
专题16一次函数中的动态问题(解析版)-重难点突破2021-2022学年八年级数学上册常考题专练(北师大版)_北师大初中数学_8上-北师大版初中数学_旧版_06专项讲练
专题16一次函数中的动态问题(解析版)-重难点突破2021-2022学年八年级数学上册常考题专练(北师大版)_北师大初中数学_8上-北师大版初中数学_旧版_06专项讲练
专题16一次函数中的动态问题(解析版)-重难点突破2021-2022学年八年级数学上册常考题专练(北师大版)_北师大初中数学_8上-北师大版初中数学_旧版_06专项讲练
专题16一次函数中的动态问题(解析版)-重难点突破2021-2022学年八年级数学上册常考题专练(北师大版)_北师大初中数学_8上-北师大版初中数学_旧版_06专项讲练
专题16一次函数中的动态问题(解析版)-重难点突破2021-2022学年八年级数学上册常考题专练(北师大版)_北师大初中数学_8上-北师大版初中数学_旧版_06专项讲练
专题16一次函数中的动态问题(解析版)-重难点突破2021-2022学年八年级数学上册常考题专练(北师大版)_北师大初中数学_8上-北师大版初中数学_旧版_06专项讲练
专题16一次函数中的动态问题(解析版)-重难点突破2021-2022学年八年级数学上册常考题专练(北师大版)_北师大初中数学_8上-北师大版初中数学_旧版_06专项讲练
专题16一次函数中的动态问题(解析版)-重难点突破2021-2022学年八年级数学上册常考题专练(北师大版)_北师大初中数学_8上-北师大版初中数学_旧版_06专项讲练
专题16一次函数中的动态问题(解析版)-重难点突破2021-2022学年八年级数学上册常考题专练(北师大版)_北师大初中数学_8上-北师大版初中数学_旧版_06专项讲练
专题16一次函数中的动态问题(解析版)-重难点突破2021-2022学年八年级数学上册常考题专练(北师大版)_北师大初中数学_8上-北师大版初中数学_旧版_06专项讲练
专题16一次函数中的动态问题(解析版)-重难点突破2021-2022学年八年级数学上册常考题专练(北师大版)_北师大初中数学_8上-北师大版初中数学_旧版_06专项讲练
专题16一次函数中的动态问题(解析版)-重难点突破2021-2022学年八年级数学上册常考题专练(北师大版)_北师大初中数学_8上-北师大版初中数学_旧版_06专项讲练
专题16一次函数中的动态问题(解析版)-重难点突破2021-2022学年八年级数学上册常考题专练(北师大版)_北师大初中数学_8上-北师大版初中数学_旧版_06专项讲练
专题16一次函数中的动态问题(解析版)-重难点突破2021-2022学年八年级数学上册常考题专练(北师大版)_北师大初中数学_8上-北师大版初中数学_旧版_06专项讲练
专题16一次函数中的动态问题(解析版)-重难点突破2021-2022学年八年级数学上册常考题专练(北师大版)_北师大初中数学_8上-北师大版初中数学_旧版_06专项讲练
专题16一次函数中的动态问题(解析版)-重难点突破2021-2022学年八年级数学上册常考题专练(北师大版)_北师大初中数学_8上-北师大版初中数学_旧版_06专项讲练
专题16一次函数中的动态问题(解析版)-重难点突破2021-2022学年八年级数学上册常考题专练(北师大版)_北师大初中数学_8上-北师大版初中数学_旧版_06专项讲练
专题16一次函数中的动态问题(解析版)-重难点突破2021-2022学年八年级数学上册常考题专练(北师大版)_北师大初中数学_8上-北师大版初中数学_旧版_06专项讲练
专题16一次函数中的动态问题(解析版)-重难点突破2021-2022学年八年级数学上册常考题专练(北师大版)_北师大初中数学_8上-北师大版初中数学_旧版_06专项讲练
专题16一次函数中的动态问题(解析版)-重难点突破2021-2022学年八年级数学上册常考题专练(北师大版)_北师大初中数学_8上-北师大版初中数学_旧版_06专项讲练
专题16一次函数中的动态问题(解析版)-重难点突破2021-2022学年八年级数学上册常考题专练(北师大版)_北师大初中数学_8上-北师大版初中数学_旧版_06专项讲练
专题16一次函数中的动态问题(解析版)-重难点突破2021-2022学年八年级数学上册常考题专练(北师大版)_北师大初中数学_8上-北师大版初中数学_旧版_06专项讲练
专题16一次函数中的动态问题(解析版)-重难点突破2021-2022学年八年级数学上册常考题专练(北师大版)_北师大初中数学_8上-北师大版初中数学_旧版_06专项讲练
专题16一次函数中的动态问题(解析版)-重难点突破2021-2022学年八年级数学上册常考题专练(北师大版)_北师大初中数学_8上-北师大版初中数学_旧版_06专项讲练
专题16一次函数中的动态问题(解析版)-重难点突破2021-2022学年八年级数学上册常考题专练(北师大版)_北师大初中数学_8上-北师大版初中数学_旧版_06专项讲练
专题16一次函数中的动态问题(解析版)-重难点突破2021-2022学年八年级数学上册常考题专练(北师大版)_北师大初中数学_8上-北师大版初中数学_旧版_06专项讲练
专题16一次函数中的动态问题(解析版)-重难点突破2021-2022学年八年级数学上册常考题专练(北师大版)_北师大初中数学_8上-北师大版初中数学_旧版_06专项讲练
专题16一次函数中的动态问题(解析版)-重难点突破2021-2022学年八年级数学上册常考题专练(北师大版)_北师大初中数学_8上-北师大版初中数学_旧版_06专项讲练
专题16一次函数中的动态问题(解析版)-重难点突破2021-2022学年八年级数学上册常考题专练(北师大版)_北师大初中数学_8上-北师大版初中数学_旧版_06专项讲练

文档信息

文档格式
docx
文档大小
2.918 MB
文档页数
43 页
上传时间
2026-04-13 03:42:28

文档内容

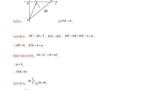
专题 16 一次函数中的动态问题 题型一 一次函数中的折叠问题 1.已知直线 与 、 轴分别交于点 、 ,折叠 ,使点 落在 轴上点 处,则折痕 交 轴于点 ,则点 的坐标为 . 【解答】解:根据题意可得图形, 直线 与 、 轴分别交于点 、 , , , , 沿 折叠 , 是 的垂直平分线, , , , 设 ,则 , , 解得: , . 故答案为: .2.直线 与 轴、 轴分别交于点 、 , 是 轴上一点,若将 沿 折叠,点 恰好落在 轴上,则点 的坐标为 或 . 【解答】解:如右图所示,设沿直线 将 折叠,点 正好落在 轴上的 点, , , 则有 , 又 , , , 故求得点 的坐标为: . 再设 点坐标为 , 则 , , ,, 此外当 为角 的外角平分线时, 如图1, 设 , 由折叠知, , , , , 根据勾股定理得, , , 故答案为: 或 .3.如图,矩形 在平面直角坐标系内 为坐标原点),点 在 轴上,点 在 轴上,点 的坐标 为 ,点 是 的中点,点 在 上,且 ,过点 且平行于 轴的 与 交于点 , 现将矩形折叠,使顶点 落在 上,并与 上的点 重合,折痕为 ,点 为折痕与 轴的交点. (1)求 的度数和点 的坐标; (2)求折痕 所在直线的函数表达式; (3)若点 在直线 上,当 为等腰三角形时,试问满足条件的点 有几个,请求出点 的坐标, 并写出解答过程. 【解答】解:(1) 是 的中点, . 与 关于直线 对称, , , , . , . , . . .在 中,由勾股定理得: 故 , (2) , , 设 所在直线的函数表达式为 ,由图象,得 , 解得: 故 所在直线的函数表达式为: ; (3) 点 在直线 上, 当 为等腰三角形时,有以下三种情况: (a) , 可令 ,则:由两点间的距离公式为: , , , ; , (b) 时, 仍令 ,注意 , ,则: , 对应 点,此时不构成三角形,故舍去. , (c)当 仍令 ,注意 , , ,则: ,, . 故满足条件的点 有4个.分别是: 、 、 、 . 题型二 一次函数中的平移问题 4.如图所示,边长分别为1和2的两个正方形靠在一起,其中一边在同一水平线上.大正方形保持不动, 小正方形沿该水平线自左向右匀速运动,设运动时间为 ,大正方形内去掉小正方形重叠部分后的面积为 , 那么 与 的大致图象应为A. B. C. D. 【解答】解:由题意可得, 小正方形的面积为: , 大正方形的面积为: , 刚开始小正方形从左向右运动,到小正方形正好完全进入大正方形的过程中, 随 的增大而减小,面 积由4减小到3; 当小正方形刚好完全进入大正方形到一边刚好要出大正方形的过程中, 随 的增大不变,一直是 , 从小正方形刚好出大正方形到完全出大正方形的过程中, 随 的增大而增大, 由3增加到4, 故选项 、 、 不符合题意,选项 符合题意, 故选: . 5.如图,边长都为4的正方形 和正三角形 如图放置, 与 在一条直线上,点 与点 重合.现将 沿 方向以每秒1个单位的速度匀速运动,当点 与 重合时停止.在这个运动过程 中,正方形 和 重叠部分的面积 与运动时间 的函数图象大致是 A. B. C. D. 【解答】解:当 时, ,即 与 是二次函数关系,有最小值 ,开口向上, 当 时, ,即 与 是二次函数关系,开口向下, 由上可得,选项 符合题意, 故选: . 6.如图,在平面直角坐标系中,直线 与直线 相交于点 ,点 的横坐标为4,直线 交 轴负半轴于点 ,且 . (1)求点 的坐标及直线 的函数表达式; (2)现将直线 沿 轴向上平移5个单位长度,交 轴于点 ,交直线 于点 ,试求 的面积. 【解答】解:(1) 点 的横坐标为4, , 点 的坐标是 , , , , 点 的坐标是 , 设直线 的表达式是 ,则 , 解得 , 直线 的函数表达式是 ; (2)将直线 沿 轴向上平移5个单位长度得 , 解 得交点的横坐标为6, . 7.如图,在平面直角坐标系中,直线 与直线 相交于点 ,点 的横坐标为3,直线 交 轴于点 ,且 . (1)试求直线 的函数表达式; (2)若将直线 沿着 轴向左平移3个单位,交 轴于点 ,交直线 于点 .试求 的面积.【解答】解:(1)根据题意,点 的横坐标为3,代入直线 中, 得点 的纵坐标为4,即点 ; 即 ,又 . 即 ,且点 位于 轴上, 即得 ; 将 、 两点坐标代入直线 中,得 ; ; 解之得, , ; 即直线 的解析式为 ; (2)根据题意,平移后的直线 的直线方程为 ; 即点 的坐标为 ; 联立直线 的直线方程,解得 , , 即点 , ; 又点 ,如图所示:故 的面积 . 8.如图, 已知直线 与直线 相交于点 ,直线 , 分别交 轴于点 , . 长方形 的顶点 , 分别在 和 轴上, 顶点 , 都在 轴上, 且点 与点 重合, 点 与点 重合, 长方形 的面积是 12 . (1) 求 的值; (2) 求证: 是等腰直角三角形; (3) 若长方形 从原地出发, 沿 轴正方向以每秒 1 个单位长度的速度平移, 设移 动时间为 秒, 长方形 与 重叠部分的面积为 . ①当 时, 求 的最大值; ②当 时, 直接写出 与 之间的函数关系式 (要 求写出自变量 的取值范围) . 【解答】解: (1) 直线 , , ,长方形 的面积是 12 , , , , 直线 , , ; (2) 如图 1 , 记直线 与 轴的交点为 ,直线 :与 轴的交点为 , 直线 与直线 , , , , , , , , , 是等腰直角三角形; (3) 直线 与直线 相交于点 , ,①如图 2 ,记长方形的边 , 与直线 的交点为 , ,由运动知, , , , , , 当 时, ; ②当 时, 如图 3 , 过点 作 轴于 , , , 同①的方法得, , , , , , 当 时, 如图 4 , 记长方形 的边 , 与直线 的交点为 , , 由运动知, ,, , . 即: .9.如图,在边长为4的正方形 中剪去一个边长为2的小正方形 ,动点 从点 出发,沿多 边形的边以 的路线匀速运动到点 时停止(不含点 和点 ,则 的面积 随着时间 变化的图象大致为 A. B. C. D. 【解答】解:当点 在线段 上时,面积是逐渐增大的, 当点 在线段 上时,面积是定值不变, 当点 在线段 上时,面积是逐渐减小的, 当点 在线段 上时,面积是定值不变, 当点 在线段 上时,面积是逐渐减小的, 综上所述,选项 符合题意.故选: . 10.如图,直线 的解析式为 ,与 轴, 轴分别交于 , ;直线 与 轴交于点 与 轴交于点 ,两直线交于点 . (1)求点 , 的坐标及直线 的解析式; (2)求证: ; (3)若将直线 向右平移 个单位,与 轴, 轴分别交于点 、 ,使得以点 、 、 、 为顶 点的图形是轴对称图形,求 的值? 【解答】(1)解:当 时, , 点 的坐标为 ; 当 时,有 , 解得: , 点 的坐标为 . 设直线 的解析式为 , 将 、 代入 ,得:,解得: , 直线 的解析式为 . (2)证明:连接两直线解析式成方程组,得: ,解得: , 点 的坐标为 , . , , , , , , , , . 在 和 中, , . (3)解:①当点 在点 下方时,连接 ,如图1所示. 平移后直线 的解析式为 , 点 的坐标为 ,点 的坐标为 . 以点 、 、 、 为顶点的图形是轴对称图形, △ , , . , ,, , , , 解得: ; ②当点 在点 上方时,连接 , ,如图2所示. 若△ △ ,则 , 由①可得: , , , 解得: (不合题意,舍去); 若 △ ,则 , ,即 , 解得: . 综上所述:当以点 、 、 、 为顶点的图形是轴对称图形时, 的值为10或1.11.如图,直线 与 轴交于点 ,与直线 交于点 . (1)求点 的坐标. (2)求 的面积. (3)动点 从原点 出发,以每秒1个单位长度的速度沿 方向向终点 运动,过点 作 轴, 交线段 或线段 于点 , 轴于点 ,设运动时间为 (秒 ,长方形 与 重叠部分 的面积为 ,求 与 之间的函数关系式. 【解答】解:(1)联立直线 与直线 ,得 , 解得 .即 ; (2)当 时, ,解得 ,即 ; (3)当 时,如图 , ,即 , , 长方形 与 重叠部分的面积为 , ; 当 时,如图 重叠部分是四边形 ,综上所述: . 12.如图,过 , 两点的直线与直线 交于点 ,平行于 轴的直线 从原点 出 发,以每秒1个单位长度的速度沿 轴向左平移,到 点时停止.直线 分别交线段 , 于点 , , 以 为边向右侧作等边 .设 与 重叠部分图形的周长为 ,直线 的运动时间为 (秒 . (1)求 点坐标; (2)当点 落在 轴上时,求相应的时间 的值; (3)求 与 之间的关系式.【说明:不考虑直线 平移过程中“起点”与“终点”时的情况.】 【解答】解:(1)设直线 的解析式为 则有 ,解得 , 直线 的解析式为 , 由 解得 , 点 坐标 , .(2)如图1中,作 于 .设 ,则 , , 是等边三角形, , 点 坐标 , , 当点 在 轴上时, , , 时,点 在 轴上. (3)如图2中, ①当 时,重叠部分四边形 ,. ②当 时,重叠部分是 , . 综上所述, . 13.如图,已知直线 与直线 相交于点 , 、 分别交 轴于点 、 ,矩形 顶点 、 分别在直线 、 ,顶点 、 都在 轴上,且点 与点 重合. (1)求点 的坐标和 的度数; (2)求矩形 的边 与 的长; (3)若矩形 从原地出发,沿 轴正方向以每秒1个单位长度的速度平移,设移动时间为 秒, 矩形 与 重叠部分的面积为 ,求 关于 的函数关系式,并写出相应的 的取值范围. 【解答】解:(1)由题意得 , 解得 , , 点坐标: ; 过 点作直线 垂直 轴交 轴于 , , 是等腰直角三角形, ;(2) 点 是直线 与 轴的交点, 当 时, ,解得 , 点的坐标为 ,则 点的横坐标为 , 点 在直线 上, 点 的坐标为 , 由图可知点 与点 的纵坐标相同,且点 在直线 上, 点 的坐标为 , 由图可知点 与点 的横坐标相同,且点 在 轴上, 点 的坐标为 , , ; (3) 点 是 与 轴的交点, 点 的坐标为 , , 若矩形 从原地出发,沿 轴正方向以每秒1个单位长度的速度平移, 当 秒时,移动的距离是 ,则 点的坐标为 , 点的坐标为 ; ①在运动到 秒,若 边与 相交设交点为 , 与 相交设交点为 ,那么 ,即 时. 点的坐标为 , 点的坐标为 , ,②在运动到 秒,若 边与 相交设交点为 , 与 相交设交点为 ,那么 且 , 即 时. 点的坐标为 , 点的坐标为 , , ③在运动到 秒,若 边与 相交设交点为 , 与 不相交,那么 且 ,即 时. 点的坐标为 , , 答:(1) 点坐标: , 的度数是 ; (2)矩形 的边 的长为3, 的长为6; (3) 关于 的函数关系式: .14.已知:如图,已知直线 的函数解析式为 ,与 轴交于点 ,与 轴交于点 . (1)求 、 两点的坐标; (2)若点 为线段 上的一个动点(与 、 不重合),作 轴于点 , 轴于点 连接 ,问: ①若 的面积为 ,求 关于 的函数关系式,并写出 的取值范围; ②是否存在点 ,使 的值最小?若存在,求出 的最小值;若不存在,请说明理由. 【解答】解:(1)令 ,则 , ,令 ,则 , , , (2)①连接 . 点 为线段 上的一个动点, , , , , ; ②存在, 理由: 轴于点 , 轴于点 , , 四边形 是矩形, , 当 时,此时 最小, , , , , 的最小值 .15.如图(1),在平面直角坐标系中,点 是坐标原点,四边形 是菱形,点 的坐标为 , 点 在 轴的正半轴上,直线 交 轴于点 , 边交 轴于点 . (1)求直线 的解析式. (2)连接 ,如图(2),动点 从点 出发,沿折线 方向以2个单位 秒的速度向终点 匀速运 动,设 的面积为 ,点 的运动时间为 秒,求 与 之间的函数关系式(要求写出自变量 的取值范围). (3)在(2)的条件下,当 为何值时, 与 互为余角,并求此时直线 的解析式. 【解答】解:(1)过点 作 轴,垂足为 ,如图(1) , , , 四边形 为菱形, ,设直线 的解析式为: , , , 直线 的解析式为 . (2)由(1)得 点坐标为 , , 如图(1),当 点在 边上运动时 由题意得 , , , , 当 点在 边上运动时,记为 , , , , , , , , ,(3)设 与 相交于点 , , , , , , , . 当 点在 边上运动时,如图1, , , , , , , 直线 的解析式为 , , , , 当 点在 边上运动时,如图2, , , ,,即 , , , , 直线 解析式为 , 设 , , (舍 或 , , 直线 的解析式为 , , , . 题型三 一次函数中的旋转问题16.如图,在直角坐标系中,直线 分别与 轴、 轴交于点 、 ,点 、 分别在 轴、 轴上,且 , ,将 绕原点 顺时针转动一周,当 与直线 平行时点 的坐 标为 、 . 【解答】解:① , , , , , 直线 的解析式为 , , , , , , , 点 的坐标为 , ; ② 图②中的点 与图①中的点 关于原点对称, 点 的坐标为: , , 故答案为: , 、 , .17.如图,直线 与 轴, 轴分别交于 , 两点, 绕点 顺时针旋转 后得到△ ,则点 的对应点 的坐标为 A. B. C. D. 【解答】解: 直线 与 轴, 轴分别交于 , 两点, , , , , 绕点 顺时针旋转 后得到△ , , , 点的横坐标为: ,纵坐标为:故选: . 18.在直角坐标系中,直线 分别与 轴, 轴交于 、 ,点 、 分别在 轴、 轴上, 且 , .将 绕 顺时针转动一周,当 与直线 垂直时,点 坐标为 或 . 【解答】解:当 时, ,则 , 当 时, ,解得 ,则 , , 在 中, , , 在 中, , , , , 与直线 垂直, 直线 与 轴的夹角为 , 如图1,直线 交 轴于点 ,交 于 ,作 轴于 , 轴于 , , ,, 是等边三角形, , , , 在 中, , , 点坐标为 ; 如图2,直线 交 轴于点 ,作 轴于 , 同理: , , , , , 在 △ , 中, , , 点坐标为 ; 综上所述, 点坐标为 或 . 故答案为 或 .19.如图,平面直角坐标系中,已知直线 上一点 为 轴上一点,连接 ,线段 绕点 顺时针旋转 至线段 ,过点 作直线 轴,垂足为 ,直线 与直线 交于点 ,且 ,连接 ,直线 与直线 交于点 . (1)求 的长; (2)求直线 的解析式; (3)求点 的坐标. 【解答】解:(1)过 作 轴,交 轴于 ,交 于 , , , , , , , , 在 和 中,, , , , , 设 ,则 , , , , 则 , 解得 , ; (2) 直线 的解析式为: , , , 在 中,由勾股定理得: , 在 中,由勾股定理得: , , 则 的坐标是 , 设直线 的解析式是 , 把 , 代入得: , ,即直线 的解析式是 ; (3)解方程组 ,得 , 即 的坐标是 , . 20.如图,已知一次函数 的图象与 轴、 轴分别相交于点 、 ,与一次函数 的图 象相交于点 . (1)求点 坐标. (2)若点 在直线 上,且 的面积等于12,请求出点 的坐标. (3)小明在探究中发现:若 为 轴上一动点,将线段 绕点 按顺时针方向旋转 得线段 ,在 点 的运动过程中,点 始终在某一直线上运动.请直接写出该直线所对应的函数关系式: .【解答】解:(1)由方程组 得 , 点 的坐标为 ; (2) 一次函数 的图象与 轴、 轴分别相交于点 、 , , , , 点 在直线 上, 设 , 当 点在 的上方时, , ,解得, , 此时 的坐标为 ; 当 点在 的下方时, , ,解得, , 此时 的坐标为 , 故 点的坐标为 或 ; (3)设 的坐标为 ,作 轴于 , 轴于 , , , , , , ,在 和△ 中, , △ , , , , , 点 始终在直线上 运动, 故答案为 . 21.平面直角坐标系中,点 是一动点,点 绕点 顺时针旋转 到点 处,点 恰好落在直线 上.当线段 最短时,点 的坐标为 , . 【解答】解:如图,过点 作 轴的平行线 ,过 作 于点 ,过 作 于 ,则 , 由旋转可得, , , , ,, 设 , , 由题可得 , , 即 , , 联立解得: , , 即 , , , 当 时, 最小, 此时 , . 故答案为: , .