当前位置:首页>文档>第28课相似三角形(解答题)(原卷版)_北师大初中数学_9上-北师大版初中数学_05习题试卷_1课时练习_同步练习(第2套)

第28课相似三角形(解答题)(原卷版)_北师大初中数学_9上-北师大版初中数学_05习题试卷_1课时练习_同步练习(第2套)

  • 2026-04-14 14:21:04 2026-04-14 14:21:04

文档预览

第28课相似三角形(解答题)(原卷版)_北师大初中数学_9上-北师大版初中数学_05习题试卷_1课时练习_同步练习(第2套)
第28课相似三角形(解答题)(原卷版)_北师大初中数学_9上-北师大版初中数学_05习题试卷_1课时练习_同步练习(第2套)
第28课相似三角形(解答题)(原卷版)_北师大初中数学_9上-北师大版初中数学_05习题试卷_1课时练习_同步练习(第2套)
第28课相似三角形(解答题)(原卷版)_北师大初中数学_9上-北师大版初中数学_05习题试卷_1课时练习_同步练习(第2套)
第28课相似三角形(解答题)(原卷版)_北师大初中数学_9上-北师大版初中数学_05习题试卷_1课时练习_同步练习(第2套)
第28课相似三角形(解答题)(原卷版)_北师大初中数学_9上-北师大版初中数学_05习题试卷_1课时练习_同步练习(第2套)
第28课相似三角形(解答题)(原卷版)_北师大初中数学_9上-北师大版初中数学_05习题试卷_1课时练习_同步练习(第2套)
第28课相似三角形(解答题)(原卷版)_北师大初中数学_9上-北师大版初中数学_05习题试卷_1课时练习_同步练习(第2套)
第28课相似三角形(解答题)(原卷版)_北师大初中数学_9上-北师大版初中数学_05习题试卷_1课时练习_同步练习(第2套)
第28课相似三角形(解答题)(原卷版)_北师大初中数学_9上-北师大版初中数学_05习题试卷_1课时练习_同步练习(第2套)
第28课相似三角形(解答题)(原卷版)_北师大初中数学_9上-北师大版初中数学_05习题试卷_1课时练习_同步练习(第2套)
第28课相似三角形(解答题)(原卷版)_北师大初中数学_9上-北师大版初中数学_05习题试卷_1课时练习_同步练习(第2套)
第28课相似三角形(解答题)(原卷版)_北师大初中数学_9上-北师大版初中数学_05习题试卷_1课时练习_同步练习(第2套)
第28课相似三角形(解答题)(原卷版)_北师大初中数学_9上-北师大版初中数学_05习题试卷_1课时练习_同步练习(第2套)
第28课相似三角形(解答题)(原卷版)_北师大初中数学_9上-北师大版初中数学_05习题试卷_1课时练习_同步练习(第2套)
第28课相似三角形(解答题)(原卷版)_北师大初中数学_9上-北师大版初中数学_05习题试卷_1课时练习_同步练习(第2套)
第28课相似三角形(解答题)(原卷版)_北师大初中数学_9上-北师大版初中数学_05习题试卷_1课时练习_同步练习(第2套)
第28课相似三角形(解答题)(原卷版)_北师大初中数学_9上-北师大版初中数学_05习题试卷_1课时练习_同步练习(第2套)

文档信息

文档格式
docx
文档大小
1.488 MB
文档页数
14 页
上传时间
2026-04-14 14:21:04

文档内容

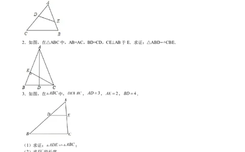
第 28 课 相似三角形(解答题) 课后培优练级 练 培优第一阶——基础过关练 一、解答题 1.如图,D、E分别是AC、AB上的点,△ADE∽△ABC,且DE=8,BC=24,CD=18,AD=6,求AE、 BE的长. 2.如图,在△ABC中,AB=AC,BD=CD,CE⊥AB于E.求证:△ABD∽△CBE. 3.如图,在 中, , , , . (1)求证: ∽ ; (2)求 的长度. 4.如图,平行四边形ABCD中,点E是BC上一线,连接AE,连接DE,F为线段DE上一点,且 ∠AFE=∠B.求证:△ADF∽△DEC; 5.如图所示,在四边形ABCD中,CA是∠BCD的角平分线,且 ,求证:△ABC∽△DAC.6.如图,已知AC⊥AB,BD⊥AB,AO=78cm,BO=42cm,CD=159cm,求CO和DO. 7.如图,点D在△ABC的边AB上,AC2=AD•AB,求证:△ACD∽△ABC. 8.如图,在矩形ABCD中,点E为BC上一点,连接DE,过点A作AF⊥DE于点F,求证: △DEC∽△ADF. 9.在 中,D为 上的一点,E为 延长线上的一点, 交 于F.求证: 10.如图,小明同学用自制的直角三角形纸板DEF测量树的高度AB,他调整自己的位置,设法使斜边DF 保持水平,并且边DE与点B在同一直线上、已知纸板的两条边DF=0.5m,EF=0.3m,测得边DF离地面 的高度AC=1.5m,CD=10m,求树高AB.11.已知,如图,△ABC是等边三角形,点D、E分别在CB、AC的延长线上,∠ADE=60°. 求证:△ABD∽△DCE. 12.如图,∠BAD=∠CAE,∠B=∠D, (1)求证: ; (2)若3AB=2AD,且DE=6,求BC的长. 13.如图,小明用自制的直角三角形纸板DEF测量水平地面,上树AB的高度,已知两直角边 ,他调整自己的姿势和三角形纸板的位置,使斜边DF保持水平,并且边DE与点B在同一 直线上,DM垂直于地面,测得 ,边DF离地面的距离为 ,求树高AB. 14.如图,在矩形ABCD中,E为AD边上的一点,过C点作CF⊥CE交AB的延长线于点F.求证: △CDE∽△CBF;15.如图,已知 .求证: . 16.如图,△ABC是等边三角形,点D,E分别在BC、AC上,且∠ADE=60°,求证:BD•CD=AC•CE. 17.已知:如图,在△ABC中,点D、E分别在边AB、AC上,且∠ABE =∠ACD,BE、CD交于点G. (1)求证:△AED∽△ABC; (2)如果BE平分∠ABC,求证:DE=CE. 18.如图,已知,在平行四边形ABCD中,E为射线CB上一点,联结DE交对角线AC于点F,∠ADE= ∠BAC. (1)求证:CF•CA=CB•CE; (2)如果AC=DE,求证:四边形ABCD是菱形.19.如图,在等边 中,点 是 边上的一个动点(不与点 , 重合),以 为边作等边 , 与 交于点 ,连接 . (1)求证: ; (2)若 ,且 ,求 的面积. 培优第二阶——拓展培优练 一、解答题 1.如图, 和 都是等腰直角三角形, , , ,连接 , ,求 的值. 2.如图,在矩形 中,E是边 的中点, 于点F.(1)求证: . (2)已知 ,求 的长. 3.小明和小刚都是篮球迷,他们常常晚上写完作业后,抽出一点时间到小区附近的室外篮球场打篮球, 小明注意到篮球场两侧有两个一样高的路灯,他想正好可以用所学的知识来测量一下路灯的高度,便设计 出如下的测量方案如图,用 、 两点表示路灯, 、 、 ,小明站在 上的 处.小刚帮他测得他在路灯主照射下的影长 米,在路灯 照射下的影长 米.已知小明的 身高 米,篮球场的宽 米,请根据以上数据计算出路灯的高度( 或 的长). 4.如图所示,在等腰三角形ABC中,AB=AC,点E,F在线段BC上,点Q在线段AB上,且CF=BE, AE²=AQ·AB求证: (1)∠CAE=∠BAF; (2)CF·FQ=AF·BQ 5.已知:如图,在四边形ABCD中, ,点E在边BC上,且 ,作 交线段AE于点F,连接BF.(1)求证: : (2)如果 ,求证: . 6.如图,已知四边形ABCD是矩形,点E在对角线AC上,点F在边CD上(点F与点C、D不重合), BE⊥EF,且∠ABE+∠CEF=45°. (1)求证:四边形ABCD是正方形; (2)连接BD,交EF于点Q,求证:DQ•BC=CE•DF. 7.阅读以下文字并解答问题:在“测量物体的高度”活动中,某数学兴趣小组的3名同学选择了测量学校 里的三棵树的高度,在同一时刻的阳光下,他们分别做了以下工作: 小芳:测得一根长为1米的竹竿的影长为0.8米,甲树的影长为4.08米(如1图). 小华:发现乙树的影子不全落在地面上,有一部分影子落在教学楼的墙壁上(如2图),墙壁上的影长为 1.2米,落在地面上的影长为2.4米. 小明:测得丙树落在地面上的影长为2.4米,落在坡面上影长为3.2米(如3图).身高是1.6米的小明站 在坡面上,影子也都落坡面上,小芳测得他的影长为2米. (1)在横线上直接填写甲树的高度为______米,乙树的高度为________米﹔ (2)请求出丙树的高度. 8.如图,在 中, , , ,动点P从点A开始沿着边AB向点B以 的速度移动(不与点B重合),动点Q从点B开始沿着边BC向点C以 的速度移动(不与点 C重合).若P、Q两点同时移动 .(1)当移动几秒时, 的面积为 . (2)设四边形APQC的面积为 ,当移动几秒时,四边形APQC的面积为 ? (3)当移动几秒时, 与 相似? 9.四边形 ,点 是对角线 上一点,将一个含有 角的三角板的直角顶点与点 重合,使其一 条直角边经过点 ,另一条直角边与 交于点 . (1)如图1,若四边形 是正方形,求证: ;(请用两种方法证明) (2)如图2,若四边形 是矩形,且 , ,猜想 与 之间的数量关系,并证明. 10.在等边 ABC中,D,E分别是AC,BC上的点,且AD=CE,连接BD、AE相交于点F. △ (1)如图1,当 时, =__________; (2)如图2,求证: AFD∽△BAD; (3)如图3,当 △ 时,猜想AF与BF的数量关系,并说明理由. 11.如图1,在 中,对角线DB⊥BC,将△ADB绕点A按逆时针方向旋转得到 ,点E在线段 D′D的延长线上,且 . (1)若旋转角 =94°,求 的度数; (2)如图2,连接B 交DE于点F,求证:DF=EF;(3)在(2)的条件下,若 ,试探究D 与B 的数量关系. 12.如图,在矩形ABCD中,E为AD的中点,EF⊥EC交AB于F,延长FE与直线CD相交于点G,连接 FC(AB>AE). (1)求证:△AEF∽△DCE; (2)△AEF与△ECF是否相似?若相似,证明你的结论;若不相似,请说明理由; (3)设 ,是否存在这样的k值,使得△AEF与△BFC相似?若存在,证明你的结论并求出k的值;若 不存在,请说明理由. 13.如图,四边形ABCD为正方形,且E是边BC延长线上一点,过点B作BF⊥DE于F点,交AC于H 点,交CD于G点. (1)求证:△BGC∽△DGF; (2)求证: ; (3)若点G是DC中点,求 的值. 14.在平面直角坐标系中,四边形OABC是矩形,点 ,点 ,点 .以点O为中心, 顺时针旋转矩形OABC,得到矩形ODEF,点A,B,C的对应点分别为D,E,F,记旋转角为. (1)如图①,当 时,求点D的坐标; (2)如图②,当点E落在OC的延长线上时,求点D的坐标; (3)当点D落在线段AC上时,求点E的坐标(直接写出结果即可). 15.解答 (1)如图1,矩形ABCD中,EF⊥GH,EF分别交AB,CD于点E,F,GH分别交AD,BC于点G,H.求 证: ; (2)如图2,在满足(1)的条件下,点M,N分别在边BC,CD上,若 ,求 的值; (3)如图3四边形ABCD中,∠ABC=90°,AB=AD=10,AM⊥DN,点M,N分别在边BC,AB上,,求 的值. 16.在正方形ABCD中,点E是边BC上的动点(与点B、C不重合),以AE为直角边在直线BC上方作 等腰直角三角形AEF, .(1)如图1,若EF与CD交于点G,连接CF. ①求证: ; ②求 的值; ③若正方形ABCD的边长为1,在点E运动过程中,则以A、D、F为顶点的三角形周长的最小值为 _________; (2)如图2,若AF与CD交于点P,连接BD分别与AE、AF交于点M、N,连接PM.求证: . 培优第三阶——中考沙场点兵 一、解答题 1.(2022·吉林长春·中考真题)如图①、图②、图③均是 的正方形网格,每个小正方形的边长均为 1,其顶点称为格点, 的顶点均在格点上.只用无刻度的直尺,在给定的网格中,按下列要求作图, 保留作图痕迹. (1)网格中 的形状是________; (2)在图①中确定一点D,连结 、 ,使 与 全等: (3)在图②中 的边 上确定一点E,连结 ,使 : (4)在图③中 的边 上确定一点P,在边BC上确定一点Q,连结 ,使 ,且相似比 为1:2. 2.(2022·山东枣庄·中考真题)已知△ABC中,∠ACB=90°,AC=BC=4cm,点P从点A出发,沿AB方 向以每秒 cm的速度向终点B运动,同时动点Q从点B出发沿BC方向以每秒1cm的速度向终点C运 动,设运动的时间为t秒. (1)如图①,若PQ⊥BC,求t的值; (2)如图②,将△PQC沿BC翻折至△P′QC,当t为何值时,四边形QPCP′为菱形? 3.(2022·山东济南·中考真题)如图1,△ABC是等边三角形,点D在△ABC的内部,连接AD,将线段 AD绕点A按逆时针方向旋转60°,得到线段AE,连接BD,DE,CE.(1)判断线段BD与CE的数量关系并给出证明; (2)延长ED交直线BC于点F. ①如图2,当点F与点B重合时,直接用等式表示线段AE,BE和CE的数量关系为_______; ②如图3,当点F为线段BC中点,且ED=EC时,猜想∠BAD的度数,并说明理由. 4.(2022·山东威海·中考真题)回顾:用数学的思维思考 (1)如图1,在△ABC中,AB=AC. ①BD,CE是△ABC的角平分线.求证:BD=CE. ②点D,E分别是边AC,AB的中点,连接BD,CE.求证:BD=CE. (从①②两题中选择一题加以证明) (2)猜想:用数学的眼光观察 经过做题反思,小明同学认为:在△ABC中,AB=AC,D为边AC上一动点(不与点A,C重合).对于 点D在边AC上的任意位置,在另一边AB上总能找到一个与其对应的点E,使得BD=CE.进而提出问 题:若点D,E分别运动到边AC,AB的延长线上,BD与CE还相等吗?请解决下面的问题: 如图2,在 ABC中,AB=AC,点D,E分别在边AC,AB的延长线上,请添加一个条件(不再添加新的 字母),使得BD=CE,并证明. △ (3)探究:用数学的语言表达 如图3,在 ABC中,AB=AC=2,∠A=36°,E为边AB上任意一点(不与点A,B重合),F为边AC延 长线上一点.判断BF与CE能否相等.若能,求CF的取值范围;若不能,说明理由. △ 5.(2022·内蒙古包头·中考真题)如图,在平行四边形 中, 是一条对角线,且 , , , 是 边上两点,点 在点 的右侧, ,连接 , 的延长线与 的延长线 相交于点 .(1)如图1, 是 边上一点,连接 , , 与 相交于点 . ①若 ,求 的长; ②在满足①的条件下,若 ,求证: ; (2)如图2,连接 , 是 上一点,连接 .若 ,且 ,求 的 长. 6.(2022·湖南郴州·中考真题)如图1,在矩形ABCD中, , .点E是线段AD上的动点 (点E不与点A,D重合),连接CE,过点E作 ,交AB于点F. (1)求证: ; (2)如图2,连接CF,过点B作 ,垂足为G,连接AG.点M是线段BC的中点,连接GM. ①求 的最小值; ②当 取最小值时,求线段DE的长.