当前位置:首页>文档>信息必刷卷03(江苏专用)参考答案_02高考数学_2025年新高考资料_2025考前信息卷_2025年高考数学考前信息必刷卷(江苏专用)3430960

信息必刷卷03(江苏专用)参考答案_02高考数学_2025年新高考资料_2025考前信息卷_2025年高考数学考前信息必刷卷(江苏专用)3430960

  • 2026-04-15 00:44:19 2026-04-15 00:44:19

文档预览

信息必刷卷03(江苏专用)参考答案_02高考数学_2025年新高考资料_2025考前信息卷_2025年高考数学考前信息必刷卷(江苏专用)3430960
信息必刷卷03(江苏专用)参考答案_02高考数学_2025年新高考资料_2025考前信息卷_2025年高考数学考前信息必刷卷(江苏专用)3430960
信息必刷卷03(江苏专用)参考答案_02高考数学_2025年新高考资料_2025考前信息卷_2025年高考数学考前信息必刷卷(江苏专用)3430960
信息必刷卷03(江苏专用)参考答案_02高考数学_2025年新高考资料_2025考前信息卷_2025年高考数学考前信息必刷卷(江苏专用)3430960
信息必刷卷03(江苏专用)参考答案_02高考数学_2025年新高考资料_2025考前信息卷_2025年高考数学考前信息必刷卷(江苏专用)3430960
信息必刷卷03(江苏专用)参考答案_02高考数学_2025年新高考资料_2025考前信息卷_2025年高考数学考前信息必刷卷(江苏专用)3430960
信息必刷卷03(江苏专用)参考答案_02高考数学_2025年新高考资料_2025考前信息卷_2025年高考数学考前信息必刷卷(江苏专用)3430960
信息必刷卷03(江苏专用)参考答案_02高考数学_2025年新高考资料_2025考前信息卷_2025年高考数学考前信息必刷卷(江苏专用)3430960
信息必刷卷03(江苏专用)参考答案_02高考数学_2025年新高考资料_2025考前信息卷_2025年高考数学考前信息必刷卷(江苏专用)3430960
信息必刷卷03(江苏专用)参考答案_02高考数学_2025年新高考资料_2025考前信息卷_2025年高考数学考前信息必刷卷(江苏专用)3430960
信息必刷卷03(江苏专用)参考答案_02高考数学_2025年新高考资料_2025考前信息卷_2025年高考数学考前信息必刷卷(江苏专用)3430960

文档信息

文档格式
docx
文档大小
0.354 MB
文档页数
7 页
上传时间
2026-04-15 00:44:19

文档内容

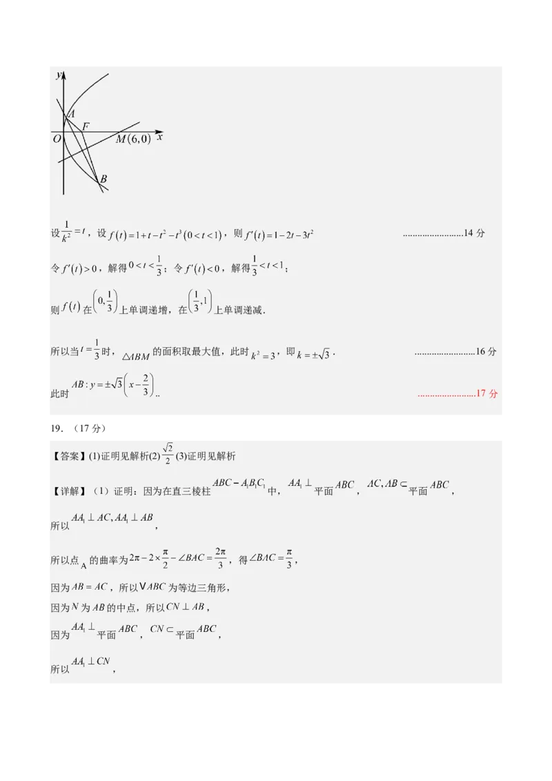
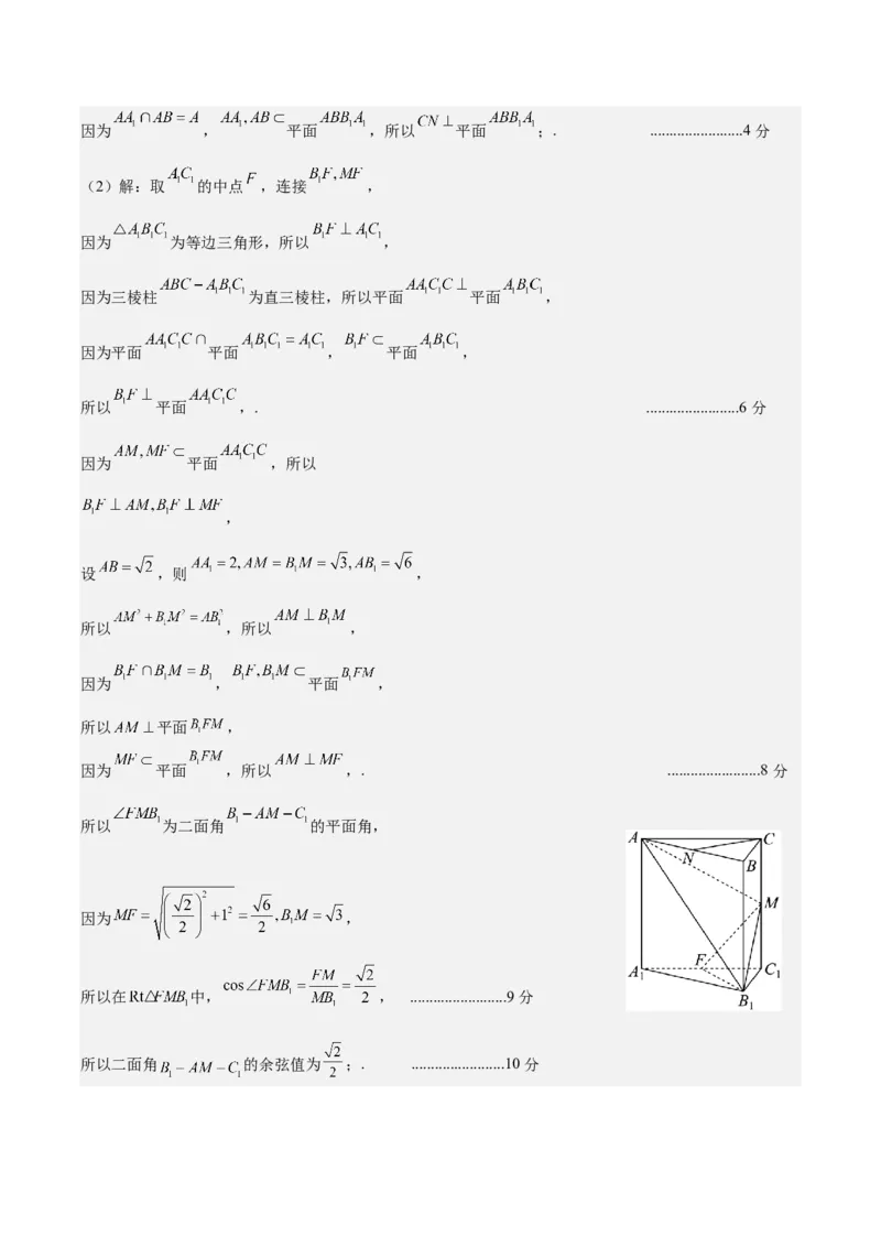
2025 年高考考前信息必刷卷(江苏专用) 数 学·参考答案 一、单项选择题:本题共8小题,每小题5分,共40分.在每小题给出的四个选项中,只有一项是符合题 目要求的. 1 2 3 4 5 6 7 8 C B C D C B D B 二、多项选择题:本题共3小题,每小题6分,共18分.在每小题给出的选项中,有多项符合题目要求, 全部选对的得6分,部分选对的得部分分,有选错的得0分. 9 10 11 ABD ABD BC 三、填空题:本题共3小题,每小题5分,共15分. 12【答案】充分不必要条件 13 【答案】 14【答案】 /5.75 四、解答题:本题共5小题,共77分.解答应写出文字说明、证明过程或演算步骤. 15.(13分)【答案】(1) (2) 【详解】(1)因为 , , 为 的内角,所以 , 因为 ,所以 可化为: , ........................2分 即 ,即 , ............................4分 因为 ,解得: ,即 . ............................6分 (2)由三角形面积公式得 , 代入得: , 所以 , .........................8分由余弦定理 得: , .........................10分 解得: 或 舍去,即 , .........................12分 所以 的周长为 . . ........................13分 16.(15分)【答案】(1)分布列见解析, ;(2) 【详解】(1) 的可能取值为500、1000、1500, .........................1分 其中 , , , . ........................3分 故 的分布列如下: 500 1000 1500 .........................5分 则数学期望为 .. ........................7分 (2)采用有放回方式摸球,每次摸到500元的概率为 ,. .......................8分 每次摸到1000元的概率为 ,每次摸到1500元的概率为 , .........................9分 事件 包含1种情况,即两次均摸到1500元,故 , 故 , .........................10分 事件 包含3种情况,两次均摸到1000元;一次摸到500元,一次摸到1500元;.........................11分 一次摸到1000元,一次摸到1500元; 故 , .........................13分 则 . .........................15分17.(15分) 【答案】(1)奇函数,证明见解析;(2) .成立,即可求结果. 【详解】(1) 为奇函数,证明如下: 由解析式易知 ,函数定义域为 , .........................2分 而 ,故 为奇函数. .........................5分 (2)由 在 上为减函数,而 在定义域上为增函数,......................6分 所以 在 上为减函数,故 ,. ........................8分 要使任意 , ,不等式 恒成立, 只需 在 上恒成立,即 在 上恒成立, .........................10分 由 开口向上,则 , .........................13分 综上, . .........................15分 18.(17分) 【答案】(1) ,抛物线方程为 .(2)证明见解析(3) 【详解】(1)将点 代入抛物线方程,可得 ,解得 ,.........................1分 所以抛物线方程为 ; .........................3分 (2)设直线 的方程为: , 联立方程 ,消去 得 , ,由 ,得 , 由韦达定理得 ,. . .......................6分 根据抛物线定义: ,可得 , 此时 ,解得 或 ,. . ......................7分 设 的中点坐标为 ,则 , 可得 的垂直平分线方程为: , . ..................... 8分 将 代入整理得: , 故 的垂直平分线过定点 ; . ........................9分 (3)由(1)可得 , .........................11分 且点 到直线 的距离 , 则 的面积为 , .........................12分 可得 ,设 ,设 ,则 .........................14分 令 ,解得 ;令 ,解得 ; 则 在 上单调递增,在 上单调递减. 所以当 时, 的面积取最大值,此时 ,即 . .........................16分 此时 .. ........................17分 19.(17分) 【答案】(1)证明见解析(2) (3)证明见解析 【详解】(1)证明:因为在直三棱柱 中, 平面 , 平面 , 所以 , 所以点 的曲率为 ,得 , 因为 ,所以 为等边三角形, 因为 为 的中点,所以 , 因为 平面 , 平面 , 所以 ,因为 , 平面 ,所以 平面 ;. ........................4分 (2)解:取 的中点 ,连接 , 因为 为等边三角形,所以 , 因为三棱柱 为直三棱柱,所以平面 平面 , 因为平面 平面 , 平面 , 所以 平面 ,. ........................6分 因为 平面 ,所以 , 设 ,则 , 所以 ,所以 , 因为 , 平面 , 所以 平面 , 因为 平面 ,所以 ,. ........................8分 所以 为二面角 的平面角, 因为 , 所以在 中, , .........................9分 所以二面角 的余弦值为 ;. ........................10分(3)证明:设多面体有 个面,给组成多面体的多边形编号,分别为 号, 设第 号( )多边形有 条边, 则多面体共有 条棱, 由题意,多面体共有 个顶点, .........................13分 号多边形的内角之和为 , 所以所有多边形的内角之和为 , .........................14分 所以多面体的总曲率为 . ........................15分 .........................17分