当前位置:首页>文档>专练6_2025高中教辅(后续还会更新新习题试卷)_2025高中全科《微专题·小练习》_2025高中全科《微专题小练习》_2025版·微专题小练习·化学

专练6_2025高中教辅(后续还会更新新习题试卷)_2025高中全科《微专题·小练习》_2025高中全科《微专题小练习》_2025版·微专题小练习·化学

  • 2026-04-14 04:31:11 2026-02-02 05:00:31

文档预览

专练6_2025高中教辅(后续还会更新新习题试卷)_2025高中全科《微专题·小练习》_2025高中全科《微专题小练习》_2025版·微专题小练习·化学
专练6_2025高中教辅(后续还会更新新习题试卷)_2025高中全科《微专题·小练习》_2025高中全科《微专题小练习》_2025版·微专题小练习·化学
专练6_2025高中教辅(后续还会更新新习题试卷)_2025高中全科《微专题·小练习》_2025高中全科《微专题小练习》_2025版·微专题小练习·化学
专练6_2025高中教辅(后续还会更新新习题试卷)_2025高中全科《微专题·小练习》_2025高中全科《微专题小练习》_2025版·微专题小练习·化学
专练6_2025高中教辅(后续还会更新新习题试卷)_2025高中全科《微专题·小练习》_2025高中全科《微专题小练习》_2025版·微专题小练习·化学
专练6_2025高中教辅(后续还会更新新习题试卷)_2025高中全科《微专题·小练习》_2025高中全科《微专题小练习》_2025版·微专题小练习·化学
专练6_2025高中教辅(后续还会更新新习题试卷)_2025高中全科《微专题·小练习》_2025高中全科《微专题小练习》_2025版·微专题小练习·化学
专练6_2025高中教辅(后续还会更新新习题试卷)_2025高中全科《微专题·小练习》_2025高中全科《微专题小练习》_2025版·微专题小练习·化学
专练6_2025高中教辅(后续还会更新新习题试卷)_2025高中全科《微专题·小练习》_2025高中全科《微专题小练习》_2025版·微专题小练习·化学

文档信息

文档格式
docx
文档大小
0.142 MB
文档页数
5 页
上传时间
2026-02-02 05:00:31

文档内容

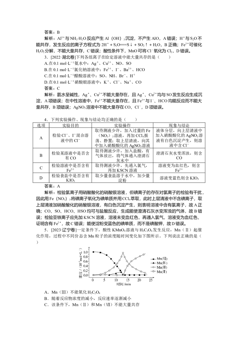
专练 6 离子反应与离子共存 1.[北京卷]使用如图装置(搅拌装置略)探究溶液离子浓度变化,灯光变化不可能出现 “亮→暗(或灭)→亮”现象的是( ) 选项 A B C D 试剂a CuSO NH HCO HSO CHCOOH 4 4 3 2 4 3 试剂b Ba(OH) Ca(OH) Ba(OH) NH ·H O 2 2 2 3 2 答案:D 解析:Ba(OH) 是强电解质,有较强的导电能力,灯光一开始是亮的,向 Ba 2 (OH) 溶液中加入CuSO 溶液,生成Cu(OH) 沉淀和BaSO 沉淀,反应的离子方程式 2 4 2 4 为Cu2++SO+Ba2++2OH-===Cu(OH) ↓+BaSO↓,自由移动的离子迅速减少,故灯 2 4 光会出现由亮到灭的现象,继续加入CuSO 溶液,CuSO 是强电解质,有较强的导电能力, 4 4 使灯光由灭变亮,故灯光会出现由亮到灭再到亮的变化过程,A项不符合题意;Ca(OH) 溶液有较强的导电能力,灯光一开始是亮的,向Ca(OH) 溶液中加入NH HCO 溶液, 2 2 4 3 生成碳酸钙沉淀、弱电解质 NH ·H O 和水,离子方程式为 NH+Ca2++HCO+2OH- 3 2 ===CaCO ↓+HO+NH ·H O,NH ·H O和水是弱电解质,电离能力弱,自由移动的离子 3 2 3 2 3 2 减少,故灯光会出现由亮到暗的变化,继续加入 NH HCO 溶液,NH HCO 是强电解质, 4 3 4 3 有较强的导电能力,灯光由暗变亮,故灯光会出现由亮到暗再到亮的变化过程,B项不符 合题意;向Ba(OH) 溶液中加入HSO ,生成BaSO 沉淀和HO,反应的离子方程式为 2 2 4 4 2 Ba2++2OH-+2H++SO===BaSO ↓+2HO,水是弱电解质,电离程度极小,溶液中几乎 4 2 没有自由移动的离子,故灯光会出现由亮到灭的变化,继续加入HSO ,HSO 是强电解质, 2 4 2 4 有较强的导电能力,灯光由灭变亮,故灯光会出现由亮到灭再到亮的变化过程,C项不符 合题意;NH ·H O是弱电解质,导电能力较弱,一开始灯光是暗的,滴加 CHCOOH溶液 3 2 3 反应生成醋酸铵和水,醋酸铵是强电解质,反应的离子方程式为 CHCOOH+ 3 NH ·H O===CH COO-+NH+HO,所以导电能力增强,灯光变亮,不会出现变暗现象, 3 2 3 2 D项符合题意。 2.[湖南卷]对下列粒子组在溶液中能否大量共存的判断和分析均正确的是( ) 粒子组 判断和分析 不能大量共存,因发生反应:Al3++ A Na+、Al3+、Cl-、NH ·H O 3 2 4NH ·H O===AlO+4NH+2HO 3 2 2 不能大量共存,因发生反应:2H++ B H+、K+、SO、SO 2 SO===S↓+SO ↑+HO 2 2 2 C Na+、Fe3+、SO、HO 能大量共存,粒子间不反应 2 2 D H+、Na+、Cl-、MnO 能大量共存,粒子间不反应答案:B 解析:Al3+与NH ·H O反应产生Al(OH) 沉淀,不产生AlO,A错误;H+与SO不 3 2 3 2 能共存,发生反应的离子方程式为2H++SO===S↓+SO ↑+HO,B正确;Fe3+可催化 2 2 2 HO 分解,不能大量共存,C错误;酸性条件下,MnO可将Cl-氧化为Cl,D错误。 2 2 2 3.[2022·湖北卷]下列各组离子在给定溶液中能大量共存的是( ) A.在0.1 mol·L-1氨水中:Ag+、Cu2+、NO、SO B.在0.1 mol·L-1氯化钠溶液中:Fe3+、I-、Ba2+、HCO C.在0.1 mol·L-1醋酸溶液中:SO、NH、Br-、H+ D.在0.1 mol·L-1硝酸银溶液中:K+、Cl-、Na+、CO 答案:C 解析:氨水呈碱性,Ag+、Cu2+不能大量存在,且Ag+、Cu2+均与SO发生反应生成沉 淀,A项错误;在中性溶液中,Fe3+不能大量存在,且Fe3+与I-、HCO均能反应而不能大 量共存,B项错误;AgNO 溶液中不能大量存在CO、Cl-,D项错误。 3 4.下列实验操作、现象与结论均正确的是( ) 选项 实验目的 实验操作 现象与结论 取待测液少许,加入过量的Fe 液体分层,向上层清液中 检验Cl-、I-混合溶 (NO ) 溶液,再加CCl 振 加入硝酸酸化的AgNO 溶 A 3 3 4 3 液中的Cl- 荡、静置;取上层清液,向其 液有白色沉淀产生,则溶 中加入硝酸酸化的AgNO 溶液 液中含Cl- 3 取待测液少许,加入盐酸,有 检验某溶液中是否含 澄清石灰水变浑浊,则含 B 气体放出,将气体通入澄清石 有CO CO 灰水中 检验溶液中是否含有 取待测液少许,先通入氯气, 溶液变为血红色,则含 C Fe2+ 再加KSCN溶液 Fe2+ 检验食盐中是否含有 取少量食盐溶于水中,加少量 D 溶液变蓝色则含KIO KIO 淀粉 3 3 答案:A 解析:检验氯离子用硝酸酸化的硝酸银溶液,但碘离子的存在对氯离子的检验有干扰, 因此用Fe(NO ) 将碘离子氧化为碘单质并用CCl 萃取,此时上层清液中不含碘离子,取 3 3 4 上层清液加硝酸酸化的硝酸银溶液,有白色沉淀产生,则表明溶液中含有氯离子,故A正 确;CO、SO、HCO、HSO均可与盐酸反应,生成能使澄清石灰水变浑浊的气体,故B错 误;检验亚铁离子应先加KSCN溶液,溶液未变血红色,再通入氯气,溶液变为血红色, 证明含有Fe2+,故C错误;能使淀粉变蓝色的碘单质,而不是碘酸钾,故D错误。 5.[2023·辽宁卷]一定条件下,酸性KMnO 溶液与HC O 发生反应,Mn(Ⅱ)起催 4 2 2 4 化作用,过程中不同价态含Mn粒子的浓度随时间变化如下图所示。下列说法正确的是( ) A.Mn(Ⅲ)不能氧化HC O 2 2 4 B.随着反应物浓度的减小,反应速率逐渐减小 C.该条件下,Mn(Ⅱ)和Mn(Ⅶ)不能大量共存D.总反应为:2MnO+5C O+16H+===2Mn2++10CO↑+8HO 2 2 2 答案:C 解析:开始一段时间(大约13 min前)随着时间的推移Mn(Ⅶ)浓度减小直至为0, Mn(Ⅲ)浓度增大直至达到最大值,结合图像,此时间段主要生成Mn(Ⅲ),同时先生 成少量Mn(Ⅳ)后Mn(Ⅳ)被消耗;后来(大约13 min后)随着时间的推移Mn(Ⅲ) 浓度减少,Mn(Ⅱ)的浓度增大;据此作答。 由图像可知,随着时间的推移Mn(Ⅲ)的浓度先增大后减小,说明开始反应生成Mn (Ⅲ),后Mn(Ⅲ)被消耗生成Mn(Ⅱ),Mn(Ⅲ)能氧化HC O ,A项错误;随着 2 2 4 反应物浓度的减小,到大约13 min时开始生成Mn(Ⅱ),Mn(Ⅱ)对反应起催化作用, 13 min后反应速率会增大,B项错误;由图像可知,Mn(Ⅶ)的浓度为0后才开始生成 Mn(Ⅱ),该条件下Mn(Ⅱ)和Mn(Ⅶ)不能大量共存,C项正确;HC O 为弱酸,在 2 2 4 离子方程式中应以化学式保留,总反应为 2MnO+5HC O +6H+===2Mn2++10CO↑+ 2 2 4 2 8HO,D项错误;答案选C。 2 6.[2024·哈尔滨师大附中高三月考]常温下,下列各组离子在指定溶液中能大量共存的 是( ) A.无色透明的溶液中:Fe3+、Mg2+、SCN-、Cl- B.=1×10-12的溶液中:K+、Na+、CO、NO C.c(Fe2+)=1 mol·L-1的溶液中:K+、NH、MnO、SO D.能使甲基橙变红的溶液中:Na+、NH、SO、HCO 答案:B 解析:Fe3+和SCN-会发生反应生成血红色的配合物,A错误;根据K 可以求出c w (OH-)=0.1 mol·L-1,溶液显碱性,这4种离子可以大量共存,B正确;Fe2+还原性较强, MnO氧化性较强,两者因发生氧化还原反应而不能大量共存,C错误;使甲基橙变红的溶 液显酸性,HCO不能在酸性溶液中大量共存,D错误。 7.下列有关NaClO和NaCl混合溶液(已知该混合溶液呈碱性)的叙述正确的是( ) A.该溶液中, H+、NH、SO、Br-可以大量共存 B.该溶液中, Ag+、K+、NO可以大量共存 C.向该溶液中滴入少量FeSO 溶液,反应的离子方程式为:2Fe2++ClO-+2H+===Cl 4 -+2Fe3++HO 2 D.向该溶液中加入浓盐酸,每产生1 mol Cl ,转移电子约为6.02×1023个 2 答案:D 解析:H+与ClO-不能大量共存,且在酸性条件下, Br-可被ClO-氧化,A项错误; Ag+与Cl-不能大量共存,B项错误; NaClO和NaCl的混合溶液呈碱性,反应物中不应出 现H+,C项错误;该反应是ClO-与Cl-在酸性条件下发生的归中反应,D项正确。 8.制备(NH ) Fe(SO ) ·6H O的实验中,需对过滤出产品的母液(pH<1)进行 4 2 4 2 2 处理。常温下,分别取母液并向其中加入指定物质,反应后的溶液中主要存在的离子组合 正确的是( ) A.通入过量Cl:Fe3+、H+、NH、Cl-、SO 2 B.加入过量NaClO溶液:NH、Fe2+、H+、SO、ClO- C.加入过量NaClO溶液:Na+、SO、Cl-、ClO-、H+ D.加入过量NaOH溶液:Na+、Fe2+、NH、SO、OH- 答案:A 解析:根据信息可知,母液中主要存在的离子有NH、Fe2+、H+、SO。通入过量Cl, 2Cl 具有较强的氧化性,能将Fe2+氧化成Fe3+,同时得到Cl-,反应后溶液中的离子可共存 2 故A正确;加入过量NaClO溶液,ClO-在酸性条件下,能将Fe2+氧化成Fe3+,同时生成 Cl-,所以反应后的溶液中不存在Fe2+,故B错误;加入过量NaClO溶液,过量的ClO-部 分水解生成次氯酸和OH-,OH-消耗NH和H+,结合B项中的分析,反应后的溶液中存 在Na+、SO、Cl-、ClO-、OH-,故C错误;加入过量NaOH溶液,Fe2+与OH-反应生成 氢氧化亚铁沉淀,NH与OH-反应生成一水合氨,则Fe2+、NH不存在,故D错误。 9.下列离子或分子组中,在相应的环境中一定能大量共存的是( ) 选项 环境要求 离子或分子 A Al (SO ) 溶液中 K+、AlO、Cl-、NO 2 4 3 B 滴加石蕊溶液显蓝色的溶液中 Na+、K+、SO、S2- C 水电离产生的c(OH-)=10-12 mol·L-1的溶液 ClO-、CO、NH、K+ D 氯气中 O、NH 、CO、HCl 2 3 2 答案:B 解析:Al (SO ) 溶液中,AlO与Al3+发生相互促进水解反应,在溶液中不能大量共 2 4 3 存,故A错误;S2-、SO在碱性溶液中不发生氧化还原反应,在溶液中能大量共存,故 B 正确;水电离产生的c(OH-)=10-12 mol·L-1的溶液中存在大量H+或OH-,CO、ClO- 均与H+反应,NH与OH-反应,在溶液中不能大量共存,故C错误;NH 与HCl相遇立即 3 生成NH Cl,且在常温下NH 也能被Cl 氧化为N,故D错误。 4 3 2 2 10.某强碱性溶液中,只含有K+、NH、Al3+、AlO、CO、SiO、Cl-中的某几种离子, 现进行如下实验:①取少量溶液用硝酸酸化后,该溶液无沉淀生成;②另取一定量原溶液 逐滴加入盐酸至过量,发生的现象是:开始产生沉淀并逐渐增多,而后产生一种气体,最 后沉淀逐渐减少至全部溶解。③另取一定量的原溶液,加入5 mL 0.2 mol·L-1盐酸,沉淀会 完全消失,再继续加入足量的硝酸银溶液可得到沉淀 0.287 g。下列说法一定正确的是( ) A.原溶液中含有Al3+、CO、Cl- B.无法确定原溶液中是否含有Cl-和K+ C.原溶液中含有Al3+、CO、Cl- D.原溶液中一定不含Al3+、NH 答案:D 解析:通过信息①判断出溶液中不含SiO,通过信息②判断出溶液中含有AlO、CO, 则溶液中一定不含 Al3+,通过信息③判断出:盐酸提供的 n(Cl-)=0.001 mol,n (AgCl)=mol=0.002 mol,所以原溶液中含有Cl-,D正确。 11.[设题创新]某化工企业排放的废水中可能存在大量下表所列离子。取该废水样品 100 mL,往废水样品中逐滴加入1 mol·L-1 NaOH溶液,生成沉淀的物质的量(n)与加入 NaOH溶液的体积(V)的关系如图所示。则下列说法正确的是( ) 阳离子 H+、K+、Mg2+、Al3+、NH、Fe2+、Fe3+ 阴离子 Cl-、Br-、I-、CO、AlO A.该废水样品中一定不含的阴离子是CO、AlO,肯定含有Cl-、Br-、I-中的一种B.该废水样品中一定含有的阳离子是Al3+、H+、NH、Mg2+、Fe2+、Fe3+,可能含有 K+ C.该废水样品中n(H+)∶n(NH)∶n(Al3+)=V∶(V-V)∶(V-V) 1 3 2 2 1 D.若V =10、V =40、V =70,则废水样品中n(H+)∶n(NH)∶n(Al3+)= 1 2 4 1∶3∶1 答案:A 解析:向废水样品中不断加入NaOH溶液的过程中,开始时无沉淀产生,然后沉淀逐 渐增多,BC段沉淀量不变,最后沉淀全部溶解,说明溶液中存在H+、NH、Al3+,肯定不 存在CO、AlO、Fe2+、Fe3+、Mg2+,根据溶液呈电中性原则知,废水中至少含有Cl-、Br -、I-中的一种。根据图中沉淀变化曲线知,n(H+)∶n(NH)∶n(Al3+)=V∶(V - 1 3 V)∶,若V=10,V=40,V=70,则有n(H+)∶n(NH)∶n(Al3+)=1∶2∶1。 2 1 2 4 12.[2024·湖北恩施月考]某溶液中可能存在Na+、Al3+、Fe2+、NH、NO、CO、SO中 的若干种离子,且各离子的物质的量相同。取该溶液进行如下实验: 下列判断正确的是( ) A.A是CO,B是NH 2 3 B.白色沉淀一定是Al(OH) 3 C.溶液中一定存在Al3+、Fe2+、NO、NH D.溶液中一定不存在Na+ 答案:D 解析:向溶液中加入过量稀盐酸生成气体A,溶液中可能存在CO或同时存在Fe2+和 NO,二者发生氧化还原反应生成NO,溶液Ⅰ中加入过量氢氧化钡生成气体B,应为氨气, 则原溶液中存在NH,有白色沉淀产生,应为氢氧化铁,则原溶液中含有Fe2+、NO,不存 在CO,气体A应是NO;存在的各离子具有相同的物质的量,根据溶液呈电中性可知,溶 液中还存在SO,不含Na+、Al3+;由以上分析可知,A为NO,A错误;溶液Ⅱ呈碱性, 生成的白色沉淀应为碳酸钡,B错误;溶液中不存在Al3+,C错误;溶液中不含Na+、Al3 +,D正确。