文档
办公文件
生活文档
学习资料
当前位置:
首页
>
文档
>新疆乌鲁木齐地区2025年高三年级第一次质量监测数学答案_2025年1月_250123新疆乌鲁木齐地区2025年高三年级第一次质量监测
新疆乌鲁木齐地区2025年高三年级第一次质量监测数学答案_2025年1月_250123新疆乌鲁木齐地区2025年高三年级第一次质量监测
2026-04-09 22:14:54
2026-02-11 07:07:46
文档预览
文档信息
文档格式
pdf
文档大小
0.447 MB
文档页数
3 页
上传时间
2026-02-11 07:07:46
下载文档
文档内容
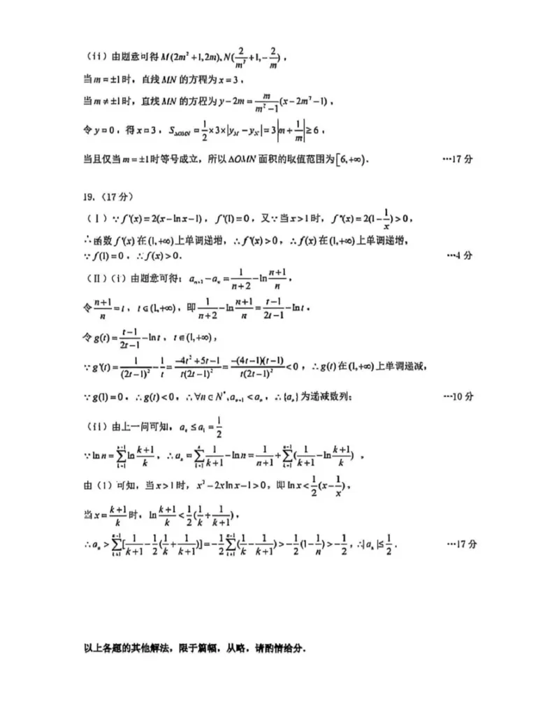
{#{QQABaYSEgggoAAIAARgCAQGwCECQkACAAagOAFAUIAAASRNABAA=}#}{#{QQABaYSEgggoAAIAARgCAQGwCECQkACAAagOAFAUIAAASRNABAA=}#}{#{QQABaYSEgggoAAIAARgCAQGwCECQkACAAagOAFAUIAAASRNABAA=}#}
本文档来自网络内容,如有侵犯您的权益请联系我们删除,联系邮箱:wyl860211@qq.com。
上一篇
广东省衡水金卷26届高三上学期八月份联考英语试卷+答案_2025年8月_250827广东省衡水金卷2026届高三8月开学联考
下一篇
32023年《腾远高考黑白卷》-答题卡(英语)_2023高考押题卷_腾远黑白卷(官方只发售理科及新高考版本)_理科版_2023年《腾远高考黑白卷》英语(全国版)
最新文档
重难点08解三角形(5种题型)(原卷版)_02高考数学_新高考复习资料_2024年新高考资料_一轮复习资料_一轮复习讲义2024年高考数学复习全程规划(新高考)_重难点精讲
重难点08导数常考经典压轴小题全归类十大题型(举一反三)(新高考专用)(原卷版)_02高考数学_2025年新高考资料_二轮复习_二、重难点突破篇
重难点08完形填空说明文-2024年高考英语热点·重点·难点专练(新高考专用)(解析版)_03高考英语_新高考复习资料_2024年新高考资料_专项复习资料_重点难点练
重难点08完形填空说明文-2024年高考英语热点·重点·难点专练(新高考专用)(原卷版)-副本_03高考英语_新高考复习资料_2024年新高考资料_专项复习资料_重点难点练
专题11导数在不等式.恒等式和零点问题综合应用(原卷版)_新高考复习资料_2023年新高考资料_二轮复习_高频考点解密2023年高考数学二轮复习讲义+分层训练(新高考专用)
重难点突破01抽象函数模型归纳总结(八大题型)(解析版)_2025年新高考资料_一轮复习_2025年高考数学一轮复习讲练测(新教材新高考,含2024高考真题)_第二章函数与基本初等函数
重难点08中国特色社会主义道路的开创与发展(解析版)_07高考历史_新高考复习资料_2024年新高考复习资料_专项复习资料_❤2024年高考历史热点·重点·难点专练(新高考专用)
重难点08中国特色社会主义道路的开创与发展(解析版)_07高考历史_2024年新高考资料_3.2024专项复习_2024年高考历史热点·重点·难点专练(新高考专用)
专题11复数与算法初步(文理)-2023年高考数学一轮复习小题多维练(全国通用)(解析版)_通用版(老高考)复习资料_2023年复习资料_一轮复习
重难点08中国特色社会主义道路的开创与发展(原卷版)_07高考历史_新高考复习资料_2024年新高考复习资料_专项复习资料_❤2024年高考历史热点·重点·难点专练(新高考专用)
热门文档
重难点08中国特色社会主义道路的开创与发展(原卷版)_07高考历史_2024年新高考资料_3.2024专项复习_2024年高考历史热点·重点·难点专练(新高考专用)
重难点07新民主主义革命的伟大征程(高清导图)_07高考历史_2024年新高考资料_3.2024专项复习_2024年高考历史热点·重点·难点专练(新高考专用)
解密05万有引力与航天(原卷版)-高频考点解密2021年高考物理二轮复习讲义+分层训练_04高考物理_新高考复习资料_2021年新高考资料
重难点07新民主主义革命的伟大征程(解析版)_07高考历史_新高考复习资料_2024年新高考复习资料_专项复习资料_❤2024年高考历史热点·重点·难点专练(新高考专用)
解密04曲线运动(解析版)-高频考点解密2021年高考物理二轮复习讲义+分层训练_04高考物理_新高考复习资料_2021年新高考资料_高频考点解密2021年高考物理二轮复习讲义+分层训练
重难点07新民主主义革命的伟大征程(解析版)_07高考历史_2024年新高考资料_3.2024专项复习_2024年高考历史热点·重点·难点专练(新高考专用)
解密04曲线运动(原卷版)-高频考点解密2021年高考物理二轮复习讲义+分层训练_04高考物理_新高考复习资料_2021年新高考资料_高频考点解密2021年高考物理二轮复习讲义+分层训练
重难点07新民主主义革命的伟大征程(原卷版)_07高考历史_新高考复习资料_2024年新高考复习资料_专项复习资料_❤2024年高考历史热点·重点·难点专练(新高考专用)
重难点突破01抽象函数模型归纳总结(八大题型)(原卷版)_2025年新高考资料_一轮复习_2025年高考数学一轮复习讲练测(新教材新高考,含2024高考真题)_第二章函数与基本初等函数
解密03牛顿运动定律(解析版)-高频考点解密2021年高考物理二轮复习讲义+分层训练_04高考物理_新高考复习资料_2021年新高考资料
随机文档
重难点07新民主主义革命的伟大征程(原卷版)_07高考历史_2024年新高考资料_3.2024专项复习_2024年高考历史热点·重点·难点专练(新高考专用)
重难点07完形填空夹叙夹议-2024年高考英语热点·重点·难点专练(新高考专用)(解析版)_03高考英语_新高考复习资料_2024年新高考资料_专项复习资料_重点难点练
解密03牛顿运动定律(原卷版)-高频考点解密2021年高考物理二轮复习讲义+分层训练_04高考物理_新高考复习资料_2021年新高考资料
解密02相互作用(解析版)-备战2021年高考物理高频考点解密_04高考物理_新高考复习资料_2021年新高考资料_高频考点解密2021年高考物理二轮复习讲义+分层训练
重难点07完形填空夹叙夹议-2024年高考英语热点·重点·难点专练(新高考专用)(原卷版)_03高考英语_新高考复习资料_2024年新高考资料_专项复习资料_重点难点练
重难点突破01奔驰定理与四心问题(五大题型)(解析版)_2025年新高考资料_一轮复习_2025年高考数学一轮复习讲练测(新教材新高考,含2024高考真题)_第五章平面向量与复数
重难点07三角函数的图像与性质(4种考向)(解析版)_02高考数学_新高考复习资料_2024年新高考资料_一轮复习资料_一轮复习讲义2024年高考数学复习全程规划(新高考)_重难点精讲
解密02相互作用(原卷版)-备战2021年高考物理高频考点解密_04高考物理_新高考复习资料_2021年新高考资料_高频考点解密2021年高考物理二轮复习讲义+分层训练
解密01质点的直线运动(解析版)-备战2021年高考物理高频考点解密_04高考物理_新高考复习资料_2021年新高考资料_高频考点解密2021年高考物理二轮复习讲义+分层训练
重难点07三角函数的图像与性质(4种考向)(原卷版)_02高考数学_新高考复习资料_2024年新高考资料_一轮复习资料_一轮复习讲义2024年高考数学复习全程规划(新高考)_重难点精讲