当前位置:首页>文档>数学试卷19题背景解析_8月_2408122024年8月第三届「鱼塘杯」高考适应性练习_2024年8月第三届「鱼塘鸽子杯」高考适应性练习数学试卷+答题卡+参考答案与评分标准-3

数学试卷19题背景解析_8月_2408122024年8月第三届「鱼塘杯」高考适应性练习_2024年8月第三届「鱼塘鸽子杯」高考适应性练习数学试卷+答题卡+参考答案与评分标准-3

  • 2026-03-22 18:53:26 2026-02-14 06:15:25

文档预览

数学试卷19题背景解析_8月_2408122024年8月第三届「鱼塘杯」高考适应性练习_2024年8月第三届「鱼塘鸽子杯」高考适应性练习数学试卷+答题卡+参考答案与评分标准-3
数学试卷19题背景解析_8月_2408122024年8月第三届「鱼塘杯」高考适应性练习_2024年8月第三届「鱼塘鸽子杯」高考适应性练习数学试卷+答题卡+参考答案与评分标准-3
数学试卷19题背景解析_8月_2408122024年8月第三届「鱼塘杯」高考适应性练习_2024年8月第三届「鱼塘鸽子杯」高考适应性练习数学试卷+答题卡+参考答案与评分标准-3
数学试卷19题背景解析_8月_2408122024年8月第三届「鱼塘杯」高考适应性练习_2024年8月第三届「鱼塘鸽子杯」高考适应性练习数学试卷+答题卡+参考答案与评分标准-3
数学试卷19题背景解析_8月_2408122024年8月第三届「鱼塘杯」高考适应性练习_2024年8月第三届「鱼塘鸽子杯」高考适应性练习数学试卷+答题卡+参考答案与评分标准-3
数学试卷19题背景解析_8月_2408122024年8月第三届「鱼塘杯」高考适应性练习_2024年8月第三届「鱼塘鸽子杯」高考适应性练习数学试卷+答题卡+参考答案与评分标准-3
数学试卷19题背景解析_8月_2408122024年8月第三届「鱼塘杯」高考适应性练习_2024年8月第三届「鱼塘鸽子杯」高考适应性练习数学试卷+答题卡+参考答案与评分标准-3
数学试卷19题背景解析_8月_2408122024年8月第三届「鱼塘杯」高考适应性练习_2024年8月第三届「鱼塘鸽子杯」高考适应性练习数学试卷+答题卡+参考答案与评分标准-3
数学试卷19题背景解析_8月_2408122024年8月第三届「鱼塘杯」高考适应性练习_2024年8月第三届「鱼塘鸽子杯」高考适应性练习数学试卷+答题卡+参考答案与评分标准-3
数学试卷19题背景解析_8月_2408122024年8月第三届「鱼塘杯」高考适应性练习_2024年8月第三届「鱼塘鸽子杯」高考适应性练习数学试卷+答题卡+参考答案与评分标准-3
数学试卷19题背景解析_8月_2408122024年8月第三届「鱼塘杯」高考适应性练习_2024年8月第三届「鱼塘鸽子杯」高考适应性练习数学试卷+答题卡+参考答案与评分标准-3
数学试卷19题背景解析_8月_2408122024年8月第三届「鱼塘杯」高考适应性练习_2024年8月第三届「鱼塘鸽子杯」高考适应性练习数学试卷+答题卡+参考答案与评分标准-3

文档信息

文档格式
pdf
文档大小
3.702 MB
文档页数
12 页
上传时间
2026-02-14 06:15:25

文档内容

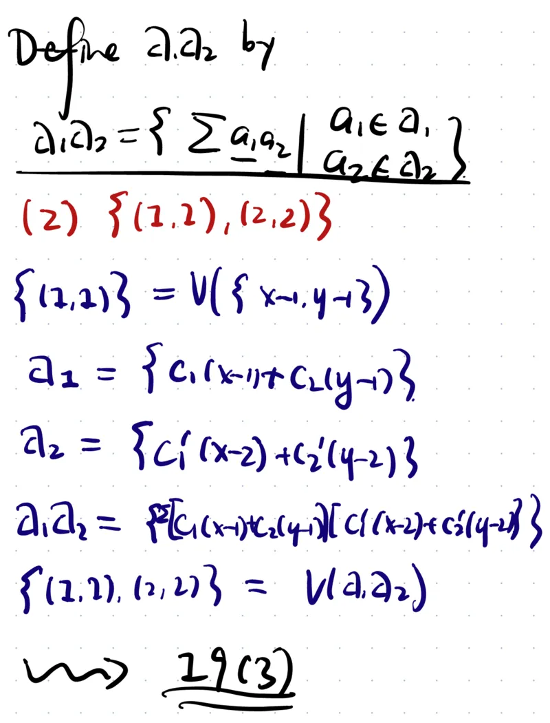
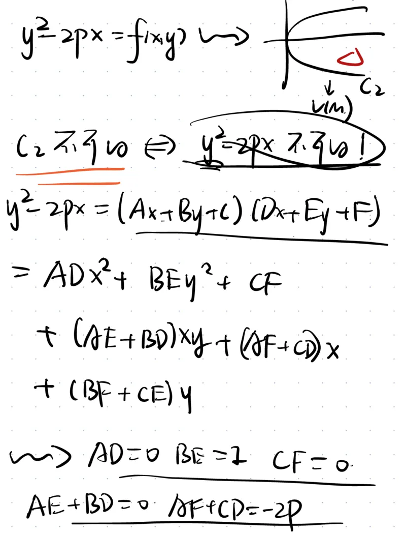
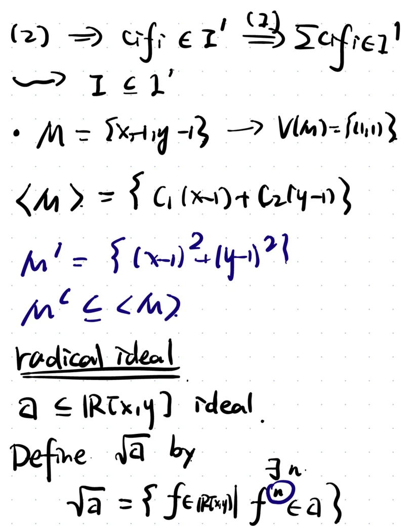
3k.ME EiIRTx.YJ EE K E3 VkTh taf.IE EEESI I I III L.ua IIII 4EEEeed t.at IRIKY tetrafft 12211911 R Ray HEE EΔ S V HAD M 1 in 1km3 MUM x 1 1 1 23 y y if are If 3K ZEAA.toF As Pf Hilbert 1bnE.EE 2T a.IE a S a V a Ils I s 44 a MIEKEto 47 a IRTX As Def IRExy y 42tKF kb.FI Be III 7 7 9 gixiysea.fix.yitglx.gs fix.gs i ties II 7g Be 29 A 1744145 of M I IRTX.gs 37 5MfhAI IN as ECifilfiEM.GE I Rtxiy I M.ms I 22 Cifi EI Icific I 2 Vm fun M Extly 13 M 41 1 6214 11 1121 1 11214 M cm M radicalided ideal Rtx a y A by Define n Ta fertill f aideal Tae Claim Ray a D V a VIA Fat s Rings H isiNulstee closed algebraic a EIRTx.pl a a IRB S TI via I fix f no ES 2 x y3128312 I FBI 5 RTXY 1115 2157 closed S 29131 algebraic S GUGU 10201 V H Eo U algebraic In fact.SI closedS VlaDSz V1az VEEI SiUS7.2 by Define 9iE2 9 Ea.az 212 dear 2.2 12,2 2 V 12.213 5 1.3 1.4 as c 14 17 May Az Ci X 2 214 2 aid FQ nltcicx 4 zltc.ly nay V12.22 12.2 12127 291EE HHhG.GB.at closed Def 4.7 T algebraic SEIRE.EE to.ba subset 2.34 42 Si Sz dosed algebraic 5 5 use s Si Ste IR n y S li 7 I li.dz algebraic closed S is² ² Zy a as IX Tish 73 s 7 m 25 T 363 Fb 2 a y EF E IEProf S T.TK Be 123 4 FEEDS 115 43 Def A IRTx.gs II1IBAG3tfgef fee gap Ea t.UA nM If 5fixy M7 but cflcEIRIxiy IF.EE fixiyisfbltb HI a 1k IE 7,3 is IT UFI WMR2 E ME BRIEF II ytzpx fix.gs C2 2 27 1227 2761 is yZ2px AX.tl c IDxTEytF y ADR BEy CF CAE BDIXY AF CD X BF CE Y AD BE D L m CF 0 AEtBD O.AT ZP224 ANF BEEF 7 is y apr E Ca 43 at 42 300 C H B Equa 27ns Hh 3h to B y x 725 Xy y