壁纸
办公文件
生活文档
学习资料
当前位置:
首页
>
文档
>数学答案_2024年3月_013月合集_2024届重庆市(康德卷)高考模拟调研卷(三)_2024届重庆市(康德卷)普通高等学校招生全国统一考试高考模拟调研卷(三)数学试题
数学答案_2024年3月_013月合集_2024届重庆市(康德卷)高考模拟调研卷(三)_2024届重庆市(康德卷)普通高等学校招生全国统一考试高考模拟调研卷(三)数学试题
2026-02-17 01:37:41
2026-02-17 01:08:20
文档预览
文档信息
文档格式
pdf
文档大小
0.121 MB
文档页数
2 页
上传时间
2026-02-17 01:08:20
下载文档
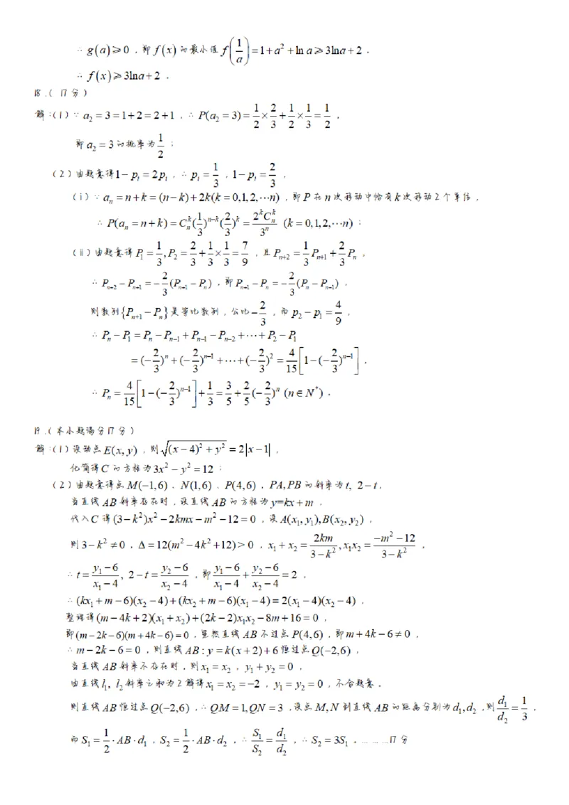
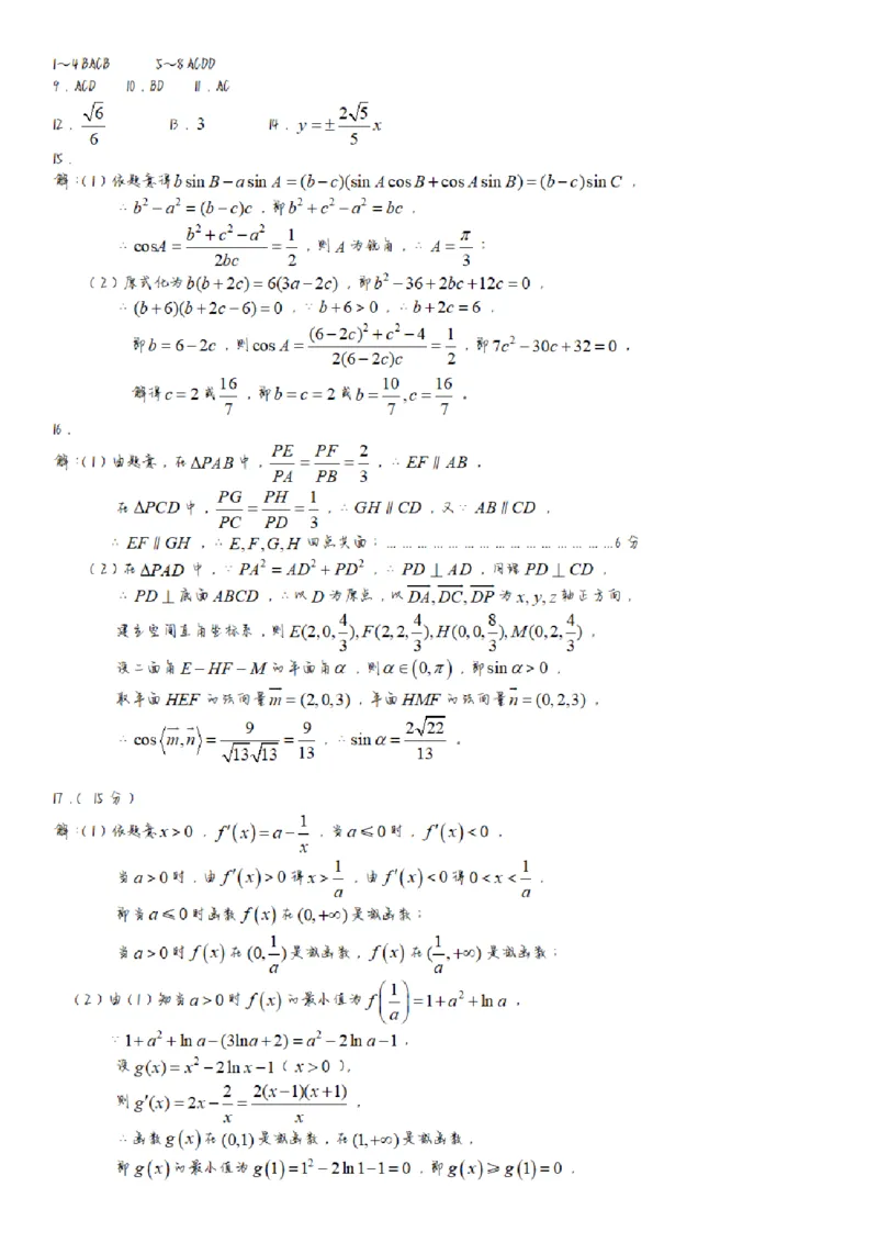
文档内容
{#{QQABDYAAogCgAAIAAQgCAw3YCACQkACCCCoGAAAEoAAAyRFABCA=}#}{#{QQABDYAAogCgAAIAAQgCAw3YCACQkACCCCoGAAAEoAAAyRFABCA=}#}
提示
本文档需要支付0.99元
购买此文档
提示
为了保护文档版权,请下载文档后查看完整内容
下载文档
关闭
本文档来自网络内容,如有侵犯您的权益请联系我们删除,联系邮箱:wyl860211@qq.com。
上一篇
数学答案_2024年3月_013月合集_2024届辽宁省协作校高三下学期第一次模拟考试_辽宁省协作校2024届高三下学期第一次模拟考试数学
下一篇
数学答案_2024年3月_02按日期_14号_2024届河南省普通高中毕业班高考适应性测试3月_2024届河南省普通高中毕业班高考适应性测试3月-数学试题
最新文档
新结构19题模式2024届雅礼中学高三一模数学试卷+答案(1)_2024年3月_013月合集_2024届新高考19题(九省联考模式)数学合集140套
新结构19题模式2024届贵阳一模数学试题+答案(1)_2024年3月_013月合集_2024届新高考19题(九省联考模式)数学合集140套
新结构19题模式2024届广州天河区高三毕业班综合测试(二)数学试卷(1)_2024年3月_013月合集_2024届新高考19题(九省联考模式)数学合集140套
新疆维吾尔自治区2024年一模英语_2024年3月_013月合集_2024届新疆维吾尔自治区高三下学期第一次适应性_2024届新疆维吾尔自治区高三下学期第一次适应性英语
新疆维吾尔自治区2024年一模理综_2024年3月_013月合集_2024届新疆维吾尔自治区高三下学期第一次适应性_2024届新疆维吾尔自治区高三下学期第一次适应性理综
新疆维吾尔自治区2024年一模文综_2024年3月_013月合集_2024届新疆维吾尔自治区高三下学期第一次适应性_2024届新疆维吾尔自治区高三下学期第一次适应性文综
新疆维吾尔自治区2024年一模数学_2024年3月_013月合集_2024届新疆维吾尔自治区高三下学期第一次适应性_2024届新疆维吾尔自治区高三下学期第一次适应性数学
新疆维吾尔自治区2024届高三第二次适应性检测数学试题(1)_2024年4月_024月合集_2024届新疆维吾尔自治区高三第二次适应性检测
新疆乌鲁木齐市2024届高三上学期第一次质量监测生物(1)_2024年2月_022月合集_2024届新疆乌鲁木齐市高三上学期第一次质量监测
新疆乌鲁木齐市2024届高三上学期第一次质量监测物理(1)_2024年2月_022月合集_2024届新疆乌鲁木齐市高三上学期第一次质量监测
热门文档
新疆乌鲁木齐市2024届高三上学期第一次质量监测数学(1)_2024年2月_022月合集_2024届新疆乌鲁木齐市高三上学期第一次质量监测
新疆乌鲁木齐地区2024年高三年级第三次质量(三模)文科综合_2024年4月_01按日期_30号_2024届新疆乌鲁木齐地区高三下学期第三次质量监测
新疆乌鲁木齐地区2024届高三第二次质量监测数学试题_2024年3月_013月合集_2024届新疆区乌鲁木齐高三下学期第二次质量监测_2024届新疆乌鲁木齐高三下学期第二次质量检测-数学试题
新疆乌鲁木齐地区2024届高三第三次质量监测数学试题_2024年4月_01按日期_30号_2024届新疆乌鲁木齐地区高三下学期第三次质量监测_2024届新疆乌鲁木齐高三下学期三模考试数学试题
新疆乌鲁木齐2024年高三三模考试理科综合试题_2024年4月_01按日期_30号_2024届新疆乌鲁木齐地区高三下学期第三次质量监测_2024届新疆乌鲁木齐高三下学期三模考试理科综合试题
新疆三模语文试卷_2024年5月_01按日期_11号_2024届新疆维吾尔自治区高三下学期第三次适应性检测_2024届新疆维吾尔自治区高三下学期第三次适应性检测语文
新疆三模语文答案_2024年5月_01按日期_11号_2024届新疆维吾尔自治区高三下学期第三次适应性检测_2024届新疆维吾尔自治区高三下学期第三次适应性检测语文
新疆三模英语试卷_2024年5月_01按日期_11号_2024届新疆维吾尔自治区高三下学期第三次适应性检测_2024届新疆维吾尔自治区高三下学期第三次适应性检测英语
新疆三模英语答案_2024年5月_01按日期_11号_2024届新疆维吾尔自治区高三下学期第三次适应性检测_2024届新疆维吾尔自治区高三下学期第三次适应性检测英语
新疆三模理综试题_2024年5月_01按日期_11号_2024届新疆维吾尔自治区高三下学期第三次适应性检测_2024届新疆维吾尔自治区高三下学期第三次适应性检测理综
随机文档
新疆三模理综答案_2024年5月_01按日期_11号_2024届新疆维吾尔自治区高三下学期第三次适应性检测_2024届新疆维吾尔自治区高三下学期第三次适应性检测理综
新疆三模文综试题_2024年5月_01按日期_11号_2024届新疆维吾尔自治区高三下学期第三次适应性检测_2024届新疆维吾尔自治区高三下学期第三次适应性检测文综
新疆三模文综答案_2024年5月_01按日期_11号_2024届新疆维吾尔自治区高三下学期第三次适应性检测_2024届新疆维吾尔自治区高三下学期第三次适应性检测文综
新疆三模数学试卷_2024年5月_01按日期_11号_2024届新疆维吾尔自治区高三下学期第三次适应性检测_2024届新疆维吾尔自治区高三下学期第三次适应性检测数学
新疆三模数学答案_2024年5月_01按日期_11号_2024届新疆维吾尔自治区高三下学期第三次适应性检测_2024届新疆维吾尔自治区高三下学期第三次适应性检测数学
新教材老高考生物参考答案_2024年3月_013月合集_2024届河南郑州名校教研联盟高三下学期模拟预测_2024届河南省郑州市名校教研联盟高三下学期模拟预测理综试题
新教材老高考物理参考答案_2024年3月_013月合集_2024届河南郑州名校教研联盟高三下学期模拟预测_2024届河南省郑州市名校教研联盟高三下学期模拟预测理综试题
新教材老高考政治参考答案_2024年3月_013月合集_2024届河南郑州名校教研联盟高三下学期模拟预测_2024届河南省郑州市名校教研联盟高三下学期模拟预测文综试题
新教材老高考地理参考答案_2024年3月_013月合集_2024届河南郑州名校教研联盟高三下学期模拟预测_2024届河南省郑州市名校教研联盟高三下学期模拟预测文综试题
新教材老高考历史参考答案_2024年3月_013月合集_2024届河南郑州名校教研联盟高三下学期模拟预测_2024届河南省郑州市名校教研联盟高三下学期模拟预测文综试题