当前位置:首页>文档>2023年高考押题预测卷01(江苏卷)(参考答案)_2.2025数学总复习_2023年新高考资料_42023年高考数学押题预测卷

2023年高考押题预测卷01(江苏卷)(参考答案)_2.2025数学总复习_2023年新高考资料_42023年高考数学押题预测卷

  • 2026-04-03 06:30:11 2026-03-09 13:53:26

文档预览

2023年高考押题预测卷01(江苏卷)(参考答案)_2.2025数学总复习_2023年新高考资料_42023年高考数学押题预测卷
2023年高考押题预测卷01(江苏卷)(参考答案)_2.2025数学总复习_2023年新高考资料_42023年高考数学押题预测卷
2023年高考押题预测卷01(江苏卷)(参考答案)_2.2025数学总复习_2023年新高考资料_42023年高考数学押题预测卷
2023年高考押题预测卷01(江苏卷)(参考答案)_2.2025数学总复习_2023年新高考资料_42023年高考数学押题预测卷
2023年高考押题预测卷01(江苏卷)(参考答案)_2.2025数学总复习_2023年新高考资料_42023年高考数学押题预测卷
2023年高考押题预测卷01(江苏卷)(参考答案)_2.2025数学总复习_2023年新高考资料_42023年高考数学押题预测卷
2023年高考押题预测卷01(江苏卷)(参考答案)_2.2025数学总复习_2023年新高考资料_42023年高考数学押题预测卷
2023年高考押题预测卷01(江苏卷)(参考答案)_2.2025数学总复习_2023年新高考资料_42023年高考数学押题预测卷
2023年高考押题预测卷01(江苏卷)(参考答案)_2.2025数学总复习_2023年新高考资料_42023年高考数学押题预测卷
2023年高考押题预测卷01(江苏卷)(参考答案)_2.2025数学总复习_2023年新高考资料_42023年高考数学押题预测卷
2023年高考押题预测卷01(江苏卷)(参考答案)_2.2025数学总复习_2023年新高考资料_42023年高考数学押题预测卷
2023年高考押题预测卷01(江苏卷)(参考答案)_2.2025数学总复习_2023年新高考资料_42023年高考数学押题预测卷

文档信息

文档格式
docx
文档大小
0.312 MB
文档页数
12 页
上传时间
2026-03-09 13:53:26

文档内容

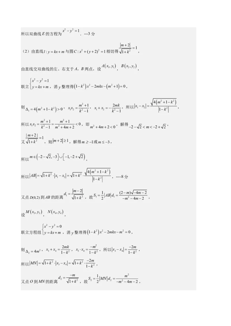
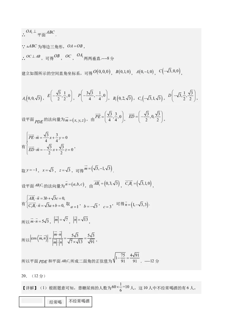
2023年高考押题预测卷01 参考答案 一、单项选择题:本题共8小题,每小题5分,共40分.在每小题给出的四个选项中,只有一个 选项是符合题目要求的. 1 2 3 4 5 6 7 8 B D A C C D B D 二、多项选择题:本题共4小题,每小题5分,共20分.在每小题给出的选项中,有多项符合题 目要求,全部选对的得5分,部分选对的得2分,有选错的得0分. 9.ABD 10.ABC 11.AC 12.ACD 三、填空题:本题共4小题,每小题5分,共20分. 13.1792 14.2 2a2 2  2 1 1 ,  15. 16. 2 2  yx1   四、解答题:本题共6小题,共70分.解答应写出文字说明、证明过程或演算步骤. 17.(10分) n2a S  n 【详解】(1)由已知 n 3 ①, n1a 所以当 时,S  n1 ②, n2 n1 3 n2a n1a a n1 a n a n1 a  n n1 n  n1  n2  ①②得 n 3 ,整理可得a n1 n1,则a n2 n2,a n3 n3, a n2 a 4 a 3 n3  3  2  a n4 n4,L ,a 2 2,a 1 1, a n1n n2n n   等式左右分别相乘得 a 21 2 ,----3分 1 n2n 又a 1 1,所以a n  2 ;----4分n2n (2)由(1)得a  , n 2 1 1 11 1       则2a nn22nnn2 ,所以2a n nn2 2n n2,----5分 n n 1 1 1 所以     2a 1 2a 2 2a n 1 2 n 1 1 11 1 11 1 1 1 1  11 1   1                2 3 22 4 23 5 2n1 n1 2n n2 1 1 1 1 1 1 1 1 1 1   1            2 3 2 4 3 5 n1 n1 n n2 1 1 1 1   1    2 2 n1 n2 3 1 1 1       4 2n1 n2,----8分 1 1 又 ,所以  0, nN n1 n2 3 1 1 1  3 所以     , 4 2n1 n2 4 1 1 1 3      即2a 1 2a 2 2a n 4.----10分 1 2 n 18.(12分) 【详解】(1)在 ABC中,ab2ccosB, 由正弦定理得sinAsinB2sinCcosB, AπBC 又 , sinBCsinB2sinCcosB 因为 , 所以sinCcosBsinBcosC sinB,----4分 sinCBsinB sinB0 所以 ,又 , 所以0CBCπ,且BCBCπ, 所以BCB, 故C 2B.----6分BC 3B0,π C 2B (2)由(1) 得 ,  π 1  B0, ,cosB ,1 所以  3 2 , ab2ccosB,C 2B 因为 , a3b 2ccosB2b 所以  bcosB bcosB 2sinCcosB2sinB 2sin2BcosB2sinB   sinBcosB sinBcosB 2 4cosB 4 2,----10分 cosB 2 2  π π 4cosB cosB B0,  B 当且仅当 cosB 即 2 ,且  3,即当且仅当 4时等号成立, π a3b 所以当B 时, 的最小值为 .----12分 4 bcosB 4 2 19.(12分) 【详解】(1)如图1,连接 B 1 C 与 DE 相交于 F ,连接 PF ,连接 BC 1与 B 1 C 交于点 G .----1分 ∵ AB 1 // 平面 PDE ,平面 AB 1 C  平面 PDEPF , AB 1  平面 AB 1 C , AB //PF ∴ 1 . BECE CDDC ∵ , 1, CD CE  1 ∴DC BE , 1ED //BC ∴ 1, 1 ∴CF FG CG. 2 1 ∵BC BC G,∴CG 2 B 1 C, 1 1 1 1 ∴CF  CG BC. 2 4 1 AB //PF ∵ 1 , CP CF 1 ∴   , CA CB 4 1 ∴点P是线段AC上靠近点C的四等分点.----6分 (2)如图2,取 AB 的中点 O ,连接 OC , OA 1, ABBA AAB60 ∵四边形 1 1为边长为2的菱形, 1 , AB2 AAB ∴ 1 ,  1 为等边三角形. ∵ OAOB ,  AA 1 B 为等边三角形, OA  AB ∴ 1 . ∵平面 ABB 1 A 1  平面 ABC ,平面 ABB 1 A 1 平面 ABC  AB , OA  AB OA � ABBA 1 , 1 平面 1 1,OA  ABC ∴ 1 平面 . ∵ ABC为等边三角形,OAOB, ∴ OCAB ,可得 OB , OC , OA 1两两垂直.----8分   O0,0,0 B0,1,0 A0,1,0 C  3,0,0 建立如图所示的空间直角坐标系,可得 , , , ,  3 1   3 3 1   1 3 A  0,0, 3  , E   2 , 2 ,0 , P   4 , 4 ,0 ,B  0,2, 3  ,C   3,1, 3  , D   3, 2 , 2  , 1     1 1     3 3    3 3 设平面 PDE 的法向量为m  x,y,z,由 PE   4 , 4 ,0   , ED    2 ,0, 2    ,    P  E  m  3 x 3 y0  4 4  有 E  D  m  3 x 3 z0 ,   2 2    m 3,1, 3 取y1,x 3,z 3,可得 .        设平面ABC 的法向量为 na,b,c ,由 AB 1  0,3, 3 , C 1 B 1  3,1,0 , 1 1    A  B  n3b 3c0, 1 有  C  1  B  1 n 3ab0, 取 a1 , b 3 , c3 ,可得n    1, 3,3 .     m  7 n  13 所以mn5 3, , ,   mn   5 3 5 3 cos m,n    所以   , m n 7 13 91 75 4 91 1  所以平面PDE和平面ABC 所成二面角的正弦值为 91 91 .----12分 1 1 20.(12分) 1 【详解】(1)根据题意可知,患糖尿病的人数为60 =10人,这10人中不经常喝酒的有6人, 6 经常喝 不经常喝酒酒 患糖尿病 4 6 没患糖尿病 6 44 60444662 2  4.704<6.635 10501050 , 因此依据小概率值0.01的独立性检验,当地成年男性患糖尿病与喝酒习惯无关联.----4分 1 (2)(ⅰ)经常喝酒且患糖尿病的人数有4人,则PAB , 15 1 经常喝酒的人数有10人,则PA , 6 PAB 2 PB A  PA 5 ,   1 经常喝酒且没患糖尿病的人数有6人,则P AB  , 10     P AB 3 P B A   PA 5, 2  ;----8分 3 (ⅱ)证明:患糖尿病的人数有10人,则PB 1 ;没患糖尿病的人数有50人,则P  B   5 , 6 6   PA B PAB  2 P  A B   P AB  3 PB 5 , P  B  25, PA B 10  5Ψ P  A B  3 .----12分 21.(12分) P(x,y) 【详解】(1)设 是双曲线上的任意一点, DP2 x2(y2)2 2y24y4a2 2(y1)22a2 则 , 所以当 y1 时, DP2 的最小值为2a2 ,所以2a2 3,得a2 1,x2y2 1 所以双曲线E的方程为 .---3分 m2 1 (2)由直线l:ykxm与圆C:x2 (y2)2 1相切得 1k2 , Ax,y  Bx ,y  由直线交双曲线的左、右支于A,B两点,设 1 1 , 2 2 , x2y2 1 联立  ykxm,消y整理得  1k2 x22mkx  m21  0, 4  m21k2 则 Δ 1 4  m21k2 0 ,x 1 x 2  m k2 2   1 1 ,x 1 x 2  k 2 2 m  k 1 ,所以 x 1 x 2  1k2 , m21 m21 所以xx   0,即 ,解得 , 1 2 k21 m24m2 m24m20 2 2m2 2 |m2| 1 又 1k2 ,则 m2 1 ,解得m1或m3,   m 2 2,31,2 2 所以   , 4  m21k2 所以 AB  1k2  x x  1k2  ,----8分 1 2 1k2 m2 1 (2m) 4m2 d  又点D(0,2)到AB的距离 1 1k2 ,故 S 1  2 AB d 1  m24m2 , Mx ,y  Nx ,y  设 3 3 , 4 4 , x2y2 0 联立方程组  ykxm ,消y整理得  1k2 x22mkxm2 0, 2mk m2 2m 则 ,x x  ,x x  ,所以 x x  , Δ 4m2 3 4 1k2 3 4 1k2 3 4 1k2 2 2m 所以 MN  1k2  x x  1k2  , 3 4 1k2 m 1 m2 d  S  MN d  又点O到MN的距离 2 1k2 ,故 2 2 2 m24m2,8 (2m) 4m2 m2 8 S 4S  4  所以当 1 2 7 时,有 m24m2 m24m2 7, 4 4 整理得(2m) 4m2   5m28m4  ,即(2m) 4m2  (5m2)(m2), 7 7 4 3 27 又 ,则 4m2  (5m2),即 ,解得m  ,m  (舍去), m2 7 200m2258m810 1 4 2 50 3 3 3 3 所以m ,则k  ,所以直线方程为y x . 4 4 4 4 ----12分 22.(12分) ea eaax fx a 【详解】(1)解: x x , a0 f 'x0 若 ,则 恒成立, f x e, 所以 在 上单调递增,  ea  x0,  若 a0 ,当  a  时, f�( x) >0, f x单调递增, ea  x , 当  a  时, f 'x0, f x单调递减, ea 下面判断 与 的大小关系, a e ea 令ga (a0), aeaa1 则ga (a0), a2 a0,1 ga0 所以当 时, , ga 0,1 所以 在 上单调递减, a1, ga0 当 时, , ga 1, 所以 在 上单调递减, ea 所以ga g(a) g1e, a min ea 所以 a e,即 ea1a ,*当且仅当 a1 时,取等号,  ea  ea  e,   , 所以当 a0 且 a1 时, f x在  a  上单调递增,在  a  上单调递减, f x e, a1 当 时, 在 上单调递减, f x e, a0 综上所述,当 , 在 上单调递增, f x e, a1 当 时, 在 上单调递减,  ea  ea  e,   , 当 a0 且 a1 时, f x在  a  上单调递增,在  a  上单调递减.----5分 ea  f  0 (2)证明:由1可知若 f x有两个不同的零点,则 a0 ,且极大值  a  , ea  ea   ea   f  ealn ea2aea ln 12a  a   a    a   , ea 由不等式*可得 e, a  ea   ea ln 10 所以   a   ,ea  f  0 所以当 a0 时,  a  恒成立, ealnx ax 2a0 ealnx ax 2a0 又 1 1 ,且 2 2 , x x ea 2 1  两式相减可得lnx lnx a , 2 1 x 不妨设t  2 ,则 且 , x x tx 1 t1 2 1 t1x ea ea lnt 所以 1  ,即x   , lnt a 1 a t1 ea tlnt 所以x   , 2 a t1 ea  lnt tlnt  ea t1lnt x x      1 2 a t1 t1 a t1 ,----8分 2t1 设htlnt , t1 1 4 (t1)2 ht   0 t (t1)2 t(t1)2 , t1lnt 所以 hth10 ,即 2, t1 2ea 所以x x  , 1 2 a ea  x  , 由x x 可得 2  a  , 1 2 4 要证x 3x a 4, 1 2 a 2ea 4 需要证 2x a 4, a 2 a 4ea 4 只要证 a 4, a a 即4ea a24a4, a 即2e2 a2,a a 即证e2  1,由*可证, 2 4 所以x 3x a 4即证.——12分 1 2 a