当前位置:首页>文档>解密06讲:函数图像、方程与零点(解析版)_2.2025数学总复习_2023年新高考资料_二轮复习_考点2023年高考数学二轮复习讲义+训练(新高考专用)

解密06讲:函数图像、方程与零点(解析版)_2.2025数学总复习_2023年新高考资料_二轮复习_考点2023年高考数学二轮复习讲义+训练(新高考专用)

  • 2026-04-03 07:02:35 2026-03-27 16:45:36

文档预览

解密06讲:函数图像、方程与零点(解析版)_2.2025数学总复习_2023年新高考资料_二轮复习_考点2023年高考数学二轮复习讲义+训练(新高考专用)
解密06讲:函数图像、方程与零点(解析版)_2.2025数学总复习_2023年新高考资料_二轮复习_考点2023年高考数学二轮复习讲义+训练(新高考专用)
解密06讲:函数图像、方程与零点(解析版)_2.2025数学总复习_2023年新高考资料_二轮复习_考点2023年高考数学二轮复习讲义+训练(新高考专用)
解密06讲:函数图像、方程与零点(解析版)_2.2025数学总复习_2023年新高考资料_二轮复习_考点2023年高考数学二轮复习讲义+训练(新高考专用)
解密06讲:函数图像、方程与零点(解析版)_2.2025数学总复习_2023年新高考资料_二轮复习_考点2023年高考数学二轮复习讲义+训练(新高考专用)
解密06讲:函数图像、方程与零点(解析版)_2.2025数学总复习_2023年新高考资料_二轮复习_考点2023年高考数学二轮复习讲义+训练(新高考专用)
解密06讲:函数图像、方程与零点(解析版)_2.2025数学总复习_2023年新高考资料_二轮复习_考点2023年高考数学二轮复习讲义+训练(新高考专用)
解密06讲:函数图像、方程与零点(解析版)_2.2025数学总复习_2023年新高考资料_二轮复习_考点2023年高考数学二轮复习讲义+训练(新高考专用)
解密06讲:函数图像、方程与零点(解析版)_2.2025数学总复习_2023年新高考资料_二轮复习_考点2023年高考数学二轮复习讲义+训练(新高考专用)
解密06讲:函数图像、方程与零点(解析版)_2.2025数学总复习_2023年新高考资料_二轮复习_考点2023年高考数学二轮复习讲义+训练(新高考专用)
解密06讲:函数图像、方程与零点(解析版)_2.2025数学总复习_2023年新高考资料_二轮复习_考点2023年高考数学二轮复习讲义+训练(新高考专用)
解密06讲:函数图像、方程与零点(解析版)_2.2025数学总复习_2023年新高考资料_二轮复习_考点2023年高考数学二轮复习讲义+训练(新高考专用)
解密06讲:函数图像、方程与零点(解析版)_2.2025数学总复习_2023年新高考资料_二轮复习_考点2023年高考数学二轮复习讲义+训练(新高考专用)
解密06讲:函数图像、方程与零点(解析版)_2.2025数学总复习_2023年新高考资料_二轮复习_考点2023年高考数学二轮复习讲义+训练(新高考专用)
解密06讲:函数图像、方程与零点(解析版)_2.2025数学总复习_2023年新高考资料_二轮复习_考点2023年高考数学二轮复习讲义+训练(新高考专用)
解密06讲:函数图像、方程与零点(解析版)_2.2025数学总复习_2023年新高考资料_二轮复习_考点2023年高考数学二轮复习讲义+训练(新高考专用)
解密06讲:函数图像、方程与零点(解析版)_2.2025数学总复习_2023年新高考资料_二轮复习_考点2023年高考数学二轮复习讲义+训练(新高考专用)
解密06讲:函数图像、方程与零点(解析版)_2.2025数学总复习_2023年新高考资料_二轮复习_考点2023年高考数学二轮复习讲义+训练(新高考专用)
解密06讲:函数图像、方程与零点(解析版)_2.2025数学总复习_2023年新高考资料_二轮复习_考点2023年高考数学二轮复习讲义+训练(新高考专用)
解密06讲:函数图像、方程与零点(解析版)_2.2025数学总复习_2023年新高考资料_二轮复习_考点2023年高考数学二轮复习讲义+训练(新高考专用)
解密06讲:函数图像、方程与零点(解析版)_2.2025数学总复习_2023年新高考资料_二轮复习_考点2023年高考数学二轮复习讲义+训练(新高考专用)
解密06讲:函数图像、方程与零点(解析版)_2.2025数学总复习_2023年新高考资料_二轮复习_考点2023年高考数学二轮复习讲义+训练(新高考专用)
解密06讲:函数图像、方程与零点(解析版)_2.2025数学总复习_2023年新高考资料_二轮复习_考点2023年高考数学二轮复习讲义+训练(新高考专用)
解密06讲:函数图像、方程与零点(解析版)_2.2025数学总复习_2023年新高考资料_二轮复习_考点2023年高考数学二轮复习讲义+训练(新高考专用)
解密06讲:函数图像、方程与零点(解析版)_2.2025数学总复习_2023年新高考资料_二轮复习_考点2023年高考数学二轮复习讲义+训练(新高考专用)
解密06讲:函数图像、方程与零点(解析版)_2.2025数学总复习_2023年新高考资料_二轮复习_考点2023年高考数学二轮复习讲义+训练(新高考专用)
解密06讲:函数图像、方程与零点(解析版)_2.2025数学总复习_2023年新高考资料_二轮复习_考点2023年高考数学二轮复习讲义+训练(新高考专用)
解密06讲:函数图像、方程与零点(解析版)_2.2025数学总复习_2023年新高考资料_二轮复习_考点2023年高考数学二轮复习讲义+训练(新高考专用)
解密06讲:函数图像、方程与零点(解析版)_2.2025数学总复习_2023年新高考资料_二轮复习_考点2023年高考数学二轮复习讲义+训练(新高考专用)
解密06讲:函数图像、方程与零点(解析版)_2.2025数学总复习_2023年新高考资料_二轮复习_考点2023年高考数学二轮复习讲义+训练(新高考专用)
解密06讲:函数图像、方程与零点(解析版)_2.2025数学总复习_2023年新高考资料_二轮复习_考点2023年高考数学二轮复习讲义+训练(新高考专用)
解密06讲:函数图像、方程与零点(解析版)_2.2025数学总复习_2023年新高考资料_二轮复习_考点2023年高考数学二轮复习讲义+训练(新高考专用)
解密06讲:函数图像、方程与零点(解析版)_2.2025数学总复习_2023年新高考资料_二轮复习_考点2023年高考数学二轮复习讲义+训练(新高考专用)
解密06讲:函数图像、方程与零点(解析版)_2.2025数学总复习_2023年新高考资料_二轮复习_考点2023年高考数学二轮复习讲义+训练(新高考专用)
解密06讲:函数图像、方程与零点(解析版)_2.2025数学总复习_2023年新高考资料_二轮复习_考点2023年高考数学二轮复习讲义+训练(新高考专用)
解密06讲:函数图像、方程与零点(解析版)_2.2025数学总复习_2023年新高考资料_二轮复习_考点2023年高考数学二轮复习讲义+训练(新高考专用)
解密06讲:函数图像、方程与零点(解析版)_2.2025数学总复习_2023年新高考资料_二轮复习_考点2023年高考数学二轮复习讲义+训练(新高考专用)
解密06讲:函数图像、方程与零点(解析版)_2.2025数学总复习_2023年新高考资料_二轮复习_考点2023年高考数学二轮复习讲义+训练(新高考专用)
解密06讲:函数图像、方程与零点(解析版)_2.2025数学总复习_2023年新高考资料_二轮复习_考点2023年高考数学二轮复习讲义+训练(新高考专用)
解密06讲:函数图像、方程与零点(解析版)_2.2025数学总复习_2023年新高考资料_二轮复习_考点2023年高考数学二轮复习讲义+训练(新高考专用)
解密06讲:函数图像、方程与零点(解析版)_2.2025数学总复习_2023年新高考资料_二轮复习_考点2023年高考数学二轮复习讲义+训练(新高考专用)
解密06讲:函数图像、方程与零点(解析版)_2.2025数学总复习_2023年新高考资料_二轮复习_考点2023年高考数学二轮复习讲义+训练(新高考专用)
解密06讲:函数图像、方程与零点(解析版)_2.2025数学总复习_2023年新高考资料_二轮复习_考点2023年高考数学二轮复习讲义+训练(新高考专用)
解密06讲:函数图像、方程与零点(解析版)_2.2025数学总复习_2023年新高考资料_二轮复习_考点2023年高考数学二轮复习讲义+训练(新高考专用)
解密06讲:函数图像、方程与零点(解析版)_2.2025数学总复习_2023年新高考资料_二轮复习_考点2023年高考数学二轮复习讲义+训练(新高考专用)
解密06讲:函数图像、方程与零点(解析版)_2.2025数学总复习_2023年新高考资料_二轮复习_考点2023年高考数学二轮复习讲义+训练(新高考专用)
解密06讲:函数图像、方程与零点(解析版)_2.2025数学总复习_2023年新高考资料_二轮复习_考点2023年高考数学二轮复习讲义+训练(新高考专用)
解密06讲:函数图像、方程与零点(解析版)_2.2025数学总复习_2023年新高考资料_二轮复习_考点2023年高考数学二轮复习讲义+训练(新高考专用)
解密06讲:函数图像、方程与零点(解析版)_2.2025数学总复习_2023年新高考资料_二轮复习_考点2023年高考数学二轮复习讲义+训练(新高考专用)
解密06讲:函数图像、方程与零点(解析版)_2.2025数学总复习_2023年新高考资料_二轮复习_考点2023年高考数学二轮复习讲义+训练(新高考专用)
解密06讲:函数图像、方程与零点(解析版)_2.2025数学总复习_2023年新高考资料_二轮复习_考点2023年高考数学二轮复习讲义+训练(新高考专用)
解密06讲:函数图像、方程与零点(解析版)_2.2025数学总复习_2023年新高考资料_二轮复习_考点2023年高考数学二轮复习讲义+训练(新高考专用)
解密06讲:函数图像、方程与零点(解析版)_2.2025数学总复习_2023年新高考资料_二轮复习_考点2023年高考数学二轮复习讲义+训练(新高考专用)
解密06讲:函数图像、方程与零点(解析版)_2.2025数学总复习_2023年新高考资料_二轮复习_考点2023年高考数学二轮复习讲义+训练(新高考专用)
解密06讲:函数图像、方程与零点(解析版)_2.2025数学总复习_2023年新高考资料_二轮复习_考点2023年高考数学二轮复习讲义+训练(新高考专用)
解密06讲:函数图像、方程与零点(解析版)_2.2025数学总复习_2023年新高考资料_二轮复习_考点2023年高考数学二轮复习讲义+训练(新高考专用)

文档信息

文档格式
docx
文档大小
3.432 MB
文档页数
52 页
上传时间
2026-03-27 16:45:36

文档内容

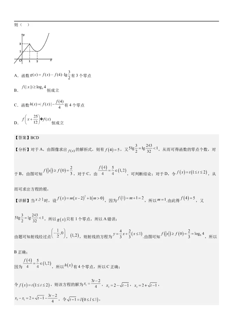
解密06讲:函数图像、方程与零点 【考点解密】 1.利用描点法作函数图象的方法步骤 2.利用图象变换法作函数的图象 (1)平移变换 (2)伸缩变换 ①y=f(x)――――――――――――――――――――→y=f(ax). ②y=f(x)――――――――――――――――――→y=af(x). (3)对称变换 ①y=f(x)――――――→y=-f(x). ②y=f(x)――――――→y=f(-x). ③y=f(x)――――――→y=-f(-x). ④y=ax (a>0且a≠1)――――――→y=log x(a>0且a≠1). a (4)翻折变换 ①y=f(x)―――――――――→y=|f(x)|. ②y=f(x)―――――――――――→y=f(|x|). 3.函数的零点与方程的解 (1)函数零点的概念 对于一般函数y=f(x),我们把使f(x)=0的实数x叫做函数y=f(x)的零点. (2)函数零点与方程实数解的关系 方程f(x)=0有实数解⇔函数y=f(x)有零点⇔函数y=f(x)的图象与x轴有公共点.(3)函数零点存在定理 如果函数y=f(x)在区间[a,b]上的图象是一条连续不断的曲线,且有f(a)f(b)<0,那么,函数y=f(x)在区间(a,b)内 至少有一个零点,即存在c∈(a,b),使得f(c)=0,这个c也就是方程f(x)=0的解. 4.二分法 对于在区间[a,b]上图象连续不断且f(a)f(b)<0的函数y=f(x),通过不断地把函数f(x)的零点所在的区间一分为二, 使所得区间的两个端点逐步逼近零点,进而得到零点近似值的方法叫做二分法. 【方法技巧】 1.图象变换法作函数的图象 (1)熟练掌握几种基本初等函数的图象,如二次函数、反比例函数、指数函数、对数函数、幂函数、形如y=x+的 函数. (2)若函数图象可由某个基本初等函数的图象经过平移、翻折、对称和伸缩得到,可利用图象变换作出,但要注意 变换顺序. (3)图像变换的翻折变换有两种: 图像保留x轴上方图像,将x轴下方图像翻折上去,得到 的图像; 图像保留y轴右边图像,并将其关于y轴对称的图像画出,得到 的图像. (4)常见的平移变换原则“左加右减,上加下减”,对称变换有 和 关于 轴对称, 和 关于 轴对称, 和 关于原点轴对称等. 2.辨识函数图象的入手点 (1)从函数的定义域,判断图象的左右位置;从函数的值域,判断图象的上下位置. (2)从函数的奇偶性,判断图象的对称性. (3)从函数的特征点,排除不合要求的图象. (4)从函数的单调性,判断图象的变化趋势. (5)从函数的周期性,判断图象的循环往复. 3.函数零点个数的判定有下列几种方法(1)直接求零点:令f(x)=0,如果能求出解,那么有几个解就有几个零点. (2)零点存在定理:利用该定理不仅要求函数在[a,b]上是连续不断的曲线,且f(a)·f(b)<0,还必须结合函数的图象 和性质(如单调性)才能确定函数有多少个零点. (3)画两个函数图象,看其交点的个数有几个,其中交点的横坐标有几个不同的值,就有几个不同的零点. 4.已知函数有零点(方程有根)求参数值(取值范围)常用的方法: (1)直接法:直接求解方程得到方程的根,再通过解不等式确定参数范围; (2)分离参数法:先将参数分离,转化成求函数的值域问题加以解决; (3)数形结合法:先对解析式变形,进而构造两个函数,然后在同一平面直角坐标系中画出函数的图象,利用数 形结合的方法求解. 【核心题型】 题型一:函数图像的辨识 1.(2022·广东·深圳市福田区福田中学高三阶段练习)函数 在区间 的图象大致为( ) A. B. C. D. 【答案】A 【分析】由函数的奇偶性结合指数函数、三角函数的性质逐项排除即可得解. 【详解】令 , 则 , 所以 为奇函数,排除BD;又当 时, ,所以 ,排除C. 故选:A. 2.(2021·陕西·韩城市新蕾中学(完全中学)高三阶段练习)函数 的图像大致为( ) A. B. C. D. 【答案】B 【分析】由函数为偶函数可排除AC,再由当 时, ,排除D,即可得解. 【详解】设 ,则函数 的定义域为 ,关于原点对称, 又 ,所以函数 为偶函数,排除AC; 当 时, ,所以 ,排除D. 故选:B. 3.(2019·安徽·高三阶段练习(文))函数 的图象大致是( ) A. B.C. D. 【答案】C 【分析】根据函数 的解析式,根据定义在 上的奇函数图像关于原点对称可以排除 ,再求出其导函 数,根据函数的单调区间呈周期性变化,分析四个选项即可得到结果 【详解】当 时, 故函数图像过原点,排除 又 ,令 则可以有无数解,所以函数的极值点有很多个,故排除 故函数在无穷域的单调区间呈周期性变化 结合四个选项,只有 符合要求 故选 【点睛】本题主要考查了由函数的表达式判断函数图像的大体形状,解决此类问题,主要从函数的定义域,值域, 单调性以及奇偶性,极值等方面考虑,有时也用特殊值代入验证. 题型二:函数图像的应用 2x 1,0<x<2 fx  4.(2022·北京·北大附中高三开学考试)已知函数  6x,x2 ,那么不等式 fx  x 的解集为 ( ) A. B. C. D. 【答案】C 【分析】作出函数 与 的图象,观察图象可得结果. 【详解】作出函数 与 的图象:由图可知:不等式 的解集为 . 故选:C 5.(2022·天津市武清区杨村第三中学高三阶段练习)已知函数 ( 且 ).若函 数 的图象上有且只有两个点关于原点对称,则 的取值范围是( ) A. B. C. D. 【答案】C 【分析】根据原点对称的性质,求出当 时函数关于原点对称的函数,条件转化为函数 与 只有一个交点,作出两个函数的图象,利用数形结合的方法,再结合对数函数的性质进行 求解即可 【详解】当 时,函数 关于原点对称的函数为 ,即 ,若函数 的图象上有且只有两个点关于原点对称,则等价于函数 与 只有一个交点, 作出两个函数的图象如图:若 时, 与函数 有唯一的交点,满足条件; 当 时, 若 时,要使 与函数 有唯一的交点, 则要满足 ,即 , 解得故 ; 综上 的取值范围是 故选:C 6.(2022·四川·太平中学高三期中)若直线 与函数 ( ,且 )的图象有两个公共点,则 可以是( ) A.2 B. C. D. 【答案】C 【分析】分类讨论作出两函数的图象,数形结合可得 【详解】由题意,直线 与函数 ,且 的图象有两个公共点, 当 时, 的图象如图所示,由已知得 , ; 当 时, 的图象如图所示, 由已知可得 , ,结合 可得 无解, 综上可知, 的取值范围为 , 故选:C 题型二:函数零点个数的判定 7.(2021·新疆·新源县第二中学高三阶段练习(理))已知 是定义在 上的偶函数,且满足 , 当 时, ,则函数 的零点个数为( ) A.2 B.4 C.6 D.8 【答案】D 【分析】求函数 的零点个数,即求方程 根的个数,即求 与 的图像的交点个数,作出图像即可得出答案. 【详解】解: 的零点个数,即 与 的图像的交点个数,作出图像可得共有8个 交点. 故选:D.8.(2022·四川省内江市第六中学高三阶段练习(文))已知函数 ,则函数 的零点个数为( ). A.2 B.3 C.4 D.5 【答案】B 【分析】首先根据 ,得到 或 ,然后利用导数分析 时函数的单调性, 结合单调性画出函数的图象,通过图象即可观察出函数零点的个数. 【详解】由 ,得 或 . 当 时, , 所以当 , 单调递减;当 , 单调递增, 所以 时, 有极小值 . 又 时, , 画出函数 的图象如图所示,由图可知:函数 的零点个数为3.故选:B. 9.(2021·广东佛山·高三阶段练习)已知函数 ,且有 , ,则 在区间 内至少有( )个零点. A.4 B.8 C.10 D.12 【答案】D 【分析】根据题意得出函数的对称轴和对称中心,根据对称轴和对称中心求出 的值,然后判断出 的值最小时, 周期 最大,函数 在区间 内的零点最少,从而即可求出答案. 【详解】因为 ,即 ,所以函数 关于点 对称, 所以 ,——① 因为 ,所以 为函数 的一条对称轴, 所以 ,——② 由①②,得 ,即 , 要使 在区间 内的零点最少,则周期 最大,所以 的值最小, 又因为 ,所以 , 把 代入①,得 ,即 , 又因为 ,所以 或 .当 时, ,此时 在 内零点个数为12; 当 时, ,此时 在 内零点个数为12. 故选:D. 题型三:根据零点求参数 10.(2022·河南·南阳中学高三阶段练习(理))已知函数 的零点位于区间 内, 则整数 ( ) A.1 B.2 C.3 D.4 【答案】B 【分析】根据函数的单调性的性质及函数零点的存在性定理即可求解. 【详解】因为函数 与 在 上均为增函数, 所以函数 在 上为增函数, 因为 , , , 所以函数 的零点位于区间 内,故 . 故选:B. 11.(2022·全国·高三专题练习)已知函数 在 内有且仅有两个零点,则 的取 值范围是( ) A. B. C. D. 【答案】D 【分析】根据给定条件确定 的范围,求解不等式作答. 【详解】由 得 ,而当 , 时, , 又 ,函数 在 内有且仅有两个零点,于是得 ,解得 , 所以 的取值范围是 . 故选:D 12.(2022·青海·海南藏族自治州高级中学高三阶段练习(理))已知函数 . 若g(x)存在2个零点,则a的取值范围是( ) A.[–1,0) B.[0,+∞) C.[–1,+∞) D.[1,+∞) 【答案】C 【详解】分析:首先根据g(x)存在2个零点,得到方程 有两个解,将其转化为 有两个 解,即直线 与曲线 有两个交点,根据题中所给的函数解析式,画出函数 的图像(将 去掉),再画出直线 ,并将其上下移动,从图中可以发现,当 时,满足 与曲线 有两个交点,从而求得结果. 详解:画出函数 的图像, 在y轴右侧的去掉, 再画出直线 ,之后上下移动, 可以发现当直线过点A时,直线与函数图像有两个交点, 并且向下可以无限移动,都可以保证直线与函数的图像有两个交点, 即方程 有两个解, 也就是函数 有两个零点, 此时满足 ,即 ,故选C.点睛:该题考查的是有关已知函数零点个数求有关参数的取值范围问题,在求解的过程中,解题的思路是将函数 零点个数问题转化为方程解的个数问题,将式子移项变形,转化为两条曲线交点的问题,画出函数的图像以及相 应的直线,在直线移动的过程中,利用数形结合思想,求得相应的结果. 题型四:比较零点大小与求零点的和 13.(2023·全国·高三专题练习)已知函数 , , 的零点分别为 、 、 , 则 、 、 的大小顺序为( ) A. B. C. D. 【答案】A 【分析】计算出 的值,利用零点存在定理求出 、 所在区间,由此可得出 、 、 的大小关系. 【详解】因为函数 、 均为 上的增函数,故函数 为 上的增函数, 因为 , ,所以, , 因为函数 、 在 上均为增函数,故函数 在 上为增函数, 因为 , ,所以, , 由 可得 ,因此, . 故选:A. 14.(2021·山东省东明县第一中学高三阶段练习)设函数 ,若互不相等的实数 、 、 满 足 ,则 的取值范围是( )A. B. C. D. 【答案】B 【分析】作出函数 的图象,设 , ,求出 的取值范围,利用对称性求得 ,由此可得出 的取值范围. 【详解】因为 ,即 , 设 , ,作出函数 的图象如下图所示: 由图象可知,点 、 关于直线 对称,则 , 由图可知, ,因此, . 故选:B. 15.(2022·重庆市二0三中学校高三阶段练习)函数 的所有零点之和为__________. 【答案】9 【分析】根据给定条件,构造函数 , ,作出这两个函数的部分图象,确定两个图象的交点个 数,再结合性质计算作答. 【详解】由 ,令 , , 显然 与 的图象都关于直线 对称, 在同一坐标系内作出函数 , 的图象,如图,观察图象知,函数 , 的图象有6个公共点,其横坐标依次为 , 这6个点两两关于直线 对称,有 ,则 , 所以函数 的所有零点之和为9. 故答案为:9 【高考必刷】 一、单选题 1.(2021·陕西·西安市长安区第七中学高三阶段练习(文))函数 ( 且 )的图 象可能为( ) A. B. C. D. 【答案】D【详解】因为 ,故函数是奇函数,所以排除A,B;取 ,则 ,故选D. 考点:1.函数的基本性质;2.函数的图象. 2.(2021·黑龙江·嫩江市高级中学高三阶段练习(文))函数 的大致图象为( ) A. B. C. D. 【答案】D 【分析】易知 是偶函数,结合导数判断单调性与极值点范围即可得结果. 【详解】由 可知 是偶函数,排除A; 当 时, ,则 ,可知 在 上单调递增, 且 , ,则存在 ,使得 , 当 时, , 单调递减;当 时, , 单调递增, 且 是 在 上唯一极小值点, 故选:D. 3.(2022·天津·高三期中)函数 的图象大致是( )A. B. C. D. 【答案】A 【分析】判断函数为奇函数,由图像可排除C,D;然后利用特殊值,取 ,可排除B. 【详解】定义域为 ,定义域关于原点对称, , 是奇函数,排除C,D; 当 时, ,排除B; 故选:A. 【点睛】本题考查了函数图像的识别,函数奇偶性的判断,属于基础题. 4.(2021·江西·丰城九中高三阶段练习(理))函数 的部分图象大致是( ) A. B.C. D. 【答案】D 【分析】利用函数的奇偶性排除部分选项,再利用特殊值和零点确定选项. 【详解】易知 的定义域为 , 因为 , 所以 是偶函数,故排除选项C; 令 ,则 ,故排除选项A; 令 ,即 ,当 时,解得 ; 当 时, , ,即 , . 当 时,因为 ,解得 , , 所以在 上,函数 有2个零点,故排除选项B, 故选:D. 5.(2019·全国·高考真题(理))设函数 的定义域为R,满足 ,且当 时, .若对任意 ,都有 ,则m的取值范围是( ) A. B. C. D. 【答案】B 【分析】本题为选择压轴题,考查函数平移伸缩,恒成立问题,需准确求出函数每一段解析式,分析出临界点位 置,精准运算得到解决.【详解】 时, , , ,即 右移1个单位,图像变为原来 的2倍. 如图所示:当 时, ,令 ,整理得: , (舍), 时, 成立,即 , ,故选 B. 【点睛】易错警示:图像解析式求解过程容易求反,画错示意图,画成向左侧扩大到2倍,导致题目出错,需加 深对抽象函数表达式的理解,平时应加强这方面练习,提高抽象概括、数学建模能力. 6.(2018·全国·高考真题(文))设函数 ,则满足 的x的取值范围是( ) A. B. C. D. 【答案】D 【分析】分析:首先根据题中所给的函数解析式,将函数图像画出来,从图中可以发现若有 成立, 一定会有 ,从而求得结果. 详解:将函数 的图像画出来,观察图像可知会有 ,解得 ,所以满足 的x的取 值范围是 ,故选D.点睛:该题考查的是有关通过函数值的大小来推断自变量的大小关系,从而求得相关的参数的值的问题,在求解 的过程中,需要利用函数解析式画出函数图像,从而得到要出现函数值的大小,绝对不是常函数,从而确定出自 变量的所处的位置,结合函数值的大小,确定出自变量的大小,从而得到其等价的不等式组,从而求得结果. 【详解】 7.(2022·全国·模拟预测(理))已知关于x的不等式 的解集中只有1个整数,则实数a的取 值范围是( ). A. B. C. D. 【答案】B 【分析】由题可得不等式 仅有1个整数解,利用数形结合可得 ,即求. 【详解】由题可知 , 所以不等式 ,即 只有一个整数解, 令 ,不等式 仅有1个整数解, 令 , ,则函数 图象上仅有1个横坐标为整数的点落在直线 的下方, ∵ ,由 ,得 , ∴ 在 上单调递减,在 上单调递增,因为直线 恒过点 , 作出函数 与直线 的大致图象,由图象可知,这个点 ,可得 ,即 . 故选:B. 【点睛】关键点点睛:本题的关键是把问题转化为函数 与直线 的的交点的位置问题,然后利 用数形结合解决. 8.(2022·天津市滨海新区塘沽第一中学高三阶段练习)定义:设不等式F(x)<0的解集为M,若M中只有唯一整 数,则称M是最优解.若关于x的不等式 有最优解,则实数m的取值范围是( ) A. B. C. ∪ D. ∪ 【答案】D 【分析】将不等式转化为 ,结合图象求得 的取值范围. 【详解】 可转化为 , 在同一平面直角坐标系中分别作出函数f(x)=|x2-2x-3|,g(x)=mx-2的图象,如图所示. 易知m=0时不满足题意. 当m>0时,要存在唯一的整数x,满足f(x)