当前位置:首页>文档>专题12双曲线中的离心率问题(解析版)_2024年新高考资料_3.2024专项复习_2024年新高考数学之圆锥曲线专项重难点突破练(新高考专用)

专题12双曲线中的离心率问题(解析版)_2024年新高考资料_3.2024专项复习_2024年新高考数学之圆锥曲线专项重难点突破练(新高考专用)

  • 2026-04-13 17:27:08 2026-04-13 17:23:07

文档预览

专题12双曲线中的离心率问题(解析版)_2024年新高考资料_3.2024专项复习_2024年新高考数学之圆锥曲线专项重难点突破练(新高考专用)
专题12双曲线中的离心率问题(解析版)_2024年新高考资料_3.2024专项复习_2024年新高考数学之圆锥曲线专项重难点突破练(新高考专用)
专题12双曲线中的离心率问题(解析版)_2024年新高考资料_3.2024专项复习_2024年新高考数学之圆锥曲线专项重难点突破练(新高考专用)
专题12双曲线中的离心率问题(解析版)_2024年新高考资料_3.2024专项复习_2024年新高考数学之圆锥曲线专项重难点突破练(新高考专用)
专题12双曲线中的离心率问题(解析版)_2024年新高考资料_3.2024专项复习_2024年新高考数学之圆锥曲线专项重难点突破练(新高考专用)
专题12双曲线中的离心率问题(解析版)_2024年新高考资料_3.2024专项复习_2024年新高考数学之圆锥曲线专项重难点突破练(新高考专用)
专题12双曲线中的离心率问题(解析版)_2024年新高考资料_3.2024专项复习_2024年新高考数学之圆锥曲线专项重难点突破练(新高考专用)
专题12双曲线中的离心率问题(解析版)_2024年新高考资料_3.2024专项复习_2024年新高考数学之圆锥曲线专项重难点突破练(新高考专用)
专题12双曲线中的离心率问题(解析版)_2024年新高考资料_3.2024专项复习_2024年新高考数学之圆锥曲线专项重难点突破练(新高考专用)
专题12双曲线中的离心率问题(解析版)_2024年新高考资料_3.2024专项复习_2024年新高考数学之圆锥曲线专项重难点突破练(新高考专用)
专题12双曲线中的离心率问题(解析版)_2024年新高考资料_3.2024专项复习_2024年新高考数学之圆锥曲线专项重难点突破练(新高考专用)
专题12双曲线中的离心率问题(解析版)_2024年新高考资料_3.2024专项复习_2024年新高考数学之圆锥曲线专项重难点突破练(新高考专用)
专题12双曲线中的离心率问题(解析版)_2024年新高考资料_3.2024专项复习_2024年新高考数学之圆锥曲线专项重难点突破练(新高考专用)
专题12双曲线中的离心率问题(解析版)_2024年新高考资料_3.2024专项复习_2024年新高考数学之圆锥曲线专项重难点突破练(新高考专用)
专题12双曲线中的离心率问题(解析版)_2024年新高考资料_3.2024专项复习_2024年新高考数学之圆锥曲线专项重难点突破练(新高考专用)
专题12双曲线中的离心率问题(解析版)_2024年新高考资料_3.2024专项复习_2024年新高考数学之圆锥曲线专项重难点突破练(新高考专用)
专题12双曲线中的离心率问题(解析版)_2024年新高考资料_3.2024专项复习_2024年新高考数学之圆锥曲线专项重难点突破练(新高考专用)
专题12双曲线中的离心率问题(解析版)_2024年新高考资料_3.2024专项复习_2024年新高考数学之圆锥曲线专项重难点突破练(新高考专用)
专题12双曲线中的离心率问题(解析版)_2024年新高考资料_3.2024专项复习_2024年新高考数学之圆锥曲线专项重难点突破练(新高考专用)
专题12双曲线中的离心率问题(解析版)_2024年新高考资料_3.2024专项复习_2024年新高考数学之圆锥曲线专项重难点突破练(新高考专用)
专题12双曲线中的离心率问题(解析版)_2024年新高考资料_3.2024专项复习_2024年新高考数学之圆锥曲线专项重难点突破练(新高考专用)

文档信息

文档格式
docx
文档大小
1.214 MB
文档页数
17 页
上传时间
2026-04-13 17:23:07

文档内容

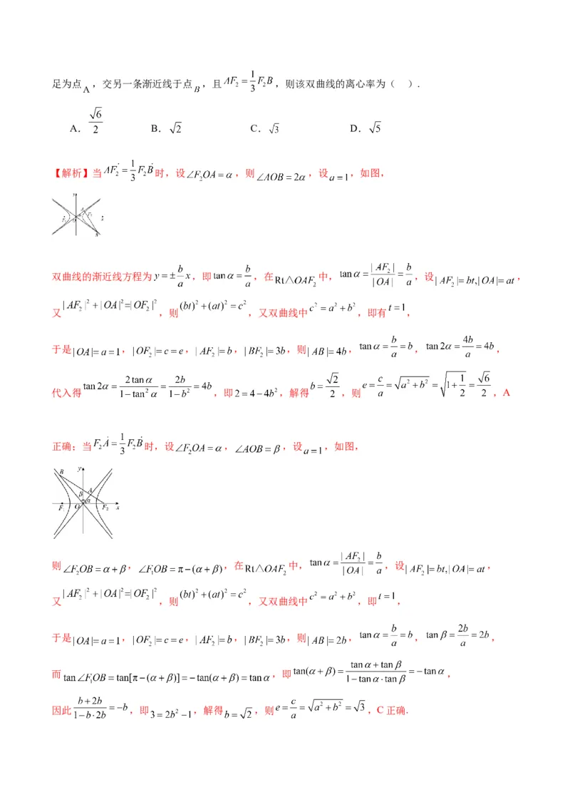
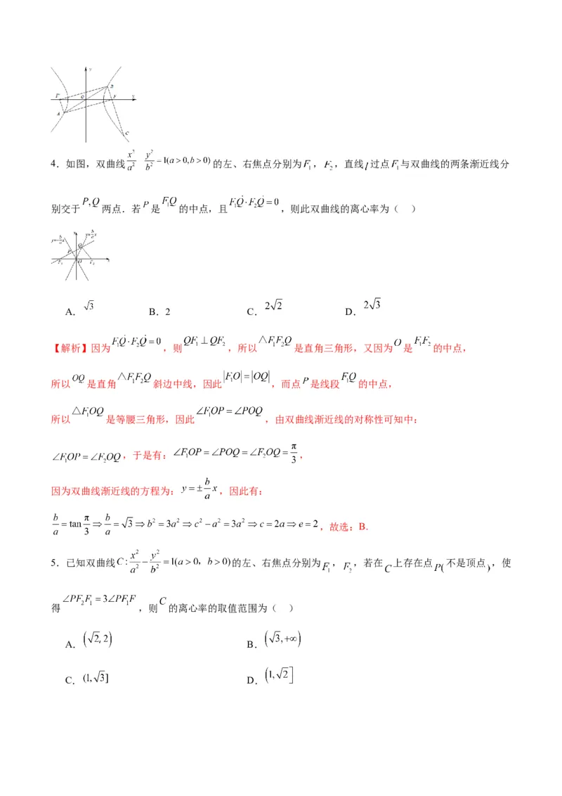
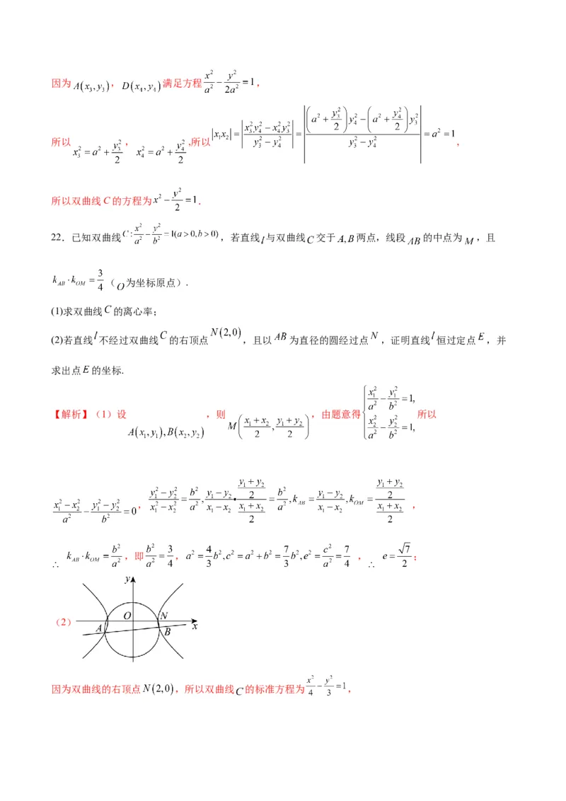
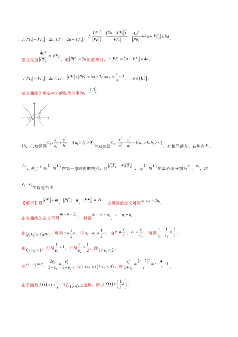
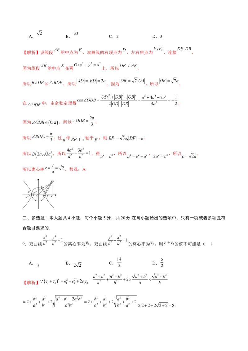
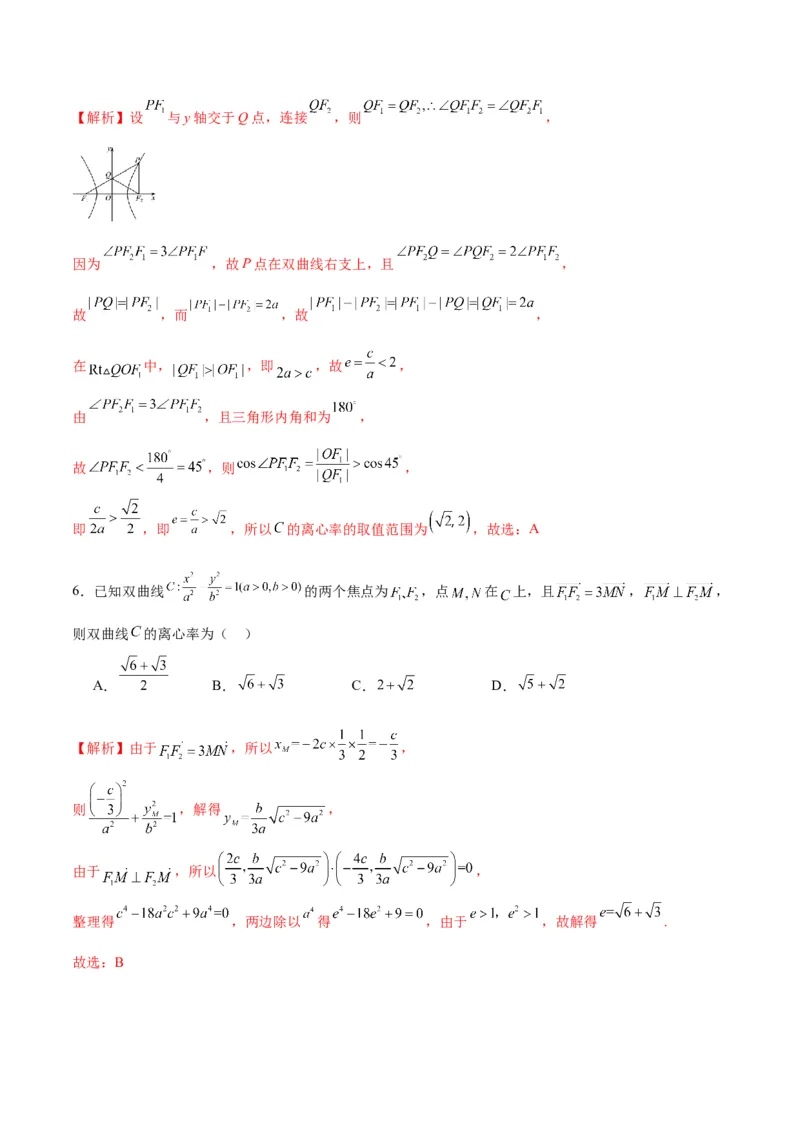
专题12 双曲线中的离心率问题 限时:120分钟 满分:150分 一、单选题:本大题共8小题,每个小题5分,共40分.在每小题给出的选项中,只有一项是符合题目要 求的. 1.设 、 分别是双曲线 的左、右焦点,过 作 轴的垂线与 相交于 、 两点,若 为正三角形,则 的离心率为( ) A. B. C. D. 【解析】设 ,因为 轴,则点 、 关于 轴对称,则 为线段 的中点, 因为 为等边三角形,则 ,所以, , 所以, ,则 , 所以, ,则 , 因此,该双曲线 的离心率为 .故选:D. 2.若双曲线 的一条渐近线被圆 所截得的弦长为 ,则 的离 心率为( ) A. B. C. D. 【解析】双曲线 的渐近线方程为 ,直线 被圆 所得截得的弦长为 ,则圆心 到直线 的距离为 , 由点到直线的距离公式可得 ,解得 ,则 , 因此,双曲线 的离心率为 .故选:B. 3.已知双曲线 : ( , )的右焦点为 , 、 两点在双曲线的左、右两支上,且 , , ,且点 在双曲线上,则双曲线的离心率为( ) A. B. C. D. 【解析】设双曲线的左焦点为 ,连接 , 因为 ,所以 ,因为 ,所以 , 因为 ,所以四边形 为矩形, 设 ( ),则 , , 在 中, , 所以 ,化简得 ,解得 , 在 中, ,所以 ,所以 , 所以 ,得 ,所以离心率 ,故选:B4.如图,双曲线 的左、右焦点分别为 , ,直线 过点 与双曲线的两条渐近线分 别交于 两点.若 是 的中点,且 ,则此双曲线的离心率为( ) A. B.2 C. D. 【解析】因为 ,则 ,所以 是直角三角形,又因为 是 的中点, 所以 是直角 斜边中线,因此 ,而点 是线段 的中点, 所以 是等腰三角形,因此 ,由双曲线渐近线的对称性可知中: ,于是有: , 因为双曲线渐近线的方程为: ,因此有: ,故选:B. 5.已知双曲线 的左、右焦点分别为 , ,若在 上存在点 不是顶点 ,使 得 ,则 的离心率的取值范围为( ) A. B. C. D.【解析】设 与y轴交于Q点,连接 ,则 , 因为 ,故P点在双曲线右支上,且 , 故 ,而 ,故 , 在 中, ,即 ,故 , 由 ,且三角形内角和为 , 故 ,则 , 即 ,即 ,所以 的离心率的取值范围为 ,故选:A 6.已知双曲线 的两个焦点为 ,点 在 上,且 , , 则双曲线 的离心率为( ) A. B. C. D. 【解析】由于 ,所以 , 则 ,解得 , 由于 ,所以 , 整理得 ,两边除以 得 ,由于 ,故解得 . 故选:B7.已知双曲线 的上下焦点分别为 ,点 在 的下支上,过点 作 的一 条渐近线的垂线,垂足为 ,若 恒成立,则 的离心率的取值范围为( ) A. B. C. D. 【解析】如图,过点 作渐近线的垂线,垂足为 , 设 ,则点 到渐近线 的距离 . 由双曲线的定义可得 ,故 , 所以 ,即 的最小值为 , 因为 恒成立,所以 恒成立,即 恒成立, 所以, ,即 ,即 , 所以, ,即 ,解得 .故选:A. 8.已知双曲线 的左顶点为 ,过 的直线 与 的右支交于点 ,若线段 的中 点在圆 上,且 ,则双曲线 的离心率为( )A. B. C.2 D.3 【解析】设线段 的中点为 ,双曲线的右顶点为 ,左右焦点为 ,连接 , 因为线段 的中点 在圆 上,所以 , 所以 ≌ ,所以 ,因为 ,所以 , 在 中,由余弦定理得 , 因为 ,所以 , 所以 ,过 作 轴于 ,则 , 所以 ,所以 ,得 ,所以 , ,所以 , 所以离心率 ,故选:A 二、多选题:本大题共4小题,每个小题5分,共20分.在每小题给出的选项中,只有一项或者多项是符 合题目要求的. 9.双曲线 的离心率为 ,双曲线 的离心率为 ,则 的值不可能是( ) A. B. C. D. 【解析】 ,当且仅当 即 时取等号,所以 故选:CD. . 10.双曲线 的离心率为e,若过点 能作该双曲线的两条切线,则e可能取值为( ). A. B. C. D.2 【解析】斜率不存在时不合题意,所以直线切线斜率一定存在, 设切线方程是 ,由 得 , 显然 时,所得直线只有一条,不满足题意,所以 , 由 得 ,整理为 , 由题意此方程有两不等实根,所以 , , 则 为双曲线的半焦距 , ,即 , 代入方程 ,得 ,此时 , 综上,e的范围是 故选:AC 11.已知双曲线 的左、右焦点分别为 ,过点 的直线 与圆 相切, 且与 交于 两点,若 ,则 的离心率可能为( ) A. B. C. D. 【解析】当点 同时在双曲线 的左支上时,设切点为 ,则 , .作 交 于点 ,则 ,而O为 的中点,则P为 的中点,故 , 因为 , 为锐角,故 所以 , ,所以 ,则 , 故双曲线 的离心率 . 当点 在双曲线的两支上时,仍有 , 因为 , 为锐角,故 所以 , ,所以 ,则 , 故双曲线 的离心率 ,故选:AD 12.已知 、 是双曲线 ( , )的左、右焦点,过 作双曲线一条渐近线的垂线,垂足为点 ,交另一条渐近线于点 ,且 ,则该双曲线的离心率为( ). A. B. C. D. 【解析】当 时,设 ,则 ,设 ,如图, 双曲线的渐近线方程为 ,即 ,在 中, ,设 , 又 ,则 ,又双曲线中 ,即有 , 于是 , , , ,则 , , , 代入得 ,即 ,解得 ,则 ,A 正确;当 时,设 , ,设 ,如图, 则 , ,在 中, ,设 , 又 ,则 ,又双曲线中 ,即 , 于是 , , , ,则 , , , 而 ,即 , 因此 ,即 ,解得 ,则 ,C正确.故选:AC 三、填空题:本大题共4小题,每小题5分,共20分.把答案填在答题卡中的横线上. 13.双曲线 的一条渐近线方程为 ,则其离心率是 . 【解析】由题意知 ,又因为在双曲线中, , 所以 ,故 (负舍) 14.已知双曲线方程为 ,左焦点 关于一条渐近线的对称点在另一条渐近线上,则 该双曲线的离心率为 . 【解析】如图:设 关于渐近线 对称的点 在渐近线 上, 的中点 在渐近线 上,则 ,又 , 所以 , 所以 ,所以 . 15.已知双曲线 的右焦点为 ,直线 与双曲线 交于 两点,与双曲 线 的渐近线交于 两点,若 ,则双曲线 的离心率是 . 【解析】由双曲线方程可得其渐近线方程为: , 直线 , 为双曲线的通径,则由 得 ,则 , 由 得 ,则 ,由 得:即 ,所以 ,所以离心率 16.已知双曲线 的左、右焦点分别为 ,双曲线的左顶点为A,以 为直径的 圆交双曲线的一条渐近线于P,Q两点,其中点Q在y轴右侧,若 ,则该双曲线的离心率的取 值范围是 . 【解析】依题意可得,以 为直径的圆的方程为 , 不妨设双曲线的这条渐近线方程为 , 由 ,得: 或 ,所以 , 双曲线的左顶点为 ,则 , 所以 , , 因为 ,所以 ,化简得 , 所以 ,所以 ,所以 ,又 ,所以 . 四、解答题:本大题共6小题,共70分.解答应写出必要的文字说明、证明过程或演算步骤. 17.已知 , 分别为双曲线 的左、右焦点,P为双曲线右支上的任意一点,当 取最小值时,求双曲线的离心率e的取值范围. 【解析】 双曲线 的左右焦点分别为 为双曲线右支上的任意一点,, , 当且仅当 ,即 时取等号, , , , , 故双曲线的离心率e的取值范围为: . . 18.已知椭圆 与双曲线 ,有相同的左、右焦点 , ,若点 是 与 在第一象限内的交点,且 ,设 与 的离心率分别为 , ,求 的取值范围. 【解析】设 , , ,由椭圆的定义可得 , 由双曲线的定义可得 ,解得 , , 由 ,可得 ,即 ,由 , ,可得 , 由 ,可得 ,可得 ,即 , 则 ,设 ,则 , 由于函数 在 上递增,所以 ,即 的取值范围为 . 19.已知双曲线T: 离心率为e,圆O: . (1)若e=2,双曲线T的右焦点为 ,求双曲线方程; (2)若圆O过双曲线T的右焦点F,圆O与双曲线T的四个交点恰好四等分圆周,求 的值; (3)若R=1,不垂直于x轴的直线l:y=kx+m与圆O相切,且l与双曲线T交于点A,B时总有 ,求 离心率e的取值范围. 【解析】(1)因 ,双曲线T的右焦点为 ,则 , , , , 则双曲线方程为 . (2)如图所示, 因为圆O与双曲线T的四个交点恰好四等分圆周,则 , , 则 ,代入双曲线方程 ,可得 , 令 ,则 ,解得 ,即 . (3)由题知,作图如下, 因为直线l:y=kx+m与圆O相切,且 ,则圆心到直线 距离为 , 化简得 ,①又 ,设 ,则 ,即 , 则 ,② 联立 得 , 则 , ,③ 联立①②③,得 ,则 , 又 ,则 ,则 , 即离心率e的取值范围为 . 20.已知点 是双曲线 右支上一点, 、 是双曲线的左、右焦点, , . (1)求双曲线的离心率; (2)设 、 分别是 的外接圆半径和内切圆半径,求 . △ 【解析】(1)由 为双曲线的右支上一点,可得 , 又 ,可得 , , 在 中, ,由余弦定理可得 △ ,即 ,可得 ; (2)由 ,即 ; 因为 ,又 , 所以 ,所以 . 21.已知双曲线 的左、右焦点分别为 , ,A为双曲线C左支上一点, . (1)求双曲线C的离心率; (2)设点A关于x轴的对称点为B,D为双曲线C右支上一点,直线 与x轴交点的横坐标分别为 , 且 ,求双曲线C的方程. 【解析】(1)由于A为双曲线C左支上一点,由双曲线的定义可知 , 所以 .整理,得 ,所以 , 所以双曲线C的离心率为 . (2)由(1)可设双曲线C的标准方程为 . 设 , , .直线AD的方程为 . 令 ,则 .直线BD的方程为 , 令 ,则 .所以 .因为 , 满足方程 , 所以 , ,所以 , 所以双曲线C的方程为 . 22.已知双曲线 ,若直线 与双曲线 交于 两点,线段 的中点为 ,且 ( 为坐标原点). (1)求双曲线 的离心率; (2)若直线 不经过双曲线 的右顶点 ,且以 为直径的圆经过点 ,证明直线 恒过定点 ,并 求出点 的坐标. 【解析】(1)设 ,则 ,由题意得 所以 , , ,即 , , ; (2) 因为双曲线的右顶点 ,所以双曲线 的标准方程为 ,因为 ,所以直线 的斜率一定存在,并且 (如果 ,则 ,这不可能),设直线 的方程为 ,联立方程 得: ,所以 , 即 ,所以 . 因为以 为直径的圆经过点 ,所以 ,所以 , 又因为 , 所以 , 又因为 , 所以 , 即 , 化简得 ,即 , 解得 或 ,且均满足 , 当 时, ,因为直线 不过定点 ,故舍去; 当 时, ,所以直线 恒过定点 ; 综上, ,直线 恒过定点 .