当前位置:首页>文档>第9章第57讲 难溶电解质的沉淀溶解平衡_05高考化学_2024年新高考资料_1.2024一轮复习_2024年高考化学一轮复习讲义(新人教新高考版)_学生版在此文件夹_大一轮复习讲义

第9章第57讲 难溶电解质的沉淀溶解平衡_05高考化学_2024年新高考资料_1.2024一轮复习_2024年高考化学一轮复习讲义(新人教新高考版)_学生版在此文件夹_大一轮复习讲义

  • 2026-04-03 11:49:51 2026-03-29 12:52:28

文档预览

第9章第57讲 难溶电解质的沉淀溶解平衡_05高考化学_2024年新高考资料_1.2024一轮复习_2024年高考化学一轮复习讲义(新人教新高考版)_学生版在此文件夹_大一轮复习讲义
第9章第57讲 难溶电解质的沉淀溶解平衡_05高考化学_2024年新高考资料_1.2024一轮复习_2024年高考化学一轮复习讲义(新人教新高考版)_学生版在此文件夹_大一轮复习讲义
第9章第57讲 难溶电解质的沉淀溶解平衡_05高考化学_2024年新高考资料_1.2024一轮复习_2024年高考化学一轮复习讲义(新人教新高考版)_学生版在此文件夹_大一轮复习讲义
第9章第57讲 难溶电解质的沉淀溶解平衡_05高考化学_2024年新高考资料_1.2024一轮复习_2024年高考化学一轮复习讲义(新人教新高考版)_学生版在此文件夹_大一轮复习讲义
第9章第57讲 难溶电解质的沉淀溶解平衡_05高考化学_2024年新高考资料_1.2024一轮复习_2024年高考化学一轮复习讲义(新人教新高考版)_学生版在此文件夹_大一轮复习讲义
第9章第57讲 难溶电解质的沉淀溶解平衡_05高考化学_2024年新高考资料_1.2024一轮复习_2024年高考化学一轮复习讲义(新人教新高考版)_学生版在此文件夹_大一轮复习讲义
第9章第57讲 难溶电解质的沉淀溶解平衡_05高考化学_2024年新高考资料_1.2024一轮复习_2024年高考化学一轮复习讲义(新人教新高考版)_学生版在此文件夹_大一轮复习讲义
第9章第57讲 难溶电解质的沉淀溶解平衡_05高考化学_2024年新高考资料_1.2024一轮复习_2024年高考化学一轮复习讲义(新人教新高考版)_学生版在此文件夹_大一轮复习讲义
第9章第57讲 难溶电解质的沉淀溶解平衡_05高考化学_2024年新高考资料_1.2024一轮复习_2024年高考化学一轮复习讲义(新人教新高考版)_学生版在此文件夹_大一轮复习讲义
第9章第57讲 难溶电解质的沉淀溶解平衡_05高考化学_2024年新高考资料_1.2024一轮复习_2024年高考化学一轮复习讲义(新人教新高考版)_学生版在此文件夹_大一轮复习讲义
第9章第57讲 难溶电解质的沉淀溶解平衡_05高考化学_2024年新高考资料_1.2024一轮复习_2024年高考化学一轮复习讲义(新人教新高考版)_学生版在此文件夹_大一轮复习讲义

文档信息

文档格式
docx
文档大小
0.993 MB
文档页数
7 页
上传时间
2026-03-29 12:52:28

文档内容

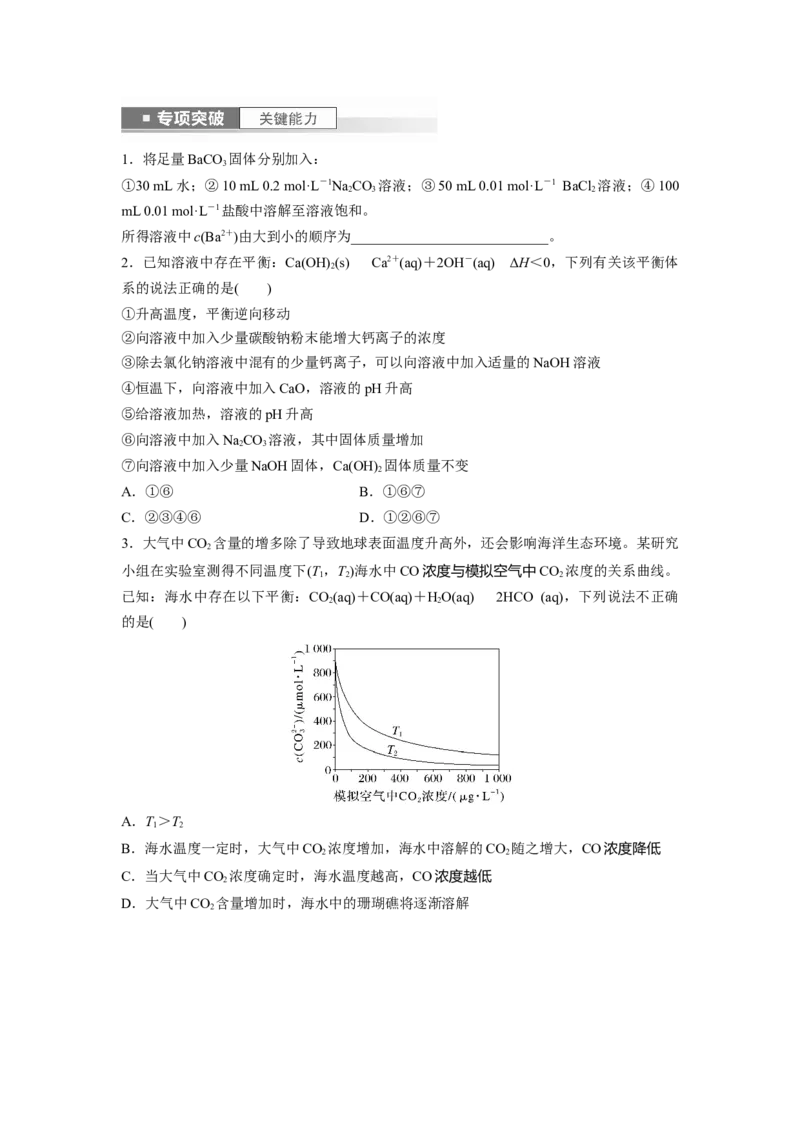
第 57 讲 难溶电解质的沉淀溶解平衡 [复习目标] 1.了解难溶电解质的沉淀溶解平衡。2.理解溶度积(K )的含义,并能进行相关 sp 计算。3.了解沉淀的生成、溶解与转化,并能应用化学平衡原理解释。 考点一 沉淀溶解平衡及影响因素 1.物质的溶解性与溶解度的关系 20 ℃时,电解质在水中的溶解度与溶解性存在如下关系: 2.沉淀溶解平衡 (1)概念 在一定温度下,当沉淀和溶解的速率______时,形成____________,达到平衡状态,把这 种平衡称为沉淀溶解平衡。 (2)沉淀溶解平衡的影响因素 ①内因:难溶电解质本身的性质,即难溶电解质的溶解能力。 ②外因:难溶电解质在水溶液中会建立动态平衡,改变温度和某离子浓度,会使沉淀溶解 平衡发生移动。 以AgCl为例:AgCl(s)Ag+(aq)+Cl-(aq) ΔH>0完成下表。 外界条件 移动方向 c(Ag+) 升高温度 加水(固体有剩余) 加入少量AgNO 3 加入NaS 2 通入HCl 通入NH 3 1.难溶电解质在水溶液中达到沉淀溶解平衡时,沉淀和溶解即停止( ) 2.相同温度下,AgCl在水中的溶解能力与在NaCl溶液中的相同( ) 3.难溶电解质达到沉淀溶解平衡时,增加难溶电解质的量,平衡向溶解方向移动( )1.将足量BaCO 固体分别加入: 3 ①30 mL水;②10 mL 0.2 mol·L-1NaCO 溶液;③50 mL 0.01 mol·L-1 BaCl 溶液;④100 2 3 2 mL 0.01 mol·L-1盐酸中溶解至溶液饱和。 所得溶液中c(Ba2+)由大到小的顺序为____________________________。 2.已知溶液中存在平衡:Ca(OH) (s)Ca2+(aq)+2OH-(aq) ΔH<0,下列有关该平衡体 2 系的说法正确的是( ) ①升高温度,平衡逆向移动 ②向溶液中加入少量碳酸钠粉末能增大钙离子的浓度 ③除去氯化钠溶液中混有的少量钙离子,可以向溶液中加入适量的NaOH溶液 ④恒温下,向溶液中加入CaO,溶液的pH升高 ⑤给溶液加热,溶液的pH升高 ⑥向溶液中加入NaCO 溶液,其中固体质量增加 2 3 ⑦向溶液中加入少量NaOH固体,Ca(OH) 固体质量不变 2 A.①⑥ B.①⑥⑦ C.②③④⑥ D.①②⑥⑦ 3.大气中CO 含量的增多除了导致地球表面温度升高外,还会影响海洋生态环境。某研究 2 小组在实验室测得不同温度下(T ,T)海水中CO浓度与模拟空气中CO 浓度的关系曲线。 1 2 2 已知:海水中存在以下平衡:CO(aq)+CO(aq)+HO(aq)2HCO (aq),下列说法不正确 2 2 的是( ) A.T>T 1 2 B.海水温度一定时,大气中CO 浓度增加,海水中溶解的CO 随之增大,CO浓度降低 2 2 C.当大气中CO 浓度确定时,海水温度越高,CO浓度越低 2 D.大气中CO 含量增加时,海水中的珊瑚礁将逐渐溶解 2考点二 溶度积常数及应用 1.溶度积常数和离子积 以A B (s)mAn+(aq)+nBm-(aq)为例: m n 溶度积 离子积 含义 沉淀溶解平衡的平衡常数 溶液中有关离子浓度幂的乘积 符号 K Q sp K (A B )=__________________, Q(A B )=__________________, sp m n m n 表达式 式中的浓度是平衡浓度 式中的浓度是任意浓度 判断在一定条件下沉淀能否生成或溶解 ①Q>K :溶液过饱和,有______析出; sp 应用 ②Q=K :溶液饱和,处于______状态; sp ③Q<K :溶液________,无沉淀析出 sp 2.K 的影响因素 sp (1)内因:溶度积与难溶电解质溶解能力的关系:阴、阳离子个数比相同的难溶电解质,溶 度积______,其溶解能力____;不同类型的难溶电解质,应通过计算才能进行比较溶解能 力。 (2)外因:仅与______有关,与浓度、压强、催化剂等无关。 一、溶度积的概念及影响因素 1.下列说法正确的是( ) A.难溶电解质的溶度积K 越小,则它的溶解度越小 sp B.K (Ag CrO)