当前位置:首页>文档>专题08二次函数中的等腰等直三角形(解析版)_北师大初中数学_9下-北师大版初中数学_06专项讲练_微专题2022-2023学年九年级数学下册常考点微专题提分精练(北师大版)

专题08二次函数中的等腰等直三角形(解析版)_北师大初中数学_9下-北师大版初中数学_06专项讲练_微专题2022-2023学年九年级数学下册常考点微专题提分精练(北师大版)

  • 2026-04-12 23:42:30 2026-04-12 21:51:20

文档预览

专题08二次函数中的等腰等直三角形(解析版)_北师大初中数学_9下-北师大版初中数学_06专项讲练_微专题2022-2023学年九年级数学下册常考点微专题提分精练(北师大版)
专题08二次函数中的等腰等直三角形(解析版)_北师大初中数学_9下-北师大版初中数学_06专项讲练_微专题2022-2023学年九年级数学下册常考点微专题提分精练(北师大版)
专题08二次函数中的等腰等直三角形(解析版)_北师大初中数学_9下-北师大版初中数学_06专项讲练_微专题2022-2023学年九年级数学下册常考点微专题提分精练(北师大版)
专题08二次函数中的等腰等直三角形(解析版)_北师大初中数学_9下-北师大版初中数学_06专项讲练_微专题2022-2023学年九年级数学下册常考点微专题提分精练(北师大版)
专题08二次函数中的等腰等直三角形(解析版)_北师大初中数学_9下-北师大版初中数学_06专项讲练_微专题2022-2023学年九年级数学下册常考点微专题提分精练(北师大版)
专题08二次函数中的等腰等直三角形(解析版)_北师大初中数学_9下-北师大版初中数学_06专项讲练_微专题2022-2023学年九年级数学下册常考点微专题提分精练(北师大版)
专题08二次函数中的等腰等直三角形(解析版)_北师大初中数学_9下-北师大版初中数学_06专项讲练_微专题2022-2023学年九年级数学下册常考点微专题提分精练(北师大版)
专题08二次函数中的等腰等直三角形(解析版)_北师大初中数学_9下-北师大版初中数学_06专项讲练_微专题2022-2023学年九年级数学下册常考点微专题提分精练(北师大版)
专题08二次函数中的等腰等直三角形(解析版)_北师大初中数学_9下-北师大版初中数学_06专项讲练_微专题2022-2023学年九年级数学下册常考点微专题提分精练(北师大版)
专题08二次函数中的等腰等直三角形(解析版)_北师大初中数学_9下-北师大版初中数学_06专项讲练_微专题2022-2023学年九年级数学下册常考点微专题提分精练(北师大版)
专题08二次函数中的等腰等直三角形(解析版)_北师大初中数学_9下-北师大版初中数学_06专项讲练_微专题2022-2023学年九年级数学下册常考点微专题提分精练(北师大版)
专题08二次函数中的等腰等直三角形(解析版)_北师大初中数学_9下-北师大版初中数学_06专项讲练_微专题2022-2023学年九年级数学下册常考点微专题提分精练(北师大版)
专题08二次函数中的等腰等直三角形(解析版)_北师大初中数学_9下-北师大版初中数学_06专项讲练_微专题2022-2023学年九年级数学下册常考点微专题提分精练(北师大版)
专题08二次函数中的等腰等直三角形(解析版)_北师大初中数学_9下-北师大版初中数学_06专项讲练_微专题2022-2023学年九年级数学下册常考点微专题提分精练(北师大版)
专题08二次函数中的等腰等直三角形(解析版)_北师大初中数学_9下-北师大版初中数学_06专项讲练_微专题2022-2023学年九年级数学下册常考点微专题提分精练(北师大版)
专题08二次函数中的等腰等直三角形(解析版)_北师大初中数学_9下-北师大版初中数学_06专项讲练_微专题2022-2023学年九年级数学下册常考点微专题提分精练(北师大版)
专题08二次函数中的等腰等直三角形(解析版)_北师大初中数学_9下-北师大版初中数学_06专项讲练_微专题2022-2023学年九年级数学下册常考点微专题提分精练(北师大版)
专题08二次函数中的等腰等直三角形(解析版)_北师大初中数学_9下-北师大版初中数学_06专项讲练_微专题2022-2023学年九年级数学下册常考点微专题提分精练(北师大版)
专题08二次函数中的等腰等直三角形(解析版)_北师大初中数学_9下-北师大版初中数学_06专项讲练_微专题2022-2023学年九年级数学下册常考点微专题提分精练(北师大版)
专题08二次函数中的等腰等直三角形(解析版)_北师大初中数学_9下-北师大版初中数学_06专项讲练_微专题2022-2023学年九年级数学下册常考点微专题提分精练(北师大版)
专题08二次函数中的等腰等直三角形(解析版)_北师大初中数学_9下-北师大版初中数学_06专项讲练_微专题2022-2023学年九年级数学下册常考点微专题提分精练(北师大版)
专题08二次函数中的等腰等直三角形(解析版)_北师大初中数学_9下-北师大版初中数学_06专项讲练_微专题2022-2023学年九年级数学下册常考点微专题提分精练(北师大版)
专题08二次函数中的等腰等直三角形(解析版)_北师大初中数学_9下-北师大版初中数学_06专项讲练_微专题2022-2023学年九年级数学下册常考点微专题提分精练(北师大版)
专题08二次函数中的等腰等直三角形(解析版)_北师大初中数学_9下-北师大版初中数学_06专项讲练_微专题2022-2023学年九年级数学下册常考点微专题提分精练(北师大版)
专题08二次函数中的等腰等直三角形(解析版)_北师大初中数学_9下-北师大版初中数学_06专项讲练_微专题2022-2023学年九年级数学下册常考点微专题提分精练(北师大版)
专题08二次函数中的等腰等直三角形(解析版)_北师大初中数学_9下-北师大版初中数学_06专项讲练_微专题2022-2023学年九年级数学下册常考点微专题提分精练(北师大版)
专题08二次函数中的等腰等直三角形(解析版)_北师大初中数学_9下-北师大版初中数学_06专项讲练_微专题2022-2023学年九年级数学下册常考点微专题提分精练(北师大版)
专题08二次函数中的等腰等直三角形(解析版)_北师大初中数学_9下-北师大版初中数学_06专项讲练_微专题2022-2023学年九年级数学下册常考点微专题提分精练(北师大版)
专题08二次函数中的等腰等直三角形(解析版)_北师大初中数学_9下-北师大版初中数学_06专项讲练_微专题2022-2023学年九年级数学下册常考点微专题提分精练(北师大版)
专题08二次函数中的等腰等直三角形(解析版)_北师大初中数学_9下-北师大版初中数学_06专项讲练_微专题2022-2023学年九年级数学下册常考点微专题提分精练(北师大版)
专题08二次函数中的等腰等直三角形(解析版)_北师大初中数学_9下-北师大版初中数学_06专项讲练_微专题2022-2023学年九年级数学下册常考点微专题提分精练(北师大版)
专题08二次函数中的等腰等直三角形(解析版)_北师大初中数学_9下-北师大版初中数学_06专项讲练_微专题2022-2023学年九年级数学下册常考点微专题提分精练(北师大版)
专题08二次函数中的等腰等直三角形(解析版)_北师大初中数学_9下-北师大版初中数学_06专项讲练_微专题2022-2023学年九年级数学下册常考点微专题提分精练(北师大版)
专题08二次函数中的等腰等直三角形(解析版)_北师大初中数学_9下-北师大版初中数学_06专项讲练_微专题2022-2023学年九年级数学下册常考点微专题提分精练(北师大版)
专题08二次函数中的等腰等直三角形(解析版)_北师大初中数学_9下-北师大版初中数学_06专项讲练_微专题2022-2023学年九年级数学下册常考点微专题提分精练(北师大版)
专题08二次函数中的等腰等直三角形(解析版)_北师大初中数学_9下-北师大版初中数学_06专项讲练_微专题2022-2023学年九年级数学下册常考点微专题提分精练(北师大版)
专题08二次函数中的等腰等直三角形(解析版)_北师大初中数学_9下-北师大版初中数学_06专项讲练_微专题2022-2023学年九年级数学下册常考点微专题提分精练(北师大版)
专题08二次函数中的等腰等直三角形(解析版)_北师大初中数学_9下-北师大版初中数学_06专项讲练_微专题2022-2023学年九年级数学下册常考点微专题提分精练(北师大版)
专题08二次函数中的等腰等直三角形(解析版)_北师大初中数学_9下-北师大版初中数学_06专项讲练_微专题2022-2023学年九年级数学下册常考点微专题提分精练(北师大版)
专题08二次函数中的等腰等直三角形(解析版)_北师大初中数学_9下-北师大版初中数学_06专项讲练_微专题2022-2023学年九年级数学下册常考点微专题提分精练(北师大版)
专题08二次函数中的等腰等直三角形(解析版)_北师大初中数学_9下-北师大版初中数学_06专项讲练_微专题2022-2023学年九年级数学下册常考点微专题提分精练(北师大版)
专题08二次函数中的等腰等直三角形(解析版)_北师大初中数学_9下-北师大版初中数学_06专项讲练_微专题2022-2023学年九年级数学下册常考点微专题提分精练(北师大版)
专题08二次函数中的等腰等直三角形(解析版)_北师大初中数学_9下-北师大版初中数学_06专项讲练_微专题2022-2023学年九年级数学下册常考点微专题提分精练(北师大版)
专题08二次函数中的等腰等直三角形(解析版)_北师大初中数学_9下-北师大版初中数学_06专项讲练_微专题2022-2023学年九年级数学下册常考点微专题提分精练(北师大版)
专题08二次函数中的等腰等直三角形(解析版)_北师大初中数学_9下-北师大版初中数学_06专项讲练_微专题2022-2023学年九年级数学下册常考点微专题提分精练(北师大版)

文档信息

文档格式
docx
文档大小
2.315 MB
文档页数
41 页
上传时间
2026-04-12 21:51:20

文档内容

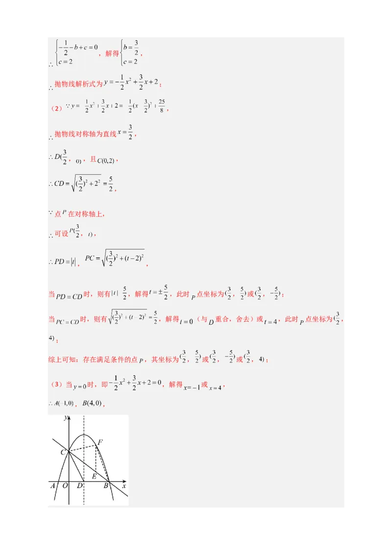
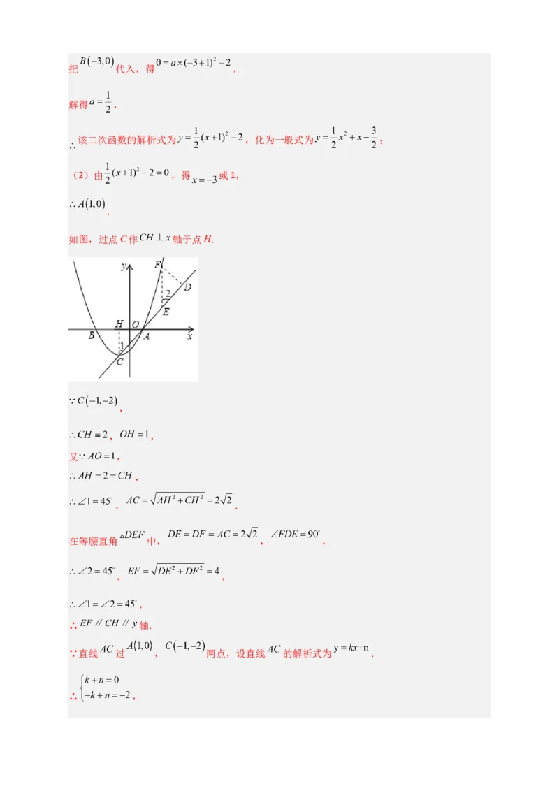
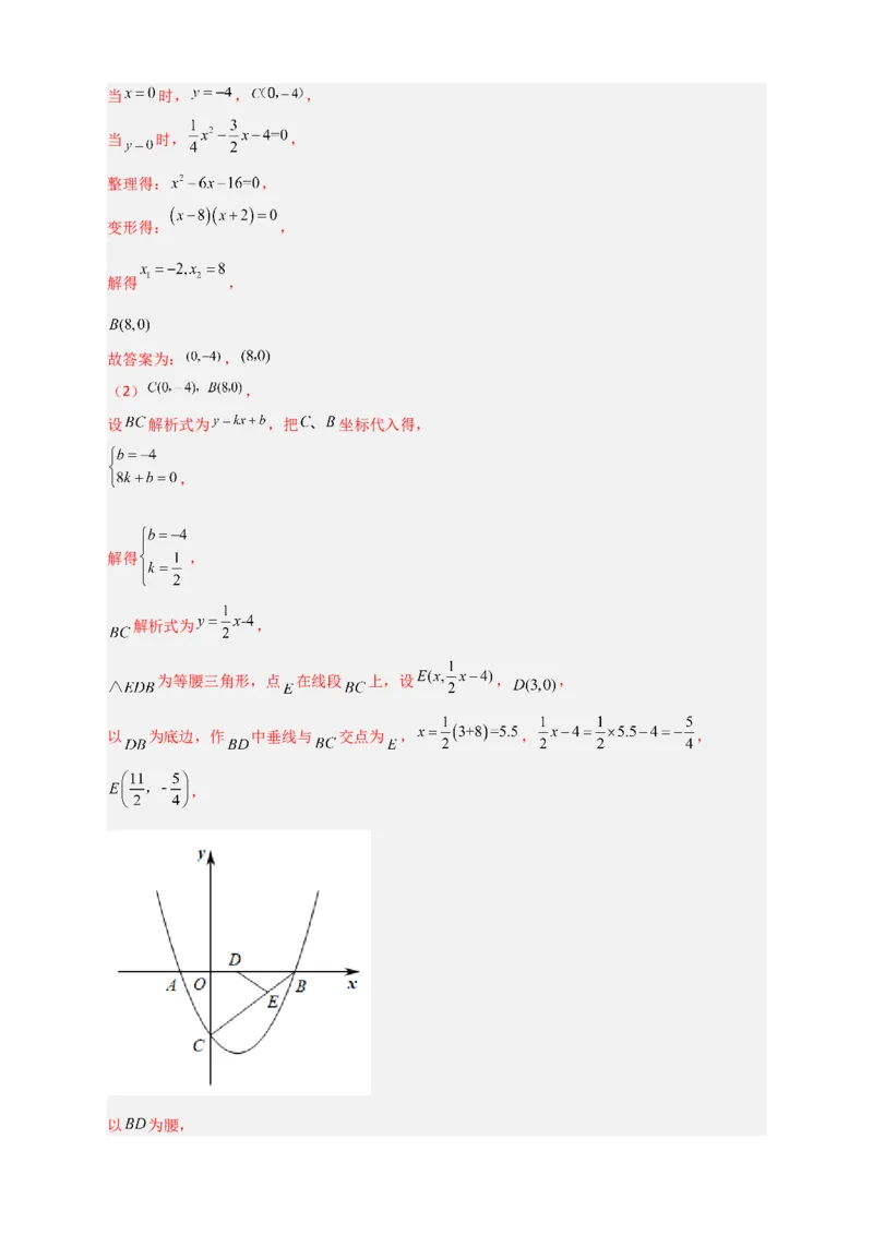
专题08 二次函数中的等腰等直三角形 1.如图,已知二次函数 的图象交x轴于点 , ,交y轴于点C. (1)求这个二次函数的表达式; (2)直线 分别交直线 和抛物线于点M,N,当 是等腰三角形时,直接写出m的值. 【答案】(1) ; (2) 的值为 , ,1,2 【分析】(1)根据待定系数法求解即可; (2)分 , , 三种情况讨论即可. 【详解】(1)解:将 , 代入函数解析式,得 , 解得 , 这个二次函数的表达式是 ; (2)解:设 , , 则 , , 当 时,① ,解得 , (舍去), ② ,解得 , (舍去),当 时, ,此时N在x轴上, ,解得 或 (舍 当 时, , ,解得 或 (舍 , 当 是等腰三角形时, 的值为 , ,1,2. 【点睛】本题考查了二次函数综合题,解(1)的关键是待定系数法;解(2)的关键是利用等腰 三角形的定义得出关于m的方程,要分类讨论,以防遗漏. 2.如图,已知二次函数 的图象与 轴交于点 ,与 轴交于 、 两点,其对称 轴与 轴交于点 . (1)点 的坐标为___________,点 的坐标为___________; (2)连接 ,在线段 上是否存在点 ,使得 为等腰三角形?若存在,求出所有符合条件 的点 的坐标;若不存在,请说明理由; 【答案】(1) , ; (2) , , 【分析】(1)分别将 、 代入函数解析式,求解即可; (2)求出直线 的解析式,分三种情况讨论 、 、 ,分别求解即可. 【详解】(1)解: ,当 时, , , 当 时, , 整理得: , 变形得: , 解得 , 故答案为: , (2) , 设 解析式为 ,把 坐标代入得, , 解得 , 解析式为 , 为等腰三角形,点 在线段 上,设 , , 以 为底边,作 中垂线与 交点为 , , , , 以 为腰,当 时 , , 或 舍去, , , 当 时,点 与点 重合, , 为等腰三角形符合条件的点 的坐标为: , , ; 【点睛】此题考查了二次函数与几何的综合应用,涉及了二次函数与坐标轴的交点,等腰三角形 的性质,解题的关键是熟练掌握二次函数基础性质,学会利用分类讨论的思想求解问题.3.如图所示,关于 的二次函数 的图象与 轴交于点 和点 ,与 轴交于点 ,抛物线的对称轴与 轴交于点 . (1)求二次函数的表达式; (2)在 轴上是否存在一点 ,使 为等腰三角形?若存在,求出点 的坐标;若不存在,请说 明理由; 【答案】(1) ; (2)存在, 的坐标为: 或 或 或 .理由见解析. 【分析】(1)根据待定系数法求函数解析式将点A、点C代入即可求解; (2)先根据函数与x轴交点求出B点坐标,在根据等腰三角形进行分类讨论腰,即可得到4个点 坐标. 【详解】(1)解:把 和 代入 ,得 . 解得: , . 二次函数的表达式为: . (2)解:存在,理由如下: 令 ,则 ,解得: 或 . , ∵ ,. 如图1,点 在 轴上,当 为等腰三角形时分三种情况进行讨论: ①当 时, , 或 . , ; ②当 时, . ; ③当 时, , 此时 与 重合. ; 综上所述,点 的坐标为: 或 或 或 . 【点睛】本题主要考查求二次函数解析式及二次函数上动点围成等腰三角形问题,关键在于分类 讨论. 4.如图,二次函数的图象与 轴交于点 ,顶点为 ,对称轴 与 轴交于点 ,点 是二次函数图象上一动点, 交其对称轴于点 ,点 关于点 成中心对称,连接 .(1)求该二次函数的解析式; (2)若点 在二次函数图象上运动,当 为等腰直角三角形时,请直接写出点 的坐标. 【答案】(1) (2) 【分析】(1)先利用顶点坐标设出其顶点解析式,再将A点坐标代入解析式中求出二次项系数即 可得到答案; (2)分别设出点 ,可得点 的坐标为 ,再用t表示出 ,然后分 当 时,当 时,求出t的值后,再利用勾股定理的逆定理判新其是否是直角三 角形,通过作辅助线利用三角形全等的判定与性质得到对应线段相等,求出t的值后排除以点B为 直角顶点的等腰直角三角形的情况,最后即可完成求解. 【详解】(1)解:∵二次函数的顶点 的坐标为 , ∴设二次函数的关系式为 , ∵二次函数图象经过点 , ∴ , ∴ , ∴ ,即 ;(2)解: 设点 , 设直线 的解析式为 ,则 ∴ ∴直线 的解析式为 , 当 时, , ∴点 的坐标为 , ∵点 关于点 成中心对称, ∴点 的坐标为 , ∴ , , ; 当 时, , ∴ 或 (此时B点位于顶点处,B点与E点重合,与题意不符,故舍去), ∴ ; 此时, , ∴ ; ∴此时 为等腰直角三角形, ∴ , 其在图中的位置如下图1和图2所示;当 时, , ∴ , ∴ , ∴ , 此时 , , ∵ , ∴该情况不成立; 当B点在对称轴右侧且 是以点B为顶点的等腰直角三角形时,如图3所示, 过B点作 轴,垂足为M,过E点作 轴,与直线 交于点N, 则 , ∴ , ∵ , ∴ , ∴ , ∴ ,且 , ∴ 或6,且 ,(相互矛盾) ∴该情况不成立; 当B点在对称轴左侧时同理可证不存在以B点为顶点的等腰直角 ; 综上可得: .【点睛】本题属于几何中的动点问题,涉及到了一次函数、二次函数、等腰直角三角形、勾股定 理、等相关知识,考查了学生对相关知识的理解与应用;本题综合性较强,要求学生有严密的逻 辑思维和全面的分析能力,蕴含了分类讨论和数形结合的思想方法等. 5.在平面直角坐标系 中,二次函数 的图像与 轴交于点A,B(点B在点A 的左侧),与 轴交于点C,过动点 作平行于 轴的直线,直线与二次函数 的图像相交于点D,E. (1)写出点A,点B的坐标; (2)直线上是否存在一点F,使得 是等腰直角三角形?若存在,求 的值;若不存在,请说 明理由. 【答案】(1)A、B两点的坐标分别为 和 (2)存在, 或 或3或 【分析】(1)当y=0时,有 ,解方程即可求得A、B两点的坐标; (2)分三种情况讨论:当 时;当 时;当 时;对三种情况,分别作适当的辅助线,构造全等三角形,由全等三角形的性质及相关已知即可求得m的值. 【详解】(1)解:当y=0时,有 , 解之得: , ∴ A、B两点的坐标分别为 和 . (2)解:存在. 对于 ,令 ,则 , ∴ ; ①当 时,如图1, 过点F作 轴于G, ∴ . ∵ , , ∴ . ∴ , ∴ . ∴ , 若点F在 的下方,则 ,∴ 或 . ②当 时,如图2, 过点F作 轴于P, ∴ . ∵ , ∴ . ∴ , ∴ . ∴ ; 若F点在 下方,则 , ∴ 或 . ③当 时,如图3, 则F点一定在 的中垂线上,此时存在两个点分别记为F,F′,分别过F,F′两点作x轴、y轴的 垂线,分别交于M,G,N,H.∵ , ∴ . ∵ , ∴ . ∴ , . ∴ 四边形 为正方形. ∴ . ∴ . ∴ , ∴ ∵ , ∴ . ∵ . ∴ . ∴ . ∴ 四边形 为正方形. ∴ . ∴ . ∴ . ∵ , ∴ y的最大值为 . ∵ 直线l与抛物线有两个交点, ∴ , ∴ m可取值为 或 或3或 . 综上所述,m的值为 或 或3或 . 【点睛】本题有一定难度,考查的主要是二次函数、圆、等腰直角三角形、正方形的判定与性质 及全等三角形判定与性质,要求对这些知识熟练且能灵活运用,但是最后一问情形较多不易找全,非常锻炼学生的全面思考能力,同时注意m的取值范围. 6.已知:二次函数 的图象与x轴交于点A、 ,顶点为 (1)求该二次函数的解析式; (2)如图,过A、C两点作直线,并将线段 沿该直线向上平移,记点A、C分别平移到点D、E 处,若点F在这个二次函数的图象上,且 是以 为斜边的等腰直角三角形,求点F的坐标 【答案】(1) (2) 【分析】(1)由二次函数 的顶点为 ,可设其解析式为 , 再把 代入,利用待定系数法即可求出该二次函数的解析式; (2)由二次函数的解析式求出 .过点C作 轴于点H.解直角 ,得出 ,那么 , .解等腰直角 得出 , ,由 ,得到 轴.利用待定系数法求出直线 的解析式为 .设 (其中 ),则点 ,那么 ,解方程求出m,进而得出点F的坐标; 【详解】(1)∵二次函数 的顶点为 , 可设该二次函数的解析式为 ,把 代入,得 , 解得 , 该二次函数的解析式为 ,化为一般式为 ; (2)由 ,得 或1, . 如图,过点C作 轴于点H. , , , 又 , , , . 在等腰直角 中, , , , , , ∴ 轴. ∵直线 过 , 两点,设直线 的解析式为 . ∴ ,∴ , ∴直线 的解析式为 . 由题意,设 (其中 ),则点 , , , (不合题意舍去), 点 的坐标为 【点睛】本题是二次函数的综合,考查了待定系数法求函数解析式,等腰直角三角形的性质,勾 股定理,二次函数与一元二次方程等知识,关键是灵活运用这些知识. 7.如图,二次函数 的图象与x轴交于A、B两点(点A在点B的右侧),与y轴交 于点C. (1)求点A、B、C的坐标; (2)若点P在x轴上,且 PBC为等腰三角形,请求出所有符合条件的点P的坐标. △ 【答案】(1)A , B ,C ; (2)P点的坐标为 或 或 或 【分析】(1)根据函数与x轴y轴交点关系代入解方程即可得到A、B、C三点坐标; (2)设P点的坐标为 ,根据两点距离公式等到 、 、 的代数式,分类讨论即可得 到答案. 【详解】(1)解:令解得 , ∴A , B 令 ,得 , ∴C ∴点A的坐标为 ,点B的坐标为 ,点C的坐标为 . (2)解:设P点的坐标为 ∵ , ∴ , , 当 PBC是等腰三角形时,分三种情况求解: △ ①当 时,由题意可得 解得 ∴P的坐标为 ; ②当 时,由题意可得 解得 或 ∴P的坐标为 或 ; ③当 时,由题意可得 解得 或 (不合题意,舍去) ∴P的坐标为 ; 综上所述,P点的坐标为 或 或 或 . 【点睛】本题考查了二次函数与坐标轴的交点坐标,对称的性质,二次函数与周长的综合,二次 函数与特殊三角形的综合等知识,解题的关键在于对知识的熟练掌握与灵活运用. 8.如图,已知二次函数 的图象与 轴的两个交点为 与点 ,与 轴交于点. (1)求此二次函数关系式和点 的坐标; (2)在 轴上是否存在点 ,使得 是等腰三角形?若存在,请你直接写出点 的坐标;若不存 在,请说明理由. 【答案】(1) ;点 的坐标: ; (2)存在,点 的坐标为 或 或 或 ,理由见解析. 【分析】(1)将点 的坐标代入解析式,即可求解二次函数关系式;结合解析式和点 是图像与 轴的交点,即可求解点 的坐标; (2)由点 在 轴上,故设点 坐标为 ,再由两点间的距离公式表示出 、 和 的平 方,最后分类讨论哪两边为腰,即可求解. 【详解】(1) 二次函数 的图象与 轴的一个交点为 , ,解得 , 此二次函数关系式为: , 当 时, 解得 , 点 的坐标为 . (2)存在,设点 的坐标为 ,则由题意得: , , , ①当 时,则 ,解得 , 或 ; ②当 时,则 ,解得 (舍), ③当 时,则 ,解得 综上所述:点P的坐标为 或 或 或 . 【点睛】本题考查的是二次函数解析式、二次函数等腰三角形存在性问题、两点间的距离公式、 方程思想、分类讨论思想等知识点,属于二次函数的综合应用,具有一定难度.解题的关键是掌 握并运用方程思想和两点间的距离公式.注意:两点间的距离公式:若平面直角坐标系中有 、 两点,则线段 . 9.如图,抛物线 与x轴交于 两点,A点坐标为 ,C点坐标为 , 与y轴交于点 .点P是抛物线上的一动点,且点P在直线 的下方,过点P作x轴的垂 线 ,交直线 于点E,垂足为D.(1)求抛物线的表达式; (2)当 最大时,求点P的坐标; (3)在(2)的条件下(即 最大时)问在直线 上是否存在点Q,使 为直角三角形?若存 在,求出符合条件的Q点的坐标,若不存在,请说明理由. 【答案】(1) (2) (3)存在, Q点的坐标为 或 【分析】(1)利用待定系数法即可求出抛物线的解析式; (2)设点P的横坐标为m,则点P的坐标为 ,点E的坐标为 ,进而可 得出 的长度,利用二次函数的最值即可解决问题; (3)设点Q的坐标为 ,则 分 三种情况,利用勾股定理即可得出关于y的方程,解之即可 得出结论. 【详解】(1)解:∵抛物线 与x轴交于 两点,A点坐标为 ,C点坐标为,与y轴交于点 . ∴ ,解得: , ∴抛物线的解析式为 ; (2)如图, 设点P的横坐标为m,则点P的坐标为 , ∵ . ∴设直线 的解析式为 , ∴ ,解得 , ∴直线 的解析式为 , ∴点E的坐标为 , ∴ , ∴当 时, 最大,此时点P的坐标为 ; (3)∵点Q在直线 上, 轴,点P的坐标为 ,∴点Q的坐标为 , 则 当 时,有 , 即 解得: , ∴Q点的坐标为 ; 当 时,有 , 即 解得: , ∴Q点的坐标为 ; 当 时,有 , 即 此时方程无解. 综上所述:在直线 上存在点Q,使 为直角三角形,Q点的坐标为 或 . 【点睛】本题考查的是利用待定系数法求解二次函数的解析式,二次函数的性质,勾股定理的应 用,清晰的分类讨论是解本题的关键. 10.如图,已知点A的坐标为 ,直线 与x轴,y轴分别交于点B和点C,连接 ,顶点为D的抛物线 过A,B,C三点.(1)求抛物线的解析式及顶点D的坐标; (2)设点M是线段 上的一动点,过点M作 ,交 于点N.点Q从点B出发,以每秒1 个单位长度的速度沿线段 向点A运动,运动时间为t(秒).当以 为直角边的 是等 腰直角三角形时,直接写出此时t的取值. 【答案】(1) ,D的坐标为( , ) (2)t的值为 或 【分析】(1)根据直线 与x轴,y轴分别交于点B和点C,确定两点的坐标,代入解析式 求解即可. (2)设M点的坐标为 ,确定直线 的解析式,分 , 两种情 况求解即可. 【详解】(1)∵直线 与x轴,y轴分别交于点B和点C, ∴B点的坐标为 ,C点的坐标为 ,点A的坐标为 , ∴ ,∴ ∴抛物线解析式为 , ∵D是抛物线 的顶点, ∴D的坐标为 . (2)设M点的坐标为 如图所示, 当 时, ∵ , ∴ , ,点N的纵坐标为 ,点Q的坐标为 设直线 的解析式为 , ∴ , ∴ , ∴直线 的解析式为 , ∴N点坐标为 ,∴ , 又∵ 为直角边的 是等腰直角三角形, ∴ , ∴ , ∴ , ∴Q点坐标为 , ∴ , ∴ ; 当 时,设N点坐标为 ,同理可得Q点坐标为 ,M坐标为 , ∴ , ,同理得 , ∴ , ∴ , ∴Q点坐标为 , ∴ ; 综上所述,当 为直角边的 是等腰直角三角形时,t的值为 或 .【点睛】本题主要考查了二次函数综合,一次函数与几何,等腰直角三角形的性质,解题的关键 在于能够熟练掌握二次函数的性质,一次函数的解析式及其性质. 11.如图,抛物线 与 轴交于 、 两点,与 轴交于点 ,抛物线的对称轴交 轴于点 ,已知 , . (1)求抛物线的解析式; (2)在抛物线的对称轴上是否存在点P,使 是以 为腰的等腰三角形?如果存在,直接写出 P点的坐标;如果不存在,请说明理由; (3)点E时线段 上的一个动点,过点 作 轴的垂线与抛物线相交于点 ,当点 运动到什么位 置时, 的面积最大?请求出 的面积最大面积及此时E点的坐标. 【答案】(1) (2)存在满足条件的点 ,其坐标为 , 或 , 或 , (3)当 运动到 的中点时, 的面积最大,最大面积为4,此时 点坐标为 【分析】(1)由 、 的坐标,利用待定系数法可求得抛物线的解析式; (2)可设出 点坐标,则可表示出 、 和 的长,分 、 两种情况分别得 到关于 点坐标的方程,可求得 点坐标; (3)由 、 的坐标可求得直线 的解析式,可设出 点坐标,则可表示出 点的坐标,从而 可表示出 的长,可表示出 的面积,再利用二次函数的性质可求得其最大值及此时点 的 坐标. 【详解】(1) , 在抛物线 上,,解得 , 抛物线解析式为 ; (2) , 抛物线对称轴为直线 , , ,且 , , 点 在对称轴上, 可设 , , , , 当 时,则有 ,解得 ,此时 点坐标为 , 或 , ; 当 时,则有 ,解得 (与 重合,舍去)或 ,此时 点坐标为 , ; 综上可知:存在满足条件的点 ,其坐标为 , 或 , 或 , ; (3)当 时,即 ,解得 或 , , ,设直线 解析式为 ,由题意可得 ,解得 , 直线 解析式为 , 点 是线段 上的一个动点, 可设 ,则 , , , , 当 时, 有最大值,最大值为4, 此时 , ,即 为 的中点, 当 运动到 的中点时, 的面积最大,最大面积为4,此时 点坐标为 . 【点睛】本题为二次函数的综合应用,涉及待定系数法、二次函数的性质、等腰三角形的性质、 勾股定理、方程思想及分类讨论思想等知识.在(1)中注意待定系数法的应用,在(2)中用 点的坐标表示出 和 是解题的关键,在(3)中用 点坐标表示出 的面积是解题的关键. 本题考查知识点较多,综合性较强,难度适中. 12.如图,抛物线 与 轴交于点 ,点 ,与 轴交于点 . (1)求抛物线的表达式; (2)若点 是抛物线上一点,当 的面积为10时,求出 的坐标; (3)点 是抛物线对称轴上的一点,点 是对称轴左侧抛物线上的一点,当 是以 为腰的等腰直角三角形时,请直接写出所有点 的坐标. 【答案】(1) (2)点 的坐标为 或 (3) 或 或 【分析】(1)用待定系数法求函数解析式即可; (2)根据 的面积为10求出D点的纵坐标,将其代入二次函数求得横坐标即可; (3)分两种情况讨论:当 时, , 点与 点重合; 当 时, ,根据 点在 点上方时, 点在 点下方时,分别求得M点坐标. 【详解】(1)将点 ,点 代入 , ∴ ,解得 , ∴ ; (2)设点 的坐标为 , ∵ 的面积为10, ,即 ,解得 , 当 时, ,解得: , ∴ 或 , 当 时, ,此方程无实数根, 综上所述,点 的坐标为 或 ; (3)当 时, , ∴ 点与 点重合, ∴ ;当 时, , 如图1,当 点在 点上方时,过点 作 轴的垂线 ,过点 作 交于 ,过点 作 交于G, ∵ , ∴ , ∵ , ∴ , ∵ , ∴ , ∴ , 设 ,则 , ∴ ,解得 或 , ∴ 或 , ∵ 点在对称轴的左侧, ∴ 点坐标为 ; 如图2,当 点在 点下方时,同理可得 , ∴ ,解得 (舍)或 , ∴ ; 综上所述:M点的坐标为 或 或 .故答案为: 或 或 . 【点睛】本题考查二次函数的图象与性质,熟练掌握待定系数法求解析式、二次函数的图象与性 质,等腰直角三角形的性质,数形结合是解题的关键. 13.如图,抛物线 与 轴交于 两点,与 轴交于点 ,且 ,直线 与抛物线交于 、 两点,与 轴交于点 ,点 是抛物线的顶点, 设直线 上方抛物线上的动点 的横坐标为 . (1)求该抛物线的解析式及顶点 的坐标; (2)连接 、 ,当 为何值时, ; (3)在直线 上是否存在一点 使 为等腰直角三角形,若存在请直接写出点 的坐标,不 存在请说明理由. 【答案】(1) ;顶点Q坐标为 (2) 或1 (3)存在; 或 【分析】(1)分别求出点A,B的坐标,设抛物线的解析式为交点式,代入点C的坐标,求出抛 物线的解析式即可; (2)根据题意将 的面积和 的面积表示出来,令 ,即可解出m的值; (3)分 、 、 三种情况,分别求解即可.【详解】(1)解:∵ , , ∴点 的坐标为 ,点A的坐标为 , 设抛物线的表达式为 ,将点 的坐标代入,得 , 解得 , ∴抛物线的表达式为 , ∵ , ∴抛物线的顶点Q坐标为: . (2)解:联立 , 解得: , , ∴点 的坐标为 , 如图1,过点 作 轴的平行线,交 于点 ,设点 ,则点 , ∴ , 解得: 或1. (3)解:存在; 设点 ,点 , ,而点 , ①当 时,如图2,过点 作 轴的平行线,过点 ,点 作 轴的平行线,交过点 且平行于 轴的直线于点 , , ∵ , , ∴ , ∵ , , ∴ (AAS), ∴ , , 即 , , 解得: 或 , 当 时, ,解得 , (舍去) ∴点 ; ②当 时,如图3所示, 此时 ,则点P、H关于抛物线对称轴对称,即 垂直抛物线的对称轴,而对称轴与x轴 垂直,故 轴,则 , 同理可得 , (舍去), 故点 坐标为 . ③当 时,(Ⅰ)当点P在抛物线对称轴右侧时,如图所示: 点P在AD下方,与题意不符,故舍去; (Ⅱ)当点P在抛物线对称轴左侧时,同理可得 , 解得: (舍去), , 点 ; 综上可得,点 的坐标为 或 . 【点睛】本题考查的是二次函数综合运用,难度较大,涉及到一次函数、二次函数、三角形全等、 图形的面积计算等,要注意分类求解,避免遗漏,熟练掌握这些性质、判定,二次函数的图像和 性质是解决本题的关键. 14.如图,抛物线y=- x2+ x+2与x轴交于A、B两点,与y轴交于点C,点D与点C关于x 轴对称,点P(m,0)是x轴上的一个动点,过点P作x轴的垂线l交抛物线于点Q,交直线BD于点 M. (1)求点A、点B、点C的坐标; (2)若点P在线段OB上,求线段MQ的最大值; (3)在点P的运动过程中,是否存在点Q,使△BDQ是以BD为直角边的直角三角形?若存在,求 出点Q的坐标;若不存在,请说明理由. 【答案】(1)(2)线段 的最大值为 (3)点Q的坐标为 ,或 或 【分析】(1)根据自变量与函数值得对应关系,可得答案; (2)根据关于x轴对称的点纵坐标互为相反数,横坐标相等,可得D点坐标,根据待定系数法, 可得函数解析式,表示出点M,Q的坐标,根据两点间距离表示MQ,根据函数判断最值; (3)根据勾股定理,可得关于m的方程,根据解方程,可得答案; 【详解】(1)令 ,得 , ∴ ; 令 ,得 ,即 , 解得 , ∴ , 答: , (2)∵点D、点C关于x轴对称, ∴ , 又 ,由待定系数法得直线BD的解析式为 , ∵ , ∴ , , ∴ , 当 时, 取得最大值 , ∴线段 的最大值为 ; (3)存在,分两种情况如下:当 时, , 即 , (视 为一个整体进行化简),整理得: ,解得: 或 (舍), ∴ ; 当 时, , 即 , 整理得: ,解得 或 , ∴ 或 ; 综上,点Q的坐标为, 或 或 . 【点睛】本题考查了二次函数综合题,解(1)的关键是利用自变量与函数值的对应关系;解 (2)的关键是利用对称得出D点坐标,又利用了待定系数法求函数解析式;解(3)的关键是利 用勾股定理得出关于m的方程,并分类讨论,以防遗漏. 15.如图,在平面直角坐标系中,抛物线 (b,c是常数)经过点 ,点 ,与y轴交于点C. (1)求此抛物线的解析式.(2)若点P为抛物线对称轴上一动点,当 是以 为底边的等腰三角形时,求点P的坐标. (3)在(2)的条件下,若点M为抛物线第一象限上的点,当 时,直接写出点M的横坐 标. 【答案】(1) (2) (3) , 【分析】(1)由交点式可直接得出抛物线的解析式; (2)设 ,根据 列出方程,进而求得点P坐标; (3)作 交y轴于Q,作 交y轴于N,先求出 的解析式,进而求得 的解 析式,进一步求得结果. 【详解】(1)由题意得: , ∴ ; (2)设 , ∵ , ∴ , ∴ , ∴ ; (3)如图, 假设存在M点满足条件,作 交y轴于Q,作 交y轴于N, ∵ 的解析式为 , ∴ , ∵ , ∴ , ∴直线 的解析式为: , 由 得, , ∴M点横坐标为 或 . 【点睛】本题考查了二次函数的综合题,求二次函数解析式,一次函数解析式,勾股定理列方程, 两个函数图象交点与对应方程(组)之间的关系等知识,解决问题的关键是转化题意,求一次函 数解析式. 16.如图,已知抛物线 的对称轴为直线 ,且抛物线与 轴交于 , 两点,与 轴交于 点,其中 , . (1)求抛物线的解析式; (2)在抛物线的对称轴 上找一点 ,使点 到点 的距离与到点 的距离之和最小,求出点 的坐标; (3)设点 为抛物线的对称轴 上的一个动点,直接写出使 为直角三角形的点 的坐标. 【答案】(1) (2)(3) 的坐标为 或 或 或 【分析】(1)先根据点 和点 关于直线 对称,求出点B的坐标,再用待定系数法求 出抛物线的解析式即可; (2)用待定系数法求出BC的解析式,然后把 代入直线 求出点M的坐标即可; (3)设点P的坐标为: ,得出 , , ;然后分三种情况进行讨论,列出关于t的方程 解方程即可. 【详解】(1)解:∵点 和点 关于直线 对称, ∴ , 把 , , 代入 得: ,解得: , ∴抛物线的解析式为 . (2)解:设直线 解析式为 与对称轴 的交点为 ,此时 的值最小, ∴把 、 分别代入直线 , 得 ,解得: , ∴直线 的解析式为 , 把 代入直线 得 , ∴ ,即当点 到点 的距离与到点 的距离之和最小时 的坐标为 . (3)解:设点P的坐标为: ,则: , , ; 当 时, , 即 , 解得: , , 此时点P的坐标为: 或 ; 当 时, , 即 , 解得: , 此时点P的坐标为: ; 当 时, , 即 , 解得: , 此时点P的坐标为: ; 综上分析可知,点P的坐标为: 或 或 或 . 【点睛】本题主要考查了求二次函数的解析式,将军饮马问题,二次函数和三角形的综合,勾股 定理,解题的关键是注意进行分类讨论,不要漏解.