当前位置:首页>文档>专题4.1任意角和弧度制及任意角的三角函数(解析版)_02高考数学_新高考复习资料_2024年新高考资料_一轮复习资料_答案解析版

专题4.1任意角和弧度制及任意角的三角函数(解析版)_02高考数学_新高考复习资料_2024年新高考资料_一轮复习资料_答案解析版

  • 2026-04-14 01:41:04 2026-04-14 01:40:26

文档预览

专题4.1任意角和弧度制及任意角的三角函数(解析版)_02高考数学_新高考复习资料_2024年新高考资料_一轮复习资料_答案解析版
专题4.1任意角和弧度制及任意角的三角函数(解析版)_02高考数学_新高考复习资料_2024年新高考资料_一轮复习资料_答案解析版
专题4.1任意角和弧度制及任意角的三角函数(解析版)_02高考数学_新高考复习资料_2024年新高考资料_一轮复习资料_答案解析版
专题4.1任意角和弧度制及任意角的三角函数(解析版)_02高考数学_新高考复习资料_2024年新高考资料_一轮复习资料_答案解析版
专题4.1任意角和弧度制及任意角的三角函数(解析版)_02高考数学_新高考复习资料_2024年新高考资料_一轮复习资料_答案解析版
专题4.1任意角和弧度制及任意角的三角函数(解析版)_02高考数学_新高考复习资料_2024年新高考资料_一轮复习资料_答案解析版
专题4.1任意角和弧度制及任意角的三角函数(解析版)_02高考数学_新高考复习资料_2024年新高考资料_一轮复习资料_答案解析版
专题4.1任意角和弧度制及任意角的三角函数(解析版)_02高考数学_新高考复习资料_2024年新高考资料_一轮复习资料_答案解析版
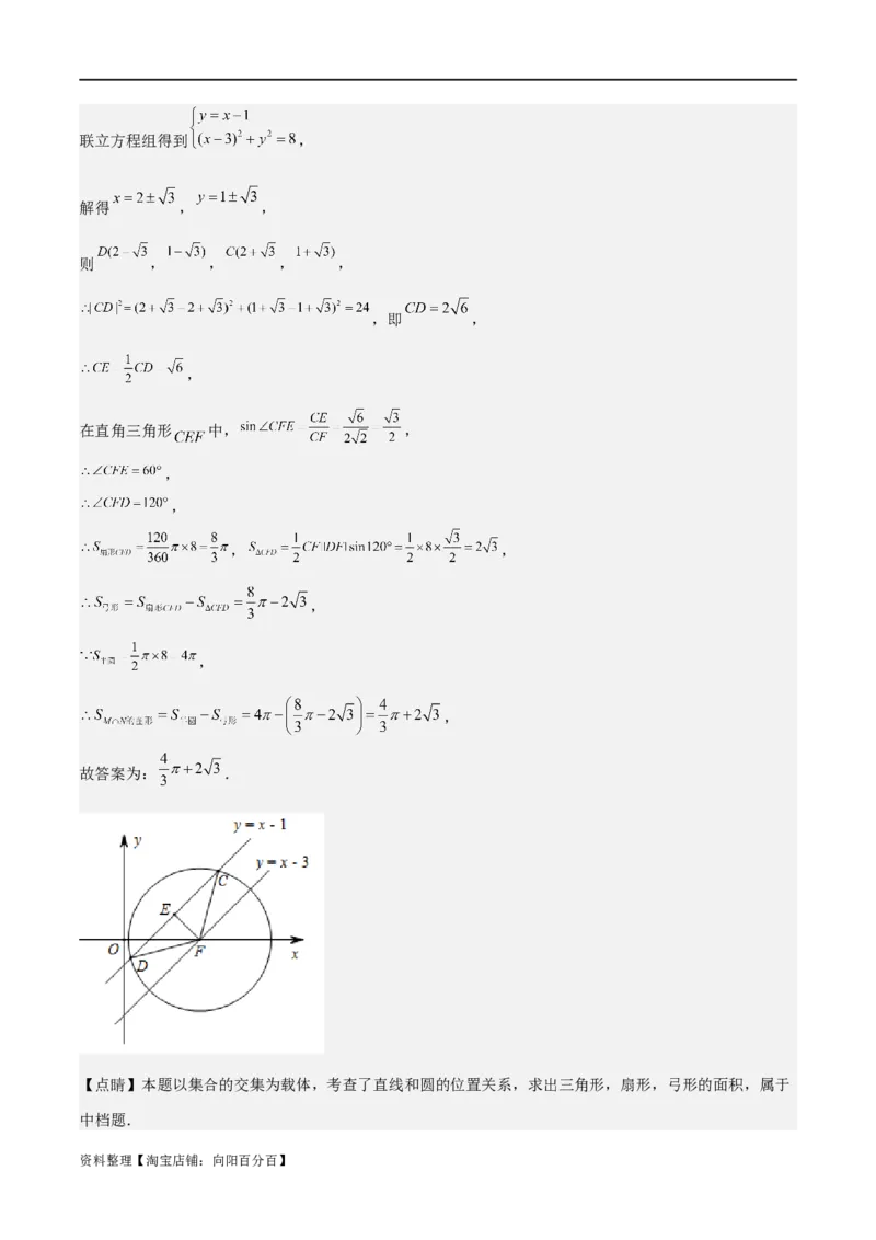
专题4.1任意角和弧度制及任意角的三角函数(解析版)_02高考数学_新高考复习资料_2024年新高考资料_一轮复习资料_答案解析版
专题4.1任意角和弧度制及任意角的三角函数(解析版)_02高考数学_新高考复习资料_2024年新高考资料_一轮复习资料_答案解析版
专题4.1任意角和弧度制及任意角的三角函数(解析版)_02高考数学_新高考复习资料_2024年新高考资料_一轮复习资料_答案解析版
专题4.1任意角和弧度制及任意角的三角函数(解析版)_02高考数学_新高考复习资料_2024年新高考资料_一轮复习资料_答案解析版
专题4.1任意角和弧度制及任意角的三角函数(解析版)_02高考数学_新高考复习资料_2024年新高考资料_一轮复习资料_答案解析版
专题4.1任意角和弧度制及任意角的三角函数(解析版)_02高考数学_新高考复习资料_2024年新高考资料_一轮复习资料_答案解析版
专题4.1任意角和弧度制及任意角的三角函数(解析版)_02高考数学_新高考复习资料_2024年新高考资料_一轮复习资料_答案解析版
专题4.1任意角和弧度制及任意角的三角函数(解析版)_02高考数学_新高考复习资料_2024年新高考资料_一轮复习资料_答案解析版
专题4.1任意角和弧度制及任意角的三角函数(解析版)_02高考数学_新高考复习资料_2024年新高考资料_一轮复习资料_答案解析版
专题4.1任意角和弧度制及任意角的三角函数(解析版)_02高考数学_新高考复习资料_2024年新高考资料_一轮复习资料_答案解析版
专题4.1任意角和弧度制及任意角的三角函数(解析版)_02高考数学_新高考复习资料_2024年新高考资料_一轮复习资料_答案解析版
专题4.1任意角和弧度制及任意角的三角函数(解析版)_02高考数学_新高考复习资料_2024年新高考资料_一轮复习资料_答案解析版
专题4.1任意角和弧度制及任意角的三角函数(解析版)_02高考数学_新高考复习资料_2024年新高考资料_一轮复习资料_答案解析版
专题4.1任意角和弧度制及任意角的三角函数(解析版)_02高考数学_新高考复习资料_2024年新高考资料_一轮复习资料_答案解析版
专题4.1任意角和弧度制及任意角的三角函数(解析版)_02高考数学_新高考复习资料_2024年新高考资料_一轮复习资料_答案解析版
专题4.1任意角和弧度制及任意角的三角函数(解析版)_02高考数学_新高考复习资料_2024年新高考资料_一轮复习资料_答案解析版
专题4.1任意角和弧度制及任意角的三角函数(解析版)_02高考数学_新高考复习资料_2024年新高考资料_一轮复习资料_答案解析版
专题4.1任意角和弧度制及任意角的三角函数(解析版)_02高考数学_新高考复习资料_2024年新高考资料_一轮复习资料_答案解析版
专题4.1任意角和弧度制及任意角的三角函数(解析版)_02高考数学_新高考复习资料_2024年新高考资料_一轮复习资料_答案解析版
专题4.1任意角和弧度制及任意角的三角函数(解析版)_02高考数学_新高考复习资料_2024年新高考资料_一轮复习资料_答案解析版
专题4.1任意角和弧度制及任意角的三角函数(解析版)_02高考数学_新高考复习资料_2024年新高考资料_一轮复习资料_答案解析版
专题4.1任意角和弧度制及任意角的三角函数(解析版)_02高考数学_新高考复习资料_2024年新高考资料_一轮复习资料_答案解析版
专题4.1任意角和弧度制及任意角的三角函数(解析版)_02高考数学_新高考复习资料_2024年新高考资料_一轮复习资料_答案解析版
专题4.1任意角和弧度制及任意角的三角函数(解析版)_02高考数学_新高考复习资料_2024年新高考资料_一轮复习资料_答案解析版
专题4.1任意角和弧度制及任意角的三角函数(解析版)_02高考数学_新高考复习资料_2024年新高考资料_一轮复习资料_答案解析版
专题4.1任意角和弧度制及任意角的三角函数(解析版)_02高考数学_新高考复习资料_2024年新高考资料_一轮复习资料_答案解析版

文档信息

文档格式
docx
文档大小
2.524 MB
文档页数
30 页
上传时间
2026-04-14 01:40:26

文档内容

4.1 任意角和弧度制及任意角的三角函数 思维导图 知识点总结 1.角的概念的推广 (1)定义:角可以看作平面内一条射线绕着它的端点从一个位置旋转到另一个位置所形成的图 形. (2)分类 (3)终边相同的角:与角α终边相同的角的集合为S={β|β=α+k·360°,k∈Z}. 2.弧度制的定义和公式 资料整理【淘宝店铺:向阳百分百】(1)1弧度的角:长度等于半径长的弧所对的圆心角叫作1弧度的角,记作1 rad. (2)弧度制:用弧度作为角的单位来度量角的单位制称为弧度制. (3)公式 角α的弧度数公式 |α|=(弧长用l表示) 角度与弧度的换算 1°= rad;1 rad=° 弧长公式 弧长l= | α | r 扇形面积公式 S=lr= | α | r 2 3.任意角的三角函数的定义 如图,设 α是一个任意角,它的终 前提 边与半径为r的圆交于点P(x,y) 正弦 比值叫作 α的正弦函数,记作sin α,即sin α= 余弦 比值叫作 α的余弦函数,记作cos α,即cos α= 比值(x≠0)叫作 α 的正切函数,记作 tan α,即 tan α= 定义 正切 (x≠0) sin α,cos α,tan α 分别叫作 α 的正弦函数、余弦函 三角函数 数、正切函数.以上三种函数统称为α的三角函数. [常用结论] 1.三角函数值在各象限的符号规律:一全正,二正弦,三正切,四余弦. 2.角度制与弧度制可利用180°=π rad进行互化,在同一个式子中,采用的度量制必须一致 不可混用. 3.象限角 4.轴线角 资料整理【淘宝店铺:向阳百分百】典型例题分析 考向一 象限角及终边相同的角 例1.已知角θ在第二象限,且=-sin ,则角在( ) A.第一象限或第三象限 B.第二象限或第四象限 C.第三象限 D.第四象限 答案 C 解析 ∵角θ是第二象限角, ∴θ∈,k∈Z, ∴∈,k∈Z, ∴角在第一或第三象限. 又=-sin ,∴sin <0, ∴角在第三象限. 感悟提升 1.利用终边相同的角的集合可以求适合某些条件的角,方法是先写出与这个角的 终边相同的所有角的集合,然后通过集合中的参数k(k∈Z)赋值来求得所需的角. 2.确定kα,(k∈N*)的终边位置的方法 先写出kα或的范围,然后根据k的可能取值确定kα或的终边所在的位置. 【方法技巧与总结】 (1)终边相同的角的集合的表示与识别可用列举归纳法和双向等差数列的方法解决. (2)注意正角、第一象限角和锐角的联系与区别,正角可以是任一象限角,也可以是坐标轴 角;锐角是正角,也是第一象限角,第一象限角不包含坐标轴角. 考向二 弧度制及其应用 例2 已知扇形的圆心角是α,半径为R,弧长为l. (1)若α=,R=10 cm,求扇形的弧长l. (2)若扇形的周长是20 cm,当扇形的圆心角α为多少弧度时,这个扇形的面积最大? (3)若α=,R=2 cm,求扇形的弧所在的弓形的面积. 解 (1)因为α=,R=10 cm, 资料整理【淘宝店铺:向阳百分百】所以l=|α|R=×10=(cm). (2)由已知,得l+2R=20, 所以S=lR=(20-2R)R=10R-R2=-(R-5)2+25. 所以当R=5(cm)时,S取得最大值, 此时l=10(cm),α=2. (3)设弓形面积为S ,由题意知l= cm, 弓形 所以S =××2-×22×sin =cm2. 弓形 感悟提升 应用弧度制解决问题时应注意: (1)利用扇形的弧长和面积公式解题时,要注意角的单位必须是弧度. (2)求扇形面积最大值的问题时,常转化为二次函数的最值问题. (3)在解决弧长问题和扇形面积问题时,要合理地利用圆心角所在的三角形. 考向三 等分角的象限问题 例3.(2022·浙江·高三专题练习)若 ,则 的终边在( ) A.第一、三象限 B.第一、二象限 C.第二、四象限 D.第三、四象限 【答案】A 【解析】 【分析】 分 和 讨论可得角的终边所在的象限. 【详解】 解:因为 ,所以 当 时, ,其终边在第三象限; 当 时, ,其终边在第一象限. 综上, 的终边在第一、三象限. 故选:A. 资料整理【淘宝店铺:向阳百分百】【方法技巧与总结】 先从 的范围出发,利用不等式性质,具体有:(1)双向等差数列法;(2) 的象限 分布图示. 考向四 弧长与面积公式 例4.(2022·浙江·镇海中学模拟预测)《九章算术》是中国古代的数学名著,其中《方田》 章给出了弧田面积的计算公式.如图所示,弧田是由圆弧 及其所对弦 围成的图形.若 弧田的弦 长是2,弧所在圆心角的弧度数也是2,则弧田的弧 长为_______,弧田的面 积为_________. 【答案】 ; . 【解析】 【分析】 (1)利用弧长公式解决,那么需要算出半径和圆心角;(2)用扇形的面积减去三角形的面 积即可. 【详解】 由题意可知: , 所以弧 长 ,弧田的面积 , 故答案为: ; . 【方法技巧与总结】 (1)熟记弧长公式: l = | α | r ,扇形面积公式:S =lr=|α|r2(弧度制 ) 扇形 资料整理【淘宝店铺:向阳百分百】(2)掌握简单三角形,特别是直角三角形的解法 考向五 三角函数定义题 例5.(2022·广东·深圳市光明区高级中学模拟预测)已知角 的终边过点 ,则 ( ) A. B. C. D. 【答案】D 【解析】 【分析】 由任意三角形的定义求出 ,由两角差的正弦公式代入即可求出 . 【详解】 因为角 的终边过点 ,由任意三角形的定义知: , . 故选:D. 【方法技巧与总结】 正弦函数值在第一、二象限为正,第三、四象限为负;. 余弦函数值在第一、四象限为正,第二、三象限为负;. 正切函数值在第一、三象限为正,第二、四象限为负. 资料整理【淘宝店铺:向阳百分百】基础题型训练 一、单选题 1.若角 满足 ,则角 的终边落在 A.第一象限 B.第二象限 C.第三象限. D.第四象限 【答案】A 【解析】直接根据象限角定义得到答案. 【详解】角 满足 ,则角 的终边落在第一象限. 故选: . 【点睛】本题考查了象限角,属于简单题. 2.在平面直角坐标系中,以x轴的非负半轴为角的始边,如果角 的终边分别与单位圆交于点 和 ,那么 ( ) A. B. C. D. 【答案】B 【分析】根据三角函数的定义,求得 的值,即可求解. 【详解】由题意,角 的终边与单位圆分别交于点 和 , 由题意三角函数的定义,可得 , 所以 . 故选:B. 3.已知 ,则 的值为( ) 资料整理【淘宝店铺:向阳百分百】A. B. C. D. 【答案】B 【分析】利用同角三角函数的基本关系可求得结果. 【详解】 .. 故选:B. 4.已知函数 ,则 ( ) A. B. C. D. 【答案】B 【分析】根据函数解析式直接求解即可 【详解】由已知得 , 故选:B 5.《几何原本》是古希腊数学家欧几里得的一部不朽之作,书中称轴截面为等腰直角三角形的圆锥为直 角圆锥,则直角圆锥侧面展开图的圆心角的弧度数为( ) A. B. C. D. 【答案】C 【分析】根据题意,结合圆锥的母线长和弧长以及圆心角之间的关系即可求解 【详解】设直角圆锥侧面展开图的圆心角的弧度数为 ,底面圆的半径为 ,母线长为 ,因为直角圆锥的 资料整理【淘宝店铺:向阳百分百】轴截面为等腰直角三角形,所以 ,则 ,解得 . 故选: . 6.已知 ,则( ). A. B. C. D. 【答案】C 【分析】利用诱导公式,将三个三角函数中的角度均转换成 再比较即可. 【详解】解: , , . . 故选:C. 【点睛】本题考查三角函数的诱导公式及三角函数的性质,属于基础题. 二、多选题 7.下列结论正确的是( ) A. 是第三象限角 B.角 的终边在直线 上,则 = C.若角 的终边过点 ,则 D.若角 为锐角,则角 为钝角 【答案】BC 【分析】利用象限角的定义可判断A选项的正误;利用终边相同角的表示可判断B选项的正误;利用三角 函数的定义可判断C选项的正误;利用特殊值法可判断D选项的正误. 资料整理【淘宝店铺:向阳百分百】【详解】对于A选项, 且 为第二象限角,故 为第二象限角,A错; 对于B选项,根据终边相同角的表示可知角 的终边在直线 上, 则 = ,B对; 对于C选项,由三角函数的定义可得 ,C对; 对于D选项,取 ,则角 为锐角,但 ,即角 为锐角,D错. 故选:BC. 8.设 的三个内角分别为A,B,C,则下列各组数中有意义且均为正值的是( ) A. 与 B. 与 C. 与 D. 与 E. 与 【答案】CE 【解析】根据三角函数的符号和角的关系进行判断即可. 【详解】A不满足,∵A,B的范围不确定,∴不满足条件;B不满足, 与 都有意义,但 不 一定为正值;C满足,∵ ,∴ ,∴C满足条件;D不满足,∵A的范围不确定,∴ 不确定;E满足,∵ ,∴ ,∴ ,又∵ ,∴ .综上,C,E 满足题意. 故选:CE. 【点睛】本题考查判断三角函数值的符号,属于基础题. 三、填空题 9.若角 的终边上有一点 ,则 . 【答案】4 资料整理【淘宝店铺:向阳百分百】【分析】根据三角函数的定义列方程求解即可. 【详解】由题设知: ,即 . 故答案为:4 10.若扇形的周长是 ,圆心角是 度,则扇形的面积(单位 )是__________. 【答案】16 【分析】根据已知条件可计算出扇形的半径,然后根据面积公式 即可计算出扇形的面积. 【详解】设扇形的半径为 ,圆心角弧度数为 , 所以 即 ,所以 , 所以 . 故答案为: . 【点睛】本题考查角度与弧度的转化以及扇形的弧长和面积公式,难度较易.扇形的弧长公式: , 扇形的面积公式: . 11.已知扇形的圆心角所对的弦长为2,圆心角为 弧度.则扇形的面积是______. 【答案】 【分析】由题意表示出扇形的半径和弧长,代入弧长公式计算可得. 【详解】解:由题意可得 中 , , 由 可得扇形的半径 , 扇形的弧长 , 扇形的面积 资料整理【淘宝店铺:向阳百分百】故答案为: 【点睛】本题考查扇形的面积公式及弧长公式的应用,属于基础题. 12.《九章算术》是我国古代数学成就的杰出代表作,其中《方田》章给出计算弧田面积所用的经验公式 为:弧田面积= (弦×矢+矢 ).弧田是由圆弧及其所对的弦所围成.公式中“弦”指圆弧所对弦长, “矢”等于半径长与圆心到弦的距离之差,现有圆心角为 ,半径等于4米的弧田,按照上述经验公式计 算所得弧田面积最接近的整数是__________. 【答案】9 【分析】设弧田的圆心为 ,弦为 , 为 中点,连 交弧于 ,在 中,求出半径 及 ,求出弦AB,即可求出结论. 【详解】设弧田的圆心为 ,弦为 , 为 中点,连 交弧于 ,如图所示, 由题意可得∠AOB= ,OA=4, 在Rt AOC中,易得∠AOC= ,∠CAO= , △ OC= OA= ,可得矢=4-2=2, 由AC=OA = ,可得弦AB=2AC= , 所以弧田面积= ×( )= , 资料整理【淘宝店铺:向阳百分百】因为 ,则 ,从而 , 因此,所得弧田面积最接近的整数是9. 故答案为:9. 四、解答题 13.分别作出下列各角的正弦线、余弦线和正切线. (1) ; (2) . 【答案】(1)见解析(2)见解析 【解析】根据正弦线、余弦线和正切线的定义作图. 【详解】解:(1)设 的终边与单位圆交于点P,过 作垂直于x轴的直线交 的终边于点T,过P作 轴,交x轴于M,如图(1)所示,则 是正弦线, 是余弦线, 是正切线. (1) (2) (2)同(1),过 作垂直于x轴的直线,交 的终边的反向延长线于点T,如图(2)所示,则 是正弦线, 是 余弦线, 是正切线. 【点睛】本题考查三角函数线,掌握三角函数线的定义是解题基础.注意正切线的起点是单位圆与 轴正 半轴交点. 14.已知 ,求下列各式的值: (1) ; 资料整理【淘宝店铺:向阳百分百】(2) ; (3) . 【答案】(1) ; (2) ; (3) . 【分析】(1)利用同角的三角函数关系,将 两边同时平方先求出 ,再求出 ; (2)利用(1)的结论,结合立方差公式求 ; (3)由 和(1)的结论联立求出 和 ,求出 ,将原式弦化切后再代入求值. 【详解】解:(1)∵ , ∴ , ∴ , 又 , ∴ , , ∴ ; (2)由(1)可知, , ∴ ; (3)∵ , , ∴ , , 资料整理【淘宝店铺:向阳百分百】∴ , ∴ . 【点睛】本题主要考查同角的三角函数关系以及齐次式的化简求值,考查计算能力,属于基础题. 15.已知 . (1)把 写成 的形式; (2)求 ,使 与 终边相同,且 . 【答案】(1) (2) 【解析】(1)先得到 ,再转化为弧度角即可; (2)由(1)可得 终边相同的角为 ,则 ,使得 ,求解出 的范围,由 确定 值,进而确定 角即可 【详解】(1) (2)∵ 与 终边相同, ∴ , 又 , ∴ , 解得 , , ∴ 的值是 【点睛】本题考查角度制与弧度制的转化,考查终边相同的角的应用 资料整理【淘宝店铺:向阳百分百】16.求下列方程的解集: (1) ; (2) ; (3) ; (4) . 【答案】(1) (2) (3) (4) 【解析】(1)将 代入 的解集计算即可. (2)根据诱导公式可得 ,再将 代入 的解集计算即可. (3)将 代入 的解集计算即可. (4)先求解 的通解,再分析 时满足的解即可. 【详解】解(1) ,∴ , ∴ . ∴原方程的解集为 . 资料整理【淘宝店铺:向阳百分百】(2)∵ ,∴ . ∴ . ∴原方程的解集为 . (3)∵ ,∴ . ∴ . ∴原方程的解集为 . (4)∵ ,∴ . ∴ 或 . ∵ ,∴取 时, ;取 时, 或 ; 取 时, . ∴原方程的解集为 . 【点睛】本题主要考查了根据三角函数的值求解角度的问题,需要结合三角函数的特殊值角与角度的周期 性进行求解,属于中档题. 提升题型训练 资料整理【淘宝店铺:向阳百分百】一、单选题 1.下列命题中正确的是( ) A.终边重合的两个角相等 B.锐角是第一象限的角 C.第二象限的角是钝角 D.小于90°的角都是锐角 【答案】B 【分析】根据象限角的定义以及终边相同的角,可得答案. 【详解】对于A,终边相同的角可表示为 ,故A错误; 对于B,锐角的取值范围为 ,故B正确; 对于C,第二象限角的取值范围为 ,故C错误; 对于D,锐角的取值范围为 ,其 ,则 ,但 不是锐角,故D错误. 故选:B. 2.雕塑成了大学环境不可分割的一部分,有些甚至能成为这个大学的象征,在中国科学技术大学校园中 就有一座郭沫若的雕像.雕像由像体 和底座 两部分组成.如图,在 中, , 在 中, ,且 米,求像体 的高度( )(最后结果精确到0.1米,参考数 据: , , ) A.4.0米 B.4.2米 C.4.3米 D.4.4米 【答案】B 【分析】在 和 中,利用正切值可求得 ,进而求得 . 资料整理【淘宝店铺:向阳百分百】【详解】在 中, (米), 在 中, (米), (米). 故选: . 【点睛】本题考查解三角形的实际应用中的高度问题的求解,属于基础题. 3.下列关系式能成立的是( ) A. B. C. D. 【答案】B 【分析】逐项计算三角函数值即可判断 【详解】A, ,错误; C, ,错误; D, 无意义,错误 故选:B 【点睛】本题考查三角函数求值计算,意在考查计算能力,是基础题 4.若θ是第二象限角,则下列选项中能确定为正值的是( ) A.sin B.cos C.tan D.cos2θ 【答案】C 【分析】直接利用三角函数象限角的三角函数的符号判断即可. 【详解】由θ是第二象限角可得 为第一或第三象限角,所以tan >0.故选C 【点睛】本题考查三角函数值的符号的判断,是基础题. 5.古希腊时期,人们认为最美人体的头顶至肚脐的长度与肚脐至足底的长度之比是 ,称为黄金分割 比,我们把有两条边长之比为 的三角形称为黄金三角形.则下列结论,正确的个数是 资料整理【淘宝店铺:向阳百分百】①顶角等于 的等腰三角形是黄金三角形; ②底角等于 的等腰三角形是黄金三角形; ③有一个角等于 的直角三角形是黄金三角形; ④有一个角等于 的直角三角形是黄金三角形. A.1 B.2 C.3 D.4 【答案】B 【解析】如图等腰 ,顶角 ,做底角 的角平分线,可得 为底角为 的等腰三角形, 设 ,推出 ,即可求出 关系,可判断①②的真假,再通过 解三角形求得 , 的三角函数,可判断③④真假. 【详解】如图,等腰 ,顶角 , 做角 的角平分线 ,与 边交于 , 则 为底角为 的等腰三角形, 为顶角为 的等腰三角形,所以 , 设 , , 化简得 ,故①②正确, 在 中,由余弦定理得 , , , 取 中点 ,则 , , , , 资料整理【淘宝店铺:向阳百分百】所以③④不正确. 故选:B. 【点睛】本题以数学文化为背景,考查等腰三角形的性质、求三角函数值,考查计 算求解能力,属于中档题. 6.函数 的最大值和最小值分别为( ) A. B. C. ,0 D. 【答案】D 【分析】根据二倍角公式和同角的基本关系化简可得 ,再令 , ,可得 ,再根据二次函数的性质即可求出结果. 【详解】设 ,则 ,则 , 资料整理【淘宝店铺:向阳百分百】由 ,得 ,所以 , 所以当 ,即 时, ;当 ,即 时, . 故选:D. 【点睛】本题主要考查了二倍角公式、同角基本关系,以及换元法在求函数值域中的应用,属于中档题. 二、多选题 7.下列命题正确的是( ) A.在与 角终边相同的角中,最小的正角为 B.若角 的终边过点 ,则 C.已知 是第二象限角,则 D.若一扇形弧长为2,圆心角为 ,则该扇形的面积为 【答案】ABC 【分析】依据终边相同角定义去判断选项A;依据三角函数定义去判断选项B;依据三角函数值符号判定 去判断选项C;依据扇形面积计算公式去判断选项D即可. 【详解】选项A:由 且 ,可得 , 故所求的最小正角 .正确; 选项B:由三角函数的定义可得 .正确; 选项C:∵ 是第二象限角,∴ , ,∴ , ,∴ .正确; 选项D:弧长为2,圆心角为 ,则扇形的半径为 ,所以扇形面积为 .错误. 故选:ABC 资料整理【淘宝店铺:向阳百分百】8.已知 , ,则( ) A. B. C. D. 【答案】ACD 【分析】根据 ,化弦为切,求得 ,再根据 ,求得 , ,再根据 化弦为切即可求出答案, 化弦为切可得出答案. 【详解】解:因为 ,所以 ,解得 ,故A正确; 又因为 , ,所以 , , , 所以 ,故B错误; ,故C正确; ,故D正确. 故选:ACD. 三、填空题 资料整理【淘宝店铺:向阳百分百】9.终边在直线 上的一个角 的可以是_______. 【答案】 (答案不唯一). 【分析】先写出终边在直线 上的角的范围,即可得到答案. 【详解】终边在直线 上的角的集合为 , 所以终边在直线 上的一个角 的可以是 . 故答案为: (答案不唯一). 10.点 从圆心在原点 的单位圆上点 出发,沿顺时针方向运动 弧长,到达点 ,则点 的坐标 是_______________. 【答案】 【分析】由题意,作出单位圆,结合图象求解. 【详解】因为点 从圆心在原点 的单位圆上点 出发, 沿顺时针方向运动 弧长,到达点 ,如图所示: 由图象知: , 所以 , 故答案为: 资料整理【淘宝店铺:向阳百分百】11.求值: ________. 【答案】2 【分析】根据对数的运算法则性质及指数幂的运算化简求值即可. 【详解】原式= 故答案为:2 12.已知集合M={(x,y)|x﹣3≤y≤x﹣1},N={P|PA≥ PB,A(﹣1,0),B(1,0)},则表示M∩N的 图形面积为__. 【答案】 π+2 【分析】建立坐标系: 为直线 和 之间的点的集合(含线上的点), 集合为以 为 中心,半径为 的圆内的点的集合,联立方程组,求出点 , 的坐标,求出 的长,再解直角三角 形,求出扇形的圆心角,根据图形之间的面积,最后求出 的图形面积. 【详解】解:建立坐标系: 为直线 和 之间的点的集合(含线上的点), 设 点的坐标为 则可将 表示成: , , , 即 集合为以 为中心,半径为 的圆内的点的集合, 则直线 经过圆心 , 过圆心 做 ,垂足为 , 资料整理【淘宝店铺:向阳百分百】联立方程组得到 , 解得 , , 则 , , , , ,即 , , 在直角三角形 中, , , , , , , , , 故答案为: . 【点睛】本题以集合的交集为载体,考查了直线和圆的位置关系,求出三角形,扇形,弓形的面积,属于 中档题. 资料整理【淘宝店铺:向阳百分百】四、解答题 13.已知角 的终边经过下列各点,求 的正弦、余弦、正切值: (1) ; (2) ; (3) ; (4) . 【答案】答案见详解 【分析】直接根据三角函数的定义 求解即可. 【详解】(1) , 则 ; (2) , 则 ; (3) , 则 ; (4) , 则 不存在; 14.已知关于 的一元二次不等式 的解集中有且只有一个元素,求下列两个式子的值: (1) 资料整理【淘宝店铺:向阳百分百】(2) 【答案】(1) ;(2) . 【分析】(1)根据题意可得 ,将原式化简为关于 的式子即可求解; (2)分子分母除以 化简为关于 的式子即可求解. 【详解】解,由已知,关于 的一元二次不等式 的解集中有且只有一个元素,可得 则 (1) (2) 15.已知α是三角形的内角,且sinα+cosα= . (1)求tanα的值; (2)将 用tanα表示出来,并求其值. 【答案】(1) ;(2) . 【分析】(1)由 求得 的值,可得 的值; (2)化简 ,结合(1)可得结果. 【详解】(1) 由 ,α是三角形内角,故解得 , ∴tanα=- . 资料整理【淘宝店铺:向阳百分百】(2) . ∵tanα= , ∴ = . 16.已知 , ,函数 , (1)若 , ,求 的值; (2)若不等式 对任意 恒成立,求 的取值范围. 【答案】(1) (2)见解析. 【详解】试题分析:(1)利用同角三角函数基本关系式进行求解;(2)作差,分离参数,将问题转化为 求函数的最值问题,再利用换元思想进行求解. 试题解析:(1)依题意得 , ,即 ,即 由 , ,得 , 资料整理【淘宝店铺:向阳百分百】(2)即不等式 对任意 恒成立, 即 下求函数 的最小值 令 则 且 令 1°当 上单调递增, 2°当 ,即 时, 3°当 4°当 ,所以当 时, ;当 或0< 时, 资料整理【淘宝店铺:向阳百分百】