当前位置:首页>文档>重难点6-1空间角与空间距离的求解(8题型+满分技巧+限时检测)(解析版)_2024年新高考资料_3.2024专项复习_2024年高考数学热点·重点·难点专练(新高考专用)

重难点6-1空间角与空间距离的求解(8题型+满分技巧+限时检测)(解析版)_2024年新高考资料_3.2024专项复习_2024年高考数学热点·重点·难点专练(新高考专用)

  • 2026-04-14 02:25:36 2026-04-14 01:52:01

文档预览

重难点6-1空间角与空间距离的求解(8题型+满分技巧+限时检测)(解析版)_2024年新高考资料_3.2024专项复习_2024年高考数学热点·重点·难点专练(新高考专用)
重难点6-1空间角与空间距离的求解(8题型+满分技巧+限时检测)(解析版)_2024年新高考资料_3.2024专项复习_2024年高考数学热点·重点·难点专练(新高考专用)
重难点6-1空间角与空间距离的求解(8题型+满分技巧+限时检测)(解析版)_2024年新高考资料_3.2024专项复习_2024年高考数学热点·重点·难点专练(新高考专用)
重难点6-1空间角与空间距离的求解(8题型+满分技巧+限时检测)(解析版)_2024年新高考资料_3.2024专项复习_2024年高考数学热点·重点·难点专练(新高考专用)
重难点6-1空间角与空间距离的求解(8题型+满分技巧+限时检测)(解析版)_2024年新高考资料_3.2024专项复习_2024年高考数学热点·重点·难点专练(新高考专用)
重难点6-1空间角与空间距离的求解(8题型+满分技巧+限时检测)(解析版)_2024年新高考资料_3.2024专项复习_2024年高考数学热点·重点·难点专练(新高考专用)
重难点6-1空间角与空间距离的求解(8题型+满分技巧+限时检测)(解析版)_2024年新高考资料_3.2024专项复习_2024年高考数学热点·重点·难点专练(新高考专用)
重难点6-1空间角与空间距离的求解(8题型+满分技巧+限时检测)(解析版)_2024年新高考资料_3.2024专项复习_2024年高考数学热点·重点·难点专练(新高考专用)
重难点6-1空间角与空间距离的求解(8题型+满分技巧+限时检测)(解析版)_2024年新高考资料_3.2024专项复习_2024年高考数学热点·重点·难点专练(新高考专用)
重难点6-1空间角与空间距离的求解(8题型+满分技巧+限时检测)(解析版)_2024年新高考资料_3.2024专项复习_2024年高考数学热点·重点·难点专练(新高考专用)
重难点6-1空间角与空间距离的求解(8题型+满分技巧+限时检测)(解析版)_2024年新高考资料_3.2024专项复习_2024年高考数学热点·重点·难点专练(新高考专用)
重难点6-1空间角与空间距离的求解(8题型+满分技巧+限时检测)(解析版)_2024年新高考资料_3.2024专项复习_2024年高考数学热点·重点·难点专练(新高考专用)
重难点6-1空间角与空间距离的求解(8题型+满分技巧+限时检测)(解析版)_2024年新高考资料_3.2024专项复习_2024年高考数学热点·重点·难点专练(新高考专用)
重难点6-1空间角与空间距离的求解(8题型+满分技巧+限时检测)(解析版)_2024年新高考资料_3.2024专项复习_2024年高考数学热点·重点·难点专练(新高考专用)
重难点6-1空间角与空间距离的求解(8题型+满分技巧+限时检测)(解析版)_2024年新高考资料_3.2024专项复习_2024年高考数学热点·重点·难点专练(新高考专用)
重难点6-1空间角与空间距离的求解(8题型+满分技巧+限时检测)(解析版)_2024年新高考资料_3.2024专项复习_2024年高考数学热点·重点·难点专练(新高考专用)
重难点6-1空间角与空间距离的求解(8题型+满分技巧+限时检测)(解析版)_2024年新高考资料_3.2024专项复习_2024年高考数学热点·重点·难点专练(新高考专用)
重难点6-1空间角与空间距离的求解(8题型+满分技巧+限时检测)(解析版)_2024年新高考资料_3.2024专项复习_2024年高考数学热点·重点·难点专练(新高考专用)
重难点6-1空间角与空间距离的求解(8题型+满分技巧+限时检测)(解析版)_2024年新高考资料_3.2024专项复习_2024年高考数学热点·重点·难点专练(新高考专用)
重难点6-1空间角与空间距离的求解(8题型+满分技巧+限时检测)(解析版)_2024年新高考资料_3.2024专项复习_2024年高考数学热点·重点·难点专练(新高考专用)
重难点6-1空间角与空间距离的求解(8题型+满分技巧+限时检测)(解析版)_2024年新高考资料_3.2024专项复习_2024年高考数学热点·重点·难点专练(新高考专用)
重难点6-1空间角与空间距离的求解(8题型+满分技巧+限时检测)(解析版)_2024年新高考资料_3.2024专项复习_2024年高考数学热点·重点·难点专练(新高考专用)
重难点6-1空间角与空间距离的求解(8题型+满分技巧+限时检测)(解析版)_2024年新高考资料_3.2024专项复习_2024年高考数学热点·重点·难点专练(新高考专用)
重难点6-1空间角与空间距离的求解(8题型+满分技巧+限时检测)(解析版)_2024年新高考资料_3.2024专项复习_2024年高考数学热点·重点·难点专练(新高考专用)
重难点6-1空间角与空间距离的求解(8题型+满分技巧+限时检测)(解析版)_2024年新高考资料_3.2024专项复习_2024年高考数学热点·重点·难点专练(新高考专用)
重难点6-1空间角与空间距离的求解(8题型+满分技巧+限时检测)(解析版)_2024年新高考资料_3.2024专项复习_2024年高考数学热点·重点·难点专练(新高考专用)
重难点6-1空间角与空间距离的求解(8题型+满分技巧+限时检测)(解析版)_2024年新高考资料_3.2024专项复习_2024年高考数学热点·重点·难点专练(新高考专用)
重难点6-1空间角与空间距离的求解(8题型+满分技巧+限时检测)(解析版)_2024年新高考资料_3.2024专项复习_2024年高考数学热点·重点·难点专练(新高考专用)
重难点6-1空间角与空间距离的求解(8题型+满分技巧+限时检测)(解析版)_2024年新高考资料_3.2024专项复习_2024年高考数学热点·重点·难点专练(新高考专用)
重难点6-1空间角与空间距离的求解(8题型+满分技巧+限时检测)(解析版)_2024年新高考资料_3.2024专项复习_2024年高考数学热点·重点·难点专练(新高考专用)
重难点6-1空间角与空间距离的求解(8题型+满分技巧+限时检测)(解析版)_2024年新高考资料_3.2024专项复习_2024年高考数学热点·重点·难点专练(新高考专用)
重难点6-1空间角与空间距离的求解(8题型+满分技巧+限时检测)(解析版)_2024年新高考资料_3.2024专项复习_2024年高考数学热点·重点·难点专练(新高考专用)
重难点6-1空间角与空间距离的求解(8题型+满分技巧+限时检测)(解析版)_2024年新高考资料_3.2024专项复习_2024年高考数学热点·重点·难点专练(新高考专用)
重难点6-1空间角与空间距离的求解(8题型+满分技巧+限时检测)(解析版)_2024年新高考资料_3.2024专项复习_2024年高考数学热点·重点·难点专练(新高考专用)
重难点6-1空间角与空间距离的求解(8题型+满分技巧+限时检测)(解析版)_2024年新高考资料_3.2024专项复习_2024年高考数学热点·重点·难点专练(新高考专用)
重难点6-1空间角与空间距离的求解(8题型+满分技巧+限时检测)(解析版)_2024年新高考资料_3.2024专项复习_2024年高考数学热点·重点·难点专练(新高考专用)
重难点6-1空间角与空间距离的求解(8题型+满分技巧+限时检测)(解析版)_2024年新高考资料_3.2024专项复习_2024年高考数学热点·重点·难点专练(新高考专用)
重难点6-1空间角与空间距离的求解(8题型+满分技巧+限时检测)(解析版)_2024年新高考资料_3.2024专项复习_2024年高考数学热点·重点·难点专练(新高考专用)
重难点6-1空间角与空间距离的求解(8题型+满分技巧+限时检测)(解析版)_2024年新高考资料_3.2024专项复习_2024年高考数学热点·重点·难点专练(新高考专用)
重难点6-1空间角与空间距离的求解(8题型+满分技巧+限时检测)(解析版)_2024年新高考资料_3.2024专项复习_2024年高考数学热点·重点·难点专练(新高考专用)
重难点6-1空间角与空间距离的求解(8题型+满分技巧+限时检测)(解析版)_2024年新高考资料_3.2024专项复习_2024年高考数学热点·重点·难点专练(新高考专用)
重难点6-1空间角与空间距离的求解(8题型+满分技巧+限时检测)(解析版)_2024年新高考资料_3.2024专项复习_2024年高考数学热点·重点·难点专练(新高考专用)
重难点6-1空间角与空间距离的求解(8题型+满分技巧+限时检测)(解析版)_2024年新高考资料_3.2024专项复习_2024年高考数学热点·重点·难点专练(新高考专用)
重难点6-1空间角与空间距离的求解(8题型+满分技巧+限时检测)(解析版)_2024年新高考资料_3.2024专项复习_2024年高考数学热点·重点·难点专练(新高考专用)
重难点6-1空间角与空间距离的求解(8题型+满分技巧+限时检测)(解析版)_2024年新高考资料_3.2024专项复习_2024年高考数学热点·重点·难点专练(新高考专用)
重难点6-1空间角与空间距离的求解(8题型+满分技巧+限时检测)(解析版)_2024年新高考资料_3.2024专项复习_2024年高考数学热点·重点·难点专练(新高考专用)
重难点6-1空间角与空间距离的求解(8题型+满分技巧+限时检测)(解析版)_2024年新高考资料_3.2024专项复习_2024年高考数学热点·重点·难点专练(新高考专用)
重难点6-1空间角与空间距离的求解(8题型+满分技巧+限时检测)(解析版)_2024年新高考资料_3.2024专项复习_2024年高考数学热点·重点·难点专练(新高考专用)
重难点6-1空间角与空间距离的求解(8题型+满分技巧+限时检测)(解析版)_2024年新高考资料_3.2024专项复习_2024年高考数学热点·重点·难点专练(新高考专用)
重难点6-1空间角与空间距离的求解(8题型+满分技巧+限时检测)(解析版)_2024年新高考资料_3.2024专项复习_2024年高考数学热点·重点·难点专练(新高考专用)
重难点6-1空间角与空间距离的求解(8题型+满分技巧+限时检测)(解析版)_2024年新高考资料_3.2024专项复习_2024年高考数学热点·重点·难点专练(新高考专用)
重难点6-1空间角与空间距离的求解(8题型+满分技巧+限时检测)(解析版)_2024年新高考资料_3.2024专项复习_2024年高考数学热点·重点·难点专练(新高考专用)
重难点6-1空间角与空间距离的求解(8题型+满分技巧+限时检测)(解析版)_2024年新高考资料_3.2024专项复习_2024年高考数学热点·重点·难点专练(新高考专用)

文档信息

文档格式
docx
文档大小
5.300 MB
文档页数
49 页
上传时间
2026-04-14 01:52:01

文档内容

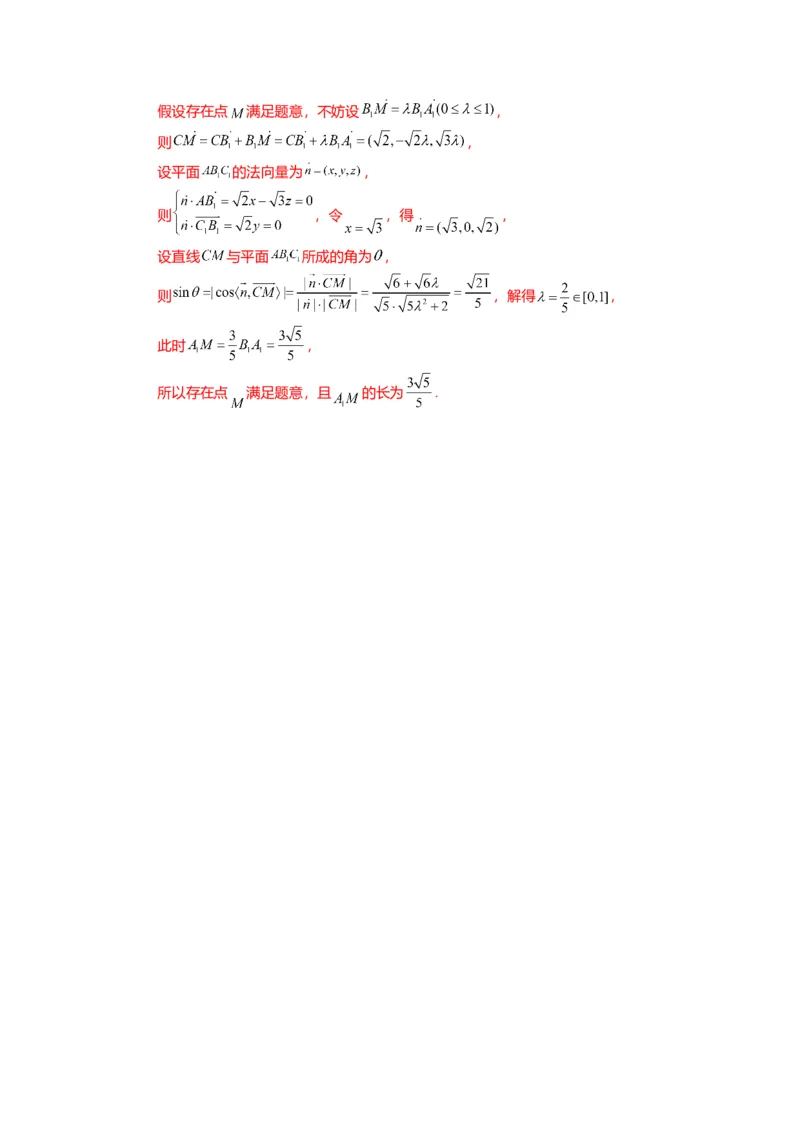
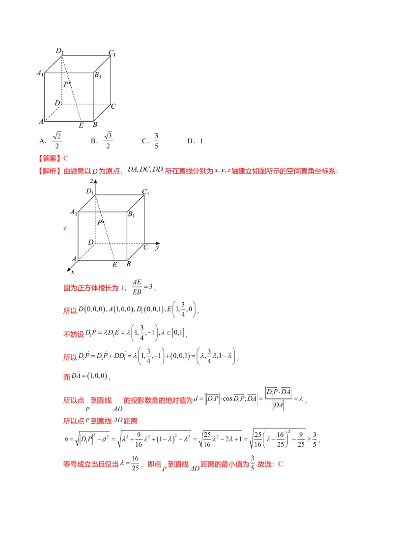
重难点 6-1 空间角与空间距离的求解 空间角与空间距离问题一直是高考数学必考点与热点考向。通常小题及解答题的第2小问考查,难度中等。 在高考复习过程中除了掌握空间向量法,还需多锻炼几何法的应用。 【题型1 几何法求异面直线夹角】 满分技巧 1、求异面直线所成角一般步骤: (1)平移:选择适当的点,线段的中点或端点,平移异面直线中的一条或两条成为相交直线. (2)证明:证明所作的角是异面直线所成的角. (3)寻找:在立体图形中,寻找或作出含有此角的三角形,并解之. (4)取舍:因为异面直线所成角 的取值范围是 ,所以所作的角为钝角时,应取它的补角作为 异面直线所成的角. 2、可通过多种方法平移产生,主要有三种方法: (1)直接平移法(可利用图中已有的平行线); (2)中位线平移法; (3)补形平移法(在已知图形中,补作一个相同的几何体,以便找到平行线). 【例1】(2023·宁夏石嘴山·高三石嘴山市第三中学校考期中)在正方体 中, , , , 分别为 , , , 的中点,则异面直线 与 所成角的大小是( ) A. B. C. D. 【答案】C 【解析】在正方体 中,连接 , 由 分别为 的中点,得 分别为 中点,而 分别为 的中点,则 , , 因此 或其补角是异面直线 与 所成的角, 在 中, ,则 , 所以异面直线 与 所成角的大小是 .故选:C 【变式1-1】(2022·全国·高三专题练习)如图, 是圆锥的顶点, 是底面直径,点 在底面圆上.若 为正三角形,且 ,则异面直线 与 所成角的余弦值为( ) A. B. C. D. 【答案】A 【解析】由已知 ,所以 , 设 ,则 ,可得 , 分别取 的中点 ,连接 ,则 , 所以 或其补角为异面直线 与 所成角, 过点 作 于 ,连接 , 则 为 中点, 与底面垂直,且 , 在 中, , , 所以 , 所以 , 所以在 中, 所以异面直线 与 所成角的余弦值为 .故选:A . 【变式1-2】(2024·广东·高三校联考开学考试)如图,在直三棱柱 中,所有棱长都相等, ,, 分别是棱 , , 的中点,则异面直线 与 所成角的余弦值是( ) A. B. C. D. 【答案】D 【解析】连接 ,因为在直三棱柱 中, , 分别是棱 , 的中点, 故 ,即四边形 为平行四边形, 所以 ,则 即为异面直线 与 所成角或其补角; 直三棱柱 中,所有棱长都相等,设其棱长为2, 连接 ,则 ,而 平面 ,故 平面 , 平面 ,故 , 是棱 的中点,故 ,则 , 而 ,又 , 故在 中, , 由于异面直线所成角的范围为大于 ,小于等于 , 故异面直线 与 所成角的余弦值是 ,故选:D 【变式1-3】(2022·全国·模拟预测)已知正方形 的边长为2,把 沿 折起,使点A与点E 重合,若三棱锥 的外接球球心O到直线 的距离为 ,则异面直线 与 所成角的余弦值 为( )A. B. C. D.0 【答案】A 【解析】易得三棱锥 的外接球球心O为 的中点,连接 ,则 , 取 的中点H,连接 ,易知 , 则 为点O到直线 的距离,即 , 取 的中点F,连接 ,得 , 则 或其补角是异面直线 与 所成角. 因为 ,所以 , 则异面直线 与 所成角的余弦值为 ,故选:A. 【变式1-4】(2023·安徽·高三池州市第一中学校联考阶段练习)在正四棱台 中, ,点 是底面 的中心,若该四棱台的侧面积为 ,则异面直线 与 所成角的 余弦值为( ) A. B. C. D. 【答案】A 【解析】由题意知:正四棱台侧面为等腰梯形, 连接: , , , , , ,作 ,如下图所示, 因为棱台侧面积为 , 即: ,得: , 所以:侧棱长 , 因为: ,得: , 又因为: ,所以:四边形 是平行四边形, 所以: , (或其补角)是异面直线 与 所成的角, 根据余弦定理可知: ,故A项正确.故选:A. 【题型2 向量法求异面直线夹角】满分技巧 异 面 直 线 所 成 角 : 若 分 别 为 直 线 的 方 向 向 量 , 为 直 线 的 夹 角 , 则 . 【例2】(2023·山东德州·高三德州市第一中学校考阶段练习)如图,在直三棱柱 中, ,且 , , 分别是棱 , 的中点,则异面直线 与 所成角的正弦 值是( ) A. B. C. D. 【答案】A 【解析】如图所示:以 为 轴建立空间直角坐标系,设 , 则 , , , , , , , 异面直线 与 所成角的正弦值是 .故选:A. 【变式2-1】(2023·安徽·高三校联考期末)已知 是圆锥 底面的直径, 为底面圆心, 为半圆弧 的中点, , 分别为线段 , 的中点, , ,则异面直线 与 所成角的余 弦值为( ) A. B. C. D. 【答案】B 【解析】因为 为半圆弧 的中点,则 ,如图,建立空间直角坐标系, 因为 , ,为半圆弧 的中点, , 分别为线段 , 的中点, 则 , , 所以 , 设异面直线 与 所成角的角为 , 则 ,故选:B. 【变式2-2】(2024·江西·高三统考期末)已知圆柱的底面半径为1,高为2, , 分别为上、下底面 圆的直径,四面体 的体积为 ,则直线 与 所成角的余弦值为( ) A. B. C. D. 【答案】D 【解析】如图,找底面圆心 ,作 与底面垂直, // , , 故以 为原点,建立空间直角坐标系,规定 , , 设 , , 易知底面圆方程为 ,则 , , 故 , , 故 , 设 到面 的距离为 ,设面 的法向量 , 故有 , ,解得 , , , 故 ,由点到平面的距离公式得 , 已知四面体 的体积为 , 故得 ,解得 (负根舍去), 易得 ,故 , , , , 设直线 与 所成角为 ,故有 .故选:D【变式2-3】(2024·湖南长沙·高三长沙一中校考开学考试)三棱锥 中, 平面 , , . ,点 是面 内的动点(不含边界), ,则异面直线 与 所成角的余弦值的取值范围为( ) A. B. C. D. 【答案】A 【解析】由 平面 平面 ,得 , 又 平面 ,则 平面 , 平面 ,则 , 又 , 平面 , 因此 平面 ,而 平面 ,则 , 如图,以 为坐标原点, 的方向为 轴正方向建立空间直角坐标系, 则 , 设 , , 由 ,得 , , 设异面直线 与 所成角为 , 则 , 令 ,则 , 显然函数 在 上单调递增,此时 , , 所以异面直线 与 所成角的余弦值的取值范围为 .故选:A 【变式2-4】(2023·广东汕头·高三潮阳实验学校校考阶段练习)正四棱锥的侧棱长为 ,底面的边长为 ,E是 的中点,则异面直线 与 所成的角为( ) A. B. C. D. 【答案】C 【解析】连接 ,交于点O,连接 , 以 为x轴, 为y轴, 为z轴,建立空间直角坐标系,正四棱锥的侧棱长为 ,底面的边长为 ,E是 的中点, , , , , 设异面直线 与 所成的角为 , 则 , , 异面直线 与 所成的角为 .故选:C. 【题型3 几何法求直线与平面夹角】 满分技巧 1、垂线法求线面角(也称直接法): (1)先确定斜线与平面,找到线面的交点B为斜足;找线在面外的一点A,过点A向平面 做垂线,确 定垂足O; (2)连结斜足与垂足为斜线AB在面 上的投影;投影BO与斜线AB之间的夹角为线面角; (3)把投影BO与斜线AB归到一个三角形中进行求解(可能利用余弦定理或者直角三角形)。 3、公式法求线面角(也称等体积法): 用等体积法,求出斜线PA在面外的一点P到面的距离,利用三角形的正弦公式进行求解。 ℎ 公式为:sinθ= ,其中θ是斜线与平面所成的角,ℎ是垂线段的长,l是斜线段的长。 l 方法:已知平面 β 内一个多边形的面积为S,它在平面α 内的射影图形的面积为 S 射影, S 平面α 和平面 β 所成的二面角的大小为 θ ,则 COSθ= 射影 .这个方法对于无棱二面角的求解很简便。 S 【例3】(2022·全国·高三专题练习)在正方体 中,棱 的中点分别为 , ,则 直线 与平面 所成角的正弦值为( ) A. B. C. D.【答案】C 【解析】连接 ,在正方体 中, 平面 , 棱 的中点为 ,则 平面 , 而 平面 ,故 , 则 即为直线 与平面 所成角, 设正方体棱长为2,则 , 则 , 故 ,故选:C 【变式3-1】(2024·山西运城·高三统考期末)已知四棱锥 的底面是边长为4的正方形, , ,则直线 与平面 夹角的正弦值为( ) A. B. C. D. 【答案】B 【解析】如图,由题意可知, , 中,根据余弦定理可知 ,则 , 过点 作 平面 , ,连结 , ,连结 , 因为 平面 , 平面 ,所以 ,且 平面 所以 平面 , 平面 , 所以 ,又因为 ,所以 , 同理 , 中, ,则 , 根据等面积公式, , 所以 , ,又 ,所以 , 则 , 直线 与平面 夹角的夹角为 , .故选:B 【变式3-2】(2024·黑龙江哈尔滨·高三哈尔滨市第六中学校校联考期末)过正四棱锥 的高 A B C D 的中点作平行于底面 的截面 1 1 1 1,若四棱锥 与四棱台 的表面积之比 为 ,则直线 与底面 所成角的余弦值为( ) A. B. C. D. 【答案】A A B C D 【解析】依题意过正四棱锥 的高 的中点作平行于底面 的截面 1 1 1 1, 则 , , , 分别为 , , , 的中点, 设正方形 的边长为 , , 所以正方形 的面积为 ,正方形A B C D 的面积为 , 1 1 1 1 正四棱锥的侧面积为 , 四棱台 的侧面积为 , 所以正四棱锥 的表面积为 , 四棱台 的表面积为 , 所以 ,解得 , 由 平面 ,所以 为直线 与底面 所成角,所以 , 又 , ,所以 .故选: . 【变式3-3】(2023·全国·高三校联考阶段练习)如图,在三棱台 中, 平面 , , , . (1)求证:平面 平面 ; (2)求 与平面 所成角正弦值. 【答案】(1)证明见解析;(2) 【解析】(1)由 ,得 , 由 平面 , 平面 ,则 , 又 平面 ,所以 平面 , 因为 平面 ,所以平面 平面 . (2)将棱台补全为如下棱锥 , 由 , , ,易知 , , 由 平面 , 平面 ,则 , , , 所以 , ,可得 , 设 到平面 的距离为h, 又 ,则 ,可得 , 设 与平面 所成角为 , ,则 .【变式3-4】(2023·河北沧州·高三泊头市第一中学校联考阶段练习)如图,在四棱锥 中, , , , , , , . (1)求证:平面 平面 ; (2)若 为 上一点,且 ,求直线 与平面 所成角的正弦值. 【答案】(1)证明见解析;(2) 【解析】(1) , , , , , 平面 , 平面 , 平面 , 平面 平面 ; (2)取 的中点 .连接 、 , 由(1)知 平面 , 平面 , , 如图,过点 作 , , , , , , , , , ,由勾股定理可知 , , 平面 , 平面 , , 为 的中点, ,又 , , 平面 , 为直线 与平面 所成角, 由(1)知 ,又 , ,, , , 则 , , , , 直线 与平面 所成角的正弦值为 . 【题型4 向量法求直线与平面夹角】 满分技巧 直线与平面所成角:设 是直线 的方向向量, 是平面 的法向量,直线与平面的夹角为 .则 . 【例4】(2023·福建福州·高三校联考期中)正四棱柱 中, ,四面体 体积为 ,则 与平面 所成角的正弦值为( ) A. B. C. D. 【答案】C 【解析】设 ,因为四面体 体积为 , 所以 ,解得 , 建立如图所示空间直角坐标系: 则 , 所以 ,设平面 的一个法向量为 , 则 ,即 , 令 ,则 ,所以 , 设 与平面 所成的角为 , 所以 ,故选:C 【变式4-1】(2023·上海嘉定·高三校考期中)在正方体 中, 是 中点,点 在线段 上,若直线 与平面 所成的角为 ,则 的取值范围是( ) A. B. C. D. 【答案】B 【解析】设正方体边长为2,以D为原点建立空间直角坐标系如图所示, 则 , 设 , 则 , 设平面 的法向量为 , 则 取 ,则 , 所以 为平面 的一个法向量, 所以 由于 ,所以 , 所以 , 因为 所以 .故选:B 【变式4-2】(2023·四川南充·统考一模)如图,在四棱锥 中, 平面 , , , .(1)求证: 平面 ; (2)若 ,二面角 的正切值为 ,求直线 与平面 所成角的正弦值. 【答案】(1)证明见解析;(2) 【解析】(1)如图,取 中点 ,连接 ,因为 , , 所以 ,且 , 又 平面 , 平面 ,所以 , 又 面 ,所以 , 又 ,所以四边形 是平行四边形,得到 , 又 平面 , 平面 ,所以 平面 . (2)如图,取 中点 ,连接 , ,则 , 因为 平面 ,由(1)知 ,所以 平面 , 又 ,所以 ,过 作 ,建立如图所示的空间直角坐标系 , 因为 平面 , 面 ,所以 , 又 , ,所以 面 , 又 面 ,所以 , 故 为二面角 的平面角,所以 , 又 ,所以 ,又 ,所以 , 所以 , 则 , 设平面 的一个法向量为 , 则由 得到, , 取 ,所以 , 设直线 与平面 所成角为 , 则 , 所以直线 与平面 所成角的正弦值为 .【变式4-3】(2023·四川雅安·统考一模)如图,在正方体 中,点 是线段 上的动点 (含端点),点 是线段 的中点,设 与平面 所成角为 ,则 的最小值是( ) A. B. C. D. 【答案】A 【解析】如图,以点 为原点建立空间直角坐标系, 设 ,不妨设 , 则 , 故 , , 设平面 的法向量为 , 则 ,可取 , 则 , 所以 , 当 时, , 当 时, , 当 ,即 时, , 综上所述, 的最小值是 .故选:A.【变式4-4】(2024·江苏南通·高三海安高级中学校考开学考试)如图,己知三棱台 的高为 1, , 为 的中点, , ,平面 平面 . (1)求证: 平面 ; (2)求 与平面 所成角的大小. 【答案】(1)证明见解析;(2) 【解析】(1)由 , , , 故 与 全等,故 , 又 为 的中点,故 , 又 平面 平面 ,平面 平面 , 且 平面 ,故 平面 ; (2)连接 ,由 平面 , 平面 ,故 , 又 , 为 的中点,故 , 即 、 、 两两垂直,且 , 故可以 为原点,建立如图所示空间直角坐标系, 有 、 、 、 , 由三棱台 的高为1,故 , 故 , 、 , 则 , , , 令平面 的法向量为 , 则有 ,即 , 令 ,则有 、 ,故 , 则有 ,故 与平面 所成角的正弦值为 , 即 与平面 所成角为 . 【题型5 几何法求平面与平面夹角】 满分技巧 1、定义法(棱上一点双垂线法):提供了添辅助线的一种规律 (1)方法:在二面角的棱上找一个特殊点,在两个半平面内分别过该点作垂直于棱的射线. (2)具体演示:如图所示,以二面角的棱a上的任意一点O为端点, 在两个面内分别作垂直于a的两条射线OA,OB,则∠AOB为此二面角的平面角 a O B A   2、三垂线法(面上一点双垂线法)----最常用 (1)方法:自二面角的一个面上一点向另外一个面作垂线,再由垂足向棱作垂线得到棱上的点(即斜 足),斜足和面上一点的连线与斜足和垂足的连线所夹的角,即为二面角的平面角 (2)具体演示:在平面α内选一点A向另一个平面β作垂线AB,垂足为B,再过点B向棱a作垂线BO, 垂足为O,连接AO,则∠AOB就是二面角的平面角。 3、垂面法(空间一点垂面法) (1)方法:过空间一点作与棱垂直的平面,截二面角得两条射线,这两条射线所成的角就是二面角的平 面角。 (2)具体演示:过二面角内一点A作AB⊥α于B,作AC⊥β于C, 面ABC交棱a于点O,则∠BOC就是二面角的平面角。 4、射影面积法求二面角 【例5】(2024·全国·模拟预测)已知三棱锥 的外接球半径为 , , , ,则平面 与平面 的夹角的余弦值为( )A. B. C. D. 【答案】D 【解析】不妨设二面角 为锐角,设 的中点为 , 因为 ,所以 为 的外接圆圆心;设 的外接圆圆心为 , 三棱锥 的外接球球心为 ,如图,连接 , , , , 则 平面 , 平面 , , 在 中, , , 所以由正弦定理知 ,所以 ; 在 中,由 ,得 ; 在 中,由 , ,得 ; 在 中, , ,则 ; 所以在 中, ,从而 ; 在平面 内过点 作 交 于 , 则 为二面角 的平面角,易知 , 所以 .故选:D. 【变式5-1】(2024·全国·高三专题练习)如图,三棱锥 中, 且 为正三角形, 分别是 的中点,若截面 侧面 ,则此棱锥侧面 与底面 夹角的余弦值为 . 【答案】 【解析】取 和 的中点分别为 , , , 分别是 , 的中点, , , 由于 且 为正三角形, ,故 , 由于 , 分别是 , 的中点,因此 ,故 , 由于截面 侧面 ,所以 ,进而可得 ,由于 故 为侧面 与底面 的二面角的平面角, 设 , , , 在直角 中, . 【变式5-2】(2024·北京海淀·高三统考期末)在正四棱锥 中, ,二面角 的大 小为 ,则该四棱锥的体积为( ) A.4 B.2 C. D. 【答案】C 【解析】连接 ,相交于点 , 则 为正方形 的中心,故 ⊥底面 , 取 的中点 ,连接 , 则 , , 故 为二面角 的平面角, 所以 ,故 , 所以该四棱锥的体积为 .故选:C 【变式5-3】(2024·河北沧州·高三泊头市第一中学校联考期末)将两个相同的正棱锥的底面重叠组成的几 何体称为“正双棱锥”.如图,在正双三棱锥 中, 两两互相垂直,则二面角 的余弦值为( ) A. B. C. D. 【答案】D 【解析】取 中点 ,连接 ,交平面 于点 , 由正棱锥性质及对称性易知 为 的中心,且 ,故 为二面角的平面角, 设正三棱锥侧棱长为2, 易得 , 则 , 在 中由余弦定理得 .故选:D. 【变式5-4】(2023·河北邢台·宁晋中学校考模拟预测)如图,在三棱柱 中,点 在平面 内的射影D在线段AC上, , , . (1)证明: ; (2)设直线 到平面 的距离为 ,求二面角 的大小. 【答案】(1)证明见解析;(2) . 【解析】(1)连接 ,由题设,易知 为菱形,故 , 由点 在平面 内的射影D在AC上,则 面 , 面 ,则 ,而 ,则 , 又 , 面 ,故 面 , 面 ,则 , 而 , 面 ,则 面 , 由 面 ,则 . (2)由(1)知 面 , 面 ,则 , 所以 是二面角 的平面角, 由 , 面 , 面 ,则 面 , 直线 到平面 的距离为 ,即 到平面 的距离为 , 又 面 , 面 ,则面 面 ,面 ,面 面 ,即 到 的距离为 , 由题设 ,易知 , 点 在平面 内的射影D在线段AC上,则 为锐角, 所以 ,故 为等边三角形,即 , 所以二面角 的大小 . 【题型6 向量法求平面与平面夹角】 满分技巧 平 面 与 平 面 的 夹 角 : 若 分 别 为 平 面 的 法 向 量 , 为 平 面 的 夹 角 , 则 . 【例6】(2024·浙江宁波·高三余姚中学校联考期末)如图,在三棱锥 中, , , 平面 ,平面 平面 , 是 的中点. (1)求证: ; (2)求平面 与平面 的夹角. 【答案】(1)证明见解析;(2) . 【解析】(1)作 ,垂足为 , 因为平面 平面 ,平面 平面 , 平面 , 所以 平面 , 平面 ,所以 , 又 平面 , 平面 ,所以 , 因为 , 面 ,所以 平面 , 由 平面 ,所以 . (2)(向量法)如图,以 为原点, 及垂直面 向上为 轴正方向, 建立空间直角坐标系. 所以 ,所以 , , 易知平面 的一个法向量 , 设平面 的法向量为 ,则 , 令 ,所以 ,则 , 所以平面 与平面 的夹角为 . (几何法)取 中点 , 中点 ,连结 , , , 因为 平面 , 平面 ,所以 , 又 ,所以 , 由(1)知, 平面 , 平面 ,所以 , 在直角 和直角 中 , , 所以 是等腰三角形,所以 , 综上, 即为二面角 的平面角, , , ,则 , 所以 为等腰直角三角形,故 , 所以平面 与平面 的夹角为 . 【变式6-1】(2024·云南昆明·统考一模)如图,在三棱锥 中, 平面 , 是线段 的 中点, 是线段 上一点, , .(1)证明:平面 平面 ; (2)是否存在点 ,使平面 与平面 的夹角为 ?若存在,求 ;若不存在,说明理由. 【答案】(1)证明见解析;(2)存在, . 【解析】(1)因为 , 是 的中点,所以 , 在直角 中, , ,所以 , 在 中, , ,所以 ,得 , 又 平面 , 平面 ,所以 , 又 , ,所以 平面 , 由 平面 得 , 又 ,所以 平面 , 由 平面 得,平面 平面 . (2)存在点 满足条件, 以 为原点,建立空间直角坐标系 如图所示, 设 ,则 , , , , , 设平面 的法向量为 , 则 ,令 得 , 所以平面 的一个法向量为 , 易知平面 的一个法向量为 , 由已知得 ,解得 ,即 , 所以存在点 使平面 与平面 的夹角为 ,此时 .【变式6-2】(2024·云南曲靖·高三校联考阶段练习)如图所示,在四棱锥 中,平面 平面 ABCD,底面ABCD为矩形, , , ,点M在棱PC上且 . (1)证明:M为PC的中点; (2)求平面PBD与平面MDB的夹角. 【答案】(1)证明见解析;(2) 【解析】(1)因为平面 平面 ,且平面 平面 , 根据条件可知 , 平面 ,则 平面 , 且 平面 ,所以 , 所以 ,同理可得 , 又因为 ,所以 是等边三角形, 且 ,所以M是 的中点. (2)以D为坐标原点,以 所在直线为 轴, 过D垂直于底面 的直线为 轴,建立如图所示的空间直角坐标系, 则 . 设 为平面 的法向量. 因为 ,可得 , 令 ,则 ,可得 , 设平面 的法向量为 , 因为 ,可得 , 令 ,则 ,可得 ,设平面 与平面 的夹角为 , 则 , 所以平面PBD与平面MDB的夹角 . 【变式6-3】(2024·贵州贵阳·高三贵阳一中校考阶段练习)如图,在三棱柱 中, , , 为 的中点,平面 平面 . (1)证明: 平面 ; (2)若 ,二面角 的余弦值为 ,求平面 与平面 夹角的余弦值. 【答案】(1)证明见解析;(2) 【解析】(1)如图,连接 与 相交于点 ,连接 , 三棱柱 中,侧面 是平行四边形, 则 为 的中点,又 为 的中点,有 , 平面 , 平面 ,所以 平面 ; (2)平面 平面 ,平面 平面 , 底面 为正三角形, 为 的中点,则 , 平面 ,则 平面 , , 平面 , , , 则二面角 的平面角为 ,有余弦值为 , 中, 由余弦定理 , 即 ,解得 , 过 作直线 的垂线,垂足为 ,则 , 故 在 的延长线上, , , , ,四边形 为矩形, 则 ,以 为原点, , , 分别为 轴, 轴, 轴, 建立如图所示的空间直角坐标系, 则 , , , , , , , 设平面 的一个法向量为 , 则有 , 令 ,则 , ,即 , , , 设平面 的一个法向量为 , 则有 , 令 ,则 , ,即 , 平面 与平面 夹角的余弦值为 . 【变式6-4】(2024·江苏南通·高三统考期末)已知 是圆锥 的底面直径,C是底面圆周上的一点, ,平面 和平面 将圆锥截去部分后的几何体如图所示.(1)证明: 平面 ; (2)求二面角 的余弦值. 【答案】(1)证明见解析;(2) 【解析】(1) 为底面圆周上一点, ,又 , 又 为 中点, , 又 底面 , 底面 , , 又 底面 , 平面 . (2) 底面 , 底面 ,所以 , 又因为 ,所以以 为原点, 所在直线分别为 轴, 建立如图所示的空间直角坐标系, 因为 , , , 设平面 的一个法向量 , 由 , ,取 ,所以 , 而平面 的一个法向量 , 设二面角 平面角为 ,显然 为锐角, . 【题型7 几何法解决空间距离问题】 满分技巧 点面距的求解方法 1、定义法(直接法):找到或者作出过这一点且与平面垂直的直线,求出垂线段的长度; 2、等体积法:通过点面所在的三棱锥,利用体积相等求出对应的点线距离; 3、转化法:转化成求另一点到该平面的距离,常见转化为求与面平行的直线上的点到面的距离. 【例7】(2024·河北·高三校联考期末)已知正方形 的边长为1,将正方形 绕着边 旋转至 分别为线段 上的动点,且 ,若 ,则 的最小值为( )A. B. C. D. 【答案】A 【解析】由于 平面 , 所以 平面 , 平面 , 由于 ,则 , 在 中,利用余弦定理可得 , 所以 , 过 作 的垂线,垂足为 ,由 , 平面 , 所以 平面 , 又 平面 ,所以 ,所以 , 不妨设 ,则 , 所以由余弦定理得, ,故选:A. 【变式7-1】(2024·河北邯郸·高三磁县第一中学校考阶段练习)如图,已知圆柱 的底面半径和母线长 均为1, 分别为上、下底面圆周上的点,若异面直线 所成的角为 ,则 ( ) A.1 B. C.1或2 D.2或 【答案】D 【解析】如图,过点 作 平面 于点 ,则 是母线, 连接 底面, , 则四边形 是平行四边形, , 与 所成的角就是 或其补角.当 时, 是等边三角形, , 在 中, ; 当 时,在 中, , 在 中, . 综上, 或 .故选:D. 【变式7-2】(2024·重庆·高三西南大学附中校联考开学考试)如图,在正四棱柱 中, 为 的中点,则 中点到平面 的距离为 . 【答案】 【解析】设 中点为O,O到平面 距离为 到平面 距离的一半,连接 , 设 到平面 的距离为 , 由 ,即 , ,∴O到平面CDE的距离为 . 【变式7-3】(2024·陕西·高三校联考开学考试)如图,在三棱台 中, , , .(1)证明: ; (2)求点 到平面 的距离. 【答案】(1)答案见解析;(2) 【解析】(1) , , . 同理 , 平面 , 平面 , 平面 , (2) 平面 , 平面 , 作 平面 , 到平面 的距离 中 , . 【变式7-4】(2023·广东·统考二模)半正多面体是由边数不全相同的正多边形为面的多面体,如图所示的 多面体 就是一个半正多面体,其中四边形 和四边形 均为正方形,其余八个面 为等边三角形,已知该多面体的所有棱长均为2,则平面 与平面 之间的距离为( ) A. B. C. D. 【答案】B 【解析】分别取 的中点 ,连接 ,根据半正多面体的性质可知,四边形 为等腰梯形; 根据题意可知 , 而 平面 , 故 平面 ,又 平面 , 故平面 平面 ,则平面 平面 , 作 ,垂足为S,平面 平面 , 平面 ,故 平面 , 则梯形 的高即为平面 与平面 之间的距离; , 故 , 即平面 与平面 之间的距离为 ,故选:B 【题型8 向量法解决空间距离问题】 满分技巧 点到平面的距离:已知平面 的法向量为 , 是平面 内的任一点, 是平面 外一点,过点 作则 平面 的垂线 ,交平面 于点 ,则点 到平面 的距离为 (如图). 注意:线面距、面面距均可转化为点面距离,用求点面距的方法进行求解。   ABn 直线 与平面 之间的距离:d  ,其中 , 是平面 的法向量。 a  |n  | Aa,B n     ABn 两平行平面 之间的距离:d  ,其中 , 是平面 的法向量。 , |n  | A,B n  【例8】(2024·广西·模拟预测)如图,在棱长为2的正方体 中, 为线段 的中点, 为线段 的中点.直线 到平面 的距离为( ). A. B. C. D. 【答案】C 【解析】∵ , 平面 , 平面 ,∴ 平面 , 因此直线 到平面 的距离等于点 到平面 的距离, 如图,以 点为坐标原点, 所在的直线为 轴, 所在的直线为 轴, 所在的直线为 轴,建立直角坐标系. 则 , , , , , , , , , 设平面 的法向量为 , 则 , 令 ,则 , 设点 到平面 的距离为 , 则 , 故直线 到平面 的距离为 .故选:C. 【变式8-1】(2024·北京昌平·高三统考期末)如图,在棱长为1的正方体 中, 为线段 上的点,且 ,点 在线段 上,则点 到直线 距离的最小值为( )A. B. C. D.1 【答案】C 【解析】由题意以 为原点, 所在直线分别为 轴建立如图所示的空间直角坐标系: z 因为正方体棱长为1, , 所以 , 不妨设 , 所以 , 而 , 所以点 到直线 的投影数量的绝对值为 , 所以点 到直线 距离 , 等号成立当且仅当 ,即点 到直线 距离的最小值为 .故选:C.【变式8-2】(2023·河北邢台·高三宁晋中学校联考开学考试)已知四棱台 中,底面 为正方形, , , , ⊥底面 . (1)证明: . (2)求 到平面 的距离. 【答案】(1)证明见解析;(2) 【解析】(1)因为 底面 , 底面 ,所以 , 因为底面 为正方形,所以 , 又 平面 , , 所以 平面 , 又 平面 ,所以 . (2)如图建立空间直角坐标系, 则 , , , , 所以 , , , 设平面 的法向量为 , 则 ,取 , 则点 到平面 的距离 . 【变式8-3】(2024·重庆·高三重庆南开中学校考阶段练习)如图,四边形 是圆柱 的轴截面,点 在底面圆 上, ,点 是线段 的中点 (1)证明: 平面 ;(2)若直线 与圆柱底面所成角为 ,求点 到平面 的距离. 【答案】(1)证明见解析;(2) 【解析】(1)证明:取 中点 ,连接 ,如图所示, 为 中点,则 ,又 ,得 , 由 , ,得 , 所以四边形 为平行四边形, , 又 平面 , 平面 ,所以 平面 . (2) ,易知 ,又 ,得 . 由 平面 ,且直线 与圆柱底面所成角为 ,即 ,则有 . 如图,以 为原点, 分别为 轴,过 垂直于底面的直线 为 轴, 建立空间直角坐标系 , 则有 , , , 设平面 的一个法向量为 , 则 , 令 ,有 ,得 , , 设点 到平面 的距离为 ,. 【变式8-4】(2024·河南周口·高三项城市第一高级中学校联考期末)如图,将圆 沿直径 折成直二面 角,已知三棱锥 的顶点 在半圆周上, 在另外的半圆周上, . (1)若 ,求证: ; (2)若 , ,直线 与平面 所成的角为 ,求点 到直线 的距离. 【答案】(1)证明见解析;(2) 【解析】(1)由题意知平面 平面 ,平面 平面 , ,且 平面 ,故 平面 , 又 平面 ,故 ; 又 ,且 平面 , 故 平面 ,而 平面 ,故 ; (2)以O为坐标原点, 所在直线为 轴,过点O作平面 的垂线作为z轴, 建立空间直角坐标系,如图: 由于 , , 则 ,设 ,则 , 则 , 设平面 的一个法向量为 ,则 , 即 ,令 ,则可得 , 由于直线 与平面 所成的角为 ,故 ,解得 , 结合 ,则 , 故 , 由 ,则 , 故点 到直线 的距离为 . (建议用时:60分钟) 1.(2023·全国·高三校联考阶段练习)已知四棱锥 底面 是矩形,其中 , , 侧棱 底面 ,E为 的中点,四棱锥 的外接球表面积为 ,则直线 与 所成 角的正弦值为( ) A. B. C. D. 【答案】D 【解析】设 .可将该四棱锥补成如图所示的长方体: 则该长方体的外接球即为四棱锥的外接球,其直径为 , 故表面积为 ,得 , 因为 ,故 或其补角为异面直线 与 所成的角, 因为 平面 , 平面 ,得平面 平面 , 由 ,得 平面 , 且 平面 ,故 ,故 为锐角,又E为 的中点,故在 中, , 在 中, ,故 .故选:D. 2.(2023·上海虹口·高三校考期中)如图所示,在正方体 中,E为线段 上的动点,则 下列直线中与直线CE夹角为定值的直线为( ) A.直线 B.直线 C.直线 D.直线 【答案】C 【解析】设正方体的棱长为1,如图,以 为原点,分别以 为 轴建立空间直角坐标系, , , , , , 设 , , 则 , , , , , ,不是定值,故A错; ,不是定值,故B错; ,所以直线 与直线 所成角为 ,故C正确;,不是定值,故D错.故选:C. 3.(2024·陕西渭南·统考一模)在正三棱柱 中, , 是 的中点,则直线 与 平面 所成角的正弦值为( ) A. B. C. D. 【答案】B 【解析】取 是 的中点,连接 ,如下图所示: 设三棱柱 底面边长为 ,可得 , 由正三棱柱性质可知 平面 ,所以 即为直线 与平面 所成角的平面角, 易知 ,由勾股定理可得 , 所以 ; 即直线 与平面 所成角的正弦值为 .故选:B 4.(2023·山东青岛·高三统考期中)《九章算术》中将底面为直角三角形且侧棱垂直于底面的三棱柱称为 塹堵,在塹堵 中,若 ,若 为线段 中点,则点 到直线 的距离为( ) A. B. C. D. 【答案】B 【解析】根据塹堵的定义,建立以点 为原点的空间直角坐标系, 则 , , , , , 故 , , 所以 ,所以 , 设点 到直线 的距离为 ,所以 ,解得 .故选:B. 5.(2023·山东济宁·高三济宁一中校考阶段练习)如图1,某广场上放置了一些石凳供大家休息,这些石 凳是由正方体截去八个一样的正三棱锥得到的,它的所有棱长均相同,数学上我们称之为半正多面体 (semiregular solid),亦称为阿基米德多面体,如图2,设 ,则平面 与平面 之间的距离 是( ) A. B. C. D. 【答案】D 【解析】如图,不妨记正方体为 , , , 故四边形 是平行四边形,所以 , 又 , 分别为 , 的中点, 所以 ,同理 , 所以 ,又 平面 , 平面 , 所以 平面 ,同理 平面 , 又 , , 平面 , 所以平面 平面 , 设对角线 分别交平面 和平面 于点 , , 因为 平面 , 平面 ,所以 , 连接 ,因为 分别为 的中点, 故 ,又 , 平面 , , 所以 平面 ,又 平面 , 所以 ,同理 , 又 , , 平面 ,所以 平面 , 又平面 平面 ,所以 平面 , 即为平面 与平面 的距离,则 , 由正方体棱长为 得 ,由题意得 , 为等边三角形,故 , 根据 ,得 ,解得 , 根据对称性知 , 所以 , 则平面 与平面 的距离为 .故选:D 6.(2024·山东德州·高三统考期末)(多选)在棱长为1的正方体 中,下列结论正确的 是( ) A.点 到 的距离为 B.面 与面 的距离为 C.直线 与平面 所成的角为 D.点 到平面 的距离为 【答案】AB 【解析】以 为原点, 所在的直线分别为 正方向建立空间直角坐标系, 对于A, , , 所以点 到 的距离 ,故A正确; 对于B, , , , 设 分别为平面 、平面 的一个法向量, 所以 ,令 ,可得 ,所以 , ,令 ,可得 ,所以 , 所以 ,所以平面 平面 , 可得 点到平面 的距离即为所求, , 所以 点到平面 的距离为 ,故B正确; 对于C, , ,设 为平面 的一个法向量, 所以 ,令 ,可得 ,所以 , 设直线 与平面 所成的角为 , 所以 , 因为 ,所以 ,故C错误; 对于D,因为平面 的一个法向量为 , , 所以点 到平面 的距离为 , 故D错误.故选:AB. 7.(2023·江苏镇江·高三校考阶段练习)(多选)如图,已知正方体 的棱长为2,点P是 线段 的中点,点Q是线段 上的动点(不含端点),则下列结论正确的是( ) A. 平面 B.Q到平面 的距离为 C. 与 所成角的取值范围为 D.三棱锥 外接球体积的最小值为 【答案】ACD 【解析】A:由题意可知 , 且 面 , 面 ,所以面 面 , 又因为 面 ,所以 平面 ,故A正确; B:因为 平面 ,所以Q到平面 的距离等于 到平面 的距离, 以 所在直线分别为 轴,以 为原点建立空间直角坐标系,如图则 , 所以 , 设平面 的法向量为 , 则 ,取 ,则 ,所以 , 所以 到平面 的距离 ,故B错误; C:因为 ,所以 与 所成的角就是 与 所成的角, 因为点Q是线段 上的动点(不含端点), 所以 与 所成角的最大值为 , 又因为 , , 所以 , 所以在 中, ,即为 与 所成角的最小值,但不能取得, 所以 与 所成角的取值范围为 ,故C正确; D:因为 ,又 是直角三角形, ,取 的中点 , 则 , 因为棱锥 外接球体积最小, 所以 在 处,所以 , 所以 为 外接球的球心,所以 , 所以 ,故D正确;故选:ACD 8.(2023·广西·模拟预测)如图,已知在矩形 和矩形 中, , ,且二面角 为 ,则异面直线 与 所成角的正弦值为 .【答案】 【解析】连接 , , ,取 中点 ,连接 , , ∵四边形 , 为矩形,∴ , , 平面 平面 , 平面 , 平面 , ∴ 即为二面角 的平面角,∴ , 又 , ,∴ ,∴ 为等边三角形,∴ ; ∵ , 分别为 , 中点,∴ , , ∴ (或其补角)即为异面直线 与 所成角, ∵ ,∴ , ∴ , 所以异面直线 与 所成角的正弦值为 . 9.(2024·广东深圳·高三深圳市高级中学校考期末)如图, 在圆台 中, ,点C是底面圆周 上异于A、B的一点, , 点D是 的中点, 为平面 与平面 的交线, 则交线 与平面 所成角的大小为 . 【答案】【解析】因为 ,D分别是 ,BC的中点,所以 , 所以 平面 , 平面 ,所以 平面 , 平面 ,平面 平面 , 所以 , ,所以 , 所以直线l与平面 所成角即直线 与平面 所成角, 因为 为直径,所以 ,因为 ,即 , 又因为 平面 , 平面 ,所以 , 平面 ,所以 平面 , 过点 作 交 于点 , 因为 平面 ,所以 , , , 平面 ,所以 平面 , 所以 为交线l与平面 所成角, 因为 , , . 所以,结合图知 . 10.(2022·全国·高三专题练习)如图,在四棱锥 中,平面 平面 ,四边形 为矩形, 为 的中点. (1)求异面直线 与 所成的角; (2)求二面角 的余弦值. 【答案】(1) ;(2) 【解析】(1) 是异面直线 与 所成的角或其补角, , ∴异面直线 与 所成的角为 . (2)∵平面 平面 ,平面 平面 , 平面 平面 , 平面 , 平面 , 平面 , 平面 平面 , 又 是二面角 的平面角.平面 平面 , . ,即二面角 的余弦值为 . 11.(2024·重庆九龙坡·高三重庆实验外国语学校校考开学考试)如图.在四棱锥 中,已知底面 为矩形,侧面 是正三角形,面 底面 , 是棱 的中点. (1)证明: ; (2)若 ,且二面角 的大小为 ,求异面直线 与 所成角的正切值. 【答案】(1)证明见解析;(2) 【解析】(1)因为侧面 底面 ,侧面 底面 , 又因为底面 为矩形,所以 , 又 平面 ,所以 平面 . 又 平面 ,所以 . 又侧面 是正三角形, 是 的中点,所以 . 又 , , 平面 ,所以 平面 . 又因为 平面 ,所以 . (2)如图,过点 作 ,垂足为 ,易得 为 的四等分点, . 由于侧面 底面 ,交线为 , 所以 底面 ,过 作 ,垂足为 ,连接 , 则 即为二面角 的平面角,其大小为 . 在 中, ,所以 ,所以 . 因为 , ,所以四边形 为平行四边形,从而 . 由(1)知 平面 ,所以 为直角三角形, 所以异面直线 与 所成角即为 .12.(2024·山西临汾·统考一模)如图,在三棱柱 中, , , ,二面角 的大小为 . (1)求四边形 的面积; (2)在棱 上是否存在点 ,使得直线 与平面 所成的角的正弦值为 ?若存在,求出 的长;若不存在,说明理由. 【答案】(1) ;(2)存在, . 【解析】(1)在三棱柱 中,取 的中点 ,连接 , 在 中,由 , ,得 , , 在 中,由 , ,得 , , 则 为二面角 的平面角,即 , 在 中,由余弦定理得 ,解得 , 又 , 平面 ,则 平面 , 而 平面 ,于是 , 显然 ,则 , 所以平行四边形 的面积 . (2)由(1)知 ,有 ,则 , 同理 ,又 , ,即 ,则 , 以 为原点,直线 分别为 轴,建立空间直角坐标系, , , , , , ,假设存在点 满足题意,不妨设 , 则 , 设平面 的法向量为 , 则 ,令 ,得 , 设直线 与平面 所成的角为 , 则 ,解得 , 此时 , 所以存在点 满足题意,且 的长为 .