当前位置:首页>文档>考向03复数(重点)-备战2023年高考数学一轮复习考点微专题(全国通用)(原卷版)_通用版(老高考)复习资料_2023年复习资料_一轮复习

考向03复数(重点)-备战2023年高考数学一轮复习考点微专题(全国通用)(原卷版)_通用版(老高考)复习资料_2023年复习资料_一轮复习

  • 2026-04-24 07:15:44 2026-04-24 07:15:44

文档预览

考向03复数(重点)-备战2023年高考数学一轮复习考点微专题(全国通用)(原卷版)_通用版(老高考)复习资料_2023年复习资料_一轮复习
考向03复数(重点)-备战2023年高考数学一轮复习考点微专题(全国通用)(原卷版)_通用版(老高考)复习资料_2023年复习资料_一轮复习
考向03复数(重点)-备战2023年高考数学一轮复习考点微专题(全国通用)(原卷版)_通用版(老高考)复习资料_2023年复习资料_一轮复习
考向03复数(重点)-备战2023年高考数学一轮复习考点微专题(全国通用)(原卷版)_通用版(老高考)复习资料_2023年复习资料_一轮复习
考向03复数(重点)-备战2023年高考数学一轮复习考点微专题(全国通用)(原卷版)_通用版(老高考)复习资料_2023年复习资料_一轮复习
考向03复数(重点)-备战2023年高考数学一轮复习考点微专题(全国通用)(原卷版)_通用版(老高考)复习资料_2023年复习资料_一轮复习
考向03复数(重点)-备战2023年高考数学一轮复习考点微专题(全国通用)(原卷版)_通用版(老高考)复习资料_2023年复习资料_一轮复习
考向03复数(重点)-备战2023年高考数学一轮复习考点微专题(全国通用)(原卷版)_通用版(老高考)复习资料_2023年复习资料_一轮复习
考向03复数(重点)-备战2023年高考数学一轮复习考点微专题(全国通用)(原卷版)_通用版(老高考)复习资料_2023年复习资料_一轮复习
考向03复数(重点)-备战2023年高考数学一轮复习考点微专题(全国通用)(原卷版)_通用版(老高考)复习资料_2023年复习资料_一轮复习
考向03复数(重点)-备战2023年高考数学一轮复习考点微专题(全国通用)(原卷版)_通用版(老高考)复习资料_2023年复习资料_一轮复习
考向03复数(重点)-备战2023年高考数学一轮复习考点微专题(全国通用)(原卷版)_通用版(老高考)复习资料_2023年复习资料_一轮复习
考向03复数(重点)-备战2023年高考数学一轮复习考点微专题(全国通用)(原卷版)_通用版(老高考)复习资料_2023年复习资料_一轮复习
考向03复数(重点)-备战2023年高考数学一轮复习考点微专题(全国通用)(原卷版)_通用版(老高考)复习资料_2023年复习资料_一轮复习
考向03复数(重点)-备战2023年高考数学一轮复习考点微专题(全国通用)(原卷版)_通用版(老高考)复习资料_2023年复习资料_一轮复习
考向03复数(重点)-备战2023年高考数学一轮复习考点微专题(全国通用)(原卷版)_通用版(老高考)复习资料_2023年复习资料_一轮复习
考向03复数(重点)-备战2023年高考数学一轮复习考点微专题(全国通用)(原卷版)_通用版(老高考)复习资料_2023年复习资料_一轮复习
考向03复数(重点)-备战2023年高考数学一轮复习考点微专题(全国通用)(原卷版)_通用版(老高考)复习资料_2023年复习资料_一轮复习
考向03复数(重点)-备战2023年高考数学一轮复习考点微专题(全国通用)(原卷版)_通用版(老高考)复习资料_2023年复习资料_一轮复习

文档信息

文档格式
docx
文档大小
0.838 MB
文档页数
15 页
上传时间
2026-04-24 07:15:44

文档内容

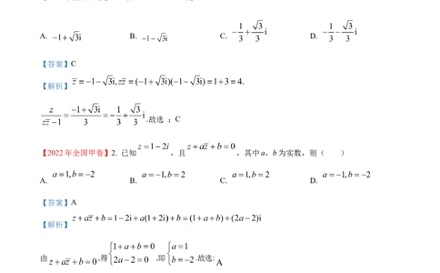
考向 03 复数 【2022年全国甲卷】1. 若 ,则 ( ) A. B. C. D. 【答案】C 【解析】 .故选 :C 【2022年全国甲卷】2. 已知 ,且 ,其中a,b为实数,则( ) A. B. C. D. 【答案】A 【解析】 由 ,得 ,即 .故选: 【2022年新高考1卷】3. 2. 若 ,则 ( ) A. B. C. 1 D. 2 【答案】D 【解析】由题设有 ,故 ,故 ,故选:D【2022年新高考2卷】4. 2. ( ) A. B. C. D. 【答案】D 【解析】 ,故选:D. 【2022年浙江卷】2. 已知 ( 为虚数单位),则( ) A. B. C. D. 【答案】B 【解析】 ,而 为实数,故 ,故选:B. 【2022年北京卷】2. 若复数z满足 ,则 ( ) A. 1 B. 5 C. 7 D. 25 【答案】B 【解析】由题意有 ,故 .故选:B. 每年1题,稳得不得了,考查四则运算为主,偶尔与其他知识交汇,难度较小.考查代数运算的同 时,主要涉及考查概念有:实部、虚部、共轭复数、复数的模、对应复平面的点坐标、复数运算等. 无法直接计算时可以先设z=a+bi 几个重要的结论 1. 2.3.若 为虚数,则 4.关于虚数单位i的一些固定结论: (1) (2) (3) (2) 易错题【01】对服饰的相关概念理解不清 易错题【02】对复数的模的定义理解不透 易错题【03】复数相等的条件应用出错 易错题【04】复数的模与绝对值混淆 1.已知 , 是虚数单位,若 与 互为共轭复数,则 ( ) A.0 B.1 C.2 D.3 2.已知复数 满足 ,则 ( ) A. B. C. D. 3.已知复数 ,则复数 在复平面内对应的点的坐标为( ) A. B. C. D. 4.设 是虚数单位,则 等于( ) A.0 B. C. D. 5.若z为纯虚数,且 ,则 ( ) B. C. D. A.6.已知 为纯虚数,则实数m的值为( ) A.1 B.-1 C. D. 一、单选题 1.(2022·辽宁·育明高中一模)若复数 的实部与虚部分别为a,b,则点A(b,a)必在下列哪个函数 的图象上( ) A. B.y= C. D. 2.(2021·云南昆明·三模(理))给出下列三个结论: ①若复数 是纯虚数,则 ②若复数 ,则复数z在复平面内对应的点在第二象限 ③若复数z满足 ,则z在复平面内所对应点的轨迹是圆 其中所有正确结论的个数是( ) A.0 B.1 C.2 D.3 3.(2022·全国·河源市河源中学模拟预测)已知a为正整数,且 ,则a=( ) A.1 B.2 C.3 D.4 4.(2022·江西南昌·三模(理))若复数 的实部和虚部均为整数,则称复数 为高斯整数,关于高斯整 数,有下列命题: ①整数都是高斯整数; ②两个高斯整数的乘积也是高斯整数; ③模为3的非纯虚数可能是高斯整数;④只存在有限个非零高斯整数 ,使 也是高斯整数 其中正确的命题有( ) A.①②④ B.①②③ C.①② D.②③④ 5.(2022·浙江绍兴·模拟预测)人们对数学研究的发展一直推动着数域的扩展,从正数到负数、从整数到 分数、从有理数到实数等等.16世纪意大利数学家卡尔丹和邦贝利在解方程时,首先引进了 ,17世 纪法因数学家笛卡儿把i称为“虚数”,用 表示复数,并在直角坐标系上建立了“复平 面”.若复数z满足方程 ,则 ( ) A. B. C. D. 二、多选题 6.(2021·黑龙江·密山市第一中学模拟预测)已知 , ,则下列说法正确的有 ( ) A.若 为实数,则 ; B. 的共轭复数是 ; C. 的最小值是4; D.满足 的复数 在复平面上的对应点 的集合是以 为圆心,以1为半径的圆. 7.(2021·重庆八中模拟预测)设复数 的共辄复数为 , 为虚数单位,则下列命题正确的是( ) A.若 ,则 B.若 ,则 C.若 ,则 D.若 ,则 的最大值为28.(2021·江苏泰州·模拟预测)设 为复数,在复平面内 、 对应的点分别为 、 ,坐标原点为 ,则 下列命题中正确的有( ) A.当 为纯虚数时, 三点共线 B.当 时, 为等腰直角三角形 C.对任意复数 , D.当 为实数时, 9.(2022·江苏苏州·模拟预测)下列命题正确的是( ) A.若A,B,C为任意集合,则 B.若 , , 为任意向量,则 C.若 , , 为任意复数,则 D.若A,B,C为任意事件,则 三、填空题 10.(2022·浙江·三模)中国古代数学著作《九章算术》中记载了平方差公式,平方差公式是指两个数的 和与这两个数差的积,等于这两个数的平方差.若复数 (i为虚数单位),则 __________. 1.(2021年新高考1卷)已知 ,则A. B. C. D. 2.(2021年新高考2卷) ( ) A. B. C. D. 3.(2021年高考全国甲卷理科)已知 ,则 ( ) . A B. C. D. 4.(2021年高考全国乙卷理科)设 ,则 ( ) A. B. C. D. 5. (2021年高考浙江卷)已知 , ( 为虚数单位), 则 ( ). A. B. 1 C. D. 3 6.(2020年高考数学课标Ⅰ卷理科)若z=1+i,则|z2–2z|= ( ) A.0 B.1 C. D.2 7.(2020年高考数学课标Ⅲ卷理科)复数 虚部是 ( ) 的 A. B. C. D. 8.(2019年高考数学课标Ⅲ卷理科)若 ,则 ( )A. B. C. D. 9.(2019年高考数学课标全国Ⅱ卷理科)设 ,则在复平面内 对应的点位于( ) A.第一象限B.第二象限 C.第三象限 D.第四象限 10.(2019年高考数学课标全国Ⅰ卷理科)设复数 满足 , 在复平面内对应的点为 ,则( ) A. B. C. D. 11.(2021年上海卷)已知 , . 12.(2020年高考数学课标Ⅱ卷理科)设复数 , 满足 , ,则 =__________. 1.【答案】D 【解析】选D,由题意a=2,b=1,所以a+b=3. 2.【答案】A 【解析】选A, . 3.【答案】D【解析】选D, ,所以对应点坐标为(-1,0). 4.【答案】D 【解析】选D, 5.【答案】A 【解析】选A.由题意可知z=±2i, 6.【答案】A 【解析】选A.由题意有 ,所以m=1. 一、单选题 1.【答案】D 【解析】因为 = =- + i,所以a=- ,b= ,所以A , 把点A的坐标分别代入选项,只有D选项满足. 故选:D. 2.【答案】C 【解析】①因为复数 是纯虚数,则 ,解得 ,故正确; ②复数 ,则复数z在复平面内对应的点在第一象限,故错误; ③因为复数z满足 ,所以z在复平面内所对应点的轨迹以原点为圆心,以1为半径的是圆,故正确; 所以正确结论的个数是2个, 故选:C 3.【答案】A 【解析】因为 ,所以 ,即 , , a为正整数,所以 ,故选:A 4.【答案】A【解析】①令 ,当 时, ,即 为整数,根据题意, 是高斯整数,故①正确; ②令 , ,则 , 则 为整数, 为整数,故 为高斯整数,故②正确; ③令 ,且 ,故 ,所以 至少有一个数为非整数,故 不是高斯整数, ③错误; ④令 ,且 ,则 , 若 为高斯整数,故 为整数,即存在有限个,例如 ,故④正确. 故选:A. 5.【答案】C 【解析】设 ,因 ,则 , 即 ,而 ,则 ,解得 , 所以 .故选:C 二、多选题 6.【答案】AC 【解析】 为实数, , ,故A正确; ,其共轭复数为 ,故B错误; 表示点 到原点的距离, ,当 时,取最小 值为 ,故C正确; 设 ,由 得 ,即 , 对应点 的集合是以为圆心,以1为半径的圆,故D错误;故选:AC 7.【答案】ABD 【解析】若 ,即 , ,则 ,A正确; 若 ,即 的虚部为0,则 ,B正确; 若 ,则 ,C错误; 若 ,设 ( ),即 ,则 表示圆上的点到原点的距离,其最大值为 2,D正确,故选:ABD. 8.【答案】ABD 【解析】设 ,则 , 对A:当 为纯虚数时, , 对应的点分别为 、 , 均在 轴上,所 以 三点共线,故A正确; 对B: 当 时, ,所以 , ,所以 ,而 , 所以 ,所以 为等腰直角三角形,故B正确; 对C: , ,当 时, ,故C错误; 对D:当 为实数时, ,此时 ,故D正确. 故选:ABD 9.【答案】AC 【解析】对于A,集合运算有结合律,任意集合A,B,C都有 ,故A正确; 对于B,向量的数量积不满足结合律,即 故B错误;, 对于C,复数的乘法运算满足结合律,所以对任意复数 , , ,有 ,故C正确; 对于D,若 , ,故D错误. 故选:AC. 三、填空题 10.【答案】 【解析】 ; 故答案为: . 1.【答案】C 【解析】 ,故答案选C. 2.【答案】D 【解析】 ,故选:D. 3.【答案】B 【解析】 , .故选:B. 4.【答案】C 【解析】设 ,则 ,则 , 所以, ,解得 ,因此, .故选:C. 5.【答案】C 【解析】由题意,得 ,复数相等定义,知 ,故选C. 6.【答案】D 【解析】由题意可得: ,则 . 故 .故选:D.7.【答案】D 【解析】因为 ,所以复数 的虚部为 . 故选:D. 8.【答案】D 【解析】根据复数运算法则, ,故选D. 另解:由常用结论 ,得 ,则 ,故选D. 【点评】本题考查复数的商的运算,渗透了数学运算素养.采取复数运算法则,利用方程思想解题.当然 若能熟知一些常用结论,可使解题快、准. 9.【答案】C 【解析】∵ ,∴ ,对应坐标 ,是第三象限. 【点评】本题考查复数的共轭复数和复数在复平面内的对应点位置,渗透了直观想象和数学运算素养.采 取定义法,利用数形结合思想解题.本题考点为共轭复数,为基础题目,难度偏易.忽视共轭复数的定义 致错,复数与共轭复数间的关系为实部同而虚部异,它的实部和虚部分别对应复平面上点的横纵坐标. 10.【答案】C 【解析】设 ,则 . 11.【答案】 【解析】由题意得: 12.【答案】 【解析】方法一:设 , , , ,又 ,所以 , ,. 故答案为: . 方法二:如图所示,设复数 所对应的点为 , , 由已知 , ∴平行四边形 为菱形,且 都是正三角形,∴ , ∴ . 【点睛】方法一:本题考查复数模长的求解,涉及到复数相等的应用;考查学生的数学运算求解能力, 是一道中档题. 方法二:关键是利用复数及其运算的几何意义,转化为几何问题求解