当前位置:首页>文档>考向32椭圆(重点)-备战2023年高考数学一轮复习考点微专题(全国通用)(解析版)_2.2025数学总复习_赠品通用版(老高考)复习资料_一轮复习

考向32椭圆(重点)-备战2023年高考数学一轮复习考点微专题(全国通用)(解析版)_2.2025数学总复习_赠品通用版(老高考)复习资料_一轮复习

  • 2026-05-04 11:38:53 2026-03-27 06:09:37

文档预览

考向32椭圆(重点)-备战2023年高考数学一轮复习考点微专题(全国通用)(解析版)_2.2025数学总复习_赠品通用版(老高考)复习资料_一轮复习
考向32椭圆(重点)-备战2023年高考数学一轮复习考点微专题(全国通用)(解析版)_2.2025数学总复习_赠品通用版(老高考)复习资料_一轮复习
考向32椭圆(重点)-备战2023年高考数学一轮复习考点微专题(全国通用)(解析版)_2.2025数学总复习_赠品通用版(老高考)复习资料_一轮复习
考向32椭圆(重点)-备战2023年高考数学一轮复习考点微专题(全国通用)(解析版)_2.2025数学总复习_赠品通用版(老高考)复习资料_一轮复习
考向32椭圆(重点)-备战2023年高考数学一轮复习考点微专题(全国通用)(解析版)_2.2025数学总复习_赠品通用版(老高考)复习资料_一轮复习
考向32椭圆(重点)-备战2023年高考数学一轮复习考点微专题(全国通用)(解析版)_2.2025数学总复习_赠品通用版(老高考)复习资料_一轮复习
考向32椭圆(重点)-备战2023年高考数学一轮复习考点微专题(全国通用)(解析版)_2.2025数学总复习_赠品通用版(老高考)复习资料_一轮复习
考向32椭圆(重点)-备战2023年高考数学一轮复习考点微专题(全国通用)(解析版)_2.2025数学总复习_赠品通用版(老高考)复习资料_一轮复习
考向32椭圆(重点)-备战2023年高考数学一轮复习考点微专题(全国通用)(解析版)_2.2025数学总复习_赠品通用版(老高考)复习资料_一轮复习
考向32椭圆(重点)-备战2023年高考数学一轮复习考点微专题(全国通用)(解析版)_2.2025数学总复习_赠品通用版(老高考)复习资料_一轮复习
考向32椭圆(重点)-备战2023年高考数学一轮复习考点微专题(全国通用)(解析版)_2.2025数学总复习_赠品通用版(老高考)复习资料_一轮复习
考向32椭圆(重点)-备战2023年高考数学一轮复习考点微专题(全国通用)(解析版)_2.2025数学总复习_赠品通用版(老高考)复习资料_一轮复习
考向32椭圆(重点)-备战2023年高考数学一轮复习考点微专题(全国通用)(解析版)_2.2025数学总复习_赠品通用版(老高考)复习资料_一轮复习
考向32椭圆(重点)-备战2023年高考数学一轮复习考点微专题(全国通用)(解析版)_2.2025数学总复习_赠品通用版(老高考)复习资料_一轮复习
考向32椭圆(重点)-备战2023年高考数学一轮复习考点微专题(全国通用)(解析版)_2.2025数学总复习_赠品通用版(老高考)复习资料_一轮复习
考向32椭圆(重点)-备战2023年高考数学一轮复习考点微专题(全国通用)(解析版)_2.2025数学总复习_赠品通用版(老高考)复习资料_一轮复习
考向32椭圆(重点)-备战2023年高考数学一轮复习考点微专题(全国通用)(解析版)_2.2025数学总复习_赠品通用版(老高考)复习资料_一轮复习
考向32椭圆(重点)-备战2023年高考数学一轮复习考点微专题(全国通用)(解析版)_2.2025数学总复习_赠品通用版(老高考)复习资料_一轮复习
考向32椭圆(重点)-备战2023年高考数学一轮复习考点微专题(全国通用)(解析版)_2.2025数学总复习_赠品通用版(老高考)复习资料_一轮复习
考向32椭圆(重点)-备战2023年高考数学一轮复习考点微专题(全国通用)(解析版)_2.2025数学总复习_赠品通用版(老高考)复习资料_一轮复习
考向32椭圆(重点)-备战2023年高考数学一轮复习考点微专题(全国通用)(解析版)_2.2025数学总复习_赠品通用版(老高考)复习资料_一轮复习
考向32椭圆(重点)-备战2023年高考数学一轮复习考点微专题(全国通用)(解析版)_2.2025数学总复习_赠品通用版(老高考)复习资料_一轮复习
考向32椭圆(重点)-备战2023年高考数学一轮复习考点微专题(全国通用)(解析版)_2.2025数学总复习_赠品通用版(老高考)复习资料_一轮复习
考向32椭圆(重点)-备战2023年高考数学一轮复习考点微专题(全国通用)(解析版)_2.2025数学总复习_赠品通用版(老高考)复习资料_一轮复习
考向32椭圆(重点)-备战2023年高考数学一轮复习考点微专题(全国通用)(解析版)_2.2025数学总复习_赠品通用版(老高考)复习资料_一轮复习
考向32椭圆(重点)-备战2023年高考数学一轮复习考点微专题(全国通用)(解析版)_2.2025数学总复习_赠品通用版(老高考)复习资料_一轮复习
考向32椭圆(重点)-备战2023年高考数学一轮复习考点微专题(全国通用)(解析版)_2.2025数学总复习_赠品通用版(老高考)复习资料_一轮复习
考向32椭圆(重点)-备战2023年高考数学一轮复习考点微专题(全国通用)(解析版)_2.2025数学总复习_赠品通用版(老高考)复习资料_一轮复习
考向32椭圆(重点)-备战2023年高考数学一轮复习考点微专题(全国通用)(解析版)_2.2025数学总复习_赠品通用版(老高考)复习资料_一轮复习
考向32椭圆(重点)-备战2023年高考数学一轮复习考点微专题(全国通用)(解析版)_2.2025数学总复习_赠品通用版(老高考)复习资料_一轮复习
考向32椭圆(重点)-备战2023年高考数学一轮复习考点微专题(全国通用)(解析版)_2.2025数学总复习_赠品通用版(老高考)复习资料_一轮复习
考向32椭圆(重点)-备战2023年高考数学一轮复习考点微专题(全国通用)(解析版)_2.2025数学总复习_赠品通用版(老高考)复习资料_一轮复习
考向32椭圆(重点)-备战2023年高考数学一轮复习考点微专题(全国通用)(解析版)_2.2025数学总复习_赠品通用版(老高考)复习资料_一轮复习
考向32椭圆(重点)-备战2023年高考数学一轮复习考点微专题(全国通用)(解析版)_2.2025数学总复习_赠品通用版(老高考)复习资料_一轮复习
考向32椭圆(重点)-备战2023年高考数学一轮复习考点微专题(全国通用)(解析版)_2.2025数学总复习_赠品通用版(老高考)复习资料_一轮复习
考向32椭圆(重点)-备战2023年高考数学一轮复习考点微专题(全国通用)(解析版)_2.2025数学总复习_赠品通用版(老高考)复习资料_一轮复习
考向32椭圆(重点)-备战2023年高考数学一轮复习考点微专题(全国通用)(解析版)_2.2025数学总复习_赠品通用版(老高考)复习资料_一轮复习
考向32椭圆(重点)-备战2023年高考数学一轮复习考点微专题(全国通用)(解析版)_2.2025数学总复习_赠品通用版(老高考)复习资料_一轮复习
考向32椭圆(重点)-备战2023年高考数学一轮复习考点微专题(全国通用)(解析版)_2.2025数学总复习_赠品通用版(老高考)复习资料_一轮复习
考向32椭圆(重点)-备战2023年高考数学一轮复习考点微专题(全国通用)(解析版)_2.2025数学总复习_赠品通用版(老高考)复习资料_一轮复习
考向32椭圆(重点)-备战2023年高考数学一轮复习考点微专题(全国通用)(解析版)_2.2025数学总复习_赠品通用版(老高考)复习资料_一轮复习
考向32椭圆(重点)-备战2023年高考数学一轮复习考点微专题(全国通用)(解析版)_2.2025数学总复习_赠品通用版(老高考)复习资料_一轮复习
考向32椭圆(重点)-备战2023年高考数学一轮复习考点微专题(全国通用)(解析版)_2.2025数学总复习_赠品通用版(老高考)复习资料_一轮复习
考向32椭圆(重点)-备战2023年高考数学一轮复习考点微专题(全国通用)(解析版)_2.2025数学总复习_赠品通用版(老高考)复习资料_一轮复习
考向32椭圆(重点)-备战2023年高考数学一轮复习考点微专题(全国通用)(解析版)_2.2025数学总复习_赠品通用版(老高考)复习资料_一轮复习

文档信息

文档格式
docx
文档大小
2.607 MB
文档页数
41 页
上传时间
2026-03-27 06:09:37

文档内容

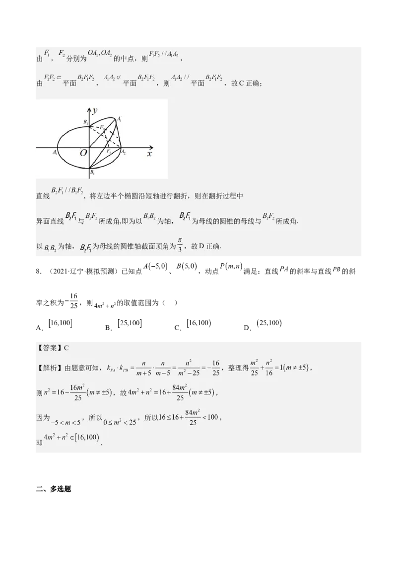
考向 32 椭圆 1.(2022·全国甲(文)T11) 已知椭圆 的离心率为 , 分别为C的左、 右顶点,B为C的上顶点.若 ,则C的方程为( ) A. B. C. D. 【答案】B 【解析】因为离心率 ,解得 , , 分别为C 左的右顶点,则 , B为上顶点,所以 . 所以 ,因为 所以 ,将 代入,解得 , 故椭圆的方程为 . 2.(2022·全国甲(理)T10) 椭圆 的左顶点为A,点P,Q均在C上,且关于y轴对称.若直线 的斜率之积为 ,则C的离心率为( ) A. B. C. D. 【答案】A 【解析】 ,设 ,则 ,则 , 故 , 又 ,则 ,所以 ,即 , 所以椭圆 的离心率 . 3.(2022·新高考Ⅰ卷T16) 已知椭圆 ,C的上顶点为A,两个焦点为 , , 离心率为 .过 且垂直于 的直线与C交于D,E两点, ,则 的周长是 ________________. 【答案】13 【解析】∵椭圆的离心率为 ,∴ ,∴ ,∴椭圆的方程为 ,不妨设左焦点为 ,右焦点为 ,如图所示,∵ ,∴ ,∴ 为正三角形,∵过 且垂直于 的直线与C交于D,E两点, 为线段 的垂直平分线,∴直线 的斜率为 ,斜率倒数为 , 直线 的方程: ,代入椭圆方程 ,整理化简得到: , 判别式 , ∴ , ∴ , 得 , ∵ 为线段 的垂直平分线,根据对称性, ,∴ 的周长等于 的周长,利用椭圆的定义得到 周长为 . 4.(2022·新高考Ⅱ卷T16) 已知椭圆 ,直线l与椭圆在第一象限交于A,B两点,与x轴,y轴 分别交于M,N两点,且 ,则直线l的方程为___________. 【答案】 【解析】令 的中点为 ,因为 ,所以 ,设 , ,则 , , 所以 ,即 所以 ,即 ,设直线 , , , 令 得 ,令 得 ,即 , ,所以 , 即 ,解得 或 (舍去), 又 ,即 ,解得 或 (舍去), 所以直线 ,即 ; 5.(2022·全国乙(理)T20(文)T)21. 已知椭圆E的中心为坐标原点,对称轴为x轴、y轴,且过 两点. (1)求E的方程; (2)设过点 的直线交E于M,N两点,过M且平行于x轴的直线与线段AB交于点T,点H满足 .证明:直线HN过定点.【答案】(1) (2) 【解析】【小问1详解】 解:设椭圆E的方程为 ,过 , 则 ,解得 , ,所以椭圆E的方程为: . 【小问2详解】 ,所以 , ①若过点 的直线斜率不存在,直线 .代入 , 可得 , ,代入AB方程 ,可得 ,由 得到 .求得HN方程: ,过点 . ②若过点 的直线斜率存在,设 . 联立 得 , 可得 , ,且 联立 可得 可求得此时 , 将 ,代入整理得 , 将 代入,得 显然成立, 综上,可得直线HN过定点 【点睛】求定点、定值问题常见的方法有两种: ①从特殊入手,求出定值,再证明这个值与变量无关; ②直接推理、计算,并在计算推理的过程中消去变量,从而得到定值. 6.(2022·浙江卷T21)如图,已知椭圆 .设A,B是椭圆上异于 的两点,且点 在线段 上,直线 分别交直线 于C,D两点. (1)求点P到椭圆上点的距离的最大值;(2)求 的最小值. 【答案】(1) ; (2) . 【解析】【小问1详解】 设 是椭圆上任意一点, ,则 ,当且仅当 时取等号,故 的最大值是 . 【小问2详解】 设直线 ,直线 方程与椭圆 联立,可得 ,设 ,所以 , 因为直线 与直线 交于 , 则 ,同理可得, .则, 当且仅当 时取等号,故 的最小值为 . 1.求椭圆离心率或其范围的方法 解题的关键是借助图形建立关于a,b,c的关系式(等式或不等式),转化为e的关系式,常用方法如下: (1)直接求出a,c,利用离心率公式e=求解. (2)由a与b的关系求离心率,利用变形公式e=求解. (3)构造a,c的齐次式.离心率e的求解中可以不求出a,c的具体值,而是得出a与c的关系,从而求 得e. 2.利用椭圆几何性质求值或范围的思路 (1)将所求问题用椭圆上点的坐标表示,利用坐标范围构造函数或不等关系. (2)将所求范围用a,b,c表示,利用a,b,c自身的范围、关系求解. 1.点P(x,y)和椭圆的位置关系 0 0 (1)点P(x 0 ,y 0 )在椭圆内⇔ (2)点P(x 0 ,y 0 )在椭圆上⇔(3)点P(x 0 ,y 0 )在椭圆外⇔ 2.焦点三角形 如图,椭圆上的点P(x,y)与两焦点构成的△PFF 叫做焦点三角形.设r=|PF|,r=|PF|,∠FPF 0 0 1 2 1 1 2 2 1 2 =θ,△PFF 的面积为S,则在椭圆+=1(a>b>0)中: 1 2 (1)当r=r,即 点 P 的位置为短轴端点时 ,θ最大; 1 2 (2) ,当|y|=b,即点P的位置为短轴端点时,S取最大值,最大值为bc. 0 (3) a - c ≤|PF|≤ a + c . 1 (4)|PF|= a + ex ,|PF|= a - ex . 1 0 2 0 (5)当PF⊥x轴时,点P的坐标为 . 2 (6)4c2= | PF | 2 + | PF | 2 - 2 | PF | | PF |cos θ . 1 2 1 2 3.椭圆的一个焦点、中心和短轴的一个端点构成直角三角形,其中a是斜边长, a 2 = b 2 + c 2 . 4.已知过焦点F 的弦AB,则△ABF 的周长为 4 a . 1 2 5.椭圆中点弦的斜率公式 若 M(x , y) 是 椭 圆 + = 1(a > b > 0) 的 弦 AB(AB 不 平 行 于 对 称 轴 ) 的 中 点 , 则 有 0 0 6.弦长公式:直线与圆锥曲线相交所得的弦长 设直线l与圆锥曲线C的两个交点为A(x ,y),B(x ,y),若直线l斜率为k,则|AB|=|x -x|==|y - 1 1 2 2 1 2 1 y|=.当直线l的斜率不存在时,|AB|=|y-y|. 2 1 2 1.若点P在椭圆上,F为椭圆的一个焦点,则 (1)b≤|OP|≤a;(2)a-c≤|PF|≤a+c. 2.焦点三角形:椭圆上的点 P(x ,y)与两焦点构成的△PFF 叫作焦点三角形,r =|PF|,r =|PF|, 0 0 1 2 1 1 2 2 ∠FPF=θ,△PFF 的面积为S,则在椭圆+=1(a>b>0)中; 1 2 1 2 (1)当r=r 时,即点P的位置为短轴端点时,θ最大; 1 2 (2)S=b2tan =c|y|,当|y|=b时,即点P的位置为短轴端点时,S取最大值,最大值为bc. 0 03.焦点弦(过焦点的弦):焦点弦中以通径(垂直于长轴的焦点弦)最短,弦长l =. min 4.AB为椭圆+=1(a>b>0)的弦,A(x,y),B(x,y),弦中点M(x,y),则直线AB的斜率k =-. 1 1 2 2 0 0 AB 一、单选题 1.双曲线E与椭圆 焦点相同且离心率是椭圆C离心率的 倍,则双曲线E的标准方程为 ( ) A. B. C. D. 【答案】C 【解析】双曲线 与椭圆 焦点相同,则焦点坐标为 , 椭圆的离心率为 ,∴双曲线的离心率为 , 设双曲线实半轴长为 ,虚半轴长为 ,焦距为2c,则c=2, ,∴ ,∴所求双曲线方程为: . 2.“ ”是“方程 表示的曲线为双曲线”的( ) A.充分不必要条件 B.必要不充分条件 C.充要条件 D.既不充分又不必要条件 【答案】C 【解析】方程 表示的曲线为双曲线,则a(2a-1)<0,解得0<a< , 故“ ”是“方程 表示的曲线为双曲线”的充要条件. 3.已知椭圆C: 上的动点P到右焦点距离的最小值为 ,则 ( )A.1 B. C. D. 【答案】A 【解析】根据椭圆的性质,椭圆上的点到右焦点距离最小值为 , 即 ,又 ,所以 , 由 ,所以 ; 4.已知 , 分别为椭圆 的两个焦点,P为椭圆上一点,则 的最大值为( ) A.2 B. C.4 D. 【答案】B 【解析】椭圆上的点P满足 ,当点P为 的延长线与C的交点时, 达到最大值,最大值为 . 5.已知 分别为椭圆 的左右焦点,点P为椭圆上一点,以 为圆心的圆与直线 恰好相 切于点P,则 是( ) A. B. C. D. 【答案】A 【解析】依题意 ,设 ,由椭圆定义得 , 由于以 为圆心的圆与直线 恰好相切于点P, 所以 ,即 , 整理得 ,得 ,得 ,所以 . 6.已知双曲线 满足 ,且与椭圆 有公共焦点,则双曲线 的方程 为( )A. B. C. D. 【答案】A 【解析】由椭圆的标准方程为 ,可得 ,即 , 因为双曲线 的焦点与椭圆 的焦点相同,所以双曲线 中,半焦距 , 又因为双曲线 满足 ,即 , 又由 ,即 ,解得 ,可得 , 所以双曲线 的方程为 . 7.已知椭圆 的上焦点为 ,过原点 的直线 交 于点 ,且 ,若 ,则 的 离心率为( ) A. B. C. D. 【答案】A 【解析】设椭圆 的上焦点为 ,显然 , 因为过原点 的直线 交 于点 , 所以有 ,因此四边形 是平行四边形, 又因为 ,所以有 , 因此三角形 是以 为斜边的直角三角形,因为 ,所以 , 因为 是平行四边形, 所以 ,由椭圆的定义可知: , 8.已知椭圆 以 为左右焦点,点P、Q在椭圆上,且 过右焦点 , ,若 ,则该椭圆离心率是( ) A. B. C. D. 【答案】A 【解析】根据题意可得如图椭圆, 是直角三角形, , 不妨设 ,则 , 因为 ,所以 , ,所以离心率 . 二、多选题9.已知 为3与5的等差中项, 为4与16的等比中项,则下列对曲线 描述正确的是 ( ) A.曲线 可表示为焦点在 轴的椭圆 B.曲线 可表示为焦距是4的双曲线 C.曲线 可表示为离心率是 的椭圆 D.曲线 可表示为渐近线方程是 的双曲线 【答案】ACD 【解析】由 为3与5的等差中项,得 ,即 , 由 为4与16的等比中项,得 ,即 , 则曲线 的方程为 或 . 其中 表示焦点在 轴的椭圆,此时它的离心率 ,故A正 确,C正确; 其中 表示焦点在 轴的双曲线,焦距为 ,渐近线方程为 ,故B不正确,D正确. 10.已知线段BC的长度为4,线段AB的长度为 ,点D,G满足 , ,且 点在直线 AB上,若以BC所在直线为 轴,BC的中垂线为 轴建立平面直角坐标系,则( ) A.当 时,点 的轨迹为圆 B.当 时,点 的轨迹为椭圆,且椭圆的离心率取值范围为 C.当 时,点 的轨迹为双曲线,且该双曲线的渐近线方程为D.当 时, 面积的最大值为3 【答案】BCD 【解析】根据题意可知:点A的轨迹为以B为圆心,半径为 的圆B,点D为线段AB的中点,点 为线 段 的中垂线与直线AB的交点,则 当 时,线段 为圆B的弦,则 的中垂线过圆心B,点 即点B,A错误; 当 时,如图1,点 在线段AB上,连接 则 ∴点 的轨迹为以B,C为焦点,长轴长为 的椭圆,即 则椭圆的离心率 ,B正确; 当 为椭圆短轴顶点时, 面积的最大 若 时,则 ,最大面积为 ,D正确; 当 时,过点 作圆 的切线,切点为 若点 在劣弧 (不包括端点 )上,如图2,点 在BA的延长线上,连接 则 ∴点 的轨迹为以B,C为焦点,长轴长为 的双曲线的左半支 若点 在优弧 (不包括端点 )上,如图3,点 在AB的延长线上,连接 则 ∴点 的轨迹为以B,C为焦点,长轴长为 的双曲线的右半支 则点 的轨迹为双曲线 ∴ ,渐近线方程为 ,C正确;11.椭圆 的左、右焦点分别为 , ,点P在椭圆C上,若方程 所表示的 直线恒过定点M,点Q在以点M为圆心,C的长轴长为直径的圆上,则下列说法正确的是( ) A.椭圆C的离心率为 B. 的最大值为4 C. 的面积可能为2 D. 的最小值为 【答案】ABD 【解析】对于选项A,由椭圆C的方程知 , , ,所以离心率 ,故选项A正确; 对于选项B,由椭圆的定义可得 ,所以 ,即 的最大 值为4,故选项B正确; 对于选项C,当点P位于椭圆的上、下顶点时, 的面积取得最大值 ,故选项C错 误; 对于选项D,易知 ,则圆 ,所以 ,故选项D正确, 12.双曲线 的左,右焦点分别为 , ,点P在C上.若 是直角三角形,则 的面积为( ) A. B. C.4 D.2【答案】AC 【解析】由双曲线 可得 .根据双曲线的对称性只需考虑 或 . 当 时,将 代入 可得 ,所以 的面积为 . 当 时,由双曲线的定义可知, ,由勾股定理可得 . 因为 , 所以 ,此时 的面积为 综上所述, 的面积为4或 . 三、填空题 13.已知椭圆 的左焦点为F,若A、B是椭圆上两动点,且 垂直于x轴,则 周长的最大 值为___________. 【答案】12 【解析】如图.设 与x轴相交于点C,椭圆 右焦点为 , 连接 ,所以 周长为 故 的周长的最大值为12, 14.若椭圆 的焦点在y轴上,则实数k的取值范围是___________. 【答案】 【解析】因为椭圆 的焦点在y轴上, 所以 ,解得 ,即实数k的取值范围为 . 15.已知椭圆 的上、下顶点分别为 , ,点 是椭圆C上异于 、 的点,直 线 和 的斜率分别为 、 ,写出一个满足 的椭圆C的方程是________________. 【答案】 (答案不唯一) 【解析】由题意可知 、 ,设 ,则 , 所以 , 所以 , 所以 . 所以椭圆 的方程可以为 (只需满足 即可).故答案为: (答案不唯一). 16.已知椭圆 的左、右焦点分别为 ,点 为椭圆 的上顶点,直线 与椭圆 的另一个交点为 ,若 ,则 ___________. 【答案】 【解析】由 ,可得 , 如图过点 作 轴的垂线,垂足为 ,所以 , 因为 ,所以 ,所以 , 可得点 的坐标为 ,代入椭圆方程可得 , 有 ,解得 . 一、单选题 1.(2022·安徽蚌埠·三模(理))已知焦点在 轴上的椭圆 离心率为 ,则实数 等于 ( ) A. B.C. D. 【答案】B 【解析】由题意,得 , ,则 , 所以椭圆的离心率 ,解得m=8. 2.(2022·安徽省舒城中学模拟预测(理))2021年6月17日9时22分,搭载神舟十二号载人飞船的长 征二号F遥十二运载火箭,在酒泉卫星发射中心点火发射.此后,神舟十二号载人飞船与火箭成功分离, 进入预定轨道,并快速完成与“天和”核心舱的对接,聂海胜、刘伯明、汤洪波3名宇航员成为核心舱首 批“入住人员”,并在轨驻留3个月,开展舱外维修维护,设备更换,科学应用载荷等一系列操作.已知 神舟十二号飞船的运行轨道是以地心为焦点的椭圆,设地球半径为R,其近地点与地面的距离大约是 , 远地点与地面的距离大约是 ,则该运行轨道(椭圆)的离心率大约是( ) A. B. C. D. 【答案】A 【解析】以运行轨道长轴所在直线为x轴,地心F为右焦点建立平面直角坐标系, 设椭圆方程为 ,其中 , 根据题意有 , , 所以 , , 所以椭圆的离心率 . 3.(2021·湖南长沙·模拟预测)有两条互相垂直的直线 和 ,有一条定长的线段 ,它的两个端点 分别被限制于这两条直线上.点 是 上的一个确定点,即点 到点 和点 的距离的比值是一个定值.那么,随着线段 的运动,点 的运动轨迹及焦距长为( ) A.椭圆,焦距长为 B.椭圆,焦距长为 C.双曲线,焦距长为 D.双曲线,焦距长为 【答案】B 【解析】在两条互相垂直的直线 和 上建立平面直角坐标系, 当点 在第一象限时,设 与 轴的夹角为 ,则 的坐标为( , ), 从而可知,点 在椭圆 上,点 的轨迹是四分之一个椭圆, 当点 在其它几个象限或坐标轴上时,点 的坐标满足方程 , 所以点 的轨迹是一个椭圆,焦距长为 . 4.(2022·上海·华师大二附中模拟预测)已知平面直角坐标系中的直线 、 .设到 、 距离之和为 的点的轨迹是曲线 ,到 、 距离平方和为 的点的轨迹是曲线 ,其中 .则 、 公共点的个数不可能为( ) A.0个 B.4个 C.8个 D.12个 【答案】D 【解析】由题意,直线 与直线 相互垂直,设曲线 上的点为 ,满足 ,即 ,则当 , 时, ;当 , 时, ; 当 , 时, ; 当 , 时, , 所以曲线 是以 、 、 、 为顶点的矩形, 设曲线 上的点为 ,满足 ,即 , 所以 是椭圆 , 所以二者公共点的个数只可能是0、4、8个, 5.(2022·湖南·模拟预测)中心在坐标原点O的椭圆的上顶点为A,左顶点为B,左焦点为F.已知 ,记该椭圆的离心率为e,则( ) A. B. C. D. 【答案】C 【解析】根据角平分线定理 , 结合 及离心率 有 ,化简得 . 设 又 , , 当 时, 恒成立,故 在 上单调递减, 所以 . 6.(2022·河南·模拟预测(文))对于曲线 ( 且 ),以下说法正确的是( )A.曲线是椭圆 B.曲线是双曲线 C.曲线的焦点坐标是 D.曲线的焦点坐标是 【答案】D 【解析】当 时,曲线为双曲线 , ,故焦点坐标为 ; 当 时,曲线为椭圆 , ,焦点坐标为 . 7.(2021·浙江·模拟预测)如图,已知椭圆 的长轴端点为 , ,短轴端点为 , ,焦点 为 , .现将左边半个椭圆沿短轴进行翻折,则在翻折过程中(不共面),以下说法不正确的是( ) A.存在某个位置,使 B.存在某个位置,使二面角 的平面角为 C.对任意位置,都有 平面 D.异面直线 与 所成角的取值范围是 【答案】B 【解析】由 ,所以 为锐角 则 为锐角三角形,故过 作 的垂线,垂足 在线段 上,设 ,当 平面 时,则 ,又 所以 平面 ,且 平面 , 所以 ,故A正确; 如图,设 为 的中点,由 , 则 所以 为二面角 的平面角. 设 , 则 , 所以 当 时, ,所以 所以 ,所以不存在某个位置,使二面角 的平面角为 ,,故B错;由 , 分别为 的中点,则 , 由 平面 , 平面 ,则 平面 ,故C正确; 直线 , 将左边半个椭圆沿短轴进行翻折,则在翻折过程中 异面直线 与 所成角,即为以 为轴, 为母线的圆锥的母线与 所成角. 以 为轴, 为母线的圆锥轴截面顶角为 ,故D正确. 8.(2021·辽宁·模拟预测)已知点 、 ,动点 满足:直线 的斜率与直线 的斜 率之积为 ,则 的取值范围为( ) A. B. C. D. 【答案】C 【解析】由题意可知, ,整理得 , 则 ,故 , 因为 ,所以 ,所以 , 即 . 二、多选题9.(2022·重庆·模拟预测)已知椭圆的离心率为 ,短轴长为 ,两个焦点为 ,点 为椭圆上一点, 记 ,则下列结论中正确的是( ) A. 的周长与点 的位置无关 B.当 时, 的面积取到最大值 C. 的外接圆半径最小为 D. 的内切圆半径最大为 【答案】ACD 【解析】由椭圆定义知, 的周长为 ,故A正确;显然当 位于短轴端点时 的面积最 大,由 知此时 ,故B错误;由正弦定理知外接圆直径 ,由 知 最大为钝角,故 时 取最小值 ,故 的最小值为 ,故C正确;设内切圆半径为 ,由 知, 越大则 越大, ,故 , 10.(2021·江苏南通·模拟预测)已知方程 ,则下列说法中正确的有( ) A.方程 可表示圆 B.当 时,方程 表示焦点在 轴上的椭圆 C.当 时,方程 表示焦点在 轴上的双曲线 D.当方程 表示椭圆或双曲线时,焦距均为10 【答案】BCD【解析】对于A,当方程 可表示圆时, ,无解,故A错误. 对于B,当 时, , ,表示焦点在 轴上的椭圆,故B正确. 对于C,当 时. , , ,表示焦点在 轴上的双曲线,故C正确. 对于D,当方程 表示双曲线时, ;当方程 表示椭圆时, ,所以焦距均为10,故D正确. 11.(2022·全国·模拟预测)过椭圆 的中心任作一直线交椭圆于P,Q两点, , 是椭圆的左、 右焦点,A,B是椭圆的左、右顶点,则下列说法正确的是( ) A. 周长的最小值为18 B.四边形 可能为矩形 C.若直线PA斜率的取值范围是 ,则直线PB斜率的取值范围是 D. 的最小值为-1 【答案】AC 【解析】A:根据椭圆的对称性, ,当PQ为椭圆的短轴时, 有最小值8,所以 周长的最小值为18,正确; B:若四边形 为矩形,则点P,Q必在以 为直径的圆上,但此圆与椭圆 无交点,错误; C:设 ,则 ,因为直线PA斜率的范围是 ,所以直线PB斜率的范围是 ,正确; D:设 ,则 .因为 ,所以当 时, 最小值为 ,错误. 12.(2022·重庆八中模拟预测)曲线C的方程为 ,则下列说法正确的是( ) A.存在实数 使得曲线C的轨迹为圆 B.存在实数 使得曲线C的轨迹为椭圆 C.存在实数 使得曲线C的轨迹为双曲线 D.无论 ( 且 )取何值,曲线C的焦距为定值 【答案】BCD 【解析】对于A,因为 ,所以不存在实数 使得曲线C的轨迹为圆,故A不正确; 对于B,当 且 时,即 时, 表示椭圆,所以存在实数 使得曲线C的 轨迹为椭圆,故B正确; 对于C,当 ,即 时, 表示双曲线,故C正确; 对于D,当 时, 表示椭圆,此时椭圆的 ,所以曲线C的焦距为 定值; 当 时, 表示双曲线,此时双曲线的 ,所以曲线C的 焦距为定值;故D正确, 三、填空题 13.(2021·安徽蚌埠·三模(理))“天问一号”推开了我国行星探测的大门,通过一次发射,将实现火 星环绕、着陆、巡视,是世界首创,也是我国真正意义上的首次深空探测.2021年2月10日,天问一号探测器顺利进入火星的椭圆环火轨道(将火星近似看成一个球体,球心为椭圆的一个焦点).2月15日17时,天问 一号探测器成功实施捕获轨道“远火点(椭圆轨迹上距离火星表面最远的一点)平面机动”,同时将近火点 高度调整至约265公里.若此时远火点距离约为11945公里,火星半径约为3400公里,则调整后“天问一 号”的运行轨迹(环火轨道曲线)的离心率约为___________.(精确到0.1) 【答案】0.6. 【解析】设椭圆的方程为 ( ), 由椭圆的性质可得椭圆上的点到焦点的距离的最小值为 ,最大值为 , 根据题意可得近火点满足 , , 解得 , , 所以椭圆的离心率为 , 14.(2022·浙江·模拟预测)椭圆 上三点A,B,C,其中A位于第一象限,且A,B关于 原点对称,C为椭圆右顶点.过A作x轴的垂线,交直线 于D.当A在椭圆上运动时,总有 ,则该椭圆离心率e的最大值为_________. 【答案】 【解析】依题意可得 ,设 , , , , 所以 , 则 , 又 , ①, ②, 由 得 ③, 将①②代入③式,消去 , 得 , 因为 , ,则要求 ,即 ,所以 ,即e的最大值为 . 15.(2020·四川·模拟预测(理))点 在焦点为 、 的椭圆 上, 交 轴于点 ,且△ 为正三角形,若 ,则椭圆 的标准方程为________. 【答案】 【解析】由已知得,点 在焦点为 、 的椭圆 上, 交 轴于点 ,且△ 为正三角 形,则 , 即 为△ 的中位线, , 又∵在等腰△ 中, , ∴ ,∴ , 由椭圆的定义可知 ,即 , 又∵ ,∴ , ∴ ,则椭圆方程: . 16.(2022·河南新乡·二模(文))已知圆 与圆 相交于A,B两点,若圆 , 的圆心为椭圆E的焦点,A,B在椭圆E上,则椭圆E的标准方程为______. 【答案】 【解析】设椭圆E的方程为 , 由题意可得: , 又A在椭圆E上,可知 ,而 , 所以 , 故椭圆E的标准方程为 , 1.(2018年高考数学课标Ⅱ卷(理))已知 , 是椭圆 的左,右焦点, 是 的左顶点,点 在过 且斜率为 的直线上, 为等腰三角形, ,则 的离心 率为( ) A. B. C. D. 【答案】D 【解析】因为 为等腰三角形, ,所以 ,由余弦定理得 , 所以 ,而 ,由已知 ,得 ,即 ,故选D. 2.(2019年高考数学课标全国Ⅱ卷理科)若抛物线 的焦点是椭圆 的一个焦点, 则 ( ) A. B. C. D. 【答案】Dx2 y2 【解析】因为抛物线 的焦点 是椭圆  1的一个焦点,所以 3p p ,解得 ,故选D. p 8 3.(2019年高考数学课标全国Ⅰ卷理科)已知椭圆 的焦点为 , ,过 的直线与 交于 , 两点.若 , ,则 的方程为 ( ) A. B. C. D. 【答案】B 【解析】如图,设 ,则 ,由 ,可得 , ,所以点 为椭圆的上顶点或下顶点. 在 中,由余弦定理可得 , 所以 ,即 ,即 ,又 ,所以椭圆方程为 . B F1 O F2 A x2 y2 C: a2  b2 1 ab0 A A 4.(2017年高考数学课标Ⅲ卷理科)已知椭圆 , 的左、右顶点分别为 1, 2, AA bxay2ab0 C 且以线段 1 2为直径的圆与直线 相切,则 的离心率为 ( ) 6 3 2 1 A. 3 B. 3 C. 3 D.3【答案】A AA R a bxay2ab0 【解析】以线段 1 2为直径的圆的圆心为原点,半径为 ,该圆与直线 相切 2ab d   Ra 0,0 bxay2ab0 b2 a2 a2 3b2 所以圆心 到直线 的距离 ,整理可得 2 c b 1 6 e  1    1  a a 3 3 所以 ,故选A. x2 y2 C:  1a0,b0 a2 b2 5.(2017 年高考数学课标Ⅲ卷理科)已知双曲线 的一条渐近线方程为 5 x2 y2 y  x  1 2 ,且与椭圆 12 3 有公共焦点,则 C 的方程为 ( ) x2 y2 x2 y2 x2 y2 x2 y2  1  1  1  1 8 10 4 5 5 4 4 3 A. B. C. D. 【答案】 B 5 x2 y2 y  x   【解析】由渐近线的方程 2 ,可设双曲线的方程为 4 5 x2 y2  1 3,0 12 3 又椭圆 的焦点坐标为 x2 y2  1 0 4532 1 C 4 5 所以 ,且 ,故所求双曲线 的方程为: ,故选B. 6.(2016 高考数学课标Ⅲ卷理科)已知 为坐标原点, 是椭圆 C: 的左焦点, 分别为 的左、右顶点. 为 上一点,且 轴.过点 的直线 与线段 交于点 , 与 轴交于点 .若直线 经过OE的中点,则 的离心率为 ( )A. B. C. D. 【答案】A 【解析】由题意,设直线 的方程为 ,分别令 与 ,得点 , ,由△OBE∽△CBM,得 ,即 ,整理得 ,所以椭圆的离 心率 ,故选A. 7.(2021年高考全国乙卷理科)设 是椭圆 的上顶点,若 上的任意一点 都 满足 ,则 的离心率的取值范围是( ) A B C D A. B. C. D. 1 1 1 1 【答案】C 【解析】设 ,由 ,因为 , ,所以 , 因为 ,当 ,即 时, ,即 ,符合题意,由 可得 ,即 ;当 ,即 时, ,即 ,化简得, ,显然该不等式不成立. 故选:C. 8.(2020年高考数学课标Ⅰ卷理科)已知A、B分别为椭圆E: (a>1) 的左、右顶点,G为E的 上顶点, ,P为直线x=6上的动点,PA与E的另一交点为C,PB与E的另一交点为D. 的 (1)求E 方程; (2)证明:直线CD过定点. 【答案】(1) ;(2)证明详见解析. 【解析】(1)依据题意作出如下图象: 由椭圆方程 可得: , , , , 椭圆方程为: (2)证明:设 ,则直线 的方程为: ,即:联立直线 的方程与椭圆方程可得: ,整理得: ,解得: 或 将 代入直线 可得: 所以点 的坐标为 . 同理可得:点 的坐标为 直线 的方程为: , 整理可得: 整理得: 故直线 过定点 9.(2020年高考数学课标Ⅱ卷理科)已知椭圆C 1 : (a>b>0) 右的焦点F与抛物线C 2 的焦点重合, C 的中心与C 的顶点重合.过F且与x轴垂直的直线交C 于A,B两点,交C 于C,D两点,且|CD| 1 2 1 2 = |AB|. (1)求C 的离心率; 1(2)设M是C 与C 的公共点,若|MF|=5,求C 与C 的标准方程. 1 2 1 2 【答案】(1) ;(2) , . 【解析】(1) , 轴且与椭圆 相交于 、 两点, 则直线 的方程为 ,联立 ,解得 ,则 , 抛物线 的方程为 ,联立 , 解得 , , ,即 , , 即 ,即 , ,解得 ,因此,椭圆 的离心率为 ; (2)由(1)知 , ,椭圆 的方程为 , 联立 ,消去 并整理得 ,解得 或 (舍去), 由抛物线的定义可得 ,解得 . 因此,曲线 的标准方程为 ,曲线 的标准方程为 . 10.(2020年高考数学课标Ⅲ卷理科)已知椭圆 的离心率为 , , 分别为 的左、右顶点. (1)求 的方程; (2)若点 在 上,点 在直线 上,且 , ,求 的面积. 【答案】(1) ;(2) . 【解析】(1) , , , 根据离心率 ,解得 或 (舍), 的方程为: ,即 ; (2)不妨设 , 在x轴上方 点 在 上,点 在直线 上,且 , , 过点 作 轴垂线,交点为 ,设 与 轴交点为根据题意画出图形,如图 , , , 又 , , , 根据三角形全等条件“ ”,可得: , , , , 设 点为 ,可得 点纵坐标为 ,将其代入 , 可得: ,解得: 或 , 点为 或 , ①当 点为 时,故 , , ,可得: 点为 , 画出图象,如图 , , 可求得直线 的直线方程为: , 根据点到直线距离公式可得 到直线 的距离为: ,根据两点间距离公式可得: , 面积为: ; ②当 点为 时,故 , , ,可得: 点为 , 画出图象,如图 , , 可求得直线 的直线方程为: , 根据点到直线距离公式可得 到直线 的距离为: , 根据两点间距离公式可得: , 面积为: , 综上所述, 面积为: .