当前位置:首页>文档>微专题求椭圆的离心率学案——2023届高考数学一轮《考点·题型·技巧》精讲与精练_2.2025数学总复习_赠品通用版(老高考)复习资料_一轮复习

微专题求椭圆的离心率学案——2023届高考数学一轮《考点·题型·技巧》精讲与精练_2.2025数学总复习_赠品通用版(老高考)复习资料_一轮复习

  • 2026-04-09 01:32:33 2026-03-20 06:23:35

文档预览

微专题求椭圆的离心率学案——2023届高考数学一轮《考点·题型·技巧》精讲与精练_2.2025数学总复习_赠品通用版(老高考)复习资料_一轮复习
微专题求椭圆的离心率学案——2023届高考数学一轮《考点·题型·技巧》精讲与精练_2.2025数学总复习_赠品通用版(老高考)复习资料_一轮复习
微专题求椭圆的离心率学案——2023届高考数学一轮《考点·题型·技巧》精讲与精练_2.2025数学总复习_赠品通用版(老高考)复习资料_一轮复习
微专题求椭圆的离心率学案——2023届高考数学一轮《考点·题型·技巧》精讲与精练_2.2025数学总复习_赠品通用版(老高考)复习资料_一轮复习
微专题求椭圆的离心率学案——2023届高考数学一轮《考点·题型·技巧》精讲与精练_2.2025数学总复习_赠品通用版(老高考)复习资料_一轮复习
微专题求椭圆的离心率学案——2023届高考数学一轮《考点·题型·技巧》精讲与精练_2.2025数学总复习_赠品通用版(老高考)复习资料_一轮复习
微专题求椭圆的离心率学案——2023届高考数学一轮《考点·题型·技巧》精讲与精练_2.2025数学总复习_赠品通用版(老高考)复习资料_一轮复习
微专题求椭圆的离心率学案——2023届高考数学一轮《考点·题型·技巧》精讲与精练_2.2025数学总复习_赠品通用版(老高考)复习资料_一轮复习
微专题求椭圆的离心率学案——2023届高考数学一轮《考点·题型·技巧》精讲与精练_2.2025数学总复习_赠品通用版(老高考)复习资料_一轮复习
微专题求椭圆的离心率学案——2023届高考数学一轮《考点·题型·技巧》精讲与精练_2.2025数学总复习_赠品通用版(老高考)复习资料_一轮复习
微专题求椭圆的离心率学案——2023届高考数学一轮《考点·题型·技巧》精讲与精练_2.2025数学总复习_赠品通用版(老高考)复习资料_一轮复习
微专题求椭圆的离心率学案——2023届高考数学一轮《考点·题型·技巧》精讲与精练_2.2025数学总复习_赠品通用版(老高考)复习资料_一轮复习
微专题求椭圆的离心率学案——2023届高考数学一轮《考点·题型·技巧》精讲与精练_2.2025数学总复习_赠品通用版(老高考)复习资料_一轮复习
微专题求椭圆的离心率学案——2023届高考数学一轮《考点·题型·技巧》精讲与精练_2.2025数学总复习_赠品通用版(老高考)复习资料_一轮复习
微专题求椭圆的离心率学案——2023届高考数学一轮《考点·题型·技巧》精讲与精练_2.2025数学总复习_赠品通用版(老高考)复习资料_一轮复习
微专题求椭圆的离心率学案——2023届高考数学一轮《考点·题型·技巧》精讲与精练_2.2025数学总复习_赠品通用版(老高考)复习资料_一轮复习
微专题求椭圆的离心率学案——2023届高考数学一轮《考点·题型·技巧》精讲与精练_2.2025数学总复习_赠品通用版(老高考)复习资料_一轮复习
微专题求椭圆的离心率学案——2023届高考数学一轮《考点·题型·技巧》精讲与精练_2.2025数学总复习_赠品通用版(老高考)复习资料_一轮复习
微专题求椭圆的离心率学案——2023届高考数学一轮《考点·题型·技巧》精讲与精练_2.2025数学总复习_赠品通用版(老高考)复习资料_一轮复习
微专题求椭圆的离心率学案——2023届高考数学一轮《考点·题型·技巧》精讲与精练_2.2025数学总复习_赠品通用版(老高考)复习资料_一轮复习
微专题求椭圆的离心率学案——2023届高考数学一轮《考点·题型·技巧》精讲与精练_2.2025数学总复习_赠品通用版(老高考)复习资料_一轮复习
微专题求椭圆的离心率学案——2023届高考数学一轮《考点·题型·技巧》精讲与精练_2.2025数学总复习_赠品通用版(老高考)复习资料_一轮复习
微专题求椭圆的离心率学案——2023届高考数学一轮《考点·题型·技巧》精讲与精练_2.2025数学总复习_赠品通用版(老高考)复习资料_一轮复习
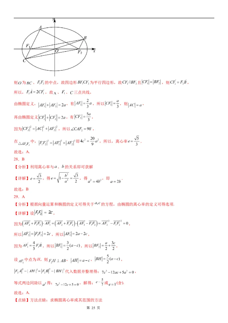
微专题求椭圆的离心率学案——2023届高考数学一轮《考点·题型·技巧》精讲与精练_2.2025数学总复习_赠品通用版(老高考)复习资料_一轮复习
微专题求椭圆的离心率学案——2023届高考数学一轮《考点·题型·技巧》精讲与精练_2.2025数学总复习_赠品通用版(老高考)复习资料_一轮复习
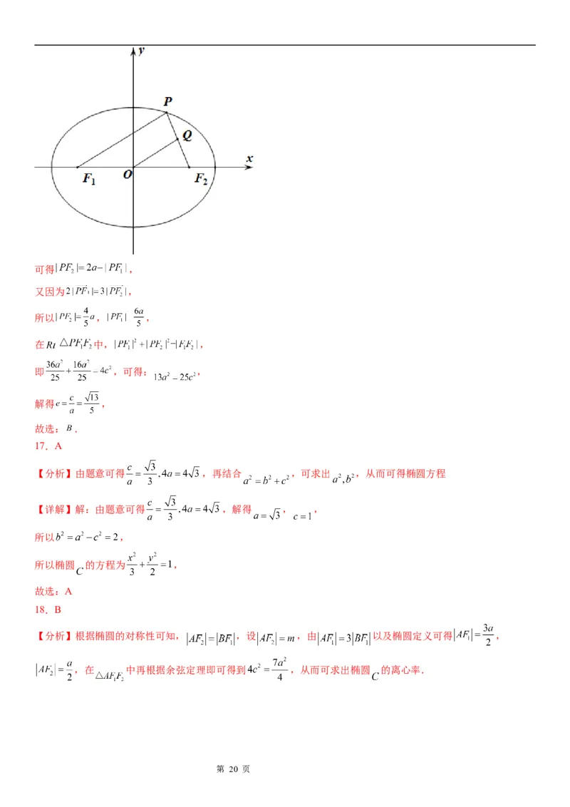
微专题求椭圆的离心率学案——2023届高考数学一轮《考点·题型·技巧》精讲与精练_2.2025数学总复习_赠品通用版(老高考)复习资料_一轮复习
微专题求椭圆的离心率学案——2023届高考数学一轮《考点·题型·技巧》精讲与精练_2.2025数学总复习_赠品通用版(老高考)复习资料_一轮复习
微专题求椭圆的离心率学案——2023届高考数学一轮《考点·题型·技巧》精讲与精练_2.2025数学总复习_赠品通用版(老高考)复习资料_一轮复习
微专题求椭圆的离心率学案——2023届高考数学一轮《考点·题型·技巧》精讲与精练_2.2025数学总复习_赠品通用版(老高考)复习资料_一轮复习
微专题求椭圆的离心率学案——2023届高考数学一轮《考点·题型·技巧》精讲与精练_2.2025数学总复习_赠品通用版(老高考)复习资料_一轮复习
微专题求椭圆的离心率学案——2023届高考数学一轮《考点·题型·技巧》精讲与精练_2.2025数学总复习_赠品通用版(老高考)复习资料_一轮复习
微专题求椭圆的离心率学案——2023届高考数学一轮《考点·题型·技巧》精讲与精练_2.2025数学总复习_赠品通用版(老高考)复习资料_一轮复习
微专题求椭圆的离心率学案——2023届高考数学一轮《考点·题型·技巧》精讲与精练_2.2025数学总复习_赠品通用版(老高考)复习资料_一轮复习
微专题求椭圆的离心率学案——2023届高考数学一轮《考点·题型·技巧》精讲与精练_2.2025数学总复习_赠品通用版(老高考)复习资料_一轮复习
微专题求椭圆的离心率学案——2023届高考数学一轮《考点·题型·技巧》精讲与精练_2.2025数学总复习_赠品通用版(老高考)复习资料_一轮复习
微专题求椭圆的离心率学案——2023届高考数学一轮《考点·题型·技巧》精讲与精练_2.2025数学总复习_赠品通用版(老高考)复习资料_一轮复习
微专题求椭圆的离心率学案——2023届高考数学一轮《考点·题型·技巧》精讲与精练_2.2025数学总复习_赠品通用版(老高考)复习资料_一轮复习
微专题求椭圆的离心率学案——2023届高考数学一轮《考点·题型·技巧》精讲与精练_2.2025数学总复习_赠品通用版(老高考)复习资料_一轮复习
微专题求椭圆的离心率学案——2023届高考数学一轮《考点·题型·技巧》精讲与精练_2.2025数学总复习_赠品通用版(老高考)复习资料_一轮复习
微专题求椭圆的离心率学案——2023届高考数学一轮《考点·题型·技巧》精讲与精练_2.2025数学总复习_赠品通用版(老高考)复习资料_一轮复习
微专题求椭圆的离心率学案——2023届高考数学一轮《考点·题型·技巧》精讲与精练_2.2025数学总复习_赠品通用版(老高考)复习资料_一轮复习
微专题求椭圆的离心率学案——2023届高考数学一轮《考点·题型·技巧》精讲与精练_2.2025数学总复习_赠品通用版(老高考)复习资料_一轮复习
微专题求椭圆的离心率学案——2023届高考数学一轮《考点·题型·技巧》精讲与精练_2.2025数学总复习_赠品通用版(老高考)复习资料_一轮复习
微专题求椭圆的离心率学案——2023届高考数学一轮《考点·题型·技巧》精讲与精练_2.2025数学总复习_赠品通用版(老高考)复习资料_一轮复习
微专题求椭圆的离心率学案——2023届高考数学一轮《考点·题型·技巧》精讲与精练_2.2025数学总复习_赠品通用版(老高考)复习资料_一轮复习

文档信息

文档格式
docx
文档大小
2.927 MB
文档页数
45 页
上传时间
2026-03-20 06:23:35

文档内容

微专题:椭圆的离心率 【考点梳理】 求椭圆的离心率关键在于构造关于a,b,c的方程,通过b2=a2-c2代入消去b得关于a,c的齐次式,再转化 为关于e的方程;求椭圆离心率的取值范围,则往往要借助椭圆的几何性质及平面几何的知识构造不等式. 【题型归纳】 题型一: 求椭圆的离心率 1.若椭圆的焦距、短轴长、长轴长构成一个等比数列,则该椭圆的离心率为( ) A. B. C. D. 2.过椭圆的右焦点 作椭圆长轴的垂线,交椭圆于A,B两点, 为椭圆的左焦点,若 为正三角形,则该 椭圆的离心率为( ) A. B. C. D. 3.已知椭圆 : 的两个焦点为 , ,过 的直线与 交于A,B两点.若 , ,则 的离心率为( ) A. B. C. D. 题型二: 求椭圆的离心率的取值范围 4.已知椭圆C: ( )的左、右顶点分别为 , ,且以线段 为直径的圆与直线 相交,则椭圆C的离心率的取值范围为( ) A. B. C. D. . 第 1 页 学学科科网网((北北京京))股股份份有有限限公公司司5.已知 , 是椭圆C: 的左、右焦点,O为坐标原点,点M是C上点(不在坐标轴上), 点N是 的中点,若MN平分 ,则椭圆C的离心率的取值范围是( ) A. B. C. D. 6.设 , 同时为椭圆 : 与双曲线 : 的左右焦点,设椭圆 与双曲线 在第一象限内交于点 ,椭圆 与双曲线 的离心率分别为 , , 为坐标原点.若 ,则 的取值范围是( ) A. B. C. D. 题型三: 根据离心率求椭圆的标准方程 7.已知椭圆 的焦距为2,离心率 ,则椭圆 的标准方程为( ) A. B. C. D. 8.已知椭圆 的离心率为 , 分别为C的左、右顶点,B为C的上顶点.若 ,则C的方程为( ) A. B. C. D. 9.若椭圆C的方程为 ,则“ ”是“椭圆C的离心率为 ”的( ) A.充分不必要条件 B.必要不充分条件 C.充要条件 D.既不充分也不必要条件 第 2 页 学学科科网网((北北京京))股股份份有有限限公公司司题型四: 由椭圆的离心率求参数的取值范围 10.已知 , 为椭圆 (a>b>0)的左、右焦点,椭圆的离心率为 ,M为椭圆上一动点,则 的最大值为( ) A. B. C. D. 11.已知焦点在 轴上的椭圆 离心率为 ,则实数 等于( ) A. B. C. D. 12.若焦点在 轴上的椭圆 的离心率为 ,则实数 等于( ) A. B. C. D. 【双基达标】 13.国家体育场“鸟巢”的钢结构鸟瞰图如图1所示,内外两圈的钢骨架是离心率相同的椭圆;某校体育馆的钢 结构与“鸟巢”相同,其平面图如图2所示,若由外层椭圆长轴一端点 和短轴一端点 分别向内层椭圆引切线 , ,且两切线斜率之积等于 ,则椭圆的离心率为( ) A. B. C. D. 第 3 页 学学科科网网((北北京京))股股份份有有限限公公司司14.椭圆 的左、右焦点分别为 , ,O为坐标原点,则下列说法正确的是( ) A.过点 的直线与椭圆C交于A,B两点,则 的周长为4 B.椭圆C上不存在点P,使得 C.椭圆C的离心率为 D.P为椭圆C上一点,Q为圆 上一点,则点P,Q的最大距离为3 15.椭圆 的左顶点为A,点P,Q均在C上,且关于y轴对称.若直线 的斜率之积 为 ,则C的离心率为( ) A. B. C. D. 16.设 是椭圆 的左、右焦点,若椭圆上存在一点P,使 (O为坐标原 点),且 ,则椭圆的离心率为( ) A. B. C. D. 17.已知椭圆 的左右焦点分别为 , ,离心率为 ,过 的直线 交 于 两点, 若 的周长为 则,椭圆 的方程为( ) A. B. C. D. 18.已知椭圆 的左、右焦点分别是 , ,直线 与椭圆 交于 , 两点, 第 4 页 学学科科网网((北北京京))股股份份有有限限公公司司,且 ,则椭圆 的离心率是( ) A. B. C. D. 19.已知 、 是椭圆 的两个焦点,过 的直线与椭圆交于 、 两点,若 ,则该椭圆的离心率为( ) A. B. C. D. 20.已知椭圆 的离心率为 ,直线 与圆 相切,则实数m 的值是( ) A. B. C. D. 21.设 是椭圆 的上顶点,若 上的任意一点 都满足 ,则 的离心率的取值范 围是( ) A. B. C. D. 22.阿基米德既是古希腊著名的物理学家,也是著名的数学家,他利用“逼近法”得到椭圆的面积除以圆周率等 于椭圆的长半轴长与短半轴长的乘积.若椭圆 的中心为原点,焦点 、 在 轴上,椭圆 的面积为 ,且 离心率为 ,则 的标准方程为( ) A. B. C. D. 23.椭圆 的左、右焦点分别为 ,过焦点 的倾斜角为 直线交椭圆于 两点,弦 长 ,若三角形 的内切圆的面积为 ,则椭圆的离心率为( ) 第 5 页 学学科科网网((北北京京))股股份份有有限限公公司司A. B. C. D. 24.如图,椭圆的中心在坐标原点 顶点分别是 ,焦点分别为 ,延长 与 交于 点,若 为钝角,则此椭圆的离心率的取值范围为( ) A. B. C. D. 25.设 为椭圆C: 的两个焦点,点P在椭圆C上,若 成等差数列,则椭圆 C的离心率为( ) A.1 B. C. D. 26.已知抛物线 的焦点与椭圆 的一个焦点重合,且椭圆截抛物线的准线所得线段长为 ,那么该椭圆的离心率为 6 A. B. C. D. 2 27.椭圆 的左、右焦点分别为 、 , 上存在两点 、 满足 , , 则 的离心率为( ) 第 6 页 学学科科网网((北北京京))股股份份有有限限公公司司A. B. C. D. 28.已知椭圆 的离心率为 ,则( ) A. B. C. D. 29.椭圆 的左右焦点分别为 , ,过点 的直线l交椭圆C于A,B两点,已知 , ,则椭圆C的离心率为( ) A. B. C. D. 30.已知椭圆 的左,右焦点是 , , 是椭圆上一点,若 ,则椭圆的离心率的 取值范围是( ) A. B. C. D. 【高分突破】 一、单选题 31.若椭圆 : ( )满足 ,则该椭圆的离心率 ( ). A. B. C. D. 32.在平面直角坐标系xOy中,椭圆 的离心率的取值范围为( ) A. B. C. D. 第 7 页 学学科科网网((北北京京))股股份份有有限限公公司司33.已知椭圆 : 的离心率为 ,则椭圆 的长轴长为( ) A. B.4 C. D.8 34.已知椭圆 的右焦点和上顶点分别为点 和点 ,直线 交椭 圆于 两点,若 恰好为 的重心,则椭圆的离心率为( ) A. B. C. D. 35.曲率半径可用来描述曲线上某点处的弯曲变化程度,曲率半径越大则曲线在该点处的弯曲程度越小.已知椭圆 : ( )上点 处的曲率半径公式为 .若椭圆 上所有点相应的曲 率半径的最大值是最小值的8倍,则椭圆 的离心率为( ) A. B. C. D. 36.已知双曲线 与椭圆 : 有共同的焦点,它们的离心率之和为 ,则双曲线 的标准方程为 A. B. C. D.  37.在 中, ,如果一个椭圆通过 、 两点,它的一个焦点为点 ,另一个焦点在 上, 则这个椭圆的离心率 ( ) A. B. C. D. 38.已知椭圆 的左、右焦点分别为 , ,点 在椭圆上,且 , ,则椭圆的离心率 等于( ) 第 8 页 学学科科网网((北北京京))股股份份有有限限公公司司A. B. C. D. 39.椭圆 与 关系为( ) A.有相等的长轴长 B.有相等的离心率 C.有相同的焦点 D.有相等的焦距 40.椭圆 的离心率为( ) A. B. C. D. 二、多选题 41.已知椭圆 : 的左、右端点分别为 , ,点 , 是椭圆 上关于原点对称的两点(异 于左右端点),且 ,则下列说法正确的有( ) A.椭圆 的离心率为 B.椭圆 的离心率不确定 C. 的值受点 , 的位置影响 D. 的最小值为 42.关于椭圆 有以下结论,其中正确的有( ) A.离心率为 B.长轴长是 C.焦点在 轴上 D.焦点坐标为(-1,0),(1,0) 43.已知A,B,C是椭圆M: 上三点,且 ( 在第一象限), 关于原点对称, , 过 作 轴的垂线交椭圆 于点 ,交 于点 ,若直线 与 的斜率之积为 ,则( ) A.椭圆M的离心率为 第 9 页 学学科科网网((北北京京))股股份份有有限限公公司司B.椭圆M的离心率为 C. D. 44.已知椭圆 的左、右焦点分别为 , 且 ,点 在椭圆内部,点 在椭圆 上,则以下说法正确的是( ) A. 的最小值为 B.椭圆 的短轴长可能为2 C.椭圆 的离心率的取值范围为 D.若 ,则椭圆 的长轴长为 45.若椭圆 的一个焦点坐标为 ,则下列结论中正确的是( ) A. B.C的长轴长为 C.C的短轴长为4 D.C的离心率为 46.已知椭圆 的左、右焦点分别为 , ,若椭圆 与坐标轴分别交于 , , , 四点,且从 , , , , , 这六点中,可以找到三点构成一个直角三角形,则椭圆 的离心率的可能取 值为( ) A. B. C. D. 三、填空题 47.已知椭圆 的左、右焦点分别为 ,若椭圆上的点P满足 轴, , 第 10 页 学学科科网网((北北京京))股股份份有有限限公公司司则该椭圆的离心率为___________. 48.以下四个命题中,正确的题号是__________. ①函数的最值一定是极值; ②设 :实数 , 满足 ; :实数 , 满足 ,则 是 的充分不必要条件; ③已知椭圆 : 与双曲线 : 的焦点重合, 、 分别为 、 的离心率, 则 ,且 ; ④一动圆 过定点 ,且与已知圆 : 相切,则动圆圆心 的轨迹方程是 . 49.已知椭圆 的右顶点为P,右焦点F与抛物线 的焦点重合, 的顶点与 的中心O 重合.若 与 相交于点A,B,且四边形 为菱形,则 的离心率为___________. 50.已知 为坐标原点,双曲线: ( , )的左焦点为 ,左顶点为 ,过点 向双曲线的一 条渐近线作垂线,垂足为 ,且 ,则该双曲线的离心率为______. 51.如图所示,已知 是椭圆 ( )的左焦点, 是椭圆上的一点, 轴, ( 为原点), 则该椭圆的离心率是________. 52.已知椭圆 ,C的上顶点为A,两个焦点为 , ,离心率为 .过 且垂直于 的 直线与C交于D,E两点, ,则 的周长是________________. 第 11 页 学学科科网网((北北京京))股股份份有有限限公公司司四、解答题 53.已知椭圆 上有一点 ,它关于原点的对称点为 ,点 为椭圆的右焦点,且满足 ,设 ,且 ,求该椭圆的离心率 的取值范围. 54.已知椭圆C : (a>b>0)的右焦点F与抛物线C 的焦点重合,C 的中心与C 的顶点重合.过F且与x 1 2 1 2 轴垂直的直线交C 于A,B两点,交C 于C,D两点,且|CD|= |AB|. 1 2 (1)求C 的离心率; 1 (2)若C 的四个顶点到C 的准线距离之和为12,求C 与C 的标准方程. 1 2 1 2 55.已知椭圆 的离心率为 , , 分别为 的左、右顶点. (1)求 的方程; (2)若点 在 上,点 在直线 上,且 , ,求 的面积. 56.已知双曲线 的方程为 ,椭圆 的焦点为 和 ,椭圆 的离心率与双曲线 的离心 率互为倒数. (1)求椭圆 的方程; (2)不经过椭圆 的焦点的直线 与以坐标原点为圆心、 为半径的圆相切,且与椭圆 交于 两点,试判断 的周长是否为定值,若是,求出定值;若不是,请说明理由. 57.根据下列已知条件求曲线方程. (1)求与双曲线 共渐近线且过 , 点的双曲线方程; (2)求与椭圆 有相同离心率且经过点 的椭圆方程. 58.已知椭圆 的标准方程为: ,若右焦点为 且离心率为 . (1)求椭圆 的方程; 第 12 页 学学科科网网((北北京京))股股份份有有限限公公司司(2)设 , 是 上的两点,直线 与曲线 相切且 , , 三点共线,求线段 的长. 第 13 页 学学科科网网((北北京京))股股份份有有限限公公司司参考答案 1.A 【分析】设出椭圆的焦距、短轴长、长轴长分别为 , , ,通过椭圆的 , , 是等比数列建立关于 , , 的等式,求出椭圆的离心率即可. 【详解】解:设出椭圆的焦距、短轴长、长轴长分别为 , , , 椭圆的焦距、短轴长、长轴长成等比数列, , , 成等比数列, , , 两边同除以 得: ,且0 < e < 1, 解得 , 故选: 2.A 【分析】因为 为正三角形,所以结合椭圆的定义可得 ,所以椭圆的离心率 ,代入即可得出答案. 【详解】图所示,易知 , . 由椭圆的定义可得 ,则该椭圆的离心率 . 故选:A. 3.C 【分析】由已知条件以及椭圆的定义,将 , 用a表示出,再在三角形中利用余弦定理建立方程,即 可求解. 【详解】设 ,则 , . 由椭圆的定义可知 ,所以 ,所以 , . 第 14 页在△ABF 中, . 1 所以在△AFF 中, , 1 2 即 整理可得: , 所以 故选:C 4.B 【分析】由题设以线段 为直径的圆为 ,根据直线与圆相交,利用点线距离公式列不等式求椭圆C 的离心率的范围. 【详解】由题设,以线段 为直径的圆为 ,与直线 相交, 所以 ,可得 ,即 ,又 , 所以 . 故选:B 5.A 【分析】由角平分线的性质定理有 ,再根据线段之间的关系建立不等式可求解. 【详解】因为 是 的中点, 是 的中点,所以 , 因为 平分 ,所以 , 因为 ,所以 , ,由 (或 ),得椭圆 的离心 率 ,又 ,所以椭圆 的离心率的取值范围是 . 故选:A. 6.C 【分析】利用椭圆和双曲线的定义和性质,两者的离心率的定义结合已知条件,将 进行化简变形,用函数的单 调性可求得结果. 【详解】设 ,因为点 是双曲线和椭圆的交点, 根据椭圆和双曲线的定义可知 , 所以 ,又因为 , 所以有 ,即 ,化简有 , 第 15 页因为椭圆离心率 ,所以 ,即 , ,令 所以有 ,在 时单调递减 所以有 . 故选:C 7.C 【分析】由已知条件可得 与 的值,进而得 的值,然后得标准方程. 【详解】由于2c=2,所以c=1, 又因为 ,故 , ,所以椭圆的标准方程为: . 故选:C 8.B 【分析】根据离心率及 ,解得关于 的等量关系式,即可得解. 【详解】解:因为离心率 ,解得 , , 分别为C的左右顶点,则 , B为上顶点,所以 . 所以 ,因为 所以 ,将 代入,解得 , 故椭圆的方程为 . 故选:B. 9.A 第 16 页【分析】由椭圆的性质得推出关系后判断 【详解】椭圆C的离心率为 ,即 , 若椭圆焦点在 轴上,则 ,得 , 若椭圆焦点在 轴上,则 ,得 , 故“ ”是“椭圆C的离心率为 ”的充分不必要条件, 故选:A 10.A 【分析】利用余弦定理列式,结合椭圆的定义以及基本不等式求得 的最大值. 【详解】设 , , 在三角形 中,由余弦定理得: . 由于 ,所以 的最大值为 . 故选:A 11.B 【分析】根据题意,由椭圆的标准方程分析可得 , ,则 ,进而由椭圆的离心率公式 ,解得 的值. 【详解】由题意,得 , ,则 , 所以椭圆的离心率 ,解得m=8. 故选:B. 第 17 页12.B 【分析】根据已知条件可得出关于 的等式,即可求得实数 的值. 【详解】由题意可得 , , ,所以, ,解得 . 故选:B. 13.D 【分析】设内层椭圆方程为 ,由题可知外层椭圆可设成 ,再根据直 线与椭圆的位置关系可求出 ,即可利用 求出离心率. 【详解】设内层椭圆方程为 ,因为内外椭圆离心率相同, 外层椭圆可设成 , 设切线A C的方程为 , 与 联立得: ,由 , 则 , 同理可得 , , 则 , 因此 . 故选:D. 14.D 【分析】对于选项A,由椭圆定义可求得 的周长,即可判断; 对于选项B,设 ,分别表示出 , ,直接求解; 对于选项C,直接求出离心率; 对于选项D,用几何法求出最大值. 【详解】对于选项A,由椭圆定义,可得 ,因此 的周长为 ,故A错误. 对于选项B,设 ,则 ,且 .又 , ,所以 , ,因此 ,解得 , 故B错误. 对于选项C,因为 , ,所以= ,即 ,所以离心率 ,故C错误. 第 18 页对于选项D,设 ,则点P到圆 的圆心的距离为 .因为 ,所以 ,故D正确. 故选:D. 【点睛】(1)坐标法是解析几何的基本方法. (2)解析几何问题解题的关键:解析几何归根结底还是几何,根据题意画出图形,借助于图形寻找几何关系可以 简化运算. 15.A 【分析】设 ,则 ,根据斜率公式结合题意可得 ,再根据 ,将 用 表 示,整理,再结合离心率公式即可得解. 【详解】解: , 设 ,则 , 则 , 故 , 又 ,则 , 所以 ,即 , 所以椭圆 的离心率 . 故选:A. 16.B 【分析】由向量的关系可得 ,由椭圆的定义及 ,可得 , 的值,在直角三角形 中,由勾股定理可得 , 的关系,进而求出椭圆的离心率. 【详解】解:设 的中点为 ,由 ,即 ,所以 , 连接 可得 ,所以 , 第 19 页可得 , 又因为 , 所以 , , 在 中, , 即 ,可得: , 解得 , 故选: . 17.A 【分析】由题意可得 ,再结合 ,可求出 ,从而可得椭圆方程 【详解】解:由题意可得 ,解得 , , 所以 , 所以椭圆 的方程为 , 故选:A 18.B 【分析】根据椭圆的对称性可知, ,设 ,由 以及椭圆定义可得 , ,在 中再根据余弦定理即可得到 ,从而可求出椭圆 的离心率. 第 20 页【详解】 由椭圆的对称性,得 .设 ,则 .由椭圆的定义,知 ,即 , 解得 ,故 , . 在 中,由余弦定理,得 ,即 , 则 ,故 . 故选:B. 19.D 【分析】利用勾股定理得出 ,利用椭圆的定义求得 、 ,利用勾股定理可得出关于 、 的等 量关系,由此可解得该椭圆的离心率. 【详解】如下图所示,设 ,则 , ,所以, , 所以, , 由椭圆定义可得 , , , 所以, , 所以, 为等腰直角三角形,可得 , , 所以,该椭圆的离心率为 . 故选:D. 【点睛】方法点睛:求解椭圆或双曲线的离心率的方法如下: (1)定义法:通过已知条件列出方程组,求得 、 的值,根据离心率的定义求解离心率 的值; (2)齐次式法:由已知条件得出关于 、 的齐次方程,然后转化为关于 的方程求解; (3)特殊值法:通过取特殊位置或特殊值,求得离心率. 第 21 页20.B 【分析】根据椭圆的离心率为 ,得 ,从而得到直线方程,再根据直线与圆的位置关系代数解法即可求 出. 【详解】由题意知, ,则 ,∵直线 ,即 ,代入 得, ,由 解得 . 故选:B. 21.C 【分析】设 ,由 ,根据两点间的距离公式表示出 ,分类讨论求出 的最大值,再构建齐 次不等式,解出即可. 【详解】设 ,由 ,因为 , ,所以 , 因为 ,当 ,即 时, ,即 ,符合题意,由 可得 , 即 ; 当 ,即 时, ,即 ,化简得, ,显然该不等式 不成立. 故选:C. 【点睛】本题解题关键是如何求出 的最大值,利用二次函数求指定区间上的最值,要根据定义域讨论函数的 单调性从而确定最值. 22.A 【分析】设椭圆方程为 ,解方程组 即得解. 【详解】解:设椭圆方程为 , 由题意可知,椭圆 的面积为 ,且 、 、 均为正数, 第 22 页即 ,解得 , 因为椭圆 的焦点在 轴上,所以 的标准方程为 . 故选:A. 23.C 【分析】由题可得直线AB的方程,从而可表示出三角形面积,又利用焦点三角形及三角形内切圆的性质,也可表 示出三角形面积,则椭圆的离心率即求. 【详解】由题知直线AB的方程为 ,即 , ∴ 到直线AB的距离 , 又三角形 的内切圆的面积为 , 则半径为1, 由等面积可得 , . 故选:C. 24.D 【分析】由题意, 就是 与 的夹角,所以 与 的夹角为钝角,从而有 ,结合 即可求椭圆离心率的取值范围. 【详解】解:由题意,设椭圆的长半轴、短半轴、半焦距分别为 , , ,则 , , 因为 就是 与 的夹角,所以 与 的夹角为钝角, 所以 ,即 ,又 , 所以 ,两边同时除以 ,得 ,即 , 解得 或 ,又 , 所以 , 第 23 页所以椭圆离心率的取值范围为 , 故选:D. 25.B 【解析】由等差数列及椭圆的性质可得 ,再由离心率公式即可得解. 【详解】设 , 因为 成等差数列, 所以 即 , 所以椭圆C的离心率 . 故选:B. 26.D 【分析】先求出抛物线的焦点、准线,再根据椭圆的通径公式求出a、c,算出离心率. 【详解】易知抛物线 的焦点(2,0),准线x=-2, 即椭圆 的c=2, 因为抛物线的准线恰好过椭圆的焦点,即相交的线段为椭圆的通径; 即通径为 ,又因为c=2 解得a=4 所以离心率 故选D. 【点睛】本题目考察了抛物线的方程和性质,以及椭圆的性质,本题关键点在通径上,如果记不得通径公式就直 接带入计算,一样可得答案,属于一般题型. 27.A 【分析】作点 关于原点的对称点 ,连接 、 、 、 ,推导出 、 、 三点共线,利用椭圆的定义 可求得 、 、 、 ,推导出 ,利用勾股定理可得出关于 、 的齐次等式,即可求得 该椭圆的离心率. 【详解】作点 关于原点的对称点 ,连接 、 、 、 , 第 24 页则 为 、 的中点,故四边形 为平行四边形,故 且 ,则 , 所以, ,故 、 、 三点共线, 由椭圆定义, ,有 ,所以 ,则 , 再由椭圆定义 ,有 , 因为 ,所以 , 在 中, 即 ,所以,离心率 . 故选:A. 28.B 【分析】利用离心率与 、 的关系即可获解 【详解】 ,得 ,得 ,即 . 故选:B 29.A 【分析】根据向量运算和椭圆的定义可得关于 的方程,由椭圆的离心率的定义可得选项. 【详解】设 , 因为 , 所以 ,所以 , 因为 ,所以 ,所以 , 设 中点为H,则 , , , 代入数据并整理得: , 等式两边同除以 得: ,解得: 或 (舍). 故选:A. 【点睛】方法点睛:求椭圆离心率或其范围的方法 第 25 页(1)根据题意求出 的值,再由离心率的定义 直接求解. (2)由题意列出含有 的方程(或不等式),借助于 消去b,然后转化成关于e的方程(或不等式)求解. 解题时要注意椭圆本身所含的一些范围的应用,如椭圆上的点的横坐标 等. 30.C 【解析】根据椭圆定义及 求出 , 由 即可求解. 【详解】由椭圆的定义知: , 因为 ,即 , 又因为 ,所以 , 所以有: , , 故椭圆的离心率的取值范围是 . 故选:C 【点睛】本题主要考查了椭圆的定义,椭圆的简单几何性质,属于中档题. 31.B 【分析】由题意,构建齐次式,即可得到结果. 【详解】由题意知 ,又 , 所以 . 解得离心率 , 故选:B. 32.C 【解析】直接利用椭圆的方程和椭圆的离心率的应用求出结果. 【详解】解:直角坐标系 中,椭圆 , 所以 , 当 时, , 故 ,整理得 , 故选:C. 【点睛】本题考查的知识要点:椭圆的标准方程的应用,椭圆的离心率的应用,主要考查学生的运算能力和转换 能力及思维能力,属于基础题型. 第 26 页33.C 【分析】根据条件先计算出 的值,再根据离心率求解出 的值,最后根据长轴长为 计算出长轴长. 【详解】由题意知 ,所以 , 又因为 ,所以 , 所以椭圆 的长轴长为 . 故选:C. 34.C 【分析】由题设 ,利用 为 的重心,求出线段 的中点为 ,将B代入直线方程 得 ,再利用点差法可得 ,结合 ,可求出 ,进而求出离心率. 【详解】由题设 ,则线段 的中点为 , 由三角形重心的性质知 ,即 ,解得: 即 代入直线 ,得 ①. 又B为线段 的中点,则 , 又 为椭圆上两点, , 以上两式相减得 , 所以 ,化简得 ② 由①②及 ,解得: ,即离心率 . 故选:C. 【点睛】方法点睛:本题考查求椭圆的离心率,求解离心率在圆锥曲线的考查中是一个重点也是难点,一般求离 心率有以下几种情况:①直接求出 ,从而求出 ;②构造 的齐次式,求出 ;③采用离心率的定义以及圆锥 曲线的定义来求解;④根据圆锥曲线的统一定义求解. 35.C 【分析】根据曲率半径的定义可判断何时曲率半径最大,合适曲率半径最小,再由题设可得基本量的关系,从而 可求离心率. 【详解】因为曲率半径越大则曲线在该点处的弯曲程度越小, 故椭圆在 处曲率半径最小,则 ,而椭圆在 处曲率半径最大, 第 27 页则 ,因为 ,所以 ,所以 , . 故选:C. 36.C 【分析】由椭圆方程求出双曲线的焦点坐标,及椭圆的离心率,结合题意进一步求出双曲线的离心率,从而得到 双曲线的实半轴长,再结合隐含条件求得双曲线的虚半轴长得答案. 【详解】由椭圆 ,得 , , 则 , 双曲线与椭圆的焦点坐标为 , , 椭圆的离心率为 ,则双曲线的离心率为 . 设双曲线的实半轴长为m,则 ,得 , 则虚半轴长 , 双曲线的方程是 . 故选C. 【点睛】本题考查双曲线方程的求法,考查了椭圆与双曲线的简单性质,是中档题. 37.D 【分析】根据等腰 ,可得 ,然后 可得 ,假设 ,依据椭圆定义可得 , 根据 可得 ,最后可得离心率. 【详解】设另一个焦点为 ,如图所示,∵ , , ,则 , 设 ,则 , , ∴ , , ,∴ , 故选:D. 38.B 第 28 页【分析】在 中,得出直角边与斜边的关系,再结合椭圆的定义易得离心率. 【详解】由题设知 是直角三角形, , , , , . 又由椭圆的定义,得 , , 故 . 故选:B. 39.D 【分析】分别求出两个椭圆的长轴、短轴和焦距,进行比较可得答案 【详解】由题意,对于椭圆 ,焦点在x轴上,a=5,b=3,所以c= =4,则离心率e= = , 对于椭圆 ,因为25-k>9-k>0,所以焦点在y轴上,a= ≠5,b= ≠3,所以c= =4,则离心率e= = ≠ , 故选项D正确,其他选项错误. 故选:D. 40.C 【分析】根据椭圆方程求 , , ,再求离心率. 【详解】由椭圆方程可知 , ,所以 , 椭圆的离心率 . 故选:C 41.AD 【分析】设 ,则 ,从而可得 ,再结合已知条件可得 ,进而可求出椭圆的 离心率,可对A,B选项判断;由已知条件可得四边形 为平行四边形,则有 ,结合已知条件可得 ,从而可知 的值不受点 , 的位置影响,设 ,由题意得 ,则结合基本不等式可得 ,从而得当点 为短轴的端点时 最大,进而可 求出 的最小值 【详解】解:设 ,则 , 因为 , 第 29 页所以 , 因为 ,所以 , 所以 , 所以离心率 ,所以A正确,B错误; 因为点 , 是椭圆 上关于原点对称的两点, 所以四边形 为平行四边形, 所以 , 因为 ,所以 ,不受 , 位置影响,所以C错误; 设 ,由题意得 ,则有 , 所以 , 当且仅当 时取等号,即当 时,即当点 为短轴的端点时 最大,此时 最小, , , 所以 , 所以D正确, 故选:AD. 【点睛】关键点点睛:此题考查椭圆的性质的应用,考查计算能力和转化思想,解题的关键是由 可 得 ,从而可求出椭圆的离心率,设 ,则有 ,再结合基本不等式可得 ,从而可知当点 为短轴的端点时 最大, 进而可得答案,属于中档题 42.AD 【分析】将椭圆方程化为标准方程,再由椭圆的几何性质可得选项. 【详解】将椭圆方程化为标准方程为 所以该椭圆的焦点在 轴上,故C错误; 焦点坐标为 ,故D正确; 长轴长是 故B错误 第 30 页因为 所以 离心率 故A正确. 故选:AD. 43.AC 【分析】设出点 , , 的坐标,将点 , 分别代入椭圆方程,两式作 差,构造直线 和 的斜率之积,得到 ,即可求椭圆的离心率,利用 ,求出 ,可知点 在 轴上,且为 的中点,则 . 【详解】设 , , ,则 , , ,两式相减并化简得 , 即 ,则 ,则 正确; ∵ , ,∴ , 又∵ ,∴ ,即 , 解得 ,则点 在 轴上,且为 的中点即 ,则 正确. 故选: . 44.ACD 【解析】利用椭圆定义 替换为 后易得最小值,判断A;假设短轴长为2,得椭圆方程,确定 点在 椭圆外,判断B;由 在椭圆内得 ,求出 的范围,从而可得离心率的范围,判断C;由 得 点坐标,利用代入椭圆方程求得 ,判断D. 【详解】A.因为 ,所以 ,所以 ,当 ,三点共线时,取等号,故正确; B.若椭圆 的短轴长为2,则 ,所以椭圆方程为 , ,则点 在椭圆外,故错误; C.因为点 在椭圆内部,所以 ,又 ,所以 ,所以 ,即 ,解 得 ,所以 ,所以 ,所以椭圆 的离心率的取值范围为 ,故正确; 第 31 页D.若 ,则 为线段 的中点,所以 ,所以 ,又 ,即 ,解得 ,所以 ,所以椭圆 的长轴长为 ,故正确. 故选:ACD. 【点睛】关键点点睛:本题考查椭圆的定义,椭圆的标准方程,本题还用到了两个知识点: 设椭圆方程为 ( , (1) 在椭圆内部 , 在椭圆上 , 在椭圆外部 ; (2)求椭圆上点到椭圆内定点和一个焦点的距离之的最小值问题,一般把椭圆上运动到一个焦点的距离利用椭圆 定义转化为到另一焦点的距离,然后易得最小值. 45.AB 【分析】由题意可得 ,从而可求出 的值,进而可求出 的值和离心率 【详解】由已知可得 ,解得 或 (舍去) , ∴长轴长为 ,短轴长为 ,离心率为 , 故选:AB. 46.BC 【解析】结合椭圆的对称性,只需要考虑三种情况,即以 、 , 作为三角形的三个顶点;以 、 、 作为 三角形的三个顶点或以 、 、 作为三角形的三个顶点,分别根据图形列出关于以 、 、 的齐次式,化简求 离心率. 【详解】①如图,若以 、 , 作为三角形的三个顶点,则 , 由勾股定理可得, , 由 ,可得 ,即 , 因为 ,解得 ; ②如图,若以 、 、 作为三角形的三个顶点, 则 ,故 ,则 ; 第 32 页③如图,若以 、 、 作为三角形的三个顶点, 则 , ,则 ; 故选:BC. 47. 【分析】由题意分析 为直角三角形,得到关于a、c的齐次式,即可求出离心率. 【详解】设 ,则 . 由椭圆的定义可知: ,所以 . 所以 因为 轴,所以 为直角三角形, 由勾股定理得: , 即 ,即 , 所以离心率 . 故答案为: 48.③④ 【分析】举反例 , 得到①错误,取点 得到②错误,③ ,计算得到③正确, 根据双曲线定义知,得到轨迹方程得到④正确,得到答案. 【详解】①举反例 , ,有最大值为 ,最小值为 ,函数没有极值,①错误; 第 33 页②取点 满足 ,不满足 ,不具有充分性,②错误; ③根据题意 ,故 ,设 , 则 ,③正确; ④根据题意:当两圆外切时, ,当两圆内切时, ,即 ,根据双 曲线定义知,轨迹为双曲线, , , 故双曲线方程为: ,④正确. 故答案为:③④. 【点睛】本题考查了极值,充分必要条件,椭圆双曲线离心率,轨迹方程,意在考查学生的计算能力和综合应用 能力. 49. 【分析】设抛物线的方程为 得到 ,把 代入椭圆的方程化简即得解. 【详解】 设抛物线的方程为 . 由题得 ,代入椭圆的方程得 , 所以 , 所以 , 所以 因为 , 第 34 页所以 . 故答案为: 【点睛】方法点睛:求椭圆的离心率常用的方法有:(1)公式法(根据已知求出 代入离心率的公式即得解); (2)方程法(直接由已知得到关于离心率的方程解方程即得解). 要根据已知条件灵活选择方法求解. 50. 【分析】首先根据题意得到 ,从而得到 ,再求离心率即可. 【详解】 ,设一条渐近线方程为 ,所以 . 又因为 , , 所以 ,即 ,故离心率 . 故答案为: 51. 【解析】由三角形相似可得 ,从而可知 ,再结合 即可求出离心率. 【详解】 ,又 与 相似,则 , 解得 ,又 得 . 故答案为: . 52.13 【分析】利用离心率得到椭圆的方程为 ,根据离心率得到直线 的斜率,进 而利用直线的垂直关系得到直线 的斜率,写出直线 的方程: ,代入椭圆方程 ,整 理化简得到: ,利用弦长公式求得 ,得 ,根据对称性将 的周长转化 为 的周长,利用椭圆的定义得到周长为 . 【详解】∵椭圆的离心率为 ,∴ ,∴ ,∴椭圆的方程为 ,不妨设左焦点为 ,右焦点为 ,如图所示,∵ , ∴ ,∴ 为正三角形,∵过 且垂直于 的直线与C交于D,E两点, 为线段 的垂直平 第 35 页分线,∴直线 的斜率为 ,斜率倒数为 , 直线 的方程: ,代入椭圆方程 , 整理化简得到: , 判别式 , ∴ , ∴ , 得 , ∵ 为线段 的垂直平分线,根据对称性, ,∴ 的周长等于 的周长,利用 椭圆的定义得到 周长为 . 故答案为:13. 53. . 【详解】如图所示,设椭圆的左焦点为 ,连接 ,则四边形 为矩形, . , , 第 36 页. , , , , ∴椭圆的离心率 . 54.(1) ;(2) : , : . 【分析】(1)根据题意求出 的方程,结合椭圆和抛物线的对称性不妨设 在第一象限,运用代入法求出 点的纵坐标,根据 ,结合椭圆离心率的公式进行求解即可; (2)由(1)可以得到椭圆的标准方程,确定椭圆的四个顶点坐标,再确定抛物线的准线方程,最后结合已知进 行求解即可; 【详解】解:(1)因为椭圆 的右焦点坐标为: ,所以抛物线 的方程为 ,其中 . 不妨设 在第一象限,因为椭圆 的方程为: , 所以当 时,有 ,因此 的纵坐标分别为 , ; 又因为抛物线 的方程为 ,所以当 时,有 , 所以 的纵坐标分别为 , ,故 , . 由 得 ,即 ,解得 (舍去), . 所以 的离心率为 . (2)由(1)知 , ,故 ,所以 的四个顶点坐标分别为 , , , , 的准线为 . 由已知得 ,即 . 所以 的标准方程为 , 的标准方程为 . 【点睛】本题考查了求椭圆的离心率,考查了求椭圆和抛物线的标准方程,考查了椭圆的四个顶点的坐标以及抛 第 37 页物线的准线方程,考查了数学运算能力. 55.(1) ;(2) . 【分析】(1)因为 ,可得 , ,根据离心率公式,结合已知,即可求得答案; (2)方法一:过点 作 轴垂线,垂足为 ,设 与 轴交点为 ,可得 ,可求得 点坐标, 从而求出直线 的直线方程,根据点到直线距离公式和两点距离公式,即可求得 的面积. 【详解】(1) , , 根据离心率 ,解得 或 (舍), 的方程为: ,即 . (2)[方法一]:通性通法 不妨设 , 在x轴上方,过点 作 轴垂线,垂足为 ,设直线 与 轴交点为 根据题意画出图形,如图 , , , 又 , , ,根据三角形全等条件“ ”,可得: , , , , 设 点为 ,可得 点纵坐标为 ,将其代入 , 可得: ,解得: 或 , 点为 或 , ①当 点为 时,故 , , ,可得: 点为 , 画出图象,如图 第 38 页, ,可求得直线 的直线方程为: , 根据点到直线距离公式可得 到直线 的距离为 , 根据两点间距离公式可得: , 面积为: ; ②当 点为 时,故 , , ,可得: 点为 ,画出图象, 如图 , ,可求得直线 的直线方程为: , 根据点到直线距离公式可得 到直线 的距离为 , 根据两点间距离公式可得: , 面积为: ,综上所述, 面积为: . [方法二]【最优解】: 由对称性,不妨设P,Q在x轴上方,过P作 轴,垂足为E.设 ,由题知, . 故 , 第 39 页①因为 ,如图,所以, . ②因为 ,如图,所以 . 综上有 [方法三]: 由已知可得 ,直线 的斜率一定存在,设直线 的方程为 ,由对称性可设 ,联立方 程 消去y得 , 由韦达定理得 ,所以 , 将其代入直线 的方程得 ,所以 , 则 . 因为 ,则直线 的方程为 , 第 40 页则 . 因为 ,所 , , 即 ,故 或 ,即 或 . 当 时,点P,Q的坐标分别为 , 直线 的方程为 ,点A到直线 的距离为 , 故 的面积为 . 当 时,点P,Q的坐标分别为 , 直线 的方程为 ,点 到直线 的距离为 , 故 的面积为 . 综上所述, 的面积为 . [方法四]: 由(1)知椭圆的方程为 , . 不妨设 在x轴上方,如图. 设直线 . 因为 ,所以 . 由点P在椭圆上得 ,所以 . 由点P在直线 上得 ,所以 .所以 ,化简得 . 第 41 页所以 ,即 . 所以,点Q到直线 的距离 . 又 . 故 .即 的面积为 . [方法五]: 由对称性,不妨设P,Q在x轴上方,过P作 轴,垂足为C,设 , 由题知 ,所以 . (1) . 则 . (其中 ). (2) . 同理, . (其中 ) 综上, 的面积为 . 【整体点评】(2)方法一:根据平面几何知识可求得点 的坐标,从而得出点 的坐标以及直线 的方程,再 根据距离公式即可求出三角形的面积,是通性通法;方法二:同方法一,最后通过面积分割法求 的面积, 计算上有简化,是本题的最优解;方法三:通过设直线 的方程 与椭圆的方程联立,求出点 的坐标, 再根据题目等量关系求出 的值,从而得出点 的坐标以及直线 的方程,最后根据距离公式即可求出三角形的 面积,思想简单,但运算较繁琐;方法四:与法三相似,设直线 的方程 ,通过平面知识 求出点 的坐标,表示出点 ,再根据距离公式即可求出三角形的面积;方法五:同法一,只是在三角形面积公 式的选择上,利用三角形面积的正弦形式结合平面向量的数量积算出. 56.(1) ;(2)是,定值 【分析】(1)设椭圆 的标准方程为 ,利用焦点坐标,离心率,求解 , ,得到椭圆方程. (2)求出圆心到直线 的距离为 ,推出 ,设 , , , ,联立直线与椭圆方程,利用 韦达定理,弦长公式,转化求解 周长即可. 【详解】解:(1)设椭圆 的标准方程为 , 第 42 页由题意得, . 双曲线的离心率为 , 椭圆 的离心率 . 故椭圆 的方程: . (2)由题意, ,即圆心到直线 的距离为 , 则 , , 设 , 由 ,得 , 由 ,得 , 则 又 周长 , 周长为定值 57.(1) (2) 或 【分析】(1)设所求双曲线方程为 ,根据 点坐标求得 ,从而求得所求的双曲线方程. (2)根据椭圆焦点所在坐标轴进行分类讨论,结合 求得椭圆方程. 第 43 页(1) 设与双曲线 共渐近线的双曲线方程为: 点 , 在双曲线上, 所求双曲线方程为: ,即 . (2) 若焦点在 轴上,设所求椭圆方程为 ,将点 代入,得 , 故所求方程为 . 若焦点在 轴上,设方程为 代入点 ,得 , . 58.(1) ;(2) . 【分析】(1)根据椭圆的焦点、离心率求椭圆参数,写出椭圆方程即可. (2)由(1)知曲线为 ,讨论直线 的存在性,设直线方程联立椭圆方程并应用韦达定理求弦 长即可. 【详解】(1)由题意,椭圆半焦距 且 ,则 ,又 , ∴椭圆方程为 ; (2)由(1)得,曲线为 当直线 的斜率不存在时,直线 ,不合题意: 当直线 的斜率存在时,设 , 又 , , 三点共线, 可设直线 ,即 , 由直线 与曲线 相切可得 ,解得 , 联立 ,得 ,则 , , ∴ . 第 44 页第 45 页