当前位置:首页>文档>考向34抛物线(重点)-备战2023年高考数学一轮复习考点微专题(全国通用)(解析版)_2.2025数学总复习_赠品通用版(老高考)复习资料_一轮复习

考向34抛物线(重点)-备战2023年高考数学一轮复习考点微专题(全国通用)(解析版)_2.2025数学总复习_赠品通用版(老高考)复习资料_一轮复习

  • 2026-04-01 14:03:53 2026-03-27 06:29:16

文档预览

考向34抛物线(重点)-备战2023年高考数学一轮复习考点微专题(全国通用)(解析版)_2.2025数学总复习_赠品通用版(老高考)复习资料_一轮复习
考向34抛物线(重点)-备战2023年高考数学一轮复习考点微专题(全国通用)(解析版)_2.2025数学总复习_赠品通用版(老高考)复习资料_一轮复习
考向34抛物线(重点)-备战2023年高考数学一轮复习考点微专题(全国通用)(解析版)_2.2025数学总复习_赠品通用版(老高考)复习资料_一轮复习
考向34抛物线(重点)-备战2023年高考数学一轮复习考点微专题(全国通用)(解析版)_2.2025数学总复习_赠品通用版(老高考)复习资料_一轮复习
考向34抛物线(重点)-备战2023年高考数学一轮复习考点微专题(全国通用)(解析版)_2.2025数学总复习_赠品通用版(老高考)复习资料_一轮复习
考向34抛物线(重点)-备战2023年高考数学一轮复习考点微专题(全国通用)(解析版)_2.2025数学总复习_赠品通用版(老高考)复习资料_一轮复习
考向34抛物线(重点)-备战2023年高考数学一轮复习考点微专题(全国通用)(解析版)_2.2025数学总复习_赠品通用版(老高考)复习资料_一轮复习
考向34抛物线(重点)-备战2023年高考数学一轮复习考点微专题(全国通用)(解析版)_2.2025数学总复习_赠品通用版(老高考)复习资料_一轮复习
考向34抛物线(重点)-备战2023年高考数学一轮复习考点微专题(全国通用)(解析版)_2.2025数学总复习_赠品通用版(老高考)复习资料_一轮复习
考向34抛物线(重点)-备战2023年高考数学一轮复习考点微专题(全国通用)(解析版)_2.2025数学总复习_赠品通用版(老高考)复习资料_一轮复习
考向34抛物线(重点)-备战2023年高考数学一轮复习考点微专题(全国通用)(解析版)_2.2025数学总复习_赠品通用版(老高考)复习资料_一轮复习
考向34抛物线(重点)-备战2023年高考数学一轮复习考点微专题(全国通用)(解析版)_2.2025数学总复习_赠品通用版(老高考)复习资料_一轮复习
考向34抛物线(重点)-备战2023年高考数学一轮复习考点微专题(全国通用)(解析版)_2.2025数学总复习_赠品通用版(老高考)复习资料_一轮复习
考向34抛物线(重点)-备战2023年高考数学一轮复习考点微专题(全国通用)(解析版)_2.2025数学总复习_赠品通用版(老高考)复习资料_一轮复习
考向34抛物线(重点)-备战2023年高考数学一轮复习考点微专题(全国通用)(解析版)_2.2025数学总复习_赠品通用版(老高考)复习资料_一轮复习
考向34抛物线(重点)-备战2023年高考数学一轮复习考点微专题(全国通用)(解析版)_2.2025数学总复习_赠品通用版(老高考)复习资料_一轮复习
考向34抛物线(重点)-备战2023年高考数学一轮复习考点微专题(全国通用)(解析版)_2.2025数学总复习_赠品通用版(老高考)复习资料_一轮复习
考向34抛物线(重点)-备战2023年高考数学一轮复习考点微专题(全国通用)(解析版)_2.2025数学总复习_赠品通用版(老高考)复习资料_一轮复习
考向34抛物线(重点)-备战2023年高考数学一轮复习考点微专题(全国通用)(解析版)_2.2025数学总复习_赠品通用版(老高考)复习资料_一轮复习
考向34抛物线(重点)-备战2023年高考数学一轮复习考点微专题(全国通用)(解析版)_2.2025数学总复习_赠品通用版(老高考)复习资料_一轮复习
考向34抛物线(重点)-备战2023年高考数学一轮复习考点微专题(全国通用)(解析版)_2.2025数学总复习_赠品通用版(老高考)复习资料_一轮复习
考向34抛物线(重点)-备战2023年高考数学一轮复习考点微专题(全国通用)(解析版)_2.2025数学总复习_赠品通用版(老高考)复习资料_一轮复习
考向34抛物线(重点)-备战2023年高考数学一轮复习考点微专题(全国通用)(解析版)_2.2025数学总复习_赠品通用版(老高考)复习资料_一轮复习
考向34抛物线(重点)-备战2023年高考数学一轮复习考点微专题(全国通用)(解析版)_2.2025数学总复习_赠品通用版(老高考)复习资料_一轮复习
考向34抛物线(重点)-备战2023年高考数学一轮复习考点微专题(全国通用)(解析版)_2.2025数学总复习_赠品通用版(老高考)复习资料_一轮复习
考向34抛物线(重点)-备战2023年高考数学一轮复习考点微专题(全国通用)(解析版)_2.2025数学总复习_赠品通用版(老高考)复习资料_一轮复习
考向34抛物线(重点)-备战2023年高考数学一轮复习考点微专题(全国通用)(解析版)_2.2025数学总复习_赠品通用版(老高考)复习资料_一轮复习
考向34抛物线(重点)-备战2023年高考数学一轮复习考点微专题(全国通用)(解析版)_2.2025数学总复习_赠品通用版(老高考)复习资料_一轮复习
考向34抛物线(重点)-备战2023年高考数学一轮复习考点微专题(全国通用)(解析版)_2.2025数学总复习_赠品通用版(老高考)复习资料_一轮复习
考向34抛物线(重点)-备战2023年高考数学一轮复习考点微专题(全国通用)(解析版)_2.2025数学总复习_赠品通用版(老高考)复习资料_一轮复习
考向34抛物线(重点)-备战2023年高考数学一轮复习考点微专题(全国通用)(解析版)_2.2025数学总复习_赠品通用版(老高考)复习资料_一轮复习
考向34抛物线(重点)-备战2023年高考数学一轮复习考点微专题(全国通用)(解析版)_2.2025数学总复习_赠品通用版(老高考)复习资料_一轮复习
考向34抛物线(重点)-备战2023年高考数学一轮复习考点微专题(全国通用)(解析版)_2.2025数学总复习_赠品通用版(老高考)复习资料_一轮复习
考向34抛物线(重点)-备战2023年高考数学一轮复习考点微专题(全国通用)(解析版)_2.2025数学总复习_赠品通用版(老高考)复习资料_一轮复习
考向34抛物线(重点)-备战2023年高考数学一轮复习考点微专题(全国通用)(解析版)_2.2025数学总复习_赠品通用版(老高考)复习资料_一轮复习
考向34抛物线(重点)-备战2023年高考数学一轮复习考点微专题(全国通用)(解析版)_2.2025数学总复习_赠品通用版(老高考)复习资料_一轮复习
考向34抛物线(重点)-备战2023年高考数学一轮复习考点微专题(全国通用)(解析版)_2.2025数学总复习_赠品通用版(老高考)复习资料_一轮复习
考向34抛物线(重点)-备战2023年高考数学一轮复习考点微专题(全国通用)(解析版)_2.2025数学总复习_赠品通用版(老高考)复习资料_一轮复习
考向34抛物线(重点)-备战2023年高考数学一轮复习考点微专题(全国通用)(解析版)_2.2025数学总复习_赠品通用版(老高考)复习资料_一轮复习
考向34抛物线(重点)-备战2023年高考数学一轮复习考点微专题(全国通用)(解析版)_2.2025数学总复习_赠品通用版(老高考)复习资料_一轮复习
考向34抛物线(重点)-备战2023年高考数学一轮复习考点微专题(全国通用)(解析版)_2.2025数学总复习_赠品通用版(老高考)复习资料_一轮复习
考向34抛物线(重点)-备战2023年高考数学一轮复习考点微专题(全国通用)(解析版)_2.2025数学总复习_赠品通用版(老高考)复习资料_一轮复习
考向34抛物线(重点)-备战2023年高考数学一轮复习考点微专题(全国通用)(解析版)_2.2025数学总复习_赠品通用版(老高考)复习资料_一轮复习
考向34抛物线(重点)-备战2023年高考数学一轮复习考点微专题(全国通用)(解析版)_2.2025数学总复习_赠品通用版(老高考)复习资料_一轮复习
考向34抛物线(重点)-备战2023年高考数学一轮复习考点微专题(全国通用)(解析版)_2.2025数学总复习_赠品通用版(老高考)复习资料_一轮复习
考向34抛物线(重点)-备战2023年高考数学一轮复习考点微专题(全国通用)(解析版)_2.2025数学总复习_赠品通用版(老高考)复习资料_一轮复习

文档信息

文档格式
docx
文档大小
5.221 MB
文档页数
42 页
上传时间
2026-03-27 06:29:16

文档内容

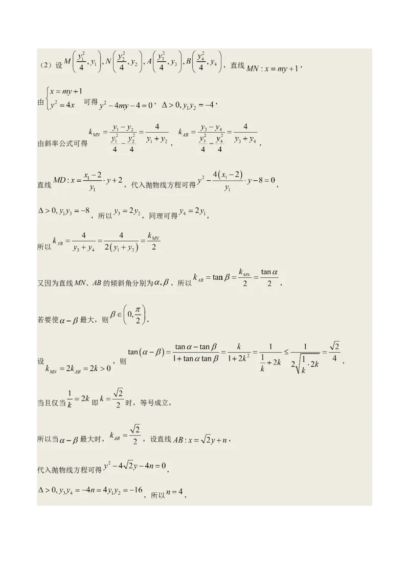
考向 34 抛物线 1.(2022·全国乙(文)T6) 设F为抛物线 的焦点,点A在C上,点 ,若 , 则 ( ) A. 2 B. C. 3 D. 【答案】B 【解析】由题意得, ,则 ,即点 到准线 的距离为2,所以点 的横坐标 为 ,不妨设点 在 轴上方,代入得, ,所以 . 2.(2022·新高考Ⅰ卷T11) 已知O为坐标原点,点 在抛物线 上,过点 的直线交C于P,Q两点,则( ) A. C的准线为 B. 直线AB与C相切 C. D. 【答案】BCD 【解析】将点 的代入抛物线方程得 ,所以抛物线方程为 ,故准线方程为 ,A错误; ,所以直线 的方程为 , 联立 ,可得 ,解得 ,故B正确;设过 的直线为 ,若直线 与 轴重合,则直线 与抛物线 只有一个交点, 所以,直线 的斜率存在,设其方程为 , , 联立 ,得 , 所以 ,所以 或 , , 又 , , 所以 ,故C正确; 因为 , , 所以 ,而 ,故D正确. 3.(2022·新高考Ⅱ卷T10) 已知O为坐标原点,过抛物线 的焦点F的直线与C交于 A,B两点,点A在第一象限,点 ,若 ,则( ) A. 直线 的斜率为 B. C. D. 【答案】ACD【解析】 对于A,易得 ,由 可得点 在 的垂直平分线上,则 点横坐标为 , 代入抛物线可得 ,则 ,则直线 的斜率为 ,A正确; 对于B,由斜率为 可得直线 的方程为 ,联立抛物线方程得 , 设 ,则 ,则 ,代入抛物线得 ,解得 , 则 , 则 ,B错误; 对于C,由抛物线定义知: ,C正确; 对于D, ,则 为钝角,又 ,则 为 钝角, 又 ,则 ,D正确. 故选:ACD. 4.(2022·全国甲(文)T21) 设抛物线 的焦点为F,点 ,过F的直线交C于 M,N两点.当直线MD垂直于x轴时, . (1)求C的方程; (2)设直线 与C的另一个交点分别为A,B,记直线 的倾斜角分别为 .当 取得最大值时,求直线AB的方程. 【答案】(1) ; (2) . 【解析】(1)抛物线的准线为 ,当 与x轴垂直时,点M的横坐标为p, 此时 ,所以 ,所以抛物线C的方程为 ; (2)设 ,直线 , 由 可得 , , 由斜率公式可得 , , 直线 ,代入抛物线方程可得 ,,所以 ,同理可得 ,所以 又因为直线MN、AB的倾斜角分别为 ,所以 , 若要使 最大,则 , 设 ,则 , 当且仅当 即 时,等号成立,所以当 最大时, ,设直线 , 代入抛物线方程可得 , ,所以 , 所以直线 . 5.(2022·全国甲(理)T)20. 设抛物线 的焦点为F,点 ,过F的直线交C 于M,N两点.当直线MD垂直于x轴时, . (1)求C的方程; (2)设直线 与C的另一个交点分别为A,B,记直线 的倾斜角分别为 .当 取得最大值时,求直线AB的方程. 【答案】(1) ; (2) . 【解析】(1)抛物线的准线为 ,当 与x轴垂直时,点M的横坐标为p, 此时 ,所以 ,所以抛物线C的方程为 ;(2)设 ,直线 , 由 可得 , , 由斜率公式可得 , , 直线 ,代入抛物线方程可得 , ,所以 ,同理可得 , 所以 又因为直线MN、AB的倾斜角分别为 ,所以 , 若要使 最大,则 , 设 ,则 , 当且仅当 即 时,等号成立, 所以当 最大时, ,设直线 , 代入抛物线方程可得 , ,所以 ,所以直线 . 1.由抛物线的方程可以确定抛物线的开口方向、焦点位置、焦点到准线的距离,从而进一步确定抛物线的 焦点坐标及准线方程. 2.抛物线定义的应用 (1)利用抛物线的定义解决问题,应灵活地进行抛物线上的点到焦点的距离与到准线距离的等价转化.即 “看到准线想到焦点,看到焦点想到准线”. (2)注意灵活运用抛物线上一点P(x,y)到焦点F的距离|PF|=|x|+或|PF|=|y|+. 3.与抛物线有关的最值问题的转换方法 (1)将抛物线上的点到准线的距离转化为该点到焦点的距离,构造出“两点之间线段最短”,使问题得解. (2)将抛物线上的点到焦点的距离转化为该点到准线的距离,利用“与直线上所有点的连线中垂线段最短” 原理解决. 4.抛物线性质的应用技巧 (1)利用抛物线方程确定及应用其焦点、准线时,关键是将抛物线方程化成标准方程. (2)要结合图形分析,灵活运用平面图形的性质简化运算. 5.求解抛物线综合问题的方法 (1)研究直线与抛物线的位置关系与研究直线与椭圆、双曲线的位置关系的方法类似,一般是用方程法,但 涉及抛物线的弦长、中点、距离等问题时,要注意“设而不求”“整体代入”“点差法”以及定义的灵活 应用. (2)有关直线与抛物线的弦长问题,要注意直线是否过抛物线的焦点,若过抛物线的焦点,可直接使用公式| AB|=x+x+p(焦点在x轴正半轴),若不过焦点,则必须用弦长公式. 1 2 抛物线焦点弦的几个常用结论 设AB是过抛物线y2=2px(p>0)的焦点F的弦,若A(x,y),B(x,y),则: 1 1 2 2 (1)xx=,yy=-p2; 1 2 1 2 (2)若A在第一象限,B在第四象限,则|AF|=,|BF|=,弦长|AB|=x+x+p=(α为弦AB的倾斜角); 1 2 (3)+=; (4)以弦AB为直径的圆与准线相切; (5)以AF或BF为直径的圆与y轴相切;(6)过焦点弦的端点的切线互相垂直且交点在准线上; (7)通径:过焦点与对称轴垂直的弦长等于2p. 1.定义中易忽视“定点不在定直线上”这一条件,当定点在定直线上时,动点的轨迹是过定点且与定直 线垂直的直线. 2.求抛物线的标准方程时一般要用待定系数法求p的值,但首先要判断抛物线是不是标准方程,以及是哪 一种标准方程. 一、单选题 1.已知O为坐标原点,抛物线 的焦点为F,点M在抛物线上,且 ,则M点到 轴的距离 为( ) A.2 B. C. D. 【答案】D 【解析】由题意得 ,所以准线为 , 又因为 ,设点 的坐标为 ,则有 ,解得: 将 代入解析式 得: ,所以M点到x轴的距离为 . 2.已知抛物线 : 的焦点为 ,准线为 ,点 是抛物线 上一点, 于 .若 , ,则抛物线 的方程为( ) A. B. C. D. 【答案】B 【解析】根据抛物线的定义可得 ,又 ,所以 ,所以 ,解得 ,所以抛物线 的方程为 . 3.设 、 分别是抛物线 的顶点和焦点,点 在抛物线上,若 ,则 A.2 B.3 C.4 D.5 【答案】B 【解析】 ,设 , , 因为 , , , 4.抛物线 的焦点为 ,点 , 为抛物线上一点,且 不在直线 上,则 周长的最 小值为( ) A.4 B.5 C. D. 【答案】C 【解析】由抛物线为 可得焦点坐标 ,准线方程为 . 由题可知求 周长的最小值.即求 的最小值. 设点 在准线上的射影为点 . 则根据抛物线的定义.可知 . 因此求 的最小值即求 的最小值. 根据平面几何知识,当 、 、 三点共线时, 最小. 所以 . 又因为 , 所以 周长的最小值为 .5.已知抛物线C:x2=-2py(p>0)的焦点为F,点M是C上的一点,M到直线y=2p的距离是M到C的准线 距离的2倍,且|MF|=6,则p=( ) A.4 B.6 C.8 D.10 【答案】A 【解析】设 ,则 ,解得 6.已知抛物线 上任意一点 ,定点 ,若点 是圆 上的动点,则 的最小值为( ) A. B. C. D. 【答案】B 【解析】抛物线焦点 ,准线 ,设点 到准线 的距离为 ,点 到准线 的距离为 . 7.已知双曲线 右焦点为 ,过 且垂直于 轴的直线与双曲线交于 , 两点,抛物线 的焦点为 ,若 为锐角三角形,则双曲线的离心率的取值范围是( ) A. B. C. D. 【答案】D 【解析】在抛物线 中, , 在双曲线 中,当 时, ,取 . 因为 是锐角三角形,所以 ,则 ,即 . 因为双曲线 中 , 所以 ,所以 , 解得 ,所以 . 因为 ,则 , 所以双曲线的离心率的取值范围是 . 8.已知抛物线 ,以 为圆心,半径为5的圆与抛物线 交于 两点,若 ,则 ( ) A.4 B.8 C.10 D.16 【答案】B 【解析】以 为圆心,半径为5的圆的方程为 , 由抛物线 ,得到抛物线关于x轴对称, 又∵上面的圆的圆心在x轴上,∴圆的图形也关于x轴对称, ∴它们的交点A,B关于x轴对称, 因为|AB|=8,∴A,B点的纵坐标的绝对值都是4, ∵它们在抛物线上,于是A点的横坐标的值 , 不妨设A在x轴上方,则A点的坐标为 , 又∵A在圆上,∴ ,解得 二、多选题9.已知抛物线 上一点 到其准线及对称轴的距离分别为3和 ,则 的值可以是 A.2 B.6 C.4 D.8 【答案】AC 【解析】设 的横坐标为 ,由题意, , ,解得 或 . 10.下列说法不正确的是( ) A.等比数列 , ,则 B.抛物线 的焦点 C.命题“ ”的否定是:“ ” D.两个事件 ,“ 与 互斥”是“ 与 相互对立”的充分不必要条件. 【答案】ABCD 【解析】A. 等比数列 , ,所以 , 则 ,又 ,所以 ,故A错误; B.抛物线 化成标准式得: ,所以其焦点 ,故B错误; C.命题“ ”的否定是:“ ”,故C错误; D.两个事件 ,若 与 互斥,则 与 不一定相互对立,但若 与 相互对立,则 与 一定互斥, 故“ 与 互斥”是“ 与 相互对立”的必要不充分条件,故D错误. 11.[多选题]已知抛物线 的焦点为 , , 是抛物线上两点,则下列结论正确的 是( ) A.点 的坐标为 B.若直线 过点 ,则C.若 ,则 的最小值为 D.若 ,则线段 的中点 到 轴的距离为 【答案】BCD 【解析】易知点 的坐标为 ,选项A错误; 根据抛物线的性质知, 过焦点 时, ,选项B正确; 若 ,则 过点 ,则 的最小值即抛物线通径的长, 为 ,即 ,选项C正确, 抛物线 的焦点为 ,准线方程为 , 过点 , , 分别作准线的垂线 , , 垂足分别为 , , , 所以 , . 所以 , 所以线段 , 所以线段 的中点 到 轴的距离为 ,选项D正确. 12.已知抛物线 的焦点 到准线 的距离为2,则( ) A.焦点 的坐标为B.过点 恰有2条直线与抛物线 有且只有一个公共点 C.直线 与抛物线 相交所得弦长为8 D.抛物线 与圆 交于 两点,则 【答案】ACD 【解析】由题可知抛物线方程为 对于A,焦点 的坐标为 ,故A正确 对于B,过点 有抛物线的2条切线,还有 ,共3条直线与抛物线有且只有一个交点,故B错误 对于C, ,弦长为 ,故C 正确 对于D, ,解得 ( 舍去),交点为 ,有 ,故D正确 三、填空题 13.抛物线 的焦点与椭圆 的一个焦点相同,则抛物线的准线方程是______. 【答案】 【解析】 椭圆 的焦点为 ,抛物线 的焦点坐标为 , ,得 ,即抛物线的标准方程为 , 因此,抛物线的准线方程是 . 14.若抛物线y2=2x上的一点M到坐标原点O的距离为 ,则点M到该抛物线焦点的距离为_____. 【答案】 【解析】设点M ,∵|MO|=∴ ∴y2=2或y2=-6(舍去),∴x= =1 ∴M到抛物线y2=2x的准线x=- 的距离d=1-(- )= ∵点M到抛物线焦点的距离等于点M到抛物线y2=2x的准线的距离, ∴点M到该抛物线焦点的距离为 15.若直线 经过抛物线 的焦点,则 ________. 【答案】 【解析】 可化为 ,焦点坐标为 由题意可得: ,故 . 16.已知抛物线 的焦点为 ,点 是抛物线 上的一点,以 为圆心 的圆交直线 于 、 两点(点 在点 的上方),若 ,则抛物线 的方程是_________. 【答案】 【解析】画出图形如下图所示,作 ,垂足为 , 由题意得点 在抛物线 上,则 ①, 由抛物线的定义,可知 , 因为 ,所以, ,所以 ,解得 ②, 由①②解得 (舍去)或 ,故抛物线 的方程为 . 一、单选题 1.(2022·山东潍坊·模拟预测)数学与建筑的结合造就建筑艺术品,如吉林大学的校门是一抛物线形水泥 建筑物,如图.若将该大学的校门轮廓(忽略水泥建筑的厚度)近似看成抛物线 的一部分, 且点 在该抛物线上,则该抛物线的焦点坐标是( ) A. B.(0,-1) C. D. 【答案】A 【解析】依题意 在抛物线 上,所以 , 所以 ,故 ,且抛物线开口向下,所以抛物线的焦点坐标为 . 2.(2022·贵州·模拟预测(理))已知曲线C 1 : ( )和C 2 : ,点A(−1, y)和B(2,y)都在C 上,平行于AB的直线l与C ,C 都相切,则C 的焦点为( ) 1 2 1 1 2 1 A.(0, ) B.(0, ) C.(0,1) D.(0,2)【答案】B 【详解】先由题意求出 坐标,则可得 ,由于直线 平行于AB,所以设直线 ,再利用 直线 与 相切,将直线方程代入 方程中,由判别式为零可得 ,再由直线 与 相切,则圆心 到直线 的距离等于半径 ,列方程,结前面的式子可求出 ,从而可求出抛物线的焦点坐标 【点睛】对于曲线C : ( ),当 时, ,当 时, , 1 所以 ,所以直线 的斜率为 , 设与直线 平行的直线为 ,由 ,得 , 因为直线 与 相切,所以 ,得 , 因为直线 与 相切,所以圆心 到直线 的距离等于半径 , 所以 ,化简得 , 所以 ,得 , 因为 ,所以 ,所以曲线C 为 ,其焦点为 , 1 故选:B 3.(2022·山东·昌乐二中模拟预测)PQ为经过抛物线 焦点的任一弦,抛物线的准线为l,PM垂 直于l于M,QN垂直于l于N,PQ绕l一周所得旋转面面积为 ,以MN为直径的球面积为 ,则( )A. B. C. D. 【答案】C 【解析】设 与 轴夹角为 ,令 , ,则 , ,则 , ,所以 当且仅当 时等号 成立; 故选:C 4.(2021·内蒙古乌兰察布·一模(文))已知F是抛物线y2=4x的焦点,点M在此抛物线上,且它的纵坐 标为6,以M为圆心,|MF|为半径作圆,过Q(﹣1,﹣4)引圆M切线QA、QB,则∠AQB=( ) A.60° B.90° C.120° D.150° 【答案】B 【解析】 抛物线y2=4x的焦点 ,准线l方程: . 因为点M在此抛物线上,且它的纵坐标为6,所以 ,所以 即圆的半径r=10. 由抛物线的定义可知,准线与圆M相切. 而Q(﹣1,﹣4)在准线l,所以切点A必在准线上,且 , 可知 ,故四边形AQBM为正方形,所以∠AQB=90° 故选:B 5.(2022·安徽省舒城中学模拟预测(理))已知 , 分别为抛物线 与圆 上的动点,抛物线的焦点为 , , 为平面两点,当 取到最小值时, 点 与 重合,当 取到最大时,点 与 重合,则直线的 的斜率为( ) A. B. C.1 D. 【答案】D 【解析】如图所示: ,即 ,圆心为 , 抛物线 的焦点为 ,记 的准线为l,过点A作 , 过 作 ,,当 共线时,点B在 上,此时 , 连接 , ,此时Q为 与抛物线 的交点, ,由 ,解得 或 , 因为Q在第一象限,所以 ,所以 , 故选:D 6.(2022·安徽·合肥一中模拟预测(文))首钢滑雪大跳台是冬奥史上第一座与工业旧址结合再利用的竞 赛场馆,它的设计创造性地融入了敦煌壁画中飞天的元素,建筑外形优美流畅,飘逸灵动,被形象地称为 雪飞天.中国选手谷爱凌和苏翊鸣分别在此摘得女子自由式滑雪大跳台和男子单板滑雪大跳台比赛的金牌. 雪飞天的助滑道可以看成一个线段 和一段圆弧 组成,如图所示.假设圆弧 所在圆的方程为 ,若某运动员在起跳点 以倾斜角为 且与圆 相切的直线方向起跳,起跳后 的飞行轨迹是一个对称轴在 轴上的抛物线的一部分,如下图所示,则该抛物线的轨迹方程为( ) A. B. C. D. 【答案】C 【解析】由于某运动员在起跳点 以倾斜角为 且与圆 相切的直线方向起跳, 故 ,所以直线 所在的方程为: ,代入 ,解得 或 (舍,离y轴较远的点), 所以点 的坐标为 . 由于起跳后的飞行轨迹是一个对称轴在 轴上的抛物线的一部分, 故设抛物线方程为: ,则 , 则由M点处切线斜率为1可得 , , 又 ,解得 , 所以该抛物线的轨迹方程为 ,即 , 故选:C. 7.(2021·安徽马鞍山·二模(文))在平面直角坐标系xOy中,若抛物线C:y2=2px( )的焦点为F,直 线x=3与抛物线C交于A,B两点,|AF|=4,圆E为 的外接圆,直线OM与圆E切于点M,点N在 圆E上,则 的取值范围是( ) A. B. C. D. 【答案】B 【解析】由题意,设 ,所以 ,解得 , 所以抛物线的方程为 , , , , 所以直线 的方程为 ,设圆心坐标为 , ,所以 ,解得 ,即 , 圆的方程为 , 不妨设 ,设直线 的方程为 ,则 , 根据 ,解得 ,由 ,解得 , 设 ,所以 , 因为 ,所以 . 故选:B. 8.(2022·新疆乌鲁木齐·模拟预测(文))北京时间2022年4月16日9时56分,神州十三号载人飞船返 回舱在东风着陆场成功着陆,全国人民都为我国的科技水平感到自豪某学校科技小组在计算机上模拟航天 器变轨返回试验.如图,航天器按顺时针方向运行的轨迹方程为 ,变轨(即航天器运行轨迹由 椭圆变为抛物线)后返回的轨迹是以y轴为对称轴, 为顶点的抛物线的一部分.已知观测点A的坐 标 ,当航天器与点A距离为4时,向航天器发出变轨指令,则航天器降落点B与观测点A之间的距离 为( )A.3 B.2.5 C.2 D.1 【答案】A 【解析】由题意,设点 所在的抛物线方程为 , 又由抛物线与椭圆的交点 ,代入抛物线方程得 ,解得 , 即抛物线的方程为 , 令 ,可得 ,解得 或 (舍去), 所以 ,即航天器降落点B与观测点A之间的距离为 . 故选:A. 二、多选题 9.(2021·重庆市育才中学二模)下列说法正确的是( ) A. 是 的充分不必要条件 B.幂函数 在区间 上单调递减C.抛物线 的焦点与椭圆 的右焦点重合 D.函数 的最大值为2 【答案】ABD 【解析】对于A中,由 ,可得 成立,反之:若 ,但向量 与 的方向不 一定相同,所以向量 与 不一定相等,所以 是 的充分不必要条件,所以A正确; 对于B中,由幂函数 ,可得 ,即 , 所以函数 在区间 上单调递减,所以B正确; 对于C中,抛物线 的焦点坐标为 ,椭圆 的右焦点的坐标为 , 可得抛物线 的焦点与椭圆 的右焦点不重合,所以C不正确; 对于D中,由三角函数的性质,可得 , 当 时,可得 ,所以当 时,函数 取得最大值2, 所以D正确. 故选:ABD. 10.(2021·辽宁·沈阳二中模拟预测)下列说法不正确的是( ) A.等比数列 , ,则 B.抛物线 的焦点 C.命题“ ”的否定是:“ ” D.两个事件 ,“ 与 互斥”是“ 与 相互对立”的充分不必要条件. 【答案】ABCD【解析】A. 等比数列 , ,所以 , 则 ,又 ,所以 ,故A错误; B.抛物线 化成标准式得: ,所以其焦点 ,故B错误; C.命题“ ”的否定是:“ ”,故C错误; D.两个事件 ,若 与 互斥,则 与 不一定相互对立,但若 与 相互对立,则 与 一定互斥, 故“ 与 互斥”是“ 与 相互对立”的必要不充分条件,故D错误. 故选:ABCD; 11.(2022·福建省厦门集美中学模拟预测)过抛物线 的焦点F的直线l与C交于A,B两点,设 、 ,已知 , ,则( ) A.若直线l垂直于x轴,则 B. C.若P为C上的动点,则 的最小值为5 D.若点N在以AB为直径的圆上,则直线l的斜率 为2 【答案】ABD 【解析】直线l垂直于x轴时,其方程为 ,联立 可得 或 , 所以 , ,所以 ,A对, 由已知可得直线l的斜率不为0,故可设其方程为 , 联立 化简可得 , ,设 ,则 , ,B对, 点N在以AB为直径的圆上,则 ,又 所以 ,又 , 所以 , 所以 , 所以 ,故 ,此时直线l的斜率为2,D对, 过点 作 垂直与准线 ,垂足为 , 过点 作 垂直与准线 ,垂足为 , 则 , 所以 , 当且仅当点 的坐标为 时等号成立, 所以 的最小值为4,C错, 故选:ABD. 12.(2022·山东·肥城市教学研究中心模拟预测)抛物线 的焦点为 ,直线 交与 两点,且 已知点 ,圆 与直线 相切.则( ) A. B.圆 的方程为: C.过点 作圆 的切线,切点所在的直线方程为: D.抛物线上的点 与圆 上的点的最小距离为 【答案】AC 【解析】对于A选项,设点 ,由 所以 ,所以点 , , .故A正确; 对于B选项,易知圆 的半径为2,故方程为 .故B错误; 对于C项,由A项知,点 坐标为 ,过点 作圆 的切线,则切点在以 为直径的圆 上,切点又在圆 上,所以切点在直线 ,故C正确; 对于D选项,设抛物线上的点 与圆 上点的距离为 , , ,故D错 误; 故选:AC.三、填空题 13.(2021·北京房山·二模)若三个点 中恰有两个点在抛物线 上, 则该抛物线的方程为___________. 【答案】 【解析】由抛物线的对称性知: 在 上, ∴ ,可得 ,即抛物线的方程为 . 故答案为: . 14.(2021·江西上饶·三模(理))某中学张燕同学不仅学习认真,而且酷爱体育运动,经过艰苦的训练, 终于在校运会的投铅球比赛中创造佳绩.已知张燕所投铅球的轨迹是一段抛物线(人的身高不计,铅球看 成一个质点),如图所示,设初速度为定值 ,且与水平方向所成角为变量 ,已知张燕投铅球的最远距 离为 .当她投得最远距离时,铅球轨迹抛物线的焦点到准线的距离为____ .(空气阻力不计,重力 加速度为 ) 【答案】5 【解析】设铅球运动时间为 ,t时刻的水平方向位移为x,则 . 由 知故当 时, , 解得: , 如图建立平面直角坐标系, ,设抛物线方程为 则抛物线的焦点到准线的距离 故答案为:5 15.(2021·黑龙江·佳木斯一中三模(文))下列说法正确的是___________. ①平面内到定点与定直线的距离相等的点的轨迹是抛物线. ②利用最小二乘法原理求回归直线,就是使残差平方和最小的原理求得参数b的. ③在线性回归模型中,计算相关指数 ,这表明解释变量只解释了60%预报变量的变化. ④若存在实数 ,使 , ,对 恒有 ,则 是 的一个周期. 【答案】② 【解析】①平面内到定点与定直线的距离相等的点的轨迹是抛物线.必须是定点在直线外,所以①不正确. ②利用最小二乘法原理求回归直线,就是使残差平方和最小的原理求得参数 的.所以②正确. ③在线性回归模型中,计算相关指数 ,这表明解释变量对于预报变量变化的贡献率约为60%;不 是解释变量只解释了60%预报变量的变化.所以C不正确; ④若存在非零实数 ,使 , ,对 恒有 ,则 是 的一个周期,所 以④不正确. 故答案为:②. 16.(2021·浙江·宁波中学模拟预测)一条抛物线把平面划分为二个区域,如果一个平面图形完全落在抛 物线含有焦点的区域内,我们就称此平面图形被该抛物线覆盖.那么下列命题中,正确的是___________.(填 写序号)(1)任意一个多边形所围区域总能被某一条抛物线覆盖; (2)与抛物线对称轴不平行、不共线的射线不能被该抛物线覆盖; (3)射线绕其端点转动一个锐角所扫过的角形区域可以被某二条抛物线覆盖; (4)任意有限多条抛物线都不能覆盖整个平面. 【答案】(1)(2)(4) 【解析】由抛物线的图像和性质可知,由于任意一个多边形所围区域沿着抛物线顶点出发向抛物线对称轴 所在直线平移,总能把有限的区域放入抛物线内部,所以(1)正确; 由于过抛物线内部一点的直线(不平行于轴)与抛物线都有两个交点,故抛物线无法覆盖一条直线,也不 能覆盖与轴不平行、不共线的射线,所以(2)正确; 由于锐角是由两条不平行的射线组成,故抛物线不能覆盖任何一个锐角,所以(3)错误; 取一条直线,使它不平行于任一抛物线的对称轴,根据抛物线的图像和性质可知直线上的点不能被完全覆 盖,如图,因为一条直线若被抛物线覆盖,它必须是抛物线的对称轴,所以任意有限多条抛物线都不能覆 盖整个平面,所以(4)正确 1.(2020年高考数学课标Ⅰ卷理科)已知A为抛物线C:y2=2px(p>0)上一点,点A到C的焦点的距离为12, 到y轴的距离为9,则p= ( ) A.2 B.3 C.6 D.9 【答案】C【解析】设抛物线的焦点为F,由抛物线的定义知 ,即 ,解得 . 故选:C. 2.(2020年高考数学课标Ⅲ卷理科)设 为坐标原点,直线 与抛物线C: 交于 , 两点,若 ,则 的焦点坐标为 ( ) A. B. C. D. 【答案】B 【解析】因为直线 与抛物线 交于 两点,且 , 根据抛物线的对称性可以确定 ,所以 , 代入抛物线方程 ,求得 ,所以其焦点坐标为 , 故选:B. 3.(2019年高考数学课标全国Ⅱ卷理科)若抛物线 的焦点是椭圆 的一个焦点, 则 ( ) A. B. C. D. 【答案】D x2 y2 【解析】因为抛物线 的焦点 是椭圆  1的一个焦点,所以 3p p ,解得 ,故选D. p 8 4.(2018年高考数学课标卷Ⅰ(理))设抛物线 的焦点为 .过点 且斜率为 的直线 与 交于 两点,则 ( )A. B. C. D. 【答案】D 【解析】抛物线 的焦点为 ,过点 且斜率为 的直线为: ,联 立直线与抛物线 ,消去 可得: ,解得 ,不妨 , , , ,则 ,故选D. C: y2 4x l 5.(2017年高考数学新课标Ⅰ卷理科)已知F 为抛物线 的焦点,过F 作两条互相垂直的直线 1, l l C A,B l C D,E AB  DE 2,直线 1与 交于 两点,直线 2与 交于 两点,则 的是小值为 ( ) A. 16 B.14 C.12 D. 10 【答案】A A(x ,y ),B(x ,y ) D(x ,y ),E(x ,y ) l y k (x1) 【解析】法一:设 1 1 2 2 , 3 3 4 4 ,直线 1方程为 1 y2 4x   y k (x1) k2x2 2k2x4xk2 0 取方程 1 ,得 1 1 1 2k2 4 2k2 4 x x  1  1 1 2 k2 k2 ∴ 1 1 2k2 4 x x  2 l 3 4 k2 同理直线 2与抛物线的交点满足 2 | AB||DE| x x x x 2p 由抛物线定义可知 1 2 3 4 2k2 4 2k2 4 4 4 16  1  2 4  82 816 k2 k2 k2 k2 k2k2 1 2 1 2 1 2 k k 1 当且仅当 1 2 (或1)时,取得等号. π  法二:设 l 1的倾斜角为  ,则直线 l 2的倾斜角为2 根据焦点弦长公式有: 4 4 AB  DE   sin2  π 4 4 222 sin2       16  2 sin2 cos2 sin2cos2 .故选A. π 法三:设 l 1的倾斜角为  ,则直线 l 2的倾斜角为2  ,而 F1,0 x1tcos l : 1 y tsin C t2sin24tcos40 则 ,代入抛物线 中,可得  4cos t t   1 2 sin2  4  tt  A,B t ,t 1 2 sin2 设 对应的参数分别为 1 2,则有 16cos2 16 4 AB  t t  t t 2 4tt    所以 1 2 1 2 1 2 sin4 sin2 sin2 4 4 DE   π  cos2 sin2    2  同理可得 4 4 222    16 AB  DE sin2 cos2 sin2cos2 所以 . 故选A. 1 法四:设点 Ax 1 ,y 1 ,Bx 2 ,y 2  ,则 AB  x 1 x 2  p x 1 x 2 2 4  y 1 2  y 2 2 2 1  y  y 2 2y y 2 4 1 2 1 2 l xmy1 m0 设直线 1的方程为 l C: y2 4x x y2 4my40 联立直线 1与抛物线 方程消去 可得 y  y 4m 1 2 1  AB  y  y 2 2y y 24m2 4 所以  y 1 y 2 4 ,所以 4 1 2 1 2 4 DE  4 同理 m2 4 AB  DE 84m2  16 所以 m2 (当且仅当 m1 时等号成立) 小结:本质回归 C: y2 2px p0 l ,l 抛物线的正交弦性质:已知F 为抛物线 的焦点,过F 作两条互相垂直的直线 1 2,l C A,B l C D,E AB , DE 直线 1与 交于 两点,直线 2与 交于 两点,则 的调和平均数为定值: 1 1 1   AB DE 2p . 于是本题可以直接利用这个性质秒杀 AB  DE 2  4p 2 1 1  AB DE AB  CD 8p 16 ,所以 . 椭圆与双曲线有类似的性质,于是得到圆锥曲线的正交定值定理 已知圆锥曲线 C 的焦点F 作两条互相垂直的直线 l 1 ,l 2,直线 l 1与 C 交于 A,B 两点,直线 l 2与 C 交于 1 1 2e2   D,E AB DE 2ep 两点,则 . e C p 其中 是圆锥曲线 的离心率, 是焦点到对应准线的距离. 6.(2016高考数学课标Ⅰ卷理科)以抛物线 的顶点为圆心的圆交 于 两点,交 的准线于 两 点.已知 , ,则 的焦点到准线的距离为 ( ) A.2 B.4 C.6 D.8 【答案】B 【解析】以开口向右的抛物线为例来解答,其他开口同理 设抛物线为 ,设圆的方程为 ,题目条件翻译如图: 设 , , 点 在抛物线 上,∴ ……①点 在圆 上,∴ ……② 点 在圆 上,∴ ……③ 联立①②③解得: ,焦点到准线的距离为 . 故选B. 7.(2021年高考全国甲卷理科)抛物线C的顶点为坐标原点O.焦点在x轴上,直线l: 交C于P,Q 两点,且 .已知点 ,且 与l相切. (1)求C, 的方程; (2)设 是C上的三个点,直线 , 均与 相切.判断直线 与 的位置关 系,并说明理由. 【答案】(1)抛物线 , 方程为 ;(2)相切,理由见解析 【解析】(1)依题意设抛物线 , , 所以抛物线 的方程为 , 与 相切,所以半径为 , 所以 的方程为 ; (2)设 若 斜率不存在,则 方程为 或 , 若 方程为 ,根据对称性不妨设 , 则过 与圆 相切的另一条直线方程为 , 此时该直线与抛物线只有一个交点,即不存在 ,不合题意;若 方程为 ,根据对称性不妨设 则过 与圆 相切的直线 为 , 又 , ,此时直线 关于 轴对称, 所以直线 与圆 相切; 若直线 斜率均存在, 则 , 所以直线 方程为 , 整理得 , 同理直线 的方程为 , 直线 的方程为 , 与圆 相切, 整理得 , 与圆 相切,同理 所以 为方程 的两根, ,到直线 的距离为: , 所以直线 与圆 相切; 综上若直线 与圆 相切,则直线 与圆 相切. 8.(2021年高考全国乙卷理科)已知抛物线 的焦点为 ,且 与圆 上点的距离的最小值为 . (1)求 ; (2)若点 在 上, 是 的两条切线, 是切点,求 面积的最大值. 【答案】(1) ;(2) . 【解析】(1)抛物线 的焦点为 , , 所以, 与圆 上点的距离的最小值为 ,解得 ; (2)抛物线 的方程为 ,即 ,对该函数求导得 , 设点 、 、 , 直线 的方程为 ,即 ,即 ,同理可知,直线 的方程为 , 由于点 为这两条直线的公共点,则 , 所以,点 、 的坐标满足方程 , 所以,直线 的方程为 , 联立 ,可得 , 由韦达定理可得 , , 所以, , 点 到直线 的距离为 , 所以, , , 由已知可得 ,所以,当 时, 的面积取最大值 . 9.(2020年高考数学课标Ⅱ卷理科)已知椭圆C 1 : (a>b>0) 右的焦点F与抛物线C 2 的焦点重合, C 的中心与C 的顶点重合.过F且与x轴垂直的直线交C 于A,B两点,交C 于C,D两点,且|CD| 1 2 1 2 = |AB|. (1)求C 的离心率; 1(2)设M是C 与C 的公共点,若|MF|=5,求C 与C 的标准方程. 1 2 1 2 【答案】(1) ;(2) , . 【解析】(1) , 轴且与椭圆 相交于 、 两点, 则直线 的方程为 , 联立 ,解得 ,则 , 抛物线 的方程为 ,联立 , 解得 , , ,即 , , 即 ,即 , ,解得 ,因此,椭圆 的离心率为 ; (2)由(1)知 , ,椭圆 的方程为 ,联立 ,消去 并整理得 , 解得 或 (舍去), 由抛物线的定义可得 ,解得 . 因此,曲线 的标准方程为 , 曲线 的标准方程为 . 10.(2019年高考数学课标Ⅲ卷理科)已知曲线C:y= ,D为直线y= 上的动点,过D作C的两条切 线,切点分别为A,B. (1)证明:直线AB过定点: (2)若以E(0, )为圆心的圆与直线AB相切,且切点为线段AB的中点,求四边形ADBE的面积. 【答案】 (1)见详解;(2)3或 . 【解析】(1)设 则 . 由于 ,所以切线 的斜率为 ,故 整理得 .. 设 同理可得 . 故直线 的方程为 . 所以直线 过定点 . (2)由(1)得直线 的方程为 .由 可得 .于是 , . 设 分别为 到直线 的距离,则 . 因此,四边形 的面积 . 设 线段 的中点,则 . 由于 ,而 , 与向量 平行,所以 .解得 或 . 当 时, ;当 时, . 因此,四边形 的面积为3或 .