当前位置:首页>文档>微专题求椭圆的标准方程学案——2023届高考数学一轮《考点·题型·技巧》精讲与精练_2.2025数学总复习_赠品通用版(老高考)复习资料_一轮复习

微专题求椭圆的标准方程学案——2023届高考数学一轮《考点·题型·技巧》精讲与精练_2.2025数学总复习_赠品通用版(老高考)复习资料_一轮复习

  • 2026-04-16 23:37:02 2026-03-20 06:19:34

文档预览

微专题求椭圆的标准方程学案——2023届高考数学一轮《考点·题型·技巧》精讲与精练_2.2025数学总复习_赠品通用版(老高考)复习资料_一轮复习
微专题求椭圆的标准方程学案——2023届高考数学一轮《考点·题型·技巧》精讲与精练_2.2025数学总复习_赠品通用版(老高考)复习资料_一轮复习
微专题求椭圆的标准方程学案——2023届高考数学一轮《考点·题型·技巧》精讲与精练_2.2025数学总复习_赠品通用版(老高考)复习资料_一轮复习
微专题求椭圆的标准方程学案——2023届高考数学一轮《考点·题型·技巧》精讲与精练_2.2025数学总复习_赠品通用版(老高考)复习资料_一轮复习
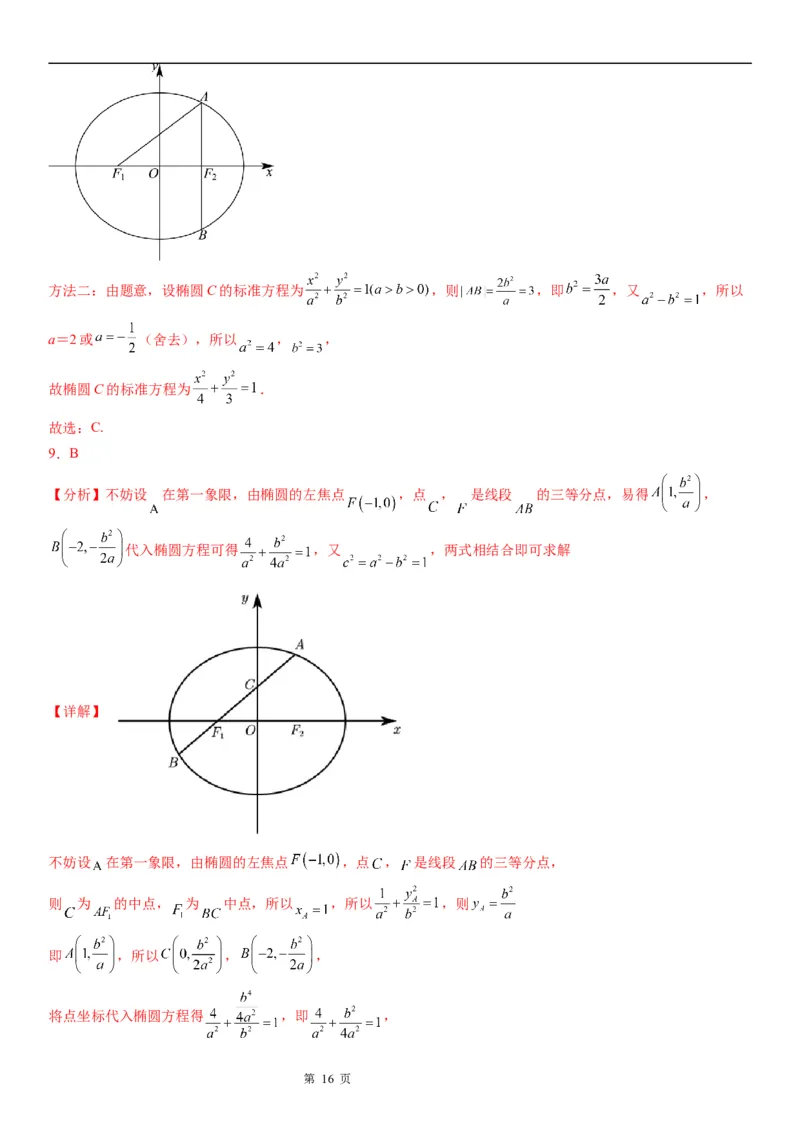
微专题求椭圆的标准方程学案——2023届高考数学一轮《考点·题型·技巧》精讲与精练_2.2025数学总复习_赠品通用版(老高考)复习资料_一轮复习
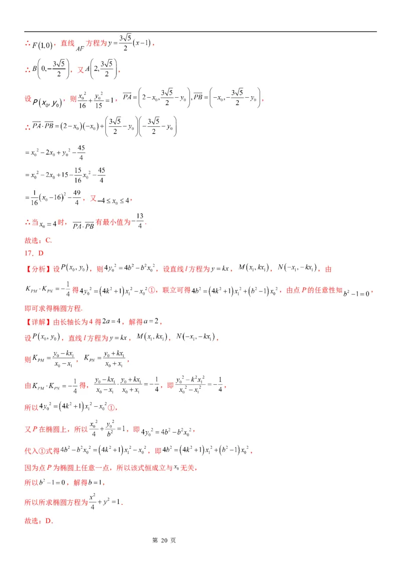
微专题求椭圆的标准方程学案——2023届高考数学一轮《考点·题型·技巧》精讲与精练_2.2025数学总复习_赠品通用版(老高考)复习资料_一轮复习
微专题求椭圆的标准方程学案——2023届高考数学一轮《考点·题型·技巧》精讲与精练_2.2025数学总复习_赠品通用版(老高考)复习资料_一轮复习
微专题求椭圆的标准方程学案——2023届高考数学一轮《考点·题型·技巧》精讲与精练_2.2025数学总复习_赠品通用版(老高考)复习资料_一轮复习
微专题求椭圆的标准方程学案——2023届高考数学一轮《考点·题型·技巧》精讲与精练_2.2025数学总复习_赠品通用版(老高考)复习资料_一轮复习
微专题求椭圆的标准方程学案——2023届高考数学一轮《考点·题型·技巧》精讲与精练_2.2025数学总复习_赠品通用版(老高考)复习资料_一轮复习
微专题求椭圆的标准方程学案——2023届高考数学一轮《考点·题型·技巧》精讲与精练_2.2025数学总复习_赠品通用版(老高考)复习资料_一轮复习
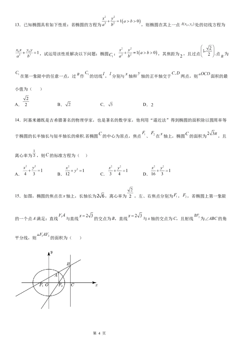
微专题求椭圆的标准方程学案——2023届高考数学一轮《考点·题型·技巧》精讲与精练_2.2025数学总复习_赠品通用版(老高考)复习资料_一轮复习
微专题求椭圆的标准方程学案——2023届高考数学一轮《考点·题型·技巧》精讲与精练_2.2025数学总复习_赠品通用版(老高考)复习资料_一轮复习
微专题求椭圆的标准方程学案——2023届高考数学一轮《考点·题型·技巧》精讲与精练_2.2025数学总复习_赠品通用版(老高考)复习资料_一轮复习
微专题求椭圆的标准方程学案——2023届高考数学一轮《考点·题型·技巧》精讲与精练_2.2025数学总复习_赠品通用版(老高考)复习资料_一轮复习
微专题求椭圆的标准方程学案——2023届高考数学一轮《考点·题型·技巧》精讲与精练_2.2025数学总复习_赠品通用版(老高考)复习资料_一轮复习
微专题求椭圆的标准方程学案——2023届高考数学一轮《考点·题型·技巧》精讲与精练_2.2025数学总复习_赠品通用版(老高考)复习资料_一轮复习
微专题求椭圆的标准方程学案——2023届高考数学一轮《考点·题型·技巧》精讲与精练_2.2025数学总复习_赠品通用版(老高考)复习资料_一轮复习
微专题求椭圆的标准方程学案——2023届高考数学一轮《考点·题型·技巧》精讲与精练_2.2025数学总复习_赠品通用版(老高考)复习资料_一轮复习
微专题求椭圆的标准方程学案——2023届高考数学一轮《考点·题型·技巧》精讲与精练_2.2025数学总复习_赠品通用版(老高考)复习资料_一轮复习
微专题求椭圆的标准方程学案——2023届高考数学一轮《考点·题型·技巧》精讲与精练_2.2025数学总复习_赠品通用版(老高考)复习资料_一轮复习
微专题求椭圆的标准方程学案——2023届高考数学一轮《考点·题型·技巧》精讲与精练_2.2025数学总复习_赠品通用版(老高考)复习资料_一轮复习
微专题求椭圆的标准方程学案——2023届高考数学一轮《考点·题型·技巧》精讲与精练_2.2025数学总复习_赠品通用版(老高考)复习资料_一轮复习
微专题求椭圆的标准方程学案——2023届高考数学一轮《考点·题型·技巧》精讲与精练_2.2025数学总复习_赠品通用版(老高考)复习资料_一轮复习
微专题求椭圆的标准方程学案——2023届高考数学一轮《考点·题型·技巧》精讲与精练_2.2025数学总复习_赠品通用版(老高考)复习资料_一轮复习
微专题求椭圆的标准方程学案——2023届高考数学一轮《考点·题型·技巧》精讲与精练_2.2025数学总复习_赠品通用版(老高考)复习资料_一轮复习
微专题求椭圆的标准方程学案——2023届高考数学一轮《考点·题型·技巧》精讲与精练_2.2025数学总复习_赠品通用版(老高考)复习资料_一轮复习
微专题求椭圆的标准方程学案——2023届高考数学一轮《考点·题型·技巧》精讲与精练_2.2025数学总复习_赠品通用版(老高考)复习资料_一轮复习
微专题求椭圆的标准方程学案——2023届高考数学一轮《考点·题型·技巧》精讲与精练_2.2025数学总复习_赠品通用版(老高考)复习资料_一轮复习
微专题求椭圆的标准方程学案——2023届高考数学一轮《考点·题型·技巧》精讲与精练_2.2025数学总复习_赠品通用版(老高考)复习资料_一轮复习
微专题求椭圆的标准方程学案——2023届高考数学一轮《考点·题型·技巧》精讲与精练_2.2025数学总复习_赠品通用版(老高考)复习资料_一轮复习
微专题求椭圆的标准方程学案——2023届高考数学一轮《考点·题型·技巧》精讲与精练_2.2025数学总复习_赠品通用版(老高考)复习资料_一轮复习
微专题求椭圆的标准方程学案——2023届高考数学一轮《考点·题型·技巧》精讲与精练_2.2025数学总复习_赠品通用版(老高考)复习资料_一轮复习
微专题求椭圆的标准方程学案——2023届高考数学一轮《考点·题型·技巧》精讲与精练_2.2025数学总复习_赠品通用版(老高考)复习资料_一轮复习
微专题求椭圆的标准方程学案——2023届高考数学一轮《考点·题型·技巧》精讲与精练_2.2025数学总复习_赠品通用版(老高考)复习资料_一轮复习
微专题求椭圆的标准方程学案——2023届高考数学一轮《考点·题型·技巧》精讲与精练_2.2025数学总复习_赠品通用版(老高考)复习资料_一轮复习
微专题求椭圆的标准方程学案——2023届高考数学一轮《考点·题型·技巧》精讲与精练_2.2025数学总复习_赠品通用版(老高考)复习资料_一轮复习
微专题求椭圆的标准方程学案——2023届高考数学一轮《考点·题型·技巧》精讲与精练_2.2025数学总复习_赠品通用版(老高考)复习资料_一轮复习
微专题求椭圆的标准方程学案——2023届高考数学一轮《考点·题型·技巧》精讲与精练_2.2025数学总复习_赠品通用版(老高考)复习资料_一轮复习
微专题求椭圆的标准方程学案——2023届高考数学一轮《考点·题型·技巧》精讲与精练_2.2025数学总复习_赠品通用版(老高考)复习资料_一轮复习

文档信息

文档格式
docx
文档大小
2.186 MB
文档页数
40 页
上传时间
2026-03-20 06:19:34

文档内容

微专题:求椭圆的标准方程 【考点梳理】 1. 椭圆的定义 把平面内与两个定点F,F 的距离的和等于常数(大于 | F F|)的点的轨迹叫做椭圆. 这两个定点叫做椭圆的焦点, 1 2 1 2 两焦点间的距离叫做椭圆的焦距,焦距的一半称为半焦距. 在用椭圆定义时,若|FF|=2a,则动点的轨迹不是椭圆,而是连接两定点的线段(包括端点);若|FF|>2a, 1 2 1 2 则轨迹不存在. 2. 椭圆的标准方程和简单几何性质 焦点在x轴上 焦点在y轴上 标准 + = 1(a>b>0) +=1(a>b>0) 方程 图形 a,b,c的关系 a 2 = b 2 + c 2 焦点 F ( - c , 0) , F ( c , 0) F(0,-c),F(0,c) 1 2 1 2 焦距 |FF|=2c 1 2 -a≤x≤a, -b≤x≤b, 范围 -b≤y≤b -a≤y≤a 对称性 对称轴为坐标轴,对称中心为原点 简单几何性质 A(-a,0),A(a,0) A (0 ,- a ) , A (0 , a ) 1 2 1 2 顶点 B(0,-b),B(0,b) B ( - b , 0) , B ( b , 0) 1 2 1 2 轴长 短轴长|BB|=2b,长轴长|AA|=2a 1 2 1 2 离心率 e=,且 e∈ (0 , 1) ,e越接近1,椭圆越扁平 3、求椭圆方程的基本方法是待定系数法,先定形,再定量,即首先确定焦点所在位置,然后根据条件建立关 于a,b的方程组,如果焦点位置不确定,可设椭圆方程为mx2+ny2=1(m>0,n>0,m≠n),求出m,n的值即可. 【题型归纳】 题型一:判断方程是否表示椭圆 1.已知条件 : ,条件 : 表示一个椭圆,则 是 的( ) A.充分不必要条件 B.必要不充分条件 C.充要条件 D.既不充分也不必要条件 2.已知曲线 ,则“ ”是“曲线C是椭圆”的( ) 第 1 页 学学科科网网((北北京京))股股份份有有限限公公司司A.充要条件 B.充分不必要条件 C.必要不充分条件 D.既不充分也不必要条件 3.已知曲线 ,则下列结论正确的是( ) A.若 , ,则C是两条直线,都平行于y轴 B.若 ,则C是圆,其半径为 C.若 ,则C是椭圆.其焦点在 轴上 D.若 ,则C是双曲线,渐近线方程为 题型二:根据方程表示椭圆求参数的范围 4.已知方程 表示焦点在 轴上的椭圆,则 的取值范围是( ) A. B. C. D. 5.若方程 表示的曲线为焦点在 轴上的椭圆,则实数 的取值范围为( ) A. B. C. D. 6.若方程 表示焦点在y轴上的椭圆,则实数m的取值范围是( ) A. B. C. D. 题型三:求椭圆方程 7.已知椭圆 的焦距为2,离心率 ,则椭圆 的标准方程为( ) A. B. C. D. 8.已知 , 是椭圆C的两个焦点,过 且垂直于x轴的直线交椭圆C于A,B两点, ,则椭 圆C的标准方程为( ) 第 2 页 学学科科网网((北北京京))股股份份有有限限公公司司A. B. C. D. 9.已知过椭圆 的左焦点 的直线与椭圆交于不同的两点 , ,与 轴交于点 ,点 , 是线段 的三等分点,则该椭圆的标准方程是( ) A. B. C. D. 【双基达标】 10.关于椭圆 : ,有下列四个命题:甲: ;乙: ;丙: 的焦距为6;丁: 的焦点在 轴上.如果只有一个假命题,则该命题是( ) A.甲 B.乙 C.丙 D.丁 11.阿基米德(公元前 年—公元前 年)不仅是著名的物理学家,也是著名的数学家,他利用“通近法”得到椭 圆的面积除以圆周率等于椭圆的长半轴长与短半轴长的乘积.若椭圆 的对称轴为坐标轴,焦点在 轴上,且椭圆 的离心率为 ,面积为 则椭圆 的方程为( ) A. B. C. D. 12.古希腊数学家阿基米德用“逼近法”得到椭圆面积的4倍除以圆周率等于椭圆的长轴长与短轴长的积.已知 椭圆C的中心在原点,焦点F,F 在y轴上,其面积为8 π,过点F 的直线l与椭圆C交于点A,B且△FAB的 1 2 1 2 周长为32,则椭圆C的方程为( ) A. B. C. D. 第 3 页 学学科科网网((北北京京))股股份份有有限限公公司司13.已知椭圆具有如下性质:若椭圆的方程为 ,则椭圆在其上一点 处的切线方程为 ,试运用该性质解决以下问题:椭圆 : ,其焦距为 ,且过点 .点 为 在第一象限中的任意一点,过 作 的切线 , 分别与 轴和 轴的正半轴交于 两点,则 面积的最 小值为( ) A. B. C. D. 14.阿基米德既是古希腊著名的物理学家,也是著名的数学家,他利用“逼近法”得到椭圆的面积除以圆周率等 于椭圆的长半轴长与短半轴长的乘积.若椭圆 的中心为原点,焦点 、 在 轴上,椭圆 的面积为 ,且 离心率为 ,则 的标准方程为( ) A. B. C. D. 15.如图,椭圆的焦点在x轴上,长轴长为 ,离心率为 ,左、右焦点分别为 , ,若椭圆上第一象限 的一个点A满足:直线 与直线 的交点为B,直线 与x轴的交点为C,且射线 为∠ABC的角 平分线,则 的面积为( ) 第 4 页 学学科科网网((北北京京))股股份份有有限限公公司司A. B. C. D. 16.已知 是椭圆 的右焦点,点 在 上,直线 与 轴交于点 ,点 为C上的动点, 则 的最小值为( ) A. B. C. D. 17.已知椭圆C: 的长轴长为4,若点P是椭圆C上任意一点,过原点的直线l与椭圆相交于 M、N两点,记直线PM、PN的斜率分别为 ,当 时,则椭圆方程为( ) A. B. C. D. 18.“ 表示焦点在 轴上的椭圆”的一个充分不必要条件是( ) A. B. C. D. 19.与椭圆 有相同的焦点,且短半轴长为 的椭圆方程是( ) A. B. C. D. 20.椭圆 的焦点分别为 , ,直线 与 交于 , 两点,若 , ,则 的 方程为( ) A. B. C. D. 21.已知点 是椭圆 上的一点,椭圆的长轴长是焦距的 倍,则该椭圆的方程为 第 5 页 学学科科网网((北北京京))股股份份有有限限公公司司( ) A. B. C. D. 22.已知椭圆 的离心率为 , 分别为C的左、右顶点,B为C的上顶点.若 ,则C的方程为( ) A. B. C. D. 23.“m>n>0”是“方程mx2+ny2=1表示焦点在y轴上的椭圆”的( ) A.充分而不必要条件 B.必要而不充分条件 C.充要条件 D.既不充分也不必要条件 24.焦点在 轴上,右焦点到短轴端点距离为2,到左顶点的距离为3的椭圆的标准方程是( ) A. B. C. D. 25.“ ”是“方程 表示椭圆”的( ) A.充分不必要条件 B.必要不充分条件 C.充分必要条件 D.既不充分也不必要条件 【高分突破】 一、单选题 26.椭圆的焦距为8,且 ,则该椭圆的标准方程是( ) A. B. 或 C. D. 或 第 6 页 学学科科网网((北北京京))股股份份有有限限公公司司27.椭圆 的左、右焦点分别为 , , , 的面积为 ,且 , 则椭圆方程为( ) A. B. C. D. 28.以椭圆 : 的短轴的一个端点和两焦点为项点的三角形为正三角形,且椭圆 上的点到 焦点的最短距离为1,则椭圆 的标准方程为( ) A. B. C. D. 29.已知实数 , , 满足 ,则“ ”是“方程 表示的曲线为椭圆”的( ) A.充分非必要条件 B.必要非充分条件 C.充要条件 D.非充分非必要条件 30.方程 表示椭圆的充要条件是( ) A. B. C. D. 31.过点 ,且与椭圆 有相同焦点的椭圆的标准方程为( ) A. B. C. D. 32.如果方程 表示焦点在 轴上的椭圆,那么实数 的取值范围是( ) A. B. C. , D. 33.已知椭圆C的焦点为 ,过F 的直线与C交于A,B两点.若 , ,则 2 C的方程为 第 7 页 学学科科网网((北北京京))股股份份有有限限公公司司A. B. C. D. 34.已知焦点在 轴上的椭圆 ,且 ,2, 成等差数列, 分别是椭圆的左焦点和右顶点, 是椭圆 上任意一点,则 的最大值为( ) A.8 B.10 C.12 D.16 35.已知命题p:方程 表示焦点在 轴上的椭圆,则使命题 成立的充分不必要条件是( ) A. B. C. D. 36.已知椭圆方程为 的一个焦点是 ,那么 ( ) A. B. C. D. 37.焦点在 轴上,过点 且离心率为 椭圆的标准方程是( ). A. B. C. D. 二、多选题 38.已知椭圆 的左、右焦点分别为 , (如图),离心率为 ,过 的直线 垂直于 x轴,且在第二象限中交E于点A,直线 交E于点B(异于点A),则下列说法正确的是( ) A.若椭圆E的焦距为2,则短轴长为 第 8 页 学学科科网网((北北京京))股股份份有有限限公公司司B. 的周长为4a C.若 的面积为12,则椭圆E的方程为 D. 与 的面积的比值为 39.某房地产建筑公司在挖掘地基时,出土了一件宋代小文物,该文物外面是红色透明蓝田玉材质,里面是一个 球形绿色水晶宝珠,其轴截面(如图)由半椭圆 与半椭圆 组成,其中 ,设点 是相应椭圆的焦点, 和 是轴截面与 轴交点,阴影部分是宝 珠轴截面,其以曲线 为边界, 在宝珠珠面上, 为等边三角形,则以下命题中正确的是 ( ) A.椭圆 的离心率是 B.椭圆 的离心率大于椭圆 的离心率 C.椭圆 的焦点在 轴上 D.椭圆 的长短轴之比大于椭圆 的长短轴之比 40.中心在原点,对称轴为坐标轴,离心率为 ,长轴长为8的椭圆的标准方程是( ) A. B. C. D. 41.已知集合 , 、 ,则对于方程 的说法正确的是( ) A.可表示 个不同的圆 B.可表示 个不同的椭圆 第 9 页 学学科科网网((北北京京))股股份份有有限限公公司司C.可表示 个不同的双曲线 D.表示焦点位于 轴上的椭圆的有 个 42.如图所示,用一个与圆柱底面成 角的平面截圆柱,截面是一个椭圆.若圆柱的底面圆半径为2, ,则( ) A.椭圆的长轴长等于4 B.椭圆的离心率为 C.椭圆的标准方程可以是 D.椭圆上的点到一个焦点的距离的最小值为 43.(多选)已知P为椭圆C上一点,F,F 为椭圆的焦点,且|FF|=2 ,若|PF|+|PF|=2|FF|,则椭圆C的标 1 2 1 2 1 2 1 2 准方程为( ) A. =1 B. =1 C. =1 D. =1 三、填空题 第 10 页 学学科科网网((北北京京))股股份份有有限限公公司司44.椭圆 的两个焦点为 、 ,点P在椭圆C上,且 , , , 则椭圆C的方程为___________. 45.若方程 表示焦点在y轴上的椭圆,则实数k的取值范围是________. 46.如图,已知椭圆 的中心为原点 , 为椭圆 的左焦点, 为椭圆 上一点,满足 且 ,则椭圆 的标准方程为__________. 47.已知方程 + =1表示的曲线为C.给出以下四个判断:①当14或t<1 时,曲线C表示双曲线;③若曲线C表示焦点在x轴上的椭圆,则14.其中判断正确的是________(只填正确命题的序号). 48.已知椭圆 的焦点在坐标轴上,且经过 和 两点,则椭圆 的标准方程为_______. 49.在直角坐标系xoy中,椭圆C的中心为原点,焦点F 1、F 2 在y轴上,离心率为 ,过F 1 的直线l交C于A、B 两点,且 的周长为16,那么C的方程为___________. 四、解答题 50.已知椭圆 : 的离心率为 ,其右焦点到直线 的距离为 . (1)求椭圆 的标准方程; (2)直线 交椭圆 于 , 两点,椭圆右顶点为 ,求证:直线 , 的斜率乘积为定值,并求 出该定值. 第 11 页 学学科科网网((北北京京))股股份份有有限限公公司司51.已知椭圆C : (a>b>0)的右焦点F与抛物线C 的焦点重合,C 的中心与C 的顶点重合.过F且与x 1 2 1 2 轴垂直的直线交C 于A,B两点,交C 于C,D两点,且|CD|= |AB|. 1 2 (1)求C 的离心率; 1 (2)设M是C 与C 的公共点,若|MF|=5,求C 与C 的标准方程. 1 2 1 2 52.已知点 在椭圆 : ( )上,且点 到 的左、右焦点的距离之和为 . (1)求 的方程; (2)设 为坐标原点,若 的弦 的中点在线段 (不含端点 , )上,求 的取值范围. 53.已知M,N是椭圆 的左、右顶点,F是椭圆的右焦点,且 ,点 是 C上一点. (1)求椭圆C的方程; (2)记知过F的直线l与椭圆交于A,B(异于M,N)两点,过点N且垂直于x轴的直线 与线 , 分别交于 P,Q两点,证明: 为定值. 54.如图,已知椭圆 的左顶点为 ,焦距为 ,过点 的直线交椭于点M, N,直线BO与线段AM、线段AN分别交于点P,Q,其中O为坐标原点.记△OMN,△APQ的面积分别为 , . (1)求椭圆的方程; 第 12 页 学学科科网网((北北京京))股股份份有有限限公公司司(2)求 的最大值. 55.已知椭圆 的焦点为 和 ,长轴长为 ,设直线 交椭圆 于 两点. (1)求椭圆 的标准方程; (2)求弦 的中点坐标及 . 第 13 页 学学科科网网((北北京京))股股份份有有限限公公司司参考答案 1.B 【分析】根据曲线方程,结合充分、必要性的定义判断题设条件间的关系. 【详解】由 ,若 ,则 表示一个圆,充分性不成立; 而 表示一个椭圆,则 成立,必要性成立. 所以 是 的必要不充分条件. 故选:B 2.C 【分析】根据已知曲线的方程和椭圆的方程特点,结合充分条件和必要条件的判定即可 【详解】若曲线 是椭圆,则有: 解得: ,且 故“ ”是“曲线C是椭圆”的必要不充分条件 故选:C 3.D 【分析】根据每个选项中 的值或范围,将曲线 化为对应曲线的标准方程,再根据圆锥曲线的性 质判断每个选项是否正确. 【详解】当 , 时, ,即 ,所以C是两条直线,但都不平行于y轴,A错误;当 ,则 ,所以C是圆,其半径为 ,故B错误;当 ,则 , , 所以C是椭圆,其焦点在 轴上,C错误;当 ,则 ,所以C是双曲线,渐近线方程为 ,D正确; 故选:D 4.D 【分析】由题知 ,再解不等式即可. 【详解】解: 方程 表示焦点在 轴上的椭圆, ,解得: . 故选:D. 5.C 【分析】根据题意可得 ,解之即可得解. 第 14 页【详解】解:因为方程 表示的曲线为焦点在 轴上的椭圆, 所以 ,解得 , 所以实数 的取值范围为 . 故选:C. 6.B 【分析】化简方程为椭圆的标准方程,列出不等式 ,即可求解. 【详解】将方程 化为 , 因为是焦点在y轴上的椭圆,可得 ,解得 . 故选:B. 7.C 【分析】由已知条件可得 与 的值,进而得 的值,然后得标准方程. 【详解】由于2c=2,所以c=1, 又因为 ,故 , ,所以椭圆的标准方程为: . 故选:C 8.C 【分析】方法一:构造 并利用 ,从而求出 ,得出椭圆C的标准方程;方法二:若椭圆的 标准方程为 ,则过焦点且垂直于x轴的直线与椭圆相交所得的线段为椭圆的通径,其长为 , 并利用 ,求出 ,从而得出椭圆C的标准方程. 【详解】方法一:由题意,设椭圆C的标准方程 连接 ,如图所示. 由题意,得 , .在 中, ①. 又 ②.由①②,得a=2,所以 ,所以椭圆C的标准方程为 . 第 15 页方法二:由题意,设椭圆C的标准方程为 ,则 ,即 ,又 ,所以 a=2或 (舍去),所以 , , 故椭圆C的标准方程为 . 故选:C. 9.B 【分析】不妨设 在第一象限,由椭圆的左焦点 ,点 , 是线段 的三等分点,易得 , 代入椭圆方程可得 ,又 ,两式相结合即可求解 【详解】 不妨设 在第一象限,由椭圆的左焦点 ,点 , 是线段 的三等分点, 则 为 的中点, 为 中点,所以 ,所以 ,则 即 ,所以 , , 将点坐标代入椭圆方程得 ,即 , 第 16 页又 ,所以 , , 所以椭圆的标准方程是 . 故选:B 10.A 【分析】利用题中的条件,假设甲乙都对,根据逻辑关系可以推出矛盾,进而可以确定选项. 【详解】解:当甲乙为真命题时,椭圆方程为 , 椭圆的焦距为: ,且焦点在 轴上, 此时丙和丁都是假命题,不符合题意,因此甲和乙有一个是假命题. 当乙,丙和丁是真命题时, , , , 此时椭圆方程为: ,符合题意,故甲是假命题. 故选: . 11.A 【分析】由题意,设出椭圆的标准方程为 ,然后根据椭圆的离心率以及椭圆面积列出关于 a、b的方程组,求解方程组即可得答案. 【详解】解:由题意,设椭圆C的方程为 , 因为椭圆 的离心率为 ,面积为 , 所以 ,解得 , 所以椭圆C的方程为 , 故选:A. 12.B 【分析】设椭圆标准方程为 ,根据条件求出 即可. 【详解】∵焦点F,F 在y轴上, 1 2 ∴可设椭圆标准方程为 , 由题意可得 , ∴ ,即 , ∵△FAB的周长为32, 2 第 17 页∴4a=32,则a=8,∴ , 故椭圆方程为 . 故选:B. 13.B 【解析】先根据题意得椭圆的方程为 ,进而设 ,故切线 的方程为: ,进而得 的面积为 ,由 ,结合基本不等式即可得 ,进而得 面积的最小值为 . 【详解】解:根据题意得 ,根据待定系数法得 ,解得 , 所以椭圆的方程为 , 设点 ,由题知过点 与椭圆相切的切线 的方程为: , 所以 , , 所以 的面积为 , 因为 ,当且仅当 时等号成立; 所以 , 所以 面积的最小值为 . 故选:B. 【点睛】本题解题的关键在于根据已知给定的椭圆性质得 的方程为: ,进而表示出 面积 ,再结合基本不等式即可求得.考查运算求解能力,是中档题. 14.A 【分析】设椭圆方程为 ,解方程组 即得解. 【详解】解:设椭圆方程为 , 由题意可知,椭圆 的面积为 ,且 、 、 均为正数, 第 18 页即 ,解得 , 因为椭圆 的焦点在 轴上,所以 的标准方程为 . 故选:A. 15.A 【分析】先求出椭圆方程,结合射线 为∠ABC的角平分线求出 ,进而写出 的直线,联立椭圆解 出A点坐标,即可求出面积. 【详解】设椭圆的方程为 ,则 , , ,故椭圆的方程为 ;又射线 为 的角平分线, 在 和 中由正弦定理得 ,又射线 为∠ABC的角平 分线, 可得 ,则在直角 中 ,故 ,所以直线 : , 点 为直线 与椭圆的交点,联立方程 解得 (舍负), 故 . 故选:A. 16.C 【分析】由题可得椭圆 ,进而可得 ,利用向量数量积的坐标表示可得 ,再结合条件及二次函数的性质即求. 【详解】由题可得 , ∴ ,即椭圆 , 第 19 页∴ ,直线 方程为 , ∴ ,又 , 设 ,则 , , ∴ ,又 , ∴当 时, 有最小值为 . 故选:C. 17.D 【分析】设 ,则 ,设直线l方程为 , , ,由 得 ①,联立可得 ,由点P的任意性知 , 即可求得椭圆方程. 【详解】由长轴长为4得 ,解得 , 设 ,直线l方程为 , , , 则 , , 由 得, ,即 , 所以 ①, 又P在椭圆上,所以 ,即 , 代入①式得 ,即 , 因为点P为椭圆上任意一点,所以该式恒成立与 无关, 所以 ,解得 , 所以所求椭圆方程为 . 故选:D. 第 20 页【点睛】思路点睛:解决直线与椭圆的综合问题时,要注意: (1)注意观察应用题设中的每一个条件,明确确定直线、椭圆的条件; (2)强化有关直线与椭圆联立得出一元二次方程后的运算能力,重视根与系数之间的关系、弦长、斜率、三角形 的面积等问题. 18.C 【分析】由已知条件求得 之间的关系和范围,再根据充分不必要条件的判定,可得选项. 【详解】若 表示焦点在 轴上的椭圆,则需 ,即 ,所以 , 所以“ 表示焦点在 轴上的椭圆”的一个充分不必要条件是 , 故选:C. 【点睛】本题考查方程表示椭圆的条件,以及命题的充分不必要条件的判定,属于中档题. 19.B 【分析】求出椭圆 的焦点坐标,求出所求椭圆的长半轴长,结合椭圆的焦点位置可得出所求椭圆的 标准方程. 【详解】椭圆 的标准方程为 ,该椭圆的焦点坐标为 , 设所求椭圆的长半轴长为 ,则 , 故所求椭圆的标准方程为 . 故选:B. 20.D 【分析】根据所给条件可得出点 的坐标间的关系,代入椭圆方程求出 即可的解. 【详解】因为 ,所以 ,过 作 于 , 由 知, 过点 ,且 ,如图, , 所以 , 第 21 页设 ,则 , 代入椭圆方程可得, ,解得 , 又 ,所以 , 所以椭圆的方程为 , 故选:D 【点睛】关键点点睛:本题考查了椭圆基本量的运算,考查了椭圆的定义,关键点是把几何关系转化为数量关系, 考查了转化思想,有一定的计算量,属于基础题. 21.D 【分析】由长轴长是焦距的 得 ,再把已知点的坐标代入,结合 可解得 得椭圆方程. 【详解】由题意 ,解得 ,所以椭圆方程为 . 故选:D. 22.B 【分析】根据离心率及 ,解得关于 的等量关系式,即可得解. 【详解】解:因为离心率 ,解得 , , 分别为C的左右顶点,则 , B为上顶点,所以 . 所以 ,因为 所以 ,将 代入,解得 , 故椭圆的方程为 . 故选:B. 23.C 【解析】由椭圆的标准方程结合充分必要条件的判定得答案. 【详解】解:若 ,则方程 表示焦点在 轴上的椭圆; 第 22 页反之,若方程 表示焦点在 轴上的椭圆,则 所以“ ”是“方程mx2+ny2=1表示焦点在y轴上的椭圆”的充要条件 故选:C 【点睛】此题考查椭圆的标准方程,考查充分必要条件的判定方法,属于基础题. 24.A 【分析】由题知 ,进而椭圆焦点所在轴求解即可得答案. 【详解】解:因为椭圆的右焦点到短轴端点距离为2,到左顶点的距离为3 所以 ,即 , 所以 , 因为椭圆的焦点在 轴上, 所以椭圆的标准方程是 . 故选:A 25.B 【分析】根据方程 表示椭圆 ,且 2,再判断必要不充分条件即可. 【详解】解:方程 表示椭圆满足 ,解得 ,且 2 所以“ ”是“方程 表示椭圆”的必要不充分条件. 故选:B 26.B 【分析】由已知求得 ,根据焦点所在轴分类得出椭圆方程. 【详解】根据题意, , ,即 , ,则 . 若椭圆的焦点在 轴上,则其标准方程为 ; 若椭圆的焦点在 轴上,则其标准方程为 . 故椭圆的标准方程为 或 . 故选:B. 27.D 【分析】由已知三角形面积得 ,结合等边 及 求得 得椭圆方程. 【详解】由题意可得 ,且 , , 第 23 页解得 , , ,所以椭圆的方程为 , 故选:D. 28.A 【分析】由题意,在正三角形中得到基本量 间的关系,结合焦点到椭圆上的点的最短距离为 ,故可求出 的值,从而可椭圆的方程 【详解】解:因为椭圆短轴的一个端点和两焦点为项点的三角形为正三角形, 所以 , 因为椭圆 上的点到焦点的最短距离为1, 所以 , 所以 , 所以椭圆的方程为 , 故选:A 【点睛】此题考查椭圆的标准方程的求法,考查椭圆的几何性质的应用,属于基础题 29.D 【分析】先求出方程 表示的曲线为椭圆的充要条件,然后根据充分条件,必要条件的定义来判断. 【详解】∵方程 表示的曲线为椭圆,化成椭圆方程的标准形式 ∴ ,即 或 ; 故“ ”推不出“方程 表示的曲线为椭圆”, 充分性不成立; “方程 表示的曲线为椭圆”也推不出“ ”, 必要性不成立; 即“ ”是“方程 表示的曲线为椭圆”的非充分非必要条件. 故选:D. 【点睛】关键点点睛:本题主要考查充分条件和必要条件的判断,熟记椭圆的方程的特点,根据充分条件和必要 条件的定义是解决本题的关键,考查学生的转化与化归能力,属于基础题. 30.B 【解析】根据 为正数且不相等列不等式求解即可. 【详解】方程 表示椭圆则 ,即 ; 第 24 页若 ,则 表示椭圆, 所以方程 表示椭圆的充要条件是 , 故选:B 31.C 【分析】将与椭圆 焦点相同的椭圆的方程设为 ,再将点 代入,求得 的值,即可得出椭圆标准方程. 【详解】设所求椭圆方程为 , 将点 代入,可得 ,解得 ( 舍去), 故所求椭圆的标准方程为 . 故选:C 【点睛】本题主要考查了求与已知椭圆方程有相同焦点的椭圆的标准方程,属于基础题. 32.D 【分析】化曲线方程为椭圆的标准方程,由题意可得 ,求解此不等式可得 的取值范围. 【详解】由方程 ,可得 , 因为方程 表示焦点在 轴上的椭圆,可得 ,解得 . 所以实数 的取值范围是 . 故选:D. 33.B 【分析】由已知可设 ,则 ,得 ,在 中求得 ,再 在 中,由余弦定理得 ,从而可求解. 【详解】法一:如图,由已知可设 ,则 ,由椭圆的定义有 .在 中,由余弦定理推论得 . 在 中,由余弦定理得 ,解得 . 所求椭圆方程为 ,故选B. 第 25 页法二:由已知可设 ,则 ,由椭圆的定义有 .在 和 中,由余弦定理得 ,又 互补, ,两式消去 ,得 ,解得 . 所求 椭圆方程为 ,故选B. 【点睛】本题考查椭圆标准方程及其简单性质,考查数形结合思想、转化与化归的能力,很好的落实了直观想象、 逻辑推理等数学素养. 34.C 【分析】依题意可得 ,根据等差中项的性质可得 ,即可求出 、 ,从而求出椭圆方程,设 ,根据点在椭圆上即可得到 ,再表示出 根据二次函数的性质求出 的最大值; 【详解】解:焦点在 轴上的椭圆 .所以 , 又 ,2, ,成等差数列,所以 ,联立 解得 ,所以椭圆方程为 ,左焦点 ,右顶点 , 设 ,则 ,所以 , , , 时 . 故选:C. 35.B 【分析】若 表示焦点在 轴上的椭圆,可得 即可得 的范围,再选取该范围的一个 第 26 页真子集即可求解. 【详解】若方程 表示焦点在 轴上的椭圆, 则 ,解得: . 所以 成立的充要条件是: . 结合四个选项可知: 成立的充分不必要条件是 , 故选:B. 36.A 【解析】把椭圆 的方程化为标准形式,得到 的值等于4,解方程求出 . 【详解】解:椭圆 即 , 焦点坐标为 , , , , 故选: . 【点睛】本题考查椭圆的标准方程及椭圆的简单性质,利用待定系数法求参数的值,属于基础题. 37.B 【解析】由焦点在 轴上,过点 ,可得: ,由离心率 ,可得 ,根据椭圆性质即可得解. 【详解】由焦点在 轴上,过点 ,可得: , 由离心率 ,可得 , 所以 , 所以椭圆的标准方程为 , 故选:B 【点睛】本题考查了求椭圆方程,考查了椭圆基本量的运算,属于基础题. 38.BCD 【分析】根据椭圆方程的求解以及椭圆的定义,对每个选项进行逐一分析,即可判断和选择. 【详解】对 :若椭圆E的焦距为2,则 ,由离心率 ,则 , 所以 ,则短轴长为 ,故A错误; 对B:根据椭圆的定义, 的周长为4a,故B正确; 对 :由 ,故可得 , ,所以椭圆的方程可写为 , 易知 ,则 ,则 , 第 27 页所以 , , ,则椭圆E的方程为 ,故C正确; 对 :因为 ,所以 ,过点B作 , 则 , ,即 , 设 , , ,则 , 代入椭圆方程 ,整理得 , 解得 或 (舍), 所以 ,故 正确. 故选:BCD. 39.AC 【分析】根据题意求出两个半椭圆的方程,根据两个椭圆方程分别求出离心率、长短轴之比可得答案. 【详解】由半椭圆 的方程和图象可知, ,由半椭圆 的方程和图象可知, , 因为 ,所以 , ,所以半椭圆 的焦点在 轴上, 所以 是半椭圆 的焦点, 、 是半椭圆 的焦点; 依题意可知, ,所以 , 又 为等边三角形,所以 , 所以 , 又因为 ,所以 ,所以 , 所以半椭圆 的方程为 , 又 ,所以 ,所以 , 第 28 页所以半椭圆 的方程为 , 对于A,椭圆 的离心率是 ,故A正确; 对于B,椭圆 的离心率 ,所以 ,故B不正确; 对于C,由 可知,椭圆 的焦点在 轴上,故C正确; 对于D,椭圆 的长短轴之比为 , 椭圆 的长短轴之比为 , 因为 ,所以椭圆 的长短轴之比小于椭圆 的长短轴之比,故D不正确. 故选:AC 【点睛】关键点点睛:根据椭圆的几何性质结合图形求出两个半椭圆方程是本题的解题关键. 40.AC 【解析】由已知列出关于 的方程组,解之可分焦点在x轴上和y轴上,分别得出椭圆的标准方程. 【详解】由已知得 ,解得 ,当焦点在x轴时,椭圆的方程为 ; 当焦点在y轴时,椭圆的方程为 ; 故选:AC. 41.ABD 【解析】根据方程 表示不同的曲线可列举出满足条件的 ,进而可判断各选项的正误. 【详解】对于A选项,若方程 表示圆,则符合条件的 有: 、 、 , A选项正确; 对于B选项,若方程 表示椭圆,则符合条件的 有: 、 、 、 、 、 , B选项正确; 对于C选项,若方程 表示双曲线,则符合条件的 有: 、 、 、 、 、 ,C选项错误; 对于D选项,若方程 表示焦点位于 轴上的椭圆, 第 29 页则符合条件的 有: 、 、 ,故D选项正确. 故选:ABD. 42.BCD 【分析】根据给定图形,求出椭圆长短半轴长 , ,再逐项计算、判断作答. 【详解】设椭圆的长半轴长为 ,短半轴长为 ,半焦距为 ,椭圆长轴在圆柱底面上的投影为圆柱底面圆直径, 则由截面与圆柱底面成锐二面角 得: ,解得 ,A不正确; 显然 ,则 ,离心率 ,B正确; 当以椭圆长轴所在直线为y轴,短轴所在直线为x轴建立平面直角坐标系时,椭圆的标准方程 ,C正确; 椭圆上的点到焦点的距离的最小值为 ,D正确. 故选:BCD 43.AC 【分析】先求出a、b、c,再写出椭圆方程. 【详解】解析:由已知2c=|FF|=2 ,所以c= . 1 2 因为2a=|PF|+|PF|=2|FF|= , 1 2 1 2 所以a=2 .所以b2=a2-c2=9. 故椭圆C的标准方程是 =1或 =1. 故选:AC 【点睛】求椭圆(双曲线、抛物线)的标准方程:先定位(确定焦点的位置),再定量(定量计算,计算a、b、c 的值.) 44. 【分析】利用椭圆的定义可得 ,进而可得 ,即得. 【详解】∵ , , , ∴ ,又 , ∴ , , ∴ , ∴ , ∴椭圆C的方程为 . 第 30 页故答案为: . 45. 【分析】根据方程 表示焦点在y轴上的椭圆列不等式,解不等式求得 的取值范围. 【详解】由于方程 表示焦点在y轴上的椭圆, 所以 ,解得 , 所以 的取值范围是 . 故答案为: 46. 【分析】由已知可得 ,而由 , ,可求出点 的坐标,再将点 的坐标代入椭圆 方程中,再结合 ,可求出 的值. 【详解】解:由题意设椭圆的标准方程为 , 因为 为椭圆 的左焦点,所以 , 因为 ,所以 , 设点 的坐标为 ,则 , 解得 ,则 , 所以点 的坐标为 , 因为 为椭圆 上一点, 所以 因为 ,所以解得 , 所以椭圆的标准方程为 , 故答案为: 【点睛】此题考查的是椭圆的简单的几何性质,考查了运算能力,属于中档题. 47.②③④ 【分析】根据圆的标准方程,椭圆得标准方程,双曲线标准方程,抛物线得标准方程的特征,逐一判断即可得出 第 31 页答案. 【详解】解:对于①,当 ,即 时,曲线C表示圆,又 ,所以当14故②正确; 对于③,若C为焦点在x轴上的椭圆,则4-t>t-1>0.∴14,故④正确. 故答案为:②③④. 48. 【分析】设所求椭圆方程为: ( , , )将 和 的坐标代入方程,即可得到答案; 【详解】设所求椭圆方程为: ( , , )将 和 的坐标代入方程得: ,解得 , 所求椭圆的标准方程为: . 故答案为: . 49. 【分析】结合椭圆的定义可得 ,再结合离心率可求出 的值,从而求出 ,可写出椭圆方程. 【详解】由题可设椭圆方程为 , 由椭圆的定义可知: 的周长为 ,所以 ,解得 ; 因为离心率为 ,所以 ,则 , 所以椭圆的方程为: . 故答案为: . 50.(1) (2)证明见解析,定值 第 32 页【分析】(1)直接利用右焦点到直线 的距离求出 ,再利用离心率即可求解; (2)直接联立求出 , 坐标,表示出斜率相乘即可. (1) 由题意,右焦点 , , , , , , 椭圆 的标准方程 ; (2) 由(1)可得椭圆右顶点 ,由题意,直线 和直线 的斜率存在且不为 , 直线 与椭圆 联立,可得 , 不妨设 , , , , , 直线 和直线 的斜率的积为 , 直线 和直线 的斜率乘积为定值 . 51.(1) ;(2) , . 【分析】(1)求出 、 ,利用 可得出关于 、 的齐次等式,可解得椭圆 的离心率的值; (2)[方法四]由(1)可得出 的方程为 ,联立曲线 与 的方程,求出点 的坐标,利用抛物线 的定义结合 可求得 的值,进而可得出 与 的标准方程. 【详解】(1) , 轴且与椭圆 相交于 、 两点, 则直线 的方程为 , 联立 ,解得 ,则 , 第 33 页抛物线 的方程为 ,联立 , 解得 , , ,即 , , 即 ,即 , ,解得 ,因此,椭圆 的离心率为 ; (2)[方法一]:椭圆的第二定义 由椭圆的第二定义知 ,则有 , 所以 ,即 . 又由 ,得 . 从而 ,解得 . 所以 . 故椭圆 与抛物线 的标准方程分别是 . [方法二]:圆锥曲线统一的极坐标公式 以 为极点,x轴的正半轴为极轴,建立极坐标系. 由(Ⅰ)知 ,又由圆锥曲线统一的极坐标公式 ,得 ,由 ,得 ,两式联立解得 . 故 的标准方程为 , 的标准方程为 . [方法三]:参数方程 第 34 页由(1)知 ,椭圆 的方程为 , {x=2c⋅cosθ,) 所以 的参数方程为 ( 为参数), y=❑√3c⋅sinθ 将它代入抛物线 的方程并化简得 , 解得 或 (舍去), 所以 ,即点M的坐标为 . 又 ,所以由抛物线焦半径公式有 ,即 ,解得 . 故 的标准方程为 , 的标准方程为 . [方法四]【最优解】:利用韦达定理 由(1)知 , ,椭圆 的方程为 , 联立 ,消去 并整理得 , 解得 或 (舍去), 由抛物线的定义可得 ,解得 . 因此,曲线 的标准方程为 , 曲线 的标准方程为 . 【整体点评】(2)方法一:椭圆的第二定义是联系准线与离心率的重要工具,涉及离心率的问题不妨考虑使用第二 定义,很多时候会使得问题简单明了. 方法二:圆锥曲线统一的极坐标公式充分体现了圆锥曲线的统一特征,同时它也是解决圆锥曲线问题的一个不错 的思考方向. 方法三:参数方程是一种重要的数学工具,它将圆锥曲线的问题转化为三角函数的问题,使得原来抽象的问题更 加具体化. 方法四:韦达定理是最常用的处理直线与圆锥曲线位置关系的方法,联立方程之后充分利用韦达定理可以达到设 而不求的效果. 52.(1) ;(2) 【分析】(1)本小题根据已知条件直接求出 , ,再求出椭圆方程即可. (2)本小题先设 、 两点,再将 转化为只含 的表达式,最后根据 的范围确定 的范围,即可 解题. 第 35 页【详解】解:(1)∵点 在椭圆 : ( )上, ∴ ,又∵ , ∴ , . ∴椭圆 的方程: (2)设点 、 的坐标为 , ,则 中点 在线段 上,且 ,则 , 又 , ,两式相减得 , 易知 , ,所以 ,则 . 设 方程为 ,代入 并整理得 . 由 解得 ,又由 ,则 . 由韦达定理得 , , 故 又∵. ∴ 的取值范围是 . 【点睛】本题考查求椭圆的标准方程,相交弦的中点等问题,是偏难题. 53.(1) ; (2)证明见解析. 【分析】(1)由已知条件可得 ,结合椭圆参数关系及点在椭圆上列方程组求椭圆参数,即可得方程. 第 36 页(2)由题设可设直线l为 、 、 ,联立椭圆方程应用韦达定理求 、 ,代入 并化简,即可证结论. (1) 由 ,可得 ,则 . 因为 ,所以 . 因为 是C上一点,则 , 综上,可得 , . 所以椭圆C的方程为 . (2) , , ,依题意直线l与x轴不平行,设直线l的方程为 , ,消去x并化简得 . 设 , ,则 , , 直线 的方程为 ,则 , 直线 的方程为 ,则 , ,得证. 54.(1) (2) 【分析】(1)由已知得 ,然后计算出 可得椭圆方程; (2)设直线MN: ,其中 ,设 , ,直线方程与椭圆方程联立消元后应用韦 达定理得 ,由弦长公式求得弦长 ,求出原点到直线 的距离,得三角形面积 ,由直线方程求 得 坐标,得弦长 ,计算出 点到直线 的距离得面积 ,计算 ,利用换元法、基本不等式可得最大 值. (1) 因为左顶点为 ,所以 , 第 37 页又焦距为 ,所以 ,所以 , 所以椭圆的方程是 . (2) 由题意设直线MN: ,其中 ,设 , , 由 ,消去y整理得 , 且 , 所以 , . 所以 , 又点O到直线MN的距离 , 所以 . 因为P,Q在直线BO上,所以可设 , ,又因为A,P,M三点共线, 所以 ,所以 ,同理 , 所以 . 又点A到直线BO的距离 ,所以. . 设 , 即 (当且仅当 ,即 ,等号成立). 因此, 的最大值是 . 55.(1) ;(2) ; . 【分析】(1)设其方程为 ,求出 即得解; (2)设 ,且 的中点为 ,联立直线和椭圆的方程,利用韦达定理求出弦 的中点坐 第 38 页标及 . 【详解】(1)依题意,椭圆的焦点在 轴上, 设其方程为 . 易知 又 , 故椭圆 的标准方程为 . (2)设 ,且 的中点为 , 由 消去 ,得 . 故 , 则 , 所以弦 的中点 的坐标为 . 【点睛】本题主要考查椭圆的标准方程的求法,考查直线和椭圆的位置关系和弦长的计算,意在考查学生对这些 知识的理解掌握水平. 第 39 页第 40 页