当前位置:首页>文档>微专题导数的几何意义学案-2023届高考数学一轮《考点·题型·技巧》精讲与精练_2.2025数学总复习_赠品通用版(老高考)复习资料_一轮复习

微专题导数的几何意义学案-2023届高考数学一轮《考点·题型·技巧》精讲与精练_2.2025数学总复习_赠品通用版(老高考)复习资料_一轮复习

  • 2026-04-01 15:18:18 2026-03-20 03:45:15

文档预览

微专题导数的几何意义学案-2023届高考数学一轮《考点·题型·技巧》精讲与精练_2.2025数学总复习_赠品通用版(老高考)复习资料_一轮复习
微专题导数的几何意义学案-2023届高考数学一轮《考点·题型·技巧》精讲与精练_2.2025数学总复习_赠品通用版(老高考)复习资料_一轮复习
微专题导数的几何意义学案-2023届高考数学一轮《考点·题型·技巧》精讲与精练_2.2025数学总复习_赠品通用版(老高考)复习资料_一轮复习
微专题导数的几何意义学案-2023届高考数学一轮《考点·题型·技巧》精讲与精练_2.2025数学总复习_赠品通用版(老高考)复习资料_一轮复习
微专题导数的几何意义学案-2023届高考数学一轮《考点·题型·技巧》精讲与精练_2.2025数学总复习_赠品通用版(老高考)复习资料_一轮复习
微专题导数的几何意义学案-2023届高考数学一轮《考点·题型·技巧》精讲与精练_2.2025数学总复习_赠品通用版(老高考)复习资料_一轮复习
微专题导数的几何意义学案-2023届高考数学一轮《考点·题型·技巧》精讲与精练_2.2025数学总复习_赠品通用版(老高考)复习资料_一轮复习
微专题导数的几何意义学案-2023届高考数学一轮《考点·题型·技巧》精讲与精练_2.2025数学总复习_赠品通用版(老高考)复习资料_一轮复习
微专题导数的几何意义学案-2023届高考数学一轮《考点·题型·技巧》精讲与精练_2.2025数学总复习_赠品通用版(老高考)复习资料_一轮复习
微专题导数的几何意义学案-2023届高考数学一轮《考点·题型·技巧》精讲与精练_2.2025数学总复习_赠品通用版(老高考)复习资料_一轮复习
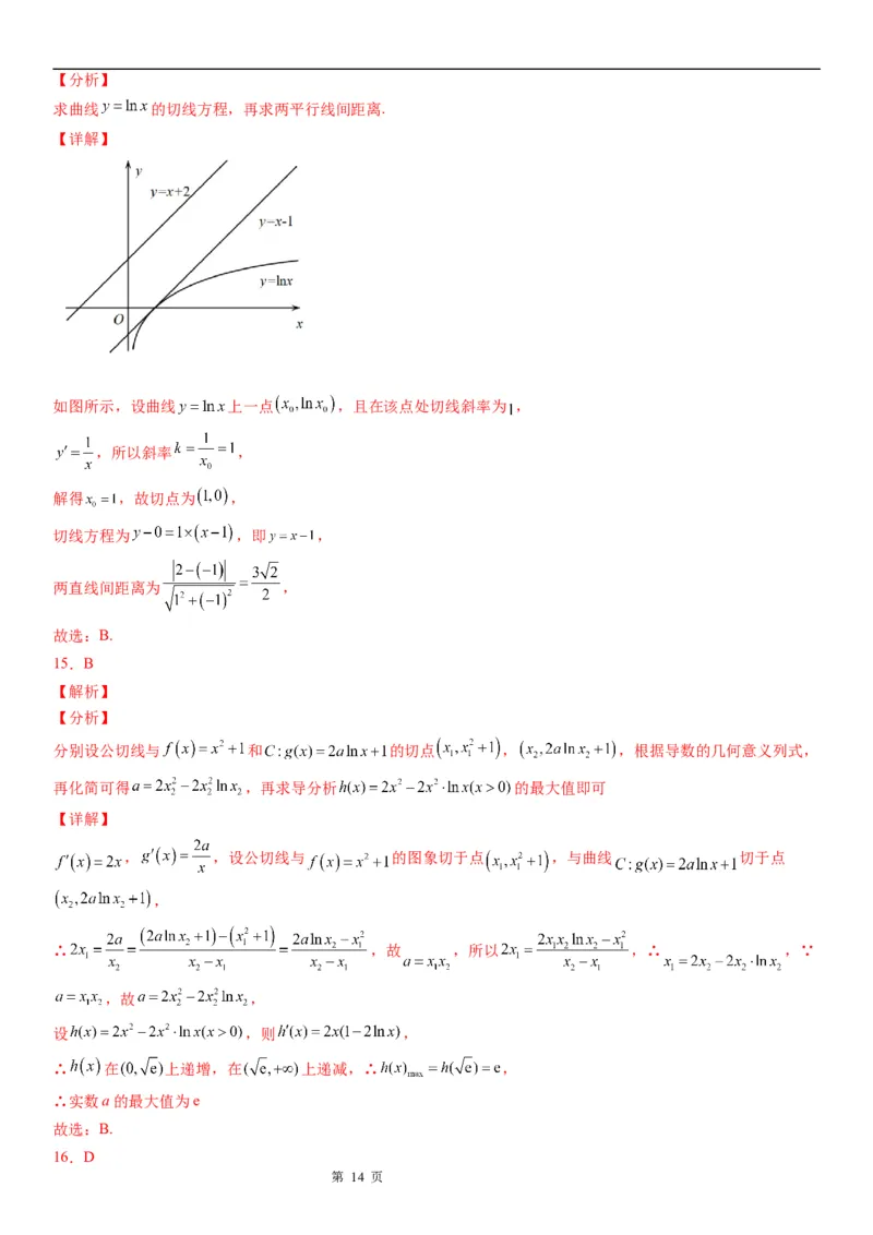
微专题导数的几何意义学案-2023届高考数学一轮《考点·题型·技巧》精讲与精练_2.2025数学总复习_赠品通用版(老高考)复习资料_一轮复习
微专题导数的几何意义学案-2023届高考数学一轮《考点·题型·技巧》精讲与精练_2.2025数学总复习_赠品通用版(老高考)复习资料_一轮复习
微专题导数的几何意义学案-2023届高考数学一轮《考点·题型·技巧》精讲与精练_2.2025数学总复习_赠品通用版(老高考)复习资料_一轮复习
微专题导数的几何意义学案-2023届高考数学一轮《考点·题型·技巧》精讲与精练_2.2025数学总复习_赠品通用版(老高考)复习资料_一轮复习
微专题导数的几何意义学案-2023届高考数学一轮《考点·题型·技巧》精讲与精练_2.2025数学总复习_赠品通用版(老高考)复习资料_一轮复习
微专题导数的几何意义学案-2023届高考数学一轮《考点·题型·技巧》精讲与精练_2.2025数学总复习_赠品通用版(老高考)复习资料_一轮复习
微专题导数的几何意义学案-2023届高考数学一轮《考点·题型·技巧》精讲与精练_2.2025数学总复习_赠品通用版(老高考)复习资料_一轮复习
微专题导数的几何意义学案-2023届高考数学一轮《考点·题型·技巧》精讲与精练_2.2025数学总复习_赠品通用版(老高考)复习资料_一轮复习
微专题导数的几何意义学案-2023届高考数学一轮《考点·题型·技巧》精讲与精练_2.2025数学总复习_赠品通用版(老高考)复习资料_一轮复习
微专题导数的几何意义学案-2023届高考数学一轮《考点·题型·技巧》精讲与精练_2.2025数学总复习_赠品通用版(老高考)复习资料_一轮复习
微专题导数的几何意义学案-2023届高考数学一轮《考点·题型·技巧》精讲与精练_2.2025数学总复习_赠品通用版(老高考)复习资料_一轮复习
微专题导数的几何意义学案-2023届高考数学一轮《考点·题型·技巧》精讲与精练_2.2025数学总复习_赠品通用版(老高考)复习资料_一轮复习
微专题导数的几何意义学案-2023届高考数学一轮《考点·题型·技巧》精讲与精练_2.2025数学总复习_赠品通用版(老高考)复习资料_一轮复习
微专题导数的几何意义学案-2023届高考数学一轮《考点·题型·技巧》精讲与精练_2.2025数学总复习_赠品通用版(老高考)复习资料_一轮复习
微专题导数的几何意义学案-2023届高考数学一轮《考点·题型·技巧》精讲与精练_2.2025数学总复习_赠品通用版(老高考)复习资料_一轮复习
微专题导数的几何意义学案-2023届高考数学一轮《考点·题型·技巧》精讲与精练_2.2025数学总复习_赠品通用版(老高考)复习资料_一轮复习
微专题导数的几何意义学案-2023届高考数学一轮《考点·题型·技巧》精讲与精练_2.2025数学总复习_赠品通用版(老高考)复习资料_一轮复习
微专题导数的几何意义学案-2023届高考数学一轮《考点·题型·技巧》精讲与精练_2.2025数学总复习_赠品通用版(老高考)复习资料_一轮复习
微专题导数的几何意义学案-2023届高考数学一轮《考点·题型·技巧》精讲与精练_2.2025数学总复习_赠品通用版(老高考)复习资料_一轮复习
微专题导数的几何意义学案-2023届高考数学一轮《考点·题型·技巧》精讲与精练_2.2025数学总复习_赠品通用版(老高考)复习资料_一轮复习
微专题导数的几何意义学案-2023届高考数学一轮《考点·题型·技巧》精讲与精练_2.2025数学总复习_赠品通用版(老高考)复习资料_一轮复习
微专题导数的几何意义学案-2023届高考数学一轮《考点·题型·技巧》精讲与精练_2.2025数学总复习_赠品通用版(老高考)复习资料_一轮复习
微专题导数的几何意义学案-2023届高考数学一轮《考点·题型·技巧》精讲与精练_2.2025数学总复习_赠品通用版(老高考)复习资料_一轮复习
微专题导数的几何意义学案-2023届高考数学一轮《考点·题型·技巧》精讲与精练_2.2025数学总复习_赠品通用版(老高考)复习资料_一轮复习
微专题导数的几何意义学案-2023届高考数学一轮《考点·题型·技巧》精讲与精练_2.2025数学总复习_赠品通用版(老高考)复习资料_一轮复习
微专题导数的几何意义学案-2023届高考数学一轮《考点·题型·技巧》精讲与精练_2.2025数学总复习_赠品通用版(老高考)复习资料_一轮复习
微专题导数的几何意义学案-2023届高考数学一轮《考点·题型·技巧》精讲与精练_2.2025数学总复习_赠品通用版(老高考)复习资料_一轮复习
微专题导数的几何意义学案-2023届高考数学一轮《考点·题型·技巧》精讲与精练_2.2025数学总复习_赠品通用版(老高考)复习资料_一轮复习
微专题导数的几何意义学案-2023届高考数学一轮《考点·题型·技巧》精讲与精练_2.2025数学总复习_赠品通用版(老高考)复习资料_一轮复习

文档信息

文档格式
docx
文档大小
2.111 MB
文档页数
39 页
上传时间
2026-03-20 03:45:15

文档内容

微专题:导数的几何意义 【考点梳理】 1、导数的几何意义是曲线上一点处切线的斜率. 2、曲线切线方程的求法:①以曲线上的点(x ,f(x))为切点的切线方程的求解步骤:求出函数 f(x)的导数f′ 0 0 (x);求切线的斜率f′(x);写出切线方程y-f(x)=f′(x)·(x-x),并化简;②如果已知点(x,y)不在曲线上,则设出 0 0 0 0 1 1 切点(x ,y),解方程组得切点(x ,y),进而确定切线方程. 求切线方程时,要注意判断已知点是否满足曲线方程, 0 0 0 0 即是否在曲线上;与曲线只有一个公共点的直线不一定是曲线的切线,曲线的切线与曲线的公共点不一定只有一 个. 3、处理与公切线有关的参数问题,通常根据曲线、切线、切点的三个关系列出参数的方程(组)并解出参数, 建立方程(组)的依据主要是:①切点处的导数是切线的斜率;②切点在切线上;③切点在曲线上. 【题型归纳】 题型一:求曲线切线的斜率(倾斜角) 1.已知函数 ,则 的图象在点 处的切线的斜率为( ) A. 3 B.3 C. 5 D.5 2.曲线 在点(1,-2)处的切线的倾斜角为( ) A. B. C. D. 3.已知函数 的图像如图所示,则 是 的导函数,则下列数值排序正确的是( ) A. B. C. D. 题型二:求在曲线上一点处的切线方程(斜率) 第 1 页 学学科科网网((北北京京))股股份份有有限限公公司司4.已知函数 ,则曲线 在点 处的切线方程为( ) A. B. C. D. 5.曲线 在点 的切线的方程为( ) A. B. C. D. 6.已知函数 ,则曲线 在点 处的切线方程为( ) A. B. C. D. 题型三:求过一点的切线方程 7.直线 过点 且与曲线 相切,则直线 的倾斜角为( ) A. B. C. D. 8.若曲线y=的一条切线经过点(8,3),则此切线的斜率为 ( ) A. B. C. 或 D. 或 9.若过点 作曲线 的切线,则这样的切线共有( ) A.0条 B.1条 C.2条 D.3条 题型四: 已知切线(斜率)求参数 10.函数 存在与直线 平行的切线,则实数 的取值范围是( ) A. B. C. D. 11.直线 与曲线 相切,则 的值为( ) A.2 B.-2 C.-1 D.1 12.若曲线 在点 处的切线方程为 ,则 ( ) A.3 B. C.2 D. 第 2 页 学学科科网网((北北京京))股股份份有有限限公公司司题型五:两条切线平行、垂直、重合(公切线)问题 13.若函数 的图象与函数 的图象有公切线 ,且直线 与直线 互相 垂直,则实数 ( ) A. B. C. 或 D. 或 14.曲线 上的点到直线 的最短距离是( ) A. B. C. D. 15.若函数 与 的图象存在公共切线,则实数a的最大值为( ) A. B. C. D. 【双基达标】 16.若曲线 在点 处的切线方程为 ,则 ( ) A.3 B. C.2 D. 17.函数 在点 处的切线方程为( ) A. B. C. D. 18.曲线 在 处的切线的倾斜角是( ) A. B. C. D. 19.若函数 的图象上存在两个不同的点 ,使得曲线 在这两点处的切线重合,称函数 为“自重合”函数.下列函数中是“自重合”函数的为( ) A. B. 第 3 页 学学科科网网((北北京京))股股份份有有限限公公司司C. D. 20.已知曲线 在点 处的切线方程为 ,则 A. B. C. D. 21.已知M为抛物线 上一点,C在点M处的切线 交C的准线于点P,过点P向C再作另 一条切线 ,则 的方程为( ) A. B. C. D. 22.若直线l与曲线y= 和x2+y2= 都相切,则l的方程为( ) A.y=2x+1 B.y=2x+ C.y= x+1 D.y= x+ 23.将曲线 上所有点的横坐标不变,纵坐标缩小为原来的 ,得到曲线 ,则 上到直线 距离最短的点坐标为( ) A. B. C. D. 24.已知函数 的图像在 处的切线斜率为 ,则“ ”是 “ ”的( ) A.充要条件 B.充分不必要条件 C.必要不充分条件 D.既不充分也不必要条件 25.某地响应全民冰雪运动的号召,建立了一个滑雪场.该滑雪场中某滑道的示意图如下所示, 点、 点分别 为滑道的起点和终点,它们在竖直方向的高度差为 .两点之间为滑雪弯道,相应的曲线可近似看作某三次函 数图像的一部分.综合考安全性与趣味性,在滑道的最陡处,滑雪者的身体与地面约成 的夹角.若还要 兼顾滑道的美观性与滑雪者的滑雪体验,则 、 两点在水平方向的距离约为( ) A. B. C. D. 第 4 页 学学科科网网((北北京京))股股份份有有限限公公司司26.已知函数 ,则曲线 在点 处的切线方程为( ) A. B. C. D. 27.曲线 在点 处的切线斜率为8,则实数 的值为( ) A. B.6 C.12 D. 28.若过点 可以作曲线 的两条切线,则( ) A. B. C. D. 29.下列说法正确的是( ). A.曲线的切线和曲线有交点,这点一定是切点 B.过曲线上一点作曲线的切线,这点一定是切点 C.若 不存在,则曲线 在点 处无切线 D.若曲线 在点 处有切线,则 不一定存在 30.曲线y=2sinx+cosx在点(π,–1)处的切线方程为 A. B. C. D. 【高分突破】 一、单选题 31.如图,函数 的图象在点 处的切线是l,则 ( ) 第 5 页 学学科科网网((北北京京))股股份份有有限限公公司司A.-3 B.-2 C.2 D.1 32.设曲线 (e=2.718…为自然对数的底数)在点 处的切线及直线 和两坐标轴的正半轴所围 成的四边形有外接圆,则 ( ) A. B. C. D.1 33.已知直线 与曲线 相切,则 ( ) A.1 B. C.0 D. 34.已知函数 ,若 恒成立,则实数 的取值范围为( ) A. B. C. D. 35.已知函数 ,则函数 的图象在点 处的切线斜率为( ) A. B. C. D. 36.某个国家某种病毒传播的中期,感染人数 和时间 (单位:天)在 天里的散点图如图所示,下面四个回 归方程类型中最适宜作为感染人数 和时间 的回归方程类型的是( ) 第 6 页 学学科科网网((北北京京))股股份份有有限限公公司司A. B. C. D. 37.若直线 为函数 图像的切线,则它们的切点的坐标为( ) A. B. C. 或 D. 或 38.已知曲线 在点 处的切线与直线 垂直,则实数 的值为( ) A. B. C. D. 39.曲线 在点 处的切线方程是( ) A. B. C. D. 40.函数 在 处的切线方程为( ) A. B. C. D. 二、多选题 41.若直线 是函数 图像的一条切线,则函数 可以是( ) A. B. C. D. 42.已知曲线 上存在两条斜率为3的不同切线,且切点的横坐标都大于零,则实数 可能的 取值( ) A. B.3 C. D. 第 7 页 学学科科网网((北北京京))股股份份有有限限公公司司43.设函数 ,则下列选项中正确的是( ) A. 为奇函数 B.函数 有两个零点 C.函数 的图象关于点 对称 D.过原点与函数 相切的直线有且只有一条 44.已知函数 ,则下列结论正确的是( ) A.当 时,曲线 在点 处的切线方程为 B.当 时, 在定义域内为增函数 C.当 时, 既存在极大值又存在极小值 D.当 时, 恰有3个零点 ,且 三、填空题 45.曲线 在点 处的切线方程为_____________________. 46.已知曲线 : ,若过曲线 外一点 引曲线 的两条切线,它们的倾斜角互补,则实数 的值为______. 47.函数 ( )的图象在点 处的切线与 轴交点的横坐标为 ,其中 ,若 ,则 =_____________. 48.已知函数 ,若直线 与曲线 相切,求 最大值_____________. 49.曲线 在 处的切线方程为______. 50.曲线 在点 处的切线方程为___________. 四、解答题 51.已知抛物线 的焦点为 ,且 与圆 上点的距离的最小值为 . (1)求 ; 第 8 页 学学科科网网((北北京京))股股份份有有限限公公司司(2)若点 在 上, 是 的两条切线, 是切点,求 面积的最大值. 52.已知函数 ,从① 是函数 的一个极值点,②函数 的图象在 处的切线方程为 这两个条件中任选一个作为已知条件,并回答下列问题. (1)求a的值; (2)求 的单调区间. 53.已知函数 (a为常数)在 处的切线方程为 . (1)求a的值,并讨论 的单调性; (2)若 ,求证 . 54.已知函数 . (1)求导函数 ; (2)若曲线 在点 处的切线方程为 ,求a,b的值. 55.设函数 (1)求曲线 在点 处的切线方程; (2)求函数 的极值. 第 9 页 学学科科网网((北北京京))股股份份有有限限公公司司参考答案 1.B 【解析】 【分析】 利用导函数可求出 ,然后利导数的几何意义即得. 【详解】 由题可得 ,令 ,得 , 所以 ,即 , 所以 的图象在点 处的切线的斜率为 . 故选:B. 2.B 【解析】 【分析】 根据导数的几何意义求解. 【详解】 因为 ,所以 ,故所求切线的倾斜角为 . 故选:B. 3.A 【解析】 【分析】 由导数的几何意义结合斜率公式判断即可. 【详解】 函数 在 处的切线为 ,在 处的切线为 , 为过 , 两点的直线 的斜率,由图可知, 直线 ,即 故选:A 第 10 页【点睛】 4.A 【解析】 【分析】 先求导数,令 ,计算 的值 ,得到 , ,计算斜率 ,用点斜式写出 直线方程即可. 【详解】 因为 ,令 ,则 ,所以 ,则 , , , ,所以切线方程为: 故选:A. 5.B 【解析】 【分析】 根据导数的几何意义,即可求解. 【详解】 由题意可得 ,∴ ,即 , ∴切线方程为 . 故选: B 6.A 【解析】 【分析】 利用导数的几何意义,即可求解. 【详解】 , , , , 所以函数 在点 处的切线方程为 , 即 . 故选:A 7.B 【解析】 【分析】 设切点为 ,根据切线所过的点可求 ,从而可求直线的倾斜角. 【详解】 ,设切点为 ,切线 的倾斜角为 , 则 且 ,故 , 第 11 页故 ,故 , 故选:B 8.C 【解析】 由题意,设切点坐标为(x,),由y==x,得y′=,则切线斜率k=,则曲线在切点处的切线方程为y-= (x- 0 x), 0 又切线过点(8,3),所以3-= (8-x),整理得x-6+8=0,解得=4或2,所以切线斜率k=或. 故选C. 0 0 9.C 【解析】 【分析】 设切点为 ,求出函数的导函数,即可求出切线方程,再根据点 在切线上,即可代入切线方程,解得 , 即可得解; 【详解】 解:设切点为 ,由 ,所以 ,所以 , 所以切线方程为 ,即 ,因为切线过点 , 所以 , 解得 或 , 所以过点 作曲线 的切线可以作2条, 故选:C 10.B 【解析】 【分析】 先求导数,利用导数的几何意义可求答案. 【详解】 函数 存在与直线 平行的切线,即 在 上有解, 而 ,所以 ,因为 ,所以 ,所以 . 所以 的取值范围是 . 当直线 就是 的切线时,设切点坐标 , 可得 ,解得 . 所以实数 的取值范围是: . 故选:B. 11.D 第 12 页【解析】 【分析】 求出 ,设切点 ,由 求出 ,代入 可得答案. 【详解】 ,设切点 ,由 , 所以 ,代入 ,得 . 故选:D. 12.C 【解析】 【分析】 由 求得 值,然后利用 是切点可求得 值. 【详解】 ,由已知 , ,即 , , 所以 , . 故选:C. 13.D 【解析】 【分析】 根据垂直性质可得 ,再求导根据导数的几何意义可得切线 的方程为 ,再设函数 与直线 切于点 ,列式求解即可 【详解】 由题知, ,令 ,又 ,解得 ,因为 ,所以切线 的方程为 . , 设函数 与直线 切于点 , 所以 ,故 , 即 , ,解得 或 . 故选:D 14.B 【解析】 第 13 页【分析】 求曲线 的切线方程,再求两平行线间距离. 【详解】 如图所示,设曲线 上一点 ,且在该点处切线斜率为 , ,所以斜率 , 解得 ,故切点为 , 切线方程为 ,即 , 两直线间距离为 , 故选:B. 15.B 【解析】 【分析】 分别设公切线与 和 的切点 , ,根据导数的几何意义列式, 再化简可得 ,再求导分析 的最大值即可 【详解】 , ,设公切线与 的图象切于点 ,与曲线 切于点 , ∴ ,故 ,所以 ,∴ ,∵ ,故 , 设 ,则 , ∴ 在 上递增,在 上递减,∴ , ∴实数a的最大值为e 故选:B. 16.D 第 14 页【解析】 【分析】 由导数求出参数 ,将切点代入切线方程即可求出 . 【详解】 ,依题意可得 ,即 ,因为 ,所以 . 故选:D 17.A 【解析】 【分析】 由已知结合导数的几何意义及计算即可求解 【详解】 ,求导得 , 则当 时, ,所以切线的斜率为2. 又当 时, ,所以切点为 . 所以切线方程为 . 故选:A 【点睛】 方法点睛:本题考查了利用导数的几何意义求曲线在某点处的切线方程,求切线常见考法: (1)已知切点 求斜率k,即求该点处的导数值: . (2)已知斜率k,求切点 ,即解方程 . (3)若求过点 的切线方程,可设切点为 ,由 ,求解即可. 18.B 【解析】 【分析】 求出导函数,即可得到结果. 【详解】 ∵ ,∴ ∴ , ∴曲线 在 处的切线的倾斜角是 , 故选:B 19.D 【解析】 【分析】 切线在两点处切线重合,先保证在不同点处导数相同,则A,B错误,导数相同的情况下,确定切线相同,故C错 误;D选项中,能够找到导数相同,且切线相同的两个点,所以正确 第 15 页【详解】 若曲线 在这两点处的切线重合,首先要保证两点处导数相同;A选项中, ;B选项中, ; 导数为单调函数,切点不同时,导数值不同,所以切线不可能重合,所以 错误; C选项中, ,若斜率相同,则切点为 和 ,代入解得切线方程分别为: 和 ,若切线重合,则 ,此时两切点为同一点,不符合题意,故C错误; D选项中, ,令 得: ,则有点 ,切线分别为 和 ,存在不同的两点使得切线重合,故D正确 故选:D 【点睛】 题目是新定义的题型,本质是求不同两点处的切线,保证切线相同,所以可以先保证斜率相同,在斜率相同的情 况下,求出切线所过的点,写出切线方程,保证方程相同 20.D 【解析】 通过求导数,确定得到切线斜率的表达式,求得 ,将点的坐标代入直线方程,求得 . 【详解】 详解: , 将 代入 得 ,故选D. 【点睛】 本题关键得到含有a,b的等式,利用导数几何意义和点在曲线上得到方程关系. 21.D 【解析】 【分析】 先根据C在点M处的切线 ,求出 的值,再求得点 ,然后再求过点 抛物线的切线方程. 【详解】 设 ,由题意知, ,则 , C在点M处的切线 ,所以 所以 ,则 , 将 代入 的方程可得 ,即 抛物线 的准线方程为: 则 .设 与曲线C的切点为 , 第 16 页则 ,解得 或 (舍去), 则 ,所以 的方程为 . 故选:D 【点睛】 本题考查利用导数求曲线在某点和过某点的切线方程,属于中档题. 22.D 【解析】 【分析】 根据导数的几何意义设出直线 的方程,再由直线与圆相切的性质,即可得出答案. 【详解】 设直线 在曲线 上的切点为 ,则 , 函数 的导数为 ,则直线 的斜率 , 设直线 的方程为 ,即 , 由于直线 与圆 相切,则 , 两边平方并整理得 ,解得 , (舍), 则直线 的方程为 ,即 . 故选:D. 【点睛】 本题主要考查了导数的几何意义的应用以及直线与圆的位置的应用,属于中档题. 23.B 【解析】 【分析】 先利用函数图象的变换得到曲线 对应函数,将曲线 上点到直线 的最短距离转化为曲线 在某 点处的切线和所给直线平行,再利用导数的几何意义进行求解. 【详解】 将 化为 , 则将曲线 上所有点的横坐标不变,纵坐标缩小为原来的 , 得到曲线 ,即 , 要使曲线 上的点到直线 的距离最短, 第 17 页只需曲线 上在该点处的切线和直线 平行, 设曲线 上该点为 , 因为 ,且 的斜率为 , 所以 ,解得 或 (舍), 即该点坐标为 . 故选:B. 24.A 【解析】 【分析】 本题首先可根据 得出 ,然后求解 ,得出 ,即可得出结果. 【详解】 因为 ,所以 , , 若 ,则 ,解得 , 故“ ”是 “ ”的充要条件, 故选:A. 25.D 【解析】 【分析】 以滑道的最陡处为原点 建立平面直角坐标系,由题意可知, 为 的中点,设三次函数的解析式为 ,其中 ,设点 ,则 ,在滑道最陡处,设滑雪者的身体与地面所成角 为 ,由题意得出 , ,求出 ,即可得解. 【详解】 以滑道的最陡处为原点 建立平面直角坐标系,由题意可知, 为 的中点, 第 18 页设三次函数的解析式为 ,其中 ,设点 ,则 , ,在滑道最陡处, , 则 的对称轴为直线 ,则 ,可得 ,则 , , 在滑道最陡处,设滑雪者的身体与地面所成角为 , 则 , 所以, , , 由图可知 ,可得 , ,则 . 故选:D. 26.C 【解析】 【分析】 求出函数的导函数即可求出 ,再根据点斜式求出切线方程; 【详解】 解:∵ 的导数为 , ∴ .∵ ,∴曲线 在点 处的切线方程为 ,即 . 故选:C. 27.A 【解析】 先求导函数,再利用导数的几何意义,建立方程,即可求得 的值. 【详解】 第 19 页由 ,得 , 则曲线 在点 处的切线斜率为 ,得 . 故选:A. 【点睛】 本题考查导数的几何意义,函数导数的计算,考查学生的计算能力,属于基础题. 28.D 【解析】 【分析】 解法一:根据导数几何意义求得切线方程,再构造函数,利用导数研究函数图象,结合图形确定结果; 解法二:画出曲线 的图象,根据直观即可判定点 在曲线下方和 轴上方时才可以作出两条切线. 【详解】 在曲线 上任取一点 ,对函数 求导得 , 所以,曲线 在点 处的切线方程为 ,即 , 由题意可知,点 在直线 上,可得 , 令 ,则 . 当 时, ,此时函数 单调递增, 当 时, ,此时函数 单调递减, 所以, , 由题意可知,直线 与曲线 的图象有两个交点,则 , 当 时, ,当 时, ,作出函数 的图象如下图所示: 由图可知,当 时,直线 与曲线 的图象有两个交点. 第 20 页故选:D. 解法二:画出函数曲线 的图象如图所示,根据直观即可判定点 在曲线下方和 轴上方时才可以作出两 条切线.由此可知 . 故选:D. 【点睛】 解法一是严格的证明求解方法,其中的极限处理在中学知识范围内需要用到指数函数的增长特性进行估计,解法 二是根据基于对指数函数的图象的清晰的理解与认识的基础上,直观解决问题的有效方法. 29.D 【解析】 【分析】 结合导数的运算以及导数的几何意义举例子可判断A、B、C、D;进而可得正确选项. 【详解】 对于A:曲线的切线与曲线的交点不一定唯一,如曲线 在 处的切线为: , 即 ,切线与 另一个交点为 , 故选项A说法错误; 对于B:过曲线上一点作曲线的切线,这点不一定是切点,如 与 相切于点 ,同时经过另一点 ,可以说过点 的直线 与曲线 相切,但切点是 不是 ,故选项B不正确; 对于C:若 不存在,曲线 在点 处可以有切线,如 在 时, 不存在,但有 切线 ,故选项C错误; 第 21 页对于D:由曲线在一点处有平行于 轴的切线,且在该点处不连续,则 不一定存在,如 在 时, 有切线 ,但 不存在,故选项D正确, 故选:D. 30.C 【解析】 【分析】 先判定点 是否为切点,再利用导数的几何意义求解. 【详解】 当 时, ,即点 在曲线 上. 则 在点 处的切线方程为 ,即 .故选C. 【点睛】 本题考查利用导数工具研究曲线的切线方程,渗透了直观想象、逻辑推理和数学运算素养.采取导数法,利用函 数与方程思想解题.学生易在非切点处直接求导数而出错,首先证明已知点是否为切点,若是切点,可以直接利 用导数求解;若不是切点,设出切点,再求导,然后列出切线方程. 31.D 【解析】 【分析】 由题图求得函数 的图象在点P处的切线方程,再求得 , ,从而求得答案. 【详解】 解:由题图可得函数 的图象在点P处的切线与x轴交于点 ,与y轴交于点 ,则切线 , , , , 故选:D. 32.B 【解析】 【分析】 由导数的几何意义,求得切线的方程 ,根据围成的四边形有外接圆,得到切线与直线 垂直, 列出方程,即可求解. 【详解】 由题意,函数 ,可得 ,则 , 即曲线 在点 处的切线的斜率为 , 所以切线方程为 ,即 , 要使得切线与直线 和两坐标轴的正半轴所围成的四边形有外接圆, 则满足两直线垂直,即 ,解得 . 故选:B. 33.B 第 22 页【解析】 【分析】 设直线 与曲线 相切时,切点坐标为 ,求导 ,且 ,解出 和 的值. 【详解】 设切点坐标为 ,求导得 ,则 ,得 ,又 ,得 . 故选:B. 34.A 【解析】 【分析】 由 在 和 上的单调性,画出 的图象,分别求得当 与 相切时, 当 和 相切时,切点的坐标,求得对应的 值,结合函数图象即可求得范围. 【详解】 |恒成立可以转化为函数 的图象不在 图象的下方, ∵当 时, ,∴ , ∴ 在 上单调递减,且 , 又∵当 时, , ∴ 在 上单调递增,且 , 画出函数图象如下图所示, , 当 和 相切时,设切点的横坐标为 , ∴ ,即 ,解得 ,∴切点坐标为 , ∴此时 ,结合图象可知 , 当 和 相切时,设切点的横坐标为 , ∴ ,即 ,解得 ,∴切点坐标为 , ∴此时 ,结合图象可知 , 则实数 的取值范围为 , 故选: . 第 23 页35.A 【解析】 【分析】 对函数 求导,然后令 ,可得出关于 的等式,求出 的值,由此可得出结果. 【详解】 , , ,解得 , 因此,函数 的图象在点 处的切线斜率为 . 故选:A. 【点睛】 本题考查函数的切线斜率的求解,考查计算能力,属于基础题. 36.B 【解析】 【分析】 根据散点图据曲线形状判断. 【详解】 , , A中 是常数,B中 是增函数,C中 是减函数,D中 是减函数, 散点图所有点所在曲线的切线的斜率随 的增大,而增大,而四个选项中,A斜率不变,CD的斜率随 的增大而 减小,只有B满足. 故选:B. 37.D 【解析】 对函数进行求导,再利用导数的几何意义,即可求得切点坐标. 【详解】 ∵ ,∴ , 第 24 页∵切线方程为 , ∴令 ,代入 得: , ∴切点坐标为 或 . 故选:D. 【点睛】 本题考查导数的几何意义的运用,考查运算求解能力,属于基础题. 38.D 【解析】 求出函数的导数和在 处的切线斜率,再由与直线垂直斜率乘积为 可得答案. 【详解】 , ,切线的斜率为 , 因为切线与直线 垂直,所以 , 解得 . 故选:D. 39.B 【解析】 【分析】 先求出函数的导函数,进而根据导数的几何意义求出切线的斜率,然后求出切线方程. 【详解】 依题意得 ,当 时, ,即切线的斜率为2,故切线方程为 ,即 . 故选:B. 40.C 【解析】 先求出导函数,代入 可得切线斜率,再求出切点,进而可得切线方程. 【详解】 解:由已知 , 则 , 又 时, , 则切线方程为 . 故选:C. 【点睛】 本题考查利用导数求切线方程,是基础题. 41.BCD 【解析】 第 25 页【分析】 求得已知直线的斜率 ,对选项中的函数分别求导,可令导数为 ,解方程即可判断结论 【详解】 解:直线 的斜率为 , 由 的导数为 ,即切线的斜率小于0,故A不正确; 由 的导数为 ,而 ,解得 ,故B正确; 由 的导数为 ,而 有解,故C正确; 由 的导数为 ,而 ,解得 ,故D正确, 故选:BCD 【点睛】 此题考查导数的几何意义,正确求导是解题的关键,考查运算能力,属于基础题 42.AC 【解析】 【分析】 本题先求导函数并根据题意建立关于 的方程,再根据根的分布求 的取值范围,最后判断得到答案即可. 【详解】 解:∵ , ∴ , 可令切点的横坐标为 ,且 , 可得切线斜率 即 , 由题意,可得关于 的方程 有两个不等的正根, 且可知 , 则 ,即 , 解得: , 所以 的取值可能为 , . 故选:AC. 【点睛】 本题考查求导函数,导数的几何意义,根的分布,是中档题. 43.BCD 【解析】 第 26 页【分析】 结合函数的奇偶性、零点、对称性、切线方程对选项进行分析,从而确定正确选项. 【详解】 的定义域为 , ,所以 是非奇非偶函数,A选项错误. 由 ,解得 ,所以B选项正确. ,令 , 的定义域为 , , 所以 是奇函数,图象关于原点对称,所以 关于 对称,C选项正确. 对于D选项, 图象上一点 , 当 时, , 则 , 故过点 的切线方程为 , 将 代入上式得 , 整理得 , 构造函数 , 在 递增;在 递减. ,所以 ,即方程 无解, 也即当 时,不存在过原点的切线. 当 时, , , 则 , , 故过点 的切线方程为 , 第 27 页将 代入上式得 , 整理得 , 构造函数 , 所以 在 递减, , 所以 有唯一零点 , 也即当 时,存在唯一一条过原点的切线. 综上所述,D选项正确. 故选:BCD 【点睛】 求曲线的切线方程,要注意已知点是曲线上的点还是曲线外的点.当已知点在曲线外时,要设出切点坐标,利用导 数求得斜率,根据点斜式写出切线方程,然后代入已知点进行求解.含有绝对值的函数,要注意根据绝对值的知识 进行去绝对值. 44.BCD 【解析】 【分析】 按照导数几何意义解决; 证明导数为正值即可; 以极值定义去判定; 构造函数去证明. 【详解】 选项A: 当 时,曲线 , 则 ,切线斜率 又 , 故曲线在点 处的切线方程为 . A选项错误; 选项B: 令 , 则 当 时, , 单调递增, 当 时, , 单调递减, 第 28 页在 处取得最小值 当 时, 对任意 恒成立, 则 对任意 恒成立, 故当 时, 在定义域内为增函数.B选项正确; 选项C: 由以上分析知道: 在 处取得最小值 当 时, 必有二根, 不妨设为 则当 时, , , 为增函数, 当 时, , , 为减函数, 当 时, , , 为增函数, 故 既存在极大值又存在极小值. C选项正确; 选项D: 由上面分析可知 既存在极大值又存在极小值, 不妨设 的极大值点为m,极小值点为n,且 , 在 上单调递减,又 故 极大值为正值,极小值为负值, 当 时, ;当 时, 故函数 有三个零点,不妨设为 , 又 故有 ,则 即当 时, 恰有3个零点 ,且 正确. 故选:BCD 45. 【解析】 第 29 页【分析】 首先判定点 在曲线上,然后利用导数的几何意义求得答案. 【详解】 由题意可知点 在曲线 上, 而 ,故曲线 在点 处的切线斜率为 , 所以切线方程为: ,即 , 故答案为: 46. 【解析】 【分析】 设切点为 ,由导数的几何意义求切线的斜率,根据倾斜角关系求a. 【详解】 设切点坐标为 .由题意,知 ,切线的斜率为 ①,所以切线的方程为 ②. 将点 代入②式,得 ,解得 或 .分别将 和 代入①式,得 和 .由题意,得 ,得 . 故答案为: . 47.21 【解析】 【分析】 利用导数求得函数 在点 处的切线方程,从而求得 ,进而求得正确答案. 【详解】 , , , 所以切线方程为 , 令 得 , . 即数列 是首项为 ,公比为 的等比数列. 由于 ,所以 , 所以 . 故答案为: 第 30 页48. 【解析】 【分析】 先利用直线 与曲线 相切得到 ,所以 . 设 ,利用导数讨论单调性,求出g(a)的最大值. 【详解】 设直线y=x与曲线 相切于点 . 因为 ,所以 ,所以 . 又因为P在切线y=x上,所以 , 所以 , 因此 . 设 ,则由 , 令 ,解得: ;令 ,解得: ; 所以g(a)在 上单调递增,在 上单调递减, 可知g(a)的最大值为 ,所以ab的最大值为 . 故答案为: 49. 【解析】 【分析】 根据函数的导函数以及曲线在某点处导数的几何意义,可得切线的斜率,然后根据点斜式,可得结果. 【详解】 解:对 求导得: , 故在 处切线斜率为 ,所以切线方程为 . 故答案为: . 【点睛】 本题考查曲线在某点处的切线方程,重点在于曲线在某点处导数的几何意义,属基础题. 50. . 【解析】 【分析】 第 31 页本题根据导数的几何意义,通过求导数,确定得到切线的斜率,利用直线方程的点斜式求得切线方程 【详解】 详解: 所以, 所以,曲线 在点 处的切线方程为 ,即 . 【点睛】 准确求导数是进一步计算的基础,本题易因为导数的运算法则掌握不熟,二导致计算错误.求导要“慢”,计算 要准,是解答此类问题的基本要求. 51.(1) ;(2) . 【解析】 【分析】 (1)根据圆的几何性质可得出关于 的等式,即可解出 的值; (2)设点 、 、 ,利用导数求出直线 、 ,进一步可求得直线 的方程,将直线 的方程与抛物线的方程联立,求出 以及点 到直线 的距离,利用三角形的面积公式结合二次函数的基 本性质可求得 面积的最大值. 【详解】 (1)[方法一]:利用二次函数性质求最小值 由题意知, ,设圆M上的点 ,则 . 所以 . 从而有 . 因为 ,所以当 时, . 又 ,解之得 ,因此 . [方法二]【最优解】:利用圆的几何意义求最小值 抛物线 的焦点为 , , 所以, 与圆 上点的距离的最小值为 ,解得 ; (2)[方法一]:切点弦方程+韦达定义判别式求弦长求面积法 抛物线 的方程为 ,即 ,对该函数求导得 , 设点 、 、 , 直线 的方程为 ,即 ,即 , 第 32 页同理可知,直线 的方程为 , 由于点 为这两条直线的公共点,则 , 所以,点A、 的坐标满足方程 , 所以,直线 的方程为 , 联立 ,可得 , 由韦达定理可得 , , 所以, , 点 到直线 的距离为 , 所以, , , 由已知可得 ,所以,当 时, 的面积取最大值 . [方法二]【最优解】:切点弦法+分割转化求面积+三角换元求最值 同方法一得到 . 过P作y轴的平行线交 于Q,则 . . P点在圆M上,则 . 故当 时 的面积最大,最大值为 . [方法三]:直接设直线AB方程法 设切点A,B的坐标分别为 , . 设 ,联立 和抛物线C的方程得 整理得 . 判别式 ,即 ,且 . 第 33 页抛物线C的方程为 ,即 ,有 . 则 ,整理得 ,同理可得 . 联立方程 可得点P的坐标为 ,即 . 将点P的坐标代入圆M的方程,得 ,整理得 . 由弦长公式得 . 点P到直线 的距离为 . 所以 , 其中 ,即 . 当 时, . 【整体点评】 (1)方法一利用两点间距离公式求得 关于圆M上的点 的坐标的表达式,进一步转化为关于 的表 达式,利用二次函数的性质得到最小值,进而求得 的值;方法二,利用圆的性质, 与圆 上 点的距离的最小值,简洁明快,为最优解;(2)方法一设点 、 、 ,利用导数求得两 切线方程,由切点弦方程思想得到直线 的坐标满足方程 ,然手与抛物线方程联立,由韦达定 理可得 , ,利用弦长公式求得 的长,进而得到面积关于 坐标的表达式,利用圆 的方程转化得到关于 的二次函数最值问题;方法二,同方法一得到 , ,过P作y轴的平行 线交 于Q,则 .由 求得面积关于 坐标的表达式,并利用三角函 数换元求得面积最大值,方法灵活,计算简洁,为最优解;方法三直接设直线 ,联立直线 和抛物 线方程,利用韦达定理判别式得到 ,且 .利用点 在圆 上,求得 的关系,然 后利用导数求得两切线方程,解方程组求得P的坐标 ,进而利用弦长公式和点到直线距离公式求得面积关 于 的函数表达式,然后利用二次函数的性质求得最大值; 52.(1)条件性选择见解析, ;(2)单调递减区间为 和 ,单调递增区间为 . 【解析】 【分析】 (1)选①,求出函数的导函数,根据 是函数 的一个极值点,得函数在 处得到函数值为0,即可 得出答案; 第 34 页选②,根据函数 的图象在 处的切线方程为 ,即函数在 处得导数值为3,即可的解; (2)由(1)得 ,求出函数得导函数,再根据导函数得符号即可得出答案. 【详解】 解:(1)选①. 由题意知, , 依题意得, , 即 ,经检验 符合题意. 选②. 由题意知, , 因为函数 的图象在 处的切线方程为 , 所以 ,得 . (2)由(1)得 , , 令 得, 或 , 列表: -1 3 - 0 + 0 - 所以 的单调递减区间为 和 ,单调递增区间为 . 53.(1) , 在定义域 上为增函数;(2)证明见解析. 【解析】 【分析】 (1)求出导函数,由 可得 (也可由 求得 ),为确定 的正负,设 ,再求导 ,由 的正负确定 单调性,从而得 正负,得 的单调性; (2)先利用导数证明不等式 ,然后引入函数 ,求出 ,对其中的部分函数 , 求出导函数 ,利用刚证的不等式可得 ,从而 递增,因此可得 是增函数( ),因此得出 第 35 页单调性及最小值,得 ,于是得 ,结合已知得 ,由 的单 调性得证结论. 【详解】 解:(1) , 切线斜率 , 所以 , 此时 , 则 , 可得 在 上为减函数,在 上为增函数,因此 恒成立, 故 在定义域 上为增函数 (2)先证不等式 , 设 ,则 , 可得 在 上为增函数,在 上为减函数, 所以当 时 ,即 成立, , 令 , 则 , 设 , 则 ,利用不等式 得 , 那么 , 所以 是增函数,故 是增函数, 又因为 ,在 时, , 时, , 所以 在 上为减函数,在 上为增函数,. 所以 ,即 ,当 时,取等号,所以 , 又由 得 , 第 36 页所以 , 又 在定义域 上为增函数, 所以 ,即 得证. 【点睛】 本题考查导数的几何意义,考查用导数研究函数的单调性,证明不等式成立.证明不等式的关键是引入新函数 ,利用导数证明 ,这样明确,即求得 的最小值为0即可.本题考查了学生的转 化与化归能力,分析问题解决问题的能力,运算求解能力,本题属于难题. 54.(1) ;(2) , . 【解析】 【分析】 (1)利用基本初等函数的导数公式以及导数的运算法则直接求导; (2)利用切点与切线及曲线的关系,再借助导数的几何意义即可计算得解. 【详解】 (1)由 , 得 ; (2)因为切点既在曲线上,又在切线上, 于是将 代入切线方程 ,得 ,又 ,则 ,解得 , 而切线 的斜率为 ,即 ,又 ,则 ,解得 , 所以 , . 55.(1) ;(2)极大值为 ,极小值为 . 【解析】 (1)首先计算 得到切点为 ,再求导代入 得到斜率 ,利用点斜式即可得到切线方程. (2)首先求出 的单调区间,再根据单调区间即可得到函数的极值. 【详解】 (1) ,切点为 . , . 曲线 在点 处的切线方程为 ,即 . (2) 令 ,解得 , . 第 37 页, , 为增函数, , , 为减函数, , , 为增函数. 则函数 的极大值为 , 极小值为 . 【点睛】 本题第一问考查导数的几何意义,第二问考查导数的极值问题,属于简单题. 第 38 页第 39 页