▼ 做您发表的类似分析论文,请与Annie老师联系。

引言
骨关节炎(osteoarthritis,OA)是一种全球范围内高度流行的慢性退行性关节疾病,其病理特征主要包括关节软骨退变、骨赘形成、软骨下骨重塑以及关节周围组织持续的低度炎症反应。患者通常表现为长期疼痛、关节僵硬和活动受限,重症者可进展为残疾,给个体生活质量和医疗卫生系统带来沉重负担。OA 的病因具有多因素特征,涉及年龄、性别、肥胖、关节损伤、遗传易感性及职业暴露等多重因素,且在临床表现、分子机制及治疗反应方面呈现显著异质性。这种复杂性增加了研究的难度,一定程度上限制了标准化干预策略的开发与普适性。因此这些挑战凸显了亟需识别能够实现疾病修饰、延缓甚至逆转 OA 进展的分子与细胞机制靶点。
尽管已有多篇叙述性和主题性综述总结了 EVs 在 OA 中的研究进展,但该领域仍缺乏一个系统、定量的知识图谱,用以揭示其研究演化、国际合作格局、潜在主题结构及临床转化路径。
Bibliometric and LDA analysis of extracellular vesicles in osteoarthritis一文整合文献计量学方法与 LDA 主题建模,对 2003 年 1 月 1 日至 2024 年 12 月 31 日期间发表的骨关节炎与细胞外囊泡相关文献进行系统分析,构建该领域的整体研究图景。研究目标在于识别关键研究热点、阐明全球合作网络、刻画主题的时间演化轨迹,并探索临床转化路径,为后续机制研究和临床试验设计提供严谨且具有实践指导意义的参考。
该文发表于2025年的Bone Research,最新影响因子(JCR 2025):≈ 15.0, JCR 分区Q1!

▼ 想发表自己的文献计量分析论文?点击👇获得更多高质量文献计量分析模板。
(经典文献计量分析模板,持续更新中)
以下分为三个部分解读。
一.主要内容
1.文献增长趋势
共纳入符合标准的文献 792 篇,分布于 297 种不同期刊,3958 名独立作者参与了相关研究,单篇文献的平均被引次数为 33.06 次,显示出较为显著的学术影响力。且该研究领域扩展速度快,年均增长率达 28.48%,表明细胞外囊泡在骨关节炎研究中正受到日益广泛的学术关注。

从年度发文量来看,研究产出呈现持续上升趋势。2017 年是一个关键节点,首次出现同比增长超过两位数的显著跃升。这一加速增长在时间上与细胞外囊泡分离和表征技术的改进及广泛应用密切相关,例如超速离心技术的优化、尺寸排阻色谱法以及基于微流控的平台;同时,也与学界对 EVs 作为微小 RNA 和蛋白质载体、并在诊断、预后及治疗生物标志物方面潜力的不断认识相呼应。

相关研究共来自 51 个国家或地区。按发文量统计,排名前 20 位的国家在合作网络中得到突出显示,其中中国(n=473)、美国(n=196)和意大利(n=64)位列前三,并与其他国家之间均形成了较为紧密的国际合作联系。

在敏感性分析中,无论采用逐一剔除国家的方法,还是平衡自助抽样策略,核心研究主题均表现出高度稳健性。在剔除任一国家或进行等量重采样,“cartilage”“exosome”“inflammation”“regeneration”等核心关键词均保持高度一致性(多数 Pearson r>0.85,且 95% 置信区间较窄),而低频术语如“RANKL”稳定性相对较低。这表明,该领域的主要研究主题具有良好的稳健性,并非由单一高产出国家所主导。
Table S2 Stability of core keyword trends after excluding major countries
Term | no China | no USA | no Italy |
cartilage | 0.990 | 0.867 | 0.999 |
exosome | 0.953 | 0.816 | 0.991 |
inflammation | 0.979 | 0.898 | 0.992 |
mir | 0.947 | 0.600 | 0.997 |
osteoblast | 0.877 | 0.994 | 0.996 |
osteoclast | 0.783 | 0.996 | 0.994 |
rankl | 0.480 | 1.000 | 1.000 |
regeneration | 0.966 | 0.873 | 0.999 |
Table S3 Balanced bootstrap estimates of keyword prevalence
Term | Median Proportion | 95% CI Lower | 95% CI Upper |
cartilage | 0.572 | 0.503 | 0.651 |
exosome | 0.484 | 0.409 | 0.553 |
inflammation | 0.352 | 0.277 | 0.425 |
mir | 0.358 | 0.283 | 0.428 |
regeneration | 0.208 | 0.151 | 0.274 |
osteoblast | 0.019 | 0.000 | 0.044 |
osteoclast | 0.019 | 0.000 | 0.044 |
rankl | 0.000 | 0.000 | 0.0063 |
3. 机构分布
发文量排名前 20 位的机构共发表论文 353 篇。上海交通大学以 41 篇论文位居首位,机构合作网络图显示,不同机构之间形成了较为密集的合作联系,反映出细胞外囊泡相关骨关节炎研究在全球主要研究中心中得到了广泛参与与协同推进。

4.作者分布
表格列出发表论文数量排名前 20 位的作者。其中,DE GIROLAMO L 和 RAGNI E 以各 23 篇论文并列位居首位。多位被引次数最高的研究者,均在构建该领域学术基础方面具有重要影响力。尽管作者合作网络在一定程度上呈现分散状态,但多数作者仍保持着活跃的合作关系,显示出该领域既存在区域性研究集群,也具备跨区域协同发展的特征。

5. 期刊与引文分析
纳入研究共发表于 297 种期刊。其中,International Journal of Molecular Sciences 的发文量最高(n=46),总被引次数为 725 次;其次为 Frontiers in Bioengineering and Biotechnology(n=27,总被引 727 次),如表所示,这些期刊在传播该领域高影响力研究成果方面发挥了重要作用。
Rank | Journal | Publications | Citations (rank) | Average citations (rank) | Betweenness centrality |
1 | INTERNATIONAL JOURNAL OF MOLECULAR SCIENCES | 46 | 725(6) | 15.76(15) | 0.00 |
2 | FRONTIERS IN BIOENGINEERING AND BIOTECHNOLOGY | 27 | 727(5) | 26.93(9) | 0.01 |
3 | CELLS | 23 | 442(9) | 19.22(13) | 0.04 |
4 | JOURNAL OF NANOBIOTECHNOLOGY | 23 | 708(7) | 30.78(6) | 0.00 |
5 | STEM CELL RESEARCH & THERAPY | 23 | 2156(1) | 93.74(3) | 0.05 |
6 | ARTHRITIS RESEARCH & THERAPY | 17 | 776(4) | 45.65(5) | 0.04 |
7 | FRONTIERS IN CELL AND DEVELOPMENTAL BIOLOGY | 15 | 430(10) | 28.67(8) | 0.17 |
8 | JOURNAL OF ORTHOPAEDIC SURGERY AND RESEARCH | 12 | 294(12) | 24.50(10) | 0.07 |
9 | STEM CELLS INTERNATIONAL | 12 | 263(13) | 21.92(11) | 0.05 |
10 | BIOMEDICINES | 11 | 126(16) | 11.45(16) | 0.17 |
11 | FRONTIERS IN IMMUNOLOGY | 11 | 234(14) | 21.27(12) | 0.05 |
12 | JOURNAL OF ORTHOPAEDIC TRANSLATION | 11 | 321(11) | 29.18(7) | 0.04 |
13 | BIOACTIVE MATERIALS | 10 | 542(8) | 54.20(4) | 0.00 |
14 | INTERNATIONAL IMMUNOPHARMACOLOGY | 10 | 166(15) | 16.60(14) | 0.16 |
15 | PHARMACEUTICS | 9 | 95(17) | 10.56(17) | 0.12 |
16 | FRONTIERS IN PHARMACOLOGY | 8 | 72(18) | 9.00(18) | 0.01 |
17 | THERANOSTICS | 8 | 1540(3) | 192.50(2) | 0.07 |
18 | BIOMATERIALS | 7 | 1985(2) | 283.57(1) | 0.03 |
19 | BIOMEDICINE & PHARMACOTHERAPY | 7 | 58(19) | 8.29(19) | 0.05 |
20 | HELIYON | 7 | 37(20) | 5.29(20) | 0.01 |
6. 关键词共现分析
该文在剔除、去重后保留50个关键词用于共现分析。“mesenchymal stem cells(间充质干细胞)”“osteoarthritis(骨关节炎)”和 “exosomes(外泌体)”等核心节点位于网络中心,反映近年来高度耦合的研究重点。“cells(细胞)”与上述关键词的高频共现,凸显了该领域以细胞为核心的研究框架。此外,“inflammation(炎症)”“repair(修复)”与 “regeneration(再生)”之间的紧密关联,表明研究者高度关注细胞外囊泡在组织修复与炎症调控中的作用机制。

趋势主题分析显示,“osteoarthritis”,“mesenchymal stem cells” 和 “exosomes” 等术语的出现频率显著上升,并持续至 2023–2024 年;“matrix vesicles(基质囊泡)”和 “collagen-induced arthritis(胶原诱导性关节炎)”等早期术语在 2014–2016 年达到峰值后逐渐下降。这说明研究重心正逐步转向干细胞来源细胞外囊泡及其治疗潜力。

7. 参考文献共被引分析
在共被引网络中, Cosenza S(2017)、Zhang SP(2018)、Tao SC(2017)和 Wu JY(2019)占据中心节点,代表了对后续研究方向产生深远影响的奠基性工作。



(注:原文表格共20个共被引文献,这里只选取其中第九个为例。)
二. 基于 LDA 的主题建模分析
在剔除缺失摘要的文献后,本研究采用 LDA 模型识别出 15 个主要潜在研究主题,并基于每个主题的高频关键词及代表性文献进行人工命名。结果显示,“EV 再生医学”(主题 6,10.10%)和“细胞间通讯”(主题 8,9.85%)占比最高,其次为“IL-1β 诱导的增殖”“骨关节炎治疗”和“成软骨分化”等主题,反映了该领域以再生修复、炎症调控及治疗策略为核心的研究格局。


(注:原文表格共有15个主要潜在研究主题,这里只截取5-10为例。)
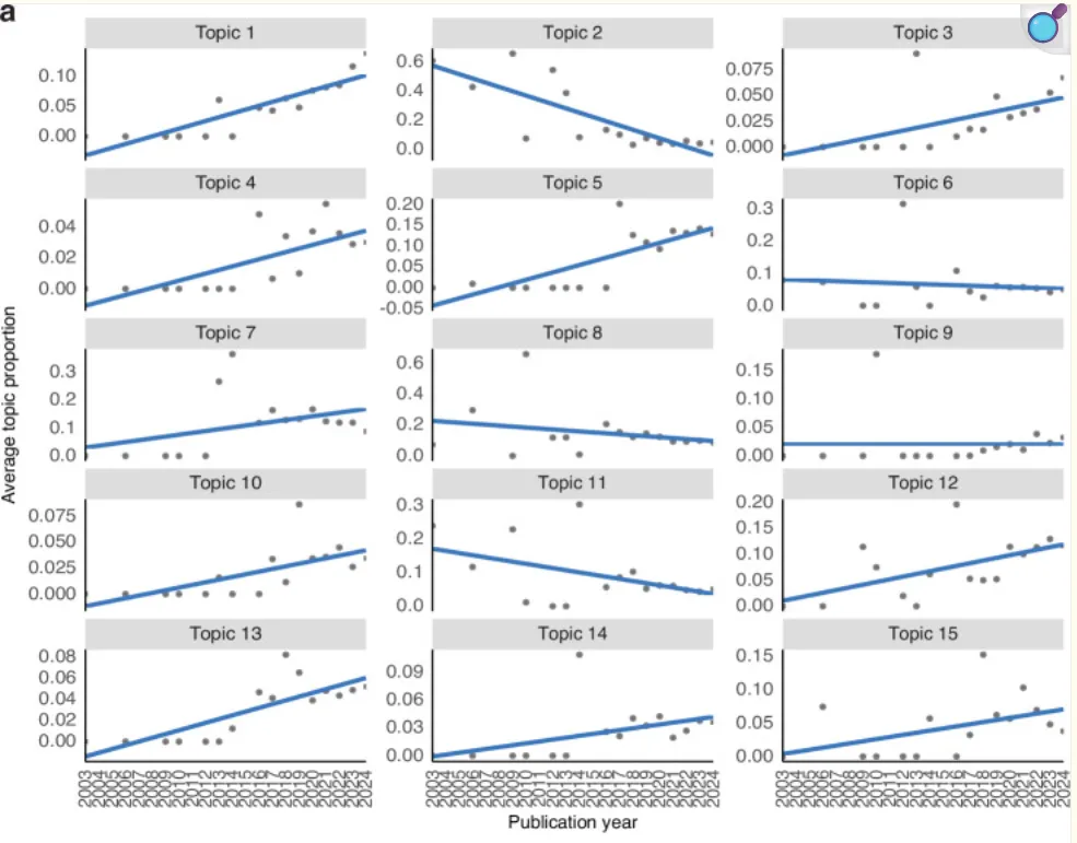
为刻画主题的时间演化特征,进一步对各主题的年度平均后验概率与发表年份进行线性回归分析(P<0.01)。结果表明,“IL-1β 诱导的增殖”“成软骨分化”“软骨组织工程”“OA 治疗策略”和“关节腔内递送”等主题呈显著上升趋势,而“滑液蛋白质组学”主题显著下降,其余主题整体保持相对稳定。总体而言,LDA 分析揭示了 EV-OA 研究从早期机制探索向再生医学和治疗转化逐步演进的主题结构,并明确了近年持续升温的研究方向。

对文献—主题分布矩阵 θ 进行主成分分析,并以 Husson–Jongmans 双标图进行可视化。前两个主成分分别解释 13.4%(PC1)和 9.6%(PC2)的方差,灰色点表示文献,彩色箭头表示主题,箭头越长贡献越大。结果识别出四个主要主题簇:炎症模型与关节腔内递送研究、滑液 EV 表征与蛋白质组学、MSC 来源 EV 的再生与软骨组织工程,以及以细胞间通讯为代表的 EV 基础生物学研究。

三.讨论与总结
本研究结合文献计量学与 LDA 主题建模,对 2003—2024 年骨关节炎中细胞外囊泡研究的整体格局、主题演化及合作网络进行了系统梳理。结果提示,该领域正逐步由单一靶点研究转向融合炎症调控、骨软骨重塑与工程化递送的综合研究路径,但整体仍处于探索性向转化性过渡的阶段。
在机制层面,上升主题主要围绕免疫炎症调控、软骨/基质稳态及软骨下骨代谢展开,EVs 通过调控 NF-κB、SOX9、MMP/ADAMTS 及 RANKL–RANK–OPG 等通路参与疾病调节。这些作用能否转化为稳定的临床获益,可能与递送效率、组织滞留及有效暴露程度密切相关。
工程化递送策略被认为有助于缩小前临床研究与临床结局之间的差距,水凝胶和靶向修饰等方法在前临床模型中显示出延长关节内作用时间的潜力。现有 EV/MSC 相关临床研究总体支持其安全性,但疗效结果尚不一致,未来仍需在研究设计和随访深度方面进一步完善。
编者按
细胞外囊泡与骨关节炎研究的交汇,折射出当代医学从“结构修复”走向“系统调控”的深层转变。随着生物材料工程、数据驱动方法与转化医学不断融合,EVs 不再仅被视为潜在治疗载体,而逐步成为连接炎症调控、组织稳态与个体化干预的重要信息节点。
当前研究虽仍以机制探索和安全性验证为主,但其持续演化的主题结构与跨学科协作格局,已勾勒出未来精准诊断与疾病修饰治疗的可能路径。
展望未来,唯有在工程技术、临床科学与规范化体系之间建立长期协同,方能将这一新兴交叉领域转化为切实改善骨关节炎患者结局的可持续创新力量。
原文链接:
Xie H, Zhao L, Kang L, Meng W, Tan J, Liao G. Bibliometric and LDA analysis of extracellular vesicles in osteoarthritis. Bone Res. 2025 Dec 23;13(1):105. doi: 10.1038/s41413-025-00484-3. PMID: 41429775; PMCID: PMC12722249.
关键词:#文献计量学;#Hanson临床科研;#人工智能医学
广而告之:
如果您也需要对自己公司的产品或者对自己研究的领域做系统梳理,可以找美国Healsan恒祥医学科技做文献计量分析。并可同时获赠五个仅Healsan™大数据才有的福利:
文献检索老师参与学员选题的文献检索; 完成分析后,免费使用SCI论文神器10天,以完成论文撰写; 作者撰写好之后,获得免费查重; 作者投稿前,获得免费的选刊服务。

(点击👆,获得持续的医学大数据分析报告)
![]() | ![]() |
![]() | ![]() |
![]() | ![]() |
![]() | ![]() |
(点击👆图片,进入自己感兴趣的专辑。或点击“资源”,浏览本公众号所有资源)
夜雨聆风







