当前位置:首页>文档>专题09平面直角坐标系与函数基础(解析版)_2数学总复习_2025中考复习资料_备战2025年中考数学真题题源解密(全国通用)

专题09平面直角坐标系与函数基础(解析版)_2数学总复习_2025中考复习资料_备战2025年中考数学真题题源解密(全国通用)

  • 2026-04-09 22:32:13 2026-02-05 21:00:41

文档预览

专题09平面直角坐标系与函数基础(解析版)_2数学总复习_2025中考复习资料_备战2025年中考数学真题题源解密(全国通用)
专题09平面直角坐标系与函数基础(解析版)_2数学总复习_2025中考复习资料_备战2025年中考数学真题题源解密(全国通用)
专题09平面直角坐标系与函数基础(解析版)_2数学总复习_2025中考复习资料_备战2025年中考数学真题题源解密(全国通用)
专题09平面直角坐标系与函数基础(解析版)_2数学总复习_2025中考复习资料_备战2025年中考数学真题题源解密(全国通用)
专题09平面直角坐标系与函数基础(解析版)_2数学总复习_2025中考复习资料_备战2025年中考数学真题题源解密(全国通用)
专题09平面直角坐标系与函数基础(解析版)_2数学总复习_2025中考复习资料_备战2025年中考数学真题题源解密(全国通用)
专题09平面直角坐标系与函数基础(解析版)_2数学总复习_2025中考复习资料_备战2025年中考数学真题题源解密(全国通用)
专题09平面直角坐标系与函数基础(解析版)_2数学总复习_2025中考复习资料_备战2025年中考数学真题题源解密(全国通用)
专题09平面直角坐标系与函数基础(解析版)_2数学总复习_2025中考复习资料_备战2025年中考数学真题题源解密(全国通用)
专题09平面直角坐标系与函数基础(解析版)_2数学总复习_2025中考复习资料_备战2025年中考数学真题题源解密(全国通用)
专题09平面直角坐标系与函数基础(解析版)_2数学总复习_2025中考复习资料_备战2025年中考数学真题题源解密(全国通用)
专题09平面直角坐标系与函数基础(解析版)_2数学总复习_2025中考复习资料_备战2025年中考数学真题题源解密(全国通用)
专题09平面直角坐标系与函数基础(解析版)_2数学总复习_2025中考复习资料_备战2025年中考数学真题题源解密(全国通用)
专题09平面直角坐标系与函数基础(解析版)_2数学总复习_2025中考复习资料_备战2025年中考数学真题题源解密(全国通用)
专题09平面直角坐标系与函数基础(解析版)_2数学总复习_2025中考复习资料_备战2025年中考数学真题题源解密(全国通用)
专题09平面直角坐标系与函数基础(解析版)_2数学总复习_2025中考复习资料_备战2025年中考数学真题题源解密(全国通用)
专题09平面直角坐标系与函数基础(解析版)_2数学总复习_2025中考复习资料_备战2025年中考数学真题题源解密(全国通用)
专题09平面直角坐标系与函数基础(解析版)_2数学总复习_2025中考复习资料_备战2025年中考数学真题题源解密(全国通用)
专题09平面直角坐标系与函数基础(解析版)_2数学总复习_2025中考复习资料_备战2025年中考数学真题题源解密(全国通用)
专题09平面直角坐标系与函数基础(解析版)_2数学总复习_2025中考复习资料_备战2025年中考数学真题题源解密(全国通用)
专题09平面直角坐标系与函数基础(解析版)_2数学总复习_2025中考复习资料_备战2025年中考数学真题题源解密(全国通用)
专题09平面直角坐标系与函数基础(解析版)_2数学总复习_2025中考复习资料_备战2025年中考数学真题题源解密(全国通用)
专题09平面直角坐标系与函数基础(解析版)_2数学总复习_2025中考复习资料_备战2025年中考数学真题题源解密(全国通用)
专题09平面直角坐标系与函数基础(解析版)_2数学总复习_2025中考复习资料_备战2025年中考数学真题题源解密(全国通用)
专题09平面直角坐标系与函数基础(解析版)_2数学总复习_2025中考复习资料_备战2025年中考数学真题题源解密(全国通用)
专题09平面直角坐标系与函数基础(解析版)_2数学总复习_2025中考复习资料_备战2025年中考数学真题题源解密(全国通用)
专题09平面直角坐标系与函数基础(解析版)_2数学总复习_2025中考复习资料_备战2025年中考数学真题题源解密(全国通用)
专题09平面直角坐标系与函数基础(解析版)_2数学总复习_2025中考复习资料_备战2025年中考数学真题题源解密(全国通用)
专题09平面直角坐标系与函数基础(解析版)_2数学总复习_2025中考复习资料_备战2025年中考数学真题题源解密(全国通用)
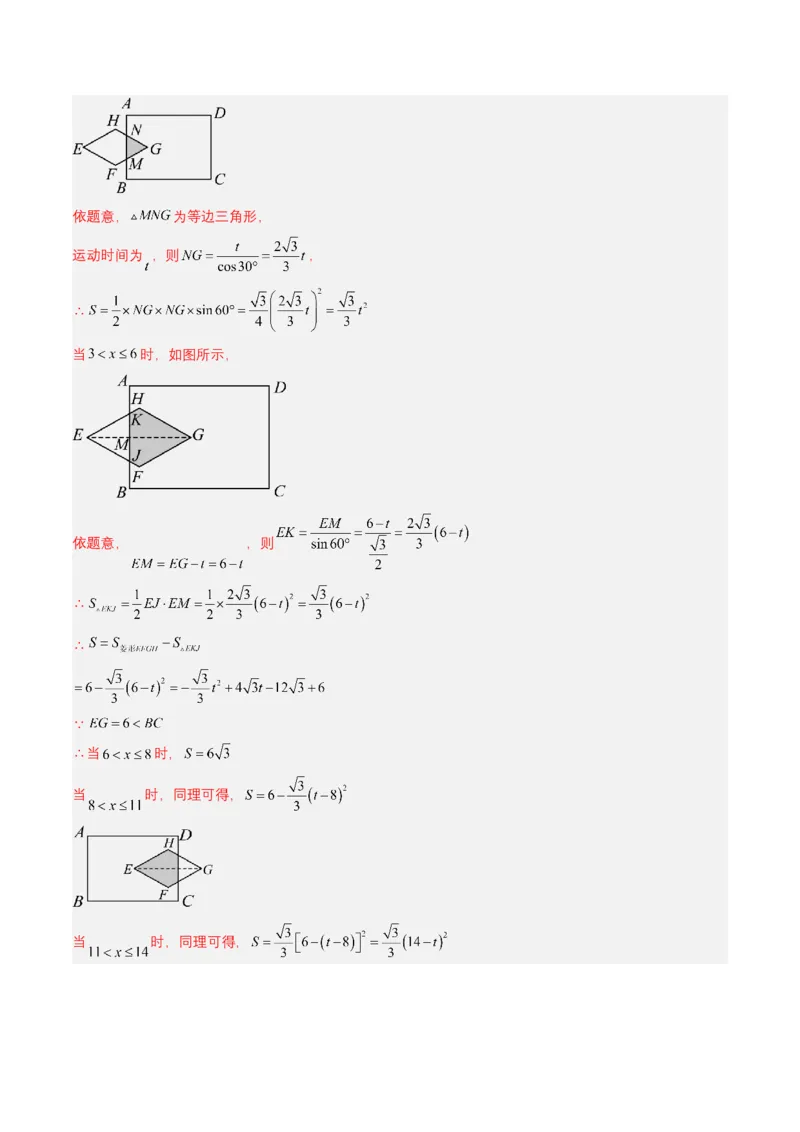
专题09平面直角坐标系与函数基础(解析版)_2数学总复习_2025中考复习资料_备战2025年中考数学真题题源解密(全国通用)
专题09平面直角坐标系与函数基础(解析版)_2数学总复习_2025中考复习资料_备战2025年中考数学真题题源解密(全国通用)
专题09平面直角坐标系与函数基础(解析版)_2数学总复习_2025中考复习资料_备战2025年中考数学真题题源解密(全国通用)
专题09平面直角坐标系与函数基础(解析版)_2数学总复习_2025中考复习资料_备战2025年中考数学真题题源解密(全国通用)
专题09平面直角坐标系与函数基础(解析版)_2数学总复习_2025中考复习资料_备战2025年中考数学真题题源解密(全国通用)
专题09平面直角坐标系与函数基础(解析版)_2数学总复习_2025中考复习资料_备战2025年中考数学真题题源解密(全国通用)
专题09平面直角坐标系与函数基础(解析版)_2数学总复习_2025中考复习资料_备战2025年中考数学真题题源解密(全国通用)
专题09平面直角坐标系与函数基础(解析版)_2数学总复习_2025中考复习资料_备战2025年中考数学真题题源解密(全国通用)
专题09平面直角坐标系与函数基础(解析版)_2数学总复习_2025中考复习资料_备战2025年中考数学真题题源解密(全国通用)
专题09平面直角坐标系与函数基础(解析版)_2数学总复习_2025中考复习资料_备战2025年中考数学真题题源解密(全国通用)
专题09平面直角坐标系与函数基础(解析版)_2数学总复习_2025中考复习资料_备战2025年中考数学真题题源解密(全国通用)
专题09平面直角坐标系与函数基础(解析版)_2数学总复习_2025中考复习资料_备战2025年中考数学真题题源解密(全国通用)
专题09平面直角坐标系与函数基础(解析版)_2数学总复习_2025中考复习资料_备战2025年中考数学真题题源解密(全国通用)
专题09平面直角坐标系与函数基础(解析版)_2数学总复习_2025中考复习资料_备战2025年中考数学真题题源解密(全国通用)
专题09平面直角坐标系与函数基础(解析版)_2数学总复习_2025中考复习资料_备战2025年中考数学真题题源解密(全国通用)
专题09平面直角坐标系与函数基础(解析版)_2数学总复习_2025中考复习资料_备战2025年中考数学真题题源解密(全国通用)
专题09平面直角坐标系与函数基础(解析版)_2数学总复习_2025中考复习资料_备战2025年中考数学真题题源解密(全国通用)
专题09平面直角坐标系与函数基础(解析版)_2数学总复习_2025中考复习资料_备战2025年中考数学真题题源解密(全国通用)
专题09平面直角坐标系与函数基础(解析版)_2数学总复习_2025中考复习资料_备战2025年中考数学真题题源解密(全国通用)

文档信息

文档格式
docx
文档大小
4.064 MB
文档页数
44 页
上传时间
2026-02-05 21:00:41

文档内容

专题 09 平面直角坐标系与函数基础 课标要求 考点 考向 1. 理解平面直角坐标系的有关概念,能画出直角坐标 考向一 有序数对 系;在给定的直角坐标系中,能根据坐标描出点的位 考向二 点到坐标轴的距离 置,由点的位置写出它的坐标; 平 面 2. 在实际问题中,能建立适当的直角坐标系,描述物体 直 角 考向三 点所在象限 的位置; 坐 标 考向四 坐标与图形 3. 探索简单实例中的数量关系和变化规律,了解常量、 系 变量的意义; 考向五 点坐标规律探索 4. 结合实例,了解函数的概念和三种表示法,能举出函 考向六 实际问题中用坐标表示位置 数的实例; 5. 能结合图象对简单实际问题中的函数关系进行分析; 考向一 函数解析式 6. 能确定简单实际问题中函数自变量的取值范围,并会 函 数 求出函数值; 基 础 考向二 自变量与函数值 7. 能用适当的函数表示法刻画简单实际问题中变量之间 知识 的关系; 考向三 函数图像 考点一 平面直角坐标系 易错易混提醒 (1).有序数对的作用:利用有序数对可以在平面内准确表示一个位置.有序数对一般用来表示位置,如用 “排”“列”表示教师内座位的位置,用经纬度表示地球上的地点等. (2).确定点在坐标平面内的位置,关键是根据不同象限中点的坐标特征去判断,根据题中的已知条件,判断 横坐标、纵坐标是大于0,等于0,还是小于0,就可以确定点在坐标平面内的位置. ►考向一 有序数对 1.(2024·甘肃·中考真题)敦煌文书是华夏民族引以为傲的艺术瑰宝,其中敦煌《算经》中出现的《田积 表》部分如图1所示,它以表格形式将矩形土地的面积直观展示,可迅速准确地查出边长10步到60步的 矩形田地面积,极大地提高了农田面积的测量效率.如图2是复原的部分《田积表》,表中对田地的长和 宽都用步来表示,A区域表示的是长15步,宽16步的田地面积为一亩,用有序数对记为 ,那么有 序数对记为 对应的田地面积为( )A.一亩八十步 B.一亩二十步 C.半亩七十八步 D.半亩八十四步 【答案】D 【分析】根据 可得,横从上面从右向左看,纵从右边自下而上看,解答即可. 本题考查了坐标与位置的应用,熟练掌握坐标与位置的应用是解题的关键. 【详解】根据 可得,横从上面从右向左看,纵从右边自下而上看, 故 对应的是半亩八十四步, 故选D. ►考向二 点到坐标轴的距离 易错易混提醒 点P(x,y)到x轴的距离为|y|,到y轴的距离为|x|,到坐标原点的距离为 . 2.(2024·湖南·中考真题)在平面直角坐标系 中,对于点P(x,y),若x,y均为整数,则称点P为“整 点”.特别地,当 (其中 )的值为整数时,称“整点”P为“超整点”,已知点 在第二象 限,下列说法正确的是( ) A. B.若点P为“整点”,则点P的个数为3个 C.若点P为“超整点”,则点P的个数为1个 D.若点P为“超整点”,则点P到两坐标轴的距离之和大 于10 【答案】C 【分析】本题考查了新定义,点到坐标轴的距离,各象限内点的特征等知识,利用各象限内点的特征求出 a的取值范围,即可判断选项A,利用“整点”定义即可判断选项B,利用“超整点”定义即可判断选项C,利用 “超整点”和点到坐标轴的距离即可判断选项D. 【详解】解:∵点 在第二象限,∴ , ∴ ,故选项A错误; ∵点 为“整点”, , ∴整数a为 , ,0,1, ∴点P的个数为4个,故选项B错误; ∴“整点”P为 , , , , ∵ , , , ∴“超整点”P为 ,故选项C正确; ∵点 为“超整点”, ∴点P坐标为 , ∴点P到两坐标轴的距离之和 ,故选项D错误, 故选:C. ►考向三 点所在象限 3.(2024·四川广元·中考真题)如果单项式 与单项式 的和仍是一个单项式,则在平面直角坐 标系中点 在( ) A.第一象限 B.第二象限 C.第三象限 D.第四象限 【答案】D 【分析】本题主要考查同类项和确定点的坐标,根据同类项的性质求出 的值,再确定点 的位置 即可 【详解】解:∵单项式 与单项式 的和仍是一个单项式, ∴单项式 与单项式 是同类项, ∴ , 解得, , ∴点 在第四象限, 故选:D 4.(2024·江苏宿迁·中考真题)点 在第 象限. 【答案】四 【分析】本题考查了各象限内点的坐标的符号特征,记住各象限内点的坐标的符号是解决的关键,四个象 限的符号特点分别是:第一象限 ;第二象限 ;第三象限 ;第四象限 .根据各象限内 点的坐标特征解答即可.【详解】解:点 的横坐标 ,纵坐标 , 点 在第四象限. 故答案为:四. ►考向四 坐标与图形 5.(2024·贵州·中考真题)为培养青少年的科学态度和科学思维,某校创建了“科技创新”社团.小红将 “科”“技”“创”“新”写在如图所示的方格纸中,若建立平面直角坐标系,使“创”“新”的坐标分别为 , ,则“技”所在的象限为( ) A.第一象限 B.第二象限 C.第三象限 D.第四象限 【答案】A 【分析】本题考查坐标与图形,先根据题意确定平面直角坐标系,然后确定点的位置. 【详解】解:如图建立直角坐标系,则“技”在第一象限, 故选A. 6.(2024·广西·中考真题)如图,在平面直角坐标系中,点O为坐标原点,点P的坐标为(2,1),则点Q的 坐标为( ) A. B.(0,2) C. D. 【答案】C 【分析】本题主要考查点的坐标,理解点的坐标意义是关键.根据点P的坐标可得出横、纵轴上一格代表 一个单位长度,然后观察坐标系即可得出答案. 【详解】解:∵点P的坐标为(2,1),∴点Q的坐标为 , 故选:C. 7.(2024·河南·中考真题)如图,在平面直角坐标系中,正方形 的边 在x轴上,点A的坐标为 ,点E在边 上.将 沿 折叠,点C落在点F处.若点F的坐标为 ,则点E的坐标为 . 【答案】 【分析】设正方形 的边长为a, 与y轴相交于G,先判断四边形 是矩形,得出 , , ,根据折叠的性质得出 , ,在 中, 利用勾股定理构建关于a的方程,求出a的值,在 中,利用勾股定理构建关于 的方程,求出 的值,即可求解. 【详解】解∶设正方形 的边长为a, 与y轴相交于G, 则四边形 是矩形, ∴ , , , ∵折叠, ∴ , , ∵点A的坐标为 ,点F的坐标为 , ∴ , , ∴ , 在 中, , ∴ , 解得 , ∴ , ,在 中, , ∴ , 解得 , ∴ , ∴点E的坐标为 , 故答案为: . 【点睛】本题考查了正方形的性质,坐标与图形,矩形的判定与性质,折叠的性质,勾股定理等知识,利 用勾股定理求出正方形的边长是解题的关键. 8.(2024·河北·中考真题)在平面直角坐标系中,我们把一个点的纵坐标与横坐标的比值称为该点的“特征 值”.如图,矩形 位于第一象限,其四条边分别与坐标轴平行,则该矩形四个顶点中“特征值”最小的 是( ) A.点A B.点B C.点C D.点D 【答案】B 【分析】本题考查的是矩形的性质,坐标与图形,分式的值的大小比较,设 , , , 可得 , , ,再结合新定义与分式的值的大小比较即可得到答案. 【详解】解:设 , , , ∵矩形 , ∴ , , ∴ , , , ∵ ,而 , ∴该矩形四个顶点中“特征值”最小的是点B; 故选:B. ►考向五 点坐标规律探索 易错易混提醒 (1)动点问题多数情况下会与分类讨论的数学思想及方程、函数思想结合起来进行. (2)把动点产生的线段长用时间变量t表示出来以后,动点问题就“静态化”处理了. 9.(2024·湖北武汉·中考真题)如图,小好同学用计算机软件绘制函数 的图象,发现它关于点(1,0)中心对称.若点 , , ,……, , 都在函数 图象上,这 个点的横坐标从0.1开始依次增加0.1,则 的值是( ) A. B. C.0 D.1 【答案】D 【分析】本题是坐标规律题,求函数值,中心对称的性质,根据题意得出 , 进而转化为求 ,根据题意可得 , ,即可求解. 【详解】解:∵这 个点的横坐标从0.1开始依次增加0.1, ∴ , ∴ , ∴ ,而 即 , ∵ , 当 时, ,即 , ∵ 关于点(1,0)中心对称的点为(2,1), 即当 时, , ∴ , 故选:D. 10.(2024·河北·中考真题)平面直角坐标系中,我们把横、纵坐标都是整数,且横、纵坐标之和大于0 的点称为“和点”.将某“和点”平移,每次平移的方向取决于该点横、纵坐标之和除以3所得的余数(当余数 为0时,向右平移;当余数为1时,向上平移;当余数为2时,向左平移),每次平移1个单位长度. 例 : “ 和 点 ” 按 上 述 规 则 连 续 平 移 3 次 后 , 到 达 点 , 其 平 移 过 程 如 下 : 若“和点”Q按上述规则连续平移16次后,到达点 ,则点Q的坐标为( ) A. 或 B. 或 C. 或 D. 或 【答案】D【分析】本题考查了坐标内点的平移运动,熟练掌握知识点,利用反向运动理解是解决本题的关键. 先找出规律若“和点”横、纵坐标之和除以3所得的余数为0时,先向右平移1个单位,之后按照向上、向左, 向上、向左不断重复的规律平移,按照 的反向运动理解去分类讨论:① 先向右1个单位,不符合题 意;② 先向下1个单位,再向右平移,当平移到第15次时,共计向下平移了8次,向右平移了7次, 此时坐标为 ,那么最后一次若向右平移则为 ,若向左平移则为 . 【详解】解:由点 可知横、纵坐标之和除以3所得的余数为1,继而向上平移1个单位得到 , 此时横、纵坐标之和除以3所得的余数为2,继而向左平移1个单位得到 ,此时横、纵坐标之和除 以3所得的余数为1,又要向上平移1个单位 ,因此发现规律为若“和点”横、纵坐标之和除以3所得的 余数为0时,先向右平移1个单位,之后按照向上、向左,向上、向左不断重复的规律平移, 若“和点”Q按上述规则连续平移16次后,到达点 ,则按照“和点” 反向运动16次求点Q坐标理 解,可以分为两种情况: ① 先向右1个单位得到 ,此时横、纵坐标之和除以3所得的余数为0,应该是 向右平移1个 单位得到 ,故矛盾,不成立; ② 先向下1个单位得到 ,此时横、纵坐标之和除以3所得的余数为1,则应该向上平移1个单 位得到 ,故符合题意,那么点 先向下平移,再向右平移,当平移到第15次时,共计向下平移了8次, 向右平移了7次,此时坐标为 ,即 ,那么最后一次若向右平移则为 ,若向左平移则 为 , 故选:D. 11.(2024·山东·中考真题)任取一个正整数,若是奇数,就将该数乘3再加上1;若是偶数,就将该数除 以2.反复进行上述两种运算,经过有限次运算后,必进入循环圈1→4→2→1,这就是“冰雹猜想”.在平面 直角坐标系 中,将点 中的 , 分别按照“冰雹猜想”同步进行运算得到新的点的横、纵坐标,其 中 , 均为正整数.例如,点 经过第1次运算得到点 ,经过第2次运算得到点 ,以此类 推.则点(1,4)经过2024次运算后得到点 . 【答案】 【分析】本题考查了新定义,点的规律,根据新定义依次计算出各点的坐标,然后找出规律,最后应用规 律求解即可. 【详解】解:点(1,4)经过1次运算后得到点为 ,即为 , 经过2次运算后得到点为 ,即为 , 经过3次运算后得到点为 ,即为 , ……, 发现规律:点(1,4)经过3次运算后还是(1,4),∵ , ∴点(1,4)经过2024次运算后得到点 , 故答案为: . 12.(2024·黑龙江大兴安岭地·中考真题)如图,在平面直角坐标系中,正方形 顶点M的坐标为 , 是等边三角形,点B坐标是(1,0), 在正方形 内部紧靠正方形 的边(方 向为 )做无滑动滚动,第一次滚动后,点A的对应点记为 , 的坐标 是(2,0);第二次滚动后, 的对应点记为 , 的坐标是(2,0);第三次滚动后, 的对应点记为 , 的坐标是 ;如此下去,……,则 的坐标是 . 【答案】 【分析】本题考查了点的坐标变化规律,正方形性质,等边三角形性质,根据三角形的运动方式,依次求 出点A的对应点 , , , 的坐标,发现规律即可解决问题. 【详解】解: 正方形 顶点M的坐标为 , , 是等边三角形,点B坐标是 , 等边三角形高为 , 由题知, 的坐标是 ; 的坐标是 ; 的坐标是 ; 继续滚动有, 的坐标是 ; 的坐标是 ;的坐标是 ; 的坐标是 ; 的坐标是 ; 的坐标是 ; 的坐标是 ; 的坐标是 ; 的坐标是 ; 的坐标是 ; 不断循环,循环规律为以 , , , ,12个为一组, , 的坐标与 的坐标一样为 , 故答案为: . ►考向六 实际问题中用坐标表示位置 13.(2024·四川·中考真题)如图,在一个平面区域内,一台雷达探测器测得在点A,B,C处有目标出现. 按某种规则,点A,B的位置可以分别表示为 ,则点C的位置可以表示为 . 【答案】 【分析】本题考查了坐标确定位置,根据题意得到圆圈数表示有序数对的第一个数,度数表示有序数对的 第二个数是解题关键.根据题意可得:圆圈数表示有序数对的第一个数,度数表示有序数对的第二个数, 可得答案. 【详解】解:∵A,B的位置分别表示为 . ∴目标C的位置表示为 . 故答案为:考点二 函数基础知识 ►考向一 函数解析式 14.(2024·海南·中考真题)设直角三角形中一个锐角为x度( ),另一个锐角为y度,则y与x 的函数关系式为( ) A. B. C. D. 【答案】D 【分析】本题考查了函数关系式.利用直角三角形的两锐角互余可得到y与x的关系式. 【详解】解:∵直角三角形中一个锐角的度数为x度,另一个锐角为y度, ∴ . 故选:D. 15.(2024·广西·中考真题)激光测距仪L发出的激光束以 的速度射向目标M, 后测距仪L 收到M反射回的激光束.则L到M的距离 与时间 的关系式为( ) A. B. C. D. 【答案】A 【分析】本题考查列函数关系式,熟练掌握路程=速度×时间是解题的关键.根据路程=速度×时间列式即 可. 【详解】解: , 故选:A. 16.(2024·甘肃·中考真题)如图1,“燕几”即宴几,是世界上最早的一套组合桌,由北宋进士黄伯思设计. 全套“燕几”一共有七张桌子,包括两张长桌、两张中桌和三张小桌,每张桌面的宽都相等.七张桌面分开 可组合成不同的图形.如图2给出了《燕几图》中名称为“回文”的桌面拼合方式,若设每张桌面的宽为x 尺,长桌的长为y尺,则y与x的关系可以表示为( ) A. B. C. D. 【答案】B 【分析】本题主要考查了列函数关系式,观察可知,小桌的长是小桌宽的两倍,则小桌的长是 ,再根据 长桌的长等于小桌的长加上2倍的小桌的宽列出对应的函数关系式即可. 【详解】解:由题意可得,小桌的长是小桌宽的两倍,则小桌的长是 ,∴ , 故选:B. 17.(2024·江苏常州·中考真题)若等腰三角形的周长是10,则底边长y与腰长x的函数表达式为 . 【答案】 【分析】本题考查列函数解析式,根据三角形的周长等于三边之和,等腰三角形的两腰相等,列出函数关 系式,即可. 【详解】解:由题意,得: ; 故答案为: . ►考向二 自变量与函数值 考查角度1 求自变量的取值范围 18.(2024·上海·中考真题)函数 的定义域是( ) A. B. C. D. 【答案】D 【分析】本题考查求函数定义域,涉及分式有意义的条件:分式分母不为0,解不等式即可得到答案,熟 练掌握求函数定义域的方法是解决问题的关键. 【详解】解:函数 的定义域是 ,解得 , 故选:D. 19.(2024·江苏无锡·中考真题)在函数 中,自变量 的取值范围是( ) A.x ≠ 3 B.x>3 C.x<3 D. 【答案】D 【分析】利用二次根式有意义的条件求解即可. 【详解】根据二次根式有意义的条件,得: , 解得, , 故选:D. 【点睛】本题考查了求自变量的取值范围,掌握二次根式有意义的条件是解题的关键. 20.(2024·四川内江·中考真题)在函数 中,自变量 的取值范围是 ; 【答案】 【分析】本题考查函数的概念,根据分式成立的条件求解即可.熟练掌握分式的分母不等于零是解题的关 键. 【详解】解:由题意可得, , 故答案为: . 考查角度2 求自变量的值或函数值21.(2024·湖北·中考真题)铁的密度约为 ,铁的质量 与体积 成正比例.一个体 积为 的铁块,它的质量为 . 【答案】79 【分析】本题考查了正比例函数的应用.根据铁的质量 与体积 成正比例,列式计算即可求 解. 【详解】解:∵铁的质量 与体积 成正比例, ∴m关于V的函数解析式为 , 当 时, , 故答案为:79. 22.(2024·山西·中考真题)国际上常用的温标有华氏温标、摄氏温标和热力学温标.已知华氏温标 与摄氏温标 之间的函数关系为 ,热力学温标 与摄氏温标 之间的函数关系为 .当热力学温度 时,所对应的华氏温度为 . 【答案】 【分析】本题主要考查了求函数值,正确理解题意是解题的关键. 直接把 代入到 中确定 ,再代入 进行求解即可. 【详解】解:∵ , ∴ , 解得: , ∴ 故答案为: . 23.(2024·北京·中考真题)小云有一个圆柱形水杯(记为1号杯),在科技活动中,小云用所学数学知 识和人工智能软件设计了一个新水杯,并将其制作出来,新水杯(记为2号杯)示意图如下, 当1号杯和2号杯中都有 mL水时,小云分别记录了1号杯的水面高度 (单位:cm)和2号杯的水面高 度 (单位:cm),部分数据如下: /mL 0 40 100 200 300 400 500/cm 0 2.5 5.0 7.5 10.0 12.5 /cm 0 2.8 4.8 7.2 8.9 10.5 11.8 (1)补全表格(结果保留小数点后一位); (2)通过分析数据,发现可以用函数刻画 与 , 与 之间的关系.在给出的平面直角坐标系中,画出这 两个函数的图象; (3)根据以上数据与函数图象,解决下列问题: ①当1号杯和2号杯中都有320mL水时,2号杯的水面高度与1号杯的水面高度的差约为___________cm (结果保留小数点后一位); ②在①的条件下,将2号杯中的一都分水倒入1号杯中,当两个水杯的水面高度相同时,其水面高度约为 ___________cm(结果保留小数点后一位). 【答案】(1)1.0 (2)见详解 (3)1.2,8.5 【分析】本题考查了函数的图像与性质,描点法画函数图像,求一次函数解析式,已知函数值求自变量, 正确理解题意,熟练掌握知识点是解题的关键. (1)设V与 的函数关系式为: ,由表格数据得: ,则可求 ,代入 即可求解; (2)画 与 之间的关系图象时,描点,连线即可,画 与 的关系图像时,由于 是正比例函数, 故只需描出两点即可; (3)①当 时, ,由图象可知高度差 ;②在 左右两侧找到等 距的体积所对应的高度相同,大致为 . 【详解】(1)解:由题意得,设V与 的函数关系式为: ,由表格数据得: , 解得: , ∴ , ∴当 时, , ∴ ; (2)解:如图所示,即为所画图像, (3)解:①当 时, ,由图象可知高度差 , 故答案为:1.2; ②由图象可知当两个水杯的水面高度相同时,估算高度约为 ,故答案为: . ►考向三 函数图象 考查角度1 函数图象的识别 24.(2024·江西·中考真题)将常温中的温度计插入一杯 的热水(恒温)中,温度计的读数 与时 间 的关系用图象可近似表示为( ) A. B. C. D. 【答案】C 【分析】本题考查了函数图象,根据温度计上升到一定的温度后不变,可得答案;注意温度计的温度升高 到 时温度不变. 【详解】解:将常温中的温度计插入一杯 (恒温)的热水中,注意温度计的温度升高到 时温度不 变,故C选项图象符合条件, 故选:C. 25.(2024·四川凉山·中考真题)匀速地向如图所示的容器内注水,直到把容器注满.在注水过程中,容 器内水面高度 随时间 变化的大致图象是( ) A. B. C. D. 【答案】C 【分析】本题考查了函数图象,根据容器最下面圆柱底面积最小,中间圆柱底面积最大,最上面圆柱底面 积最较大即可判断求解,正确识图是解题的关键. 【详解】解:由容器可知,最下面圆柱底面积最小,中间圆柱底面积最大,最上面圆柱底面积最较大,所 以一开始水面高度 上升的很快,然后很慢,最后又上升的更快点, 故选: . 26.(2024·安徽·中考真题)如图,在 中, , , , 是边 上的高. 点E,F分别在边 , 上(不与端点重合),且 .设 ,四边形 的面积为y,则y关于x的函数图象为( ) A. B. C. D. 【答案】A 【分析】本题主要考查了函数图象的识别,相似三角形的判定以及性质,勾股定理的应用,过点E作 于点H,由勾股定理求出 ,根据等面积法求出 ,先证明 ,由相似三角形的 性质可得出 ,即可求出 ,再证明 ,由相似三角形的性质可得出 , 即可得出 ,根据 ,代入可得出一次函数的解析式, 最后根据自变量的大小求出对应的函数值. 【详解】解:过点E作 于点H,如下图: ∵ , , , ∴ , ∵ 是边 上的高. ∴ , ∴ , ∵ , , ∴ ,∴ , 解得: , ∴ , ∵ , , ∴ , , ∴ , ∴ , ∴ , ∴ ∵ , ∴当 时, , 当 时, . 故选:A. 考查角度2 从函数图象中获取信息 27.(2024·青海·中考真题)化学实验小组查阅资料了解到:某种絮凝剂溶于水后能够吸附水中悬浮物并 发生沉降,从而达到净水的目的.实验得出加入絮凝剂的体积与净水率之间的关系如图所示,下列说法正 确的是( )A.加入絮凝剂的体积越大,净水率越高 B.未加入絮凝剂时,净水率为 C.絮凝剂的体积每增加 ,净水率的增加量相等 D.加入絮凝剂的体积是 时,净水率达到 【答案】D 【分析】本题考查从图像上获取信息,能从图像上获得信息是解题的关键,根据图像信息对选项进行判断 即可 【详解】A、从图像上可以看到,加入絮凝剂的体积在 达到最大净水率,之后净水率开始降低,不 符合题意,选项错误; B、未加入絮凝剂时,净水率为 ,故不符合题意,选项错误; C、当絮凝剂的体积为 时,净水率增加量为 ,絮凝剂的体积为 时,净 水率增加量为 ;故絮凝剂的体积每增加 ,净水率的增加量不相等,不符合题 意,选项错误; D、根据图像可得,加入絮凝剂的体积是 时,净水率达到 ,符合题意,选项正确; 故选:D 28.(2024·河南·中考真题)把多个用电器连接在同一个插线板上,同时使用一段时间后,插线板的电源 线会明显发热,存在安全隐患.数学兴趣小组对这种现象进行研究,得到时长一定时,插线板电源线中的 电流I与使用电器的总功率P的函数图象(如图1),插线板电源线产生的热量Q与I的函数图象(如图 2).下列结论中错误的是( ) A.当 时, B.Q随I的增大而增大 C.I每增加1A,Q的增加量相同 D.P越大,插线板电源线产生的热量Q越多【答案】C 【分析】本题考查了函数的图象,准确从图中获取信息,并逐项判定即可. 【详解】解∶根据图1知:当 时, ,故选项A正确,但不符合题意; 根据图2知:Q随I的增大而增大,故选项B正确,但不符合题意; 根据图2知:Q随I的增大而增大,但前小半段增加的幅度小,后面增加的幅度大,故选项C错误,符合 题意; 根据图1知:I随P的增大而增大,又Q随I的增大而增大,则P越大,插线板电源线产生的热量Q越多, 故选项D正确,但不符合题意; 故选:C. 29.(2024·山西·中考真题)电动汽车的续航里程是指电动汽车的动力蓄电池在充满电的状态下可连续行 驶的总里程,它是电动汽车重要的经济性指标,科研团队在相同环境及路况下,经过测试得到某型号电动 汽车续航里程 与行驶速度 关系的图象如下,则下列结论正确的是( ) A.行驶速度越快,续航里程越短 B.当行驶速度为 时,续航里程最长 C.当行驶速度为 时,续航里程不足300km D.若续航里程大于500km,则行驶速度大于 【答案】B 【分析】题目主要考查根据函数图象获取相关信息,理解题意,结合函数图象得出信息求解即可 【详解】解:A、由图象得,在行驶速度为 时,续航里程逐渐增加,选项错误,不符合 题意; B、当行驶速度为 时,续航里程最长,选项正确,符合题意; C、当行驶速度为 时,续航里程大于 ,选项错误,不符合题意; D、若续航里程大于 ,则行驶速度在 之间,选项错误,不符合题意; 故选:B 30.(2024·四川资阳·中考真题)小王前往距家2000米的公司参会,先以 (米/分)的速度步行一段时间 后,再改骑共享单车直达会议地点,到达时距会议开始还有14分钟,小王距家的路程S(单位:米)与距 家的时间t(单位:分钟)之间的函数图象如图所示.若小王全程以 (米/分)的速度步行,则他到达时 距会议开始还有 分钟.【答案】5 【分析】本题考查了函数图象的识别,解题的关键是理解题意,读懂图象中每条线段蕴含的信息,灵活运 用所学知识解决问题. 根据图象求出 ,进而得出小王全程以 (米/分)的速度步行,则他到达需要时间,即可解答. 【详解】解:根据题意可得: (米/分), 小王全程以 (米/分)的速度步行,则他到达需要时间为: (分), 由图可知,会议开始时间为出发后 (分), ∴若小王全程以 (米/分)的速度步行,则他到达时距会议开始还有 (分), 故答案为:5. 31.(2024·天津·中考真题)已知张华的家、画社、文化广场依次在同一条直线上,画社离家 ,文 化广场离家 .张华从家出发,先匀速骑行了 到画社,在画社停留了 ,之后匀速骑行了 到文化广场,在文化广场停留 后,再匀速步行了 返回家.下面图中 表示时间, 表示 离家的距离.图象反映了这个过程中张华离家的距离与时间之间的对应关系. 请根据相关信息,回答下列问题: (1)①填表: 张华离开家的时间 1 4 13 30 张华离家的距离 ②填空:张华从文化广场返回家的速度为______ ; ③当 时,请直接写出张华离家的距离 关于时间 的函数解析式; (2)当张华离开家 时,他的爸爸也从家出发匀速步行了 直接到达了文化广场,那么从画社到文 化广场的途中 两人相遇时离家的距离是多少?(直接写出结果即可)【答案】(1) ; 0.075; 当 时, ;当 时, ;当 时①, ② ③ (2) 【分析】本题考查了从函数图象获取信息,求函数的解析式,列一元一次方程解决实际问题,准确理解题 意,熟练掌握知识点是解题的关键. (1)①根据图象作答即可; ②根据图象,由张华从文化广场返回家的距离除以时间求解即可; ③分段求解, ,可得出 ,当 时, ;当 时,设一次函数解析式 为: ,把 , 代入 ,用待定系数法求解即可. (2)先求出张华爸爸的速度,设张华爸爸距家 ,则 ,当两人相遇时有 ,列一元一次方程求解即可进一步得出答案. 【详解】(1)解:①画社离家 ,张华从家出发,先匀速骑行了 到画社, ∴张华的骑行速度为 , ∴张华离家 时,张华离家 , 张华离家 时,还在画社,故此时张华离家还是 , 张华离家 时,在文化广场,故此时张华离家还是 . 故答案为: . ② , 故答案为: . ③当 时,张华的匀速骑行速度为 , ∴ ; 当 时, ; 当 时,设一次函数解析式为: , 把 , 代入 ,可得出: , 解得: , ∴ , 综上:当 时, ,当 时, ,当 时, . (2)张华爸爸的速度为: , 设张华爸爸距家 ,则 ,当两人从画社到文化广场的途中 两人相遇时,有 , 解得: , ∴ , 故从画社到文化广场的途中 两人相遇时离家的距离是 . 考查角度3 动点问题的函数图像 32.(2024·甘肃·中考真题)如图1,动点P从菱形 的点A出发,沿边 匀速运动,运动到 点C时停止.设点P的运动路程为x, 的长为y,y与x的函数图象如图2所示,当点P运动到 中点 时, 的长为( ) A.2 B.3 C. D. 【答案】C 【分析】结合图象,得到当 时, ,当点P运动到点B时, ,根据菱形的性 质,得 ,继而得到 ,当点P运动到 中点时, 的 长为 ,解得即可. 本题考查了菱形的性质,图象信息题,勾股定理,直角三角形的性质,熟练掌握菱形的性质,勾股定理, 直角三角形的性质是解题的关键. 【详解】结合图象,得到当 时, , 当点P运动到点B时, , 根据菱形的性质,得 , 故 , 当点P运动到 中点时, 的长为 , 故选C. 33.(2024·山东烟台·中考真题)如图,水平放置的矩形 中, , ,菱形 的顶点 , 在同一水平线上,点 与 的中点重合, , ,现将菱形 以 的速度沿 方向匀速运动,当点 运动到 上时停止,在这个运动过程中,菱形 与矩形 重叠部分的面积 与运动时间 之间的函数关系图象大致是( )A. B. C. D. 【答案】D 【分析】本题考查了解直角三角形的应用,菱形的性质,动点问题的函数图象,二次函数的图象的性质, 先求得菱形的面积为 ,进而分三种情形讨论,重合部分为三角形,重合部分为五边形,重合部分为菱 形,分别求得面积与运动时间的函数关系式,结合选项,即可求解. 【详解】解:如图所示,设 交于点 , ∵菱形 , , ∴ 又∵ , ∴ 是等边三角形, ∵ , , ∴ ∴ ∴ 当 时,重合部分为 , 如图所示,依题意, 为等边三角形, 运动时间为 ,则 , ∴ 当 时,如图所示, 依题意, ,则 ∴ ∴ ∵ ∴当 时, 当 时,同理可得, 当 时,同理可得,综上所述,当 时,函数图象为开口向上的一段抛物线,当 时,函数图象为开口向下的一 段抛物线,当 时,函数图象为一条线段,当 时,函数图象为开口向下的一段抛物线,当 时,函数图象为开口向上的一段抛物线; 故选:D. 一、单选题 1.(2024·辽宁大连·三模)在化学学习中,我们在研究某物质的性质时,常常会用到“价类二维图”来研究 该物质化合价的变化问题.如下图所示为硫元素化合价的“价类二维图”,则在A、B、E、H四种物质中, 硫元素化合价最低的为( ) A.A B.B C.E D.H 【答案】A 【分析】本题考查的是坐标系的含义,由坐标系得到各物质的化合价,即可得到答案. 【详解】解:由价类二维图可得:A、B、E、H中硫元素化合价分别为 价, 价, 价, 价, ∴硫元素化合价最低的为A类; 故选A 2.(2024·山西·模拟预测)某树苗的初始高度为 ,如图,这是该树苗的高度与生长的月数的有关数 据示意图,假设以后一段时间内,该树苗高度的变化与月数保持此关系,则该树苗的高度 与生长月 数 之间的函数关系式为( )A. B. C. D. 【答案】D 【分析】本题考查了函数关系式,由题意可得树苗每个月增长的高度是 ,进而得出答案. 【详解】解:由题意得,树苗每个月增长的高度是 , 故该树苗的高度 与生长月数 之间的函数关系式为 , 故选: . 3.(2024·湖北·模拟预测)已知点 在第三象限则点 在( ) A.第一象限 B.第二象限 C.第三象限 D.第四象限 【答案】D 【分析】此题考查了已知点所在是象限求参数,根据点坐标判断点所在的象限,正确理解点的坐标与点所 在象限的关系是解题的关键.根据点 在第三象限,得到 , ,即可得到点 所 在的象限. 【详解】解: 点 在第三象限内, , , , , 点 在第四象限. 故选:D. 4.(2024·陕西西安·模拟预测)正比例函数 图象上一点P到x轴的距离与y轴距离之比为2, 且y的值随x值的增大而减小,则k的值为( ) A. B.2 C. D. 【答案】A 【分析】本题主要考查了正比例函数图象的性质,点到坐标轴的距离,设 ,根据点到x轴的距 离为纵坐标的绝对值,点到y轴的距离为横坐标的绝对值可得 ,则 ,再由y的值随x值的 增大而减小,得到 ,则 . 【详解】解;设 ,∵点P到x轴的距离与y轴距离之比为2, ∴ , ∴ , ∵y的值随x值的增大而减小, ∴ , ∴ , 故选:A. 5.(2024·上海·模拟预测)下列关于函数说法错误的个数为( ) (1)已知反比例函数 的图像在第一象限,则k的取值范围是 且 ; (2)单曲线不是反比例函数 (3)只要满足 且自变量k为不为0的常数的函数,就是反比例函数 (4)抛物线的解析式由顶点坐标和开口方向决定 (5)直线 是常值函数,常值函数不是函数 (6)直线 不是函数 A.1 B.2 C.3 D.4 【答案】D 【分析】本题主要考查了反比例函数的定义、函数的定义、二次函数图像的性质等知识点,理解相关定义 成为解题的关键. 根据反比例函数的定义、函数的定义、二次函数图像的性质逐个判断即可. 【详解】解:(1)已知反比例函数 的图像在第一象限,则k的取值范围是 且 ,说法正确; (2)单曲线不是反比例函数,说法错误; (3)只要满足 且自变量k为不为0的常数的函数,就是反比例函数,说法正确; (4)抛物线的解析式由顶点坐标和开口方向决定,说法错误; (5)直线 是常值函数,常值函数是函数,说法错误; (6)直线 不是函数,说法错误. 综上,错误的有4个. 故选:D. 6.(2024·湖北武汉·模拟预测)如图,大拇指与小拇指尽量张开时,两指尖的距离称为指距.根据最近人 体构造学的研究成果,下表是测得的指距与身高的一组数据: 指距d( ) 20 21 22 23 身高h( ) 已知,世界上被证实最高的人的身高是 厘米,则他的指距约为( )A. B. C. D. 【答案】B 【分析】本题考查了用表格表示函数关系,根据表格可知,指距 每增加 身高 就增加 ,据此列 式计算即可求出答案. 【详解】解:根据表格可知,指距 每增加 身高 就增加 , , 即世界上被证实最高的人的身高是 厘米,则他的指距约为 , 故选:B. 7.(2024·山东·模拟预测)若点 关于坐标原点中心对称的点Q在第四象限,则m的取值 范围为( ) A. B. C. D. 【答案】D 【分析】本题考查了关于原点对称的点的坐标特点和点的坐标,以及解不等式组,掌握两个点关于原点对 称时,它们的坐标符号相反,即点 关于原点 的对称点是 是解题的关键.根据关于原点对称 的点的坐标特点求出点Q的坐标,根据第四象限点的坐标特征列出不等式组,解不等式组即可. 【详解】解:由题知,点 关于坐标原点中心对称的点Q的坐标为 , 点Q在第四象限, , 解得 , 故选:D. 8.(2024·辽宁·模拟预测)若点 在平面直角坐标系的第三象限内,则x的取值范围在数轴上 可表示为( ) A. B. C. D. 【答案】C 【分析】本题考查点的坐标特征、解一元一次不等式组、在数轴上表示解集,根据点P在第三象限可得 ,再解不等式组,并在数轴上表示即可. 【详解】解:∵点 在平面直角坐标系的第三象限内,∴ , 解①得: ; 解②得: , ∴x的取值范围在数轴上可表示如图: 故选:C. 9.(2024·湖北·模拟预测)如图,等边 的边长为 ,动点 从点 出发,以每秒 的速度,沿 的方向运动,当点 回到点 时运动停止.设运动时间为 (秒), ,则 关于 的函数的图象大致为( ) A. B. C. D. 【答案】D 【分析】需要分类讨论:①当 ,即点 在线段 上时,过 作 于点 ,由勾股定理即 可求得 与 的函数关系式,然后根据函数关系式确定该函数的图象.②当 ,, 与 的函数关系 式是 ,根据该函数关系式可以确定该函数的图象;③当 时,则 ,根据该函数关系式可以确定该函数的图象.本题考查了二次函数与动点问题的函数 图象.解答该题时,需要对点 的位置进行分类讨论,以防错选. 【详解】解:如图,过 作 于点 ,则 , , ①当点 在 上时, , , , , 该函数图象是开口向上的抛物线,对称轴为直线 ; 由此可排除A,B,C. ②当 时,即点 在线段 上时, ; 则 , 该函数的图象是在 上的抛物线,且对称轴为 ; ③当 时,即点 在线段 上,此时, , 则 , 该函数的图象是在 上的抛物线,且对称轴为直线 ; 故选:D. 第II卷(非选择题) 请点击修改第II卷的文字说明 二、填空题 10.(2024·山西·三模)国际上常用的温标有华氏温标、摄氏温标和热力学温标.已知华氏温标 与摄 氏温标 之间的函数关系为 ,热力学温标 与摄氏温标 之间的函数关系为 .当热力学温度 时,所对应的华氏温度为 . 【答案】 【分析】本题考查求自变量或函数值,先将T值代入 中求得c值,再将c值代入 中求解即可. 【详解】解:由题意,将 代入 中,得 , 将 代入 中,得 , 故答案为: .11.(2024·全国·模拟预测)在函数 中,自变量 的取值范围是 【答案】 且 【分析】根据分式的分母不为零、二次根式的被开方数为非负数求解可得答案. 【解答】解:根据题意,得: 且 , 解得 且 , 故答案为: 且 . 12.(2024·江苏·模拟预测)如图,在平面直角坐标系 中,点A,点B的坐标分别为 ,将 线段 沿x轴的正方向平移,若点B的对应点的坐标为 ,则点A的对应点 的坐标为 . 【答案】 【分析】本题考查了坐标与图形变化-平移.解决本题的关键是正确理解题目.根据平移的性质即可得到结 论. 【详解】解:∵将线段 沿x轴的正方向平移,若点B的对应点 的坐标为(2,0), ∵ , ∴ , ∴ , 故答案为: . 13.(2024·广西·模拟预测)若点 在第三象限,则实数x的取值范围 . 【答案】 【分析】此题考查了解一元一次不等式组以及点的坐标,列出不等式组是解答本题的关键.根据 为第三 象限点,得到横坐标小于0,纵坐标小于0,列出关于 的不等式组,求出不等式组的解集即可得到结果. 【详解】解:根据题意得: , 由①得: ; 由②得: , 则不等式组的解集为 , 故答案为: . 14.(2024·重庆·模拟预测)已知点 ,则点 到原点的距离是 .【答案】 【分析】本题考查勾股定理及坐标与图形性质,理解点的坐标的几何意义是解题关键.根据点 , 利用勾股定理即可求出点P到原点的距离. 【详解】解:∵点P坐标为 , ∴P到原点的距离为 , 故答案: . 15.(2024·重庆·模拟预测)某同学在 时刻静止站在体重秤上,随后完成“下蹲”和“站起”的动作,体重 秤的示数F随时间t的变化情况如图所示,则该同学对力传感器的最小压力约为 N. 【答案】200 【分析】本题主要考查了函数图象.熟练掌握图象关键信息,是解题的关键. 观察图象获取 到 时间段内的压力最小数据,即可. 【详解】由图象看出, 在 到 时间段做“下蹲”动作时,该同学对力传感器的压力最小,约为 . 故答案为:200, 16.(2024·辽宁·模拟预测)如图,在等腰 中, ,点D为 中点,点E在 上,以点D为直角顶点, 为直角边构造等腰 ,其中 交 于G.设 =y, ,则y关于x的函数解析式为 (无需写出自变量的取值范围). 【答案】【分析】延长 至点H,使得 ,连接 ,证明 ,则得到 ,而 ,故 . 【详解】解:延长 至点H,使得 ,连接 , 由题意得, , ∵ , ∴ , ∴ , ∴ , ∴ , ∵ , ∴ ∴ , 故答案为: . 【点睛】本题考查了相似三角形的判定与性质,勾股定理,函数解析式的建立等,熟练掌握知识点,正确 构造“一线三等角”的相似是解题的关键. 17.(2024·浙江·模拟预测)生活中很多图案都与斐波那契数列1,1,2,3,5,8,…相关,如图,在平 面直角坐标系中,依次以这组数为半径作90°的圆弧,得到一组螺旋线,若各点的坐标分别为 , , , 则点 的坐标为 .【答案】 【分析】此题考查了在平面直角坐标系中的点的坐标变化规律,解题的关键是找出每个点的坐标及运动规 律,观察图象,找出图中每个点的运动轨迹与数组的变化规律,推出 的坐标,即可解决问题; 【详解】解:观察发现: 先向右平移1个单位,再向上平移1个单位得到 ; 先向右 平移1个单位,再向下平移1个单位得到 ; 先向左平移2个单位,再向下平移2个单位得到 ; 先向左平移3个单位,再向上平移3个单位得到 ; 先向右平移5个单位,再向上平移5个单位得到 ; 根据1,1,2,3,5,8,13,…的变化规律可知, 先向右平移8个单位,再向下平移8个单位得到 ; 故答案为 18.(2024·北京·模拟预测)如图,平面直角坐标系中,O 为坐标原点,以 O 为圆心作 ,点A 、C 分别是 与y轴正半轴、x轴正半轴的交点,点B 、D在 上,那么 的度数是 . 【答案】 /135度 【分析】本题主要考查了坐标与图形,圆周角定理,利用“在同圆中,同弧所对的圆周角是所对的圆心角的 一半”求得 ;然后由圆内接四边形的对角互补来求 的度数. 【详解】解:∵ , ,∴ , 又∵点A、B、C、D共圆, ∴ , ∴ . 故答案是: . 19.(2022·山东济南·二模)秤是我国传统的计重工具.如图,可以用秤砣到秤纽的水平距离,来得出秤 钩上所挂物体的重量.称重时,秤钩所挂物重为y(斤)是秤杆上秤砣到秤纽的水平距离x(厘米)的一次 函数.下表中为若干次称重时所记录的一些数据: x(厘米) 1 3 4 6 11 12 y(斤) 0.75 1.25 1.50 2.25 3.25 3.50 其中有一个y值记录错误,请排除后,利用正确数据确定当 厘米时,对应的y为 斤. 【答案】6.5/ 【分析】根据 , ,发现2.25记录错 误,更正为 ,设y=0.25x+b,将(1,0.75)代入,求得b=0.5,得到y=0.25x+0.5,把 x=24代入, 得到结果. 【详解】解:∵ , , ∴2.25记录错误,应为 , x(厘米) 1 3 4 6 11 12 y(斤) 0.75 1.25 1.50 2.00 3.25 3.50 设y=0.25x+b, 将(1,0.75)代入,得0.75=0.25+b, ∴b=0.5, ∴y=0.25x+0.5, 当x=24时, ,故答案为:6.5. 【点睛】本题考查了表格数据纠错,一次函数的表示方法和一次函数的应用,熟练掌握数据用比例查错纠 错,函数的三种表示方法,由表格数据求函数解析式,是解决此类问题的关键. 三、解答题 20.(2024·重庆·模拟预测)如图,四边形 是边长为 的菱形, ,动点 分别以每秒 个单位长度的速度同时从点 出发,点 沿折线 方向运动,点 沿折线 方向运动, 当两点相遇时停止运动.设运动时间为 秒,点 两点间的距离为 . (1)请直接写出 关于 的函数表达式并注明自变量 的取值范围; (2)在给定的平面直角坐标系中画出这个函数的图象,并写出该函数的一条性质; (3)结合函数图象,直接写出点 相距 个单位长度时 的值.(结果保留一位小数) 【答案】(1) (2)图象见解析,当 时, 随着 的增大而增大,当 时, 随着 的增大而减小 (3) 秒或 秒 【分析】(1)由四边形 是菱形,可得 , ,由题意知,当 时, 在 上运动,且 是等边三角形,则 ;当 时, 在 上运动,且 是等边三角形,则 ;进而可得 关于 的函数表 达式; (2)作一次函数图象即可;然后根据图象作答即可; (3)当 时, 或 ,计算求解,然后作答即可. 【详解】(1)解:∵四边形 是菱形, ∴ , , 由题意知,当 时, 在 上运动,如图1,且 是等边三角形,图1 ∴ ; 当 时, 在 上运动,如图2,且 是等边三角形, 图2 ∴ ; 综上所述, ; (2)解:函数图象如下; 由图象可得,当 时, 随着 的增大而增大,当 时, 随着 的增大而减小; (3)解:当 时, 或 , 解得, 或 , ∴点 相距 个单位长度时 的值为 秒或 秒. 【点睛】本题考查了菱形的性质,等边三角形的判定与性质,一次函数的应用,一次函数的图象与性质等 知识.熟练掌握菱形的性质,等边三角形的判定与性质,一次函数的应用,一次函数的图象与性质是解题 的关键. 21.(2024·河北·模拟预测)某班级同学从学校出发去白鹿原研学旅行,一部分坐大客车先出发,余下的几人 后乘坐小轿车沿同一路线出行,大客车中途停车等候, 后小轿车赶了上来,大客车随即开 动,以出发时速度的 继续行驶,小轿车保持原速度不变,最终两车相继到达了景点入口,两车距学校的 路程 单位: 和行驶时间 单位: 之间的函数关系如图所示,请结合图象解决下列问题. (1)求大客车在途中等候时距学校的路程有多远? (2)在小轿车到达景点入口时,大客车离景点入口还有多远? 【答案】(1) (2) 【分析】本题考查从函数图象中提取信息,解答本题的关键是明确题意,利用数形结合的思想解答. (1)根据题意和函数图象中的数据,可以计算出小轿车的速度,然后即可得到 的值,从而可以得到大客 车在途中等候时距学校的路程有多远; (2)根据题意,可以计算出大客车开始的速度和后来的速度,从而可以计算出在小轿车到达景点入口时, 大客车离景点入口还有多远. 【详解】(1)解:由图象可得, 小轿车的速度为: , , 即大客车在途中等候时距学校的路程有 ; (2)解:大客车开始的速度为: , 大客车后来的速度为: , , 即在小轿车到达景点入口时,大客车离景点入口还有 . 22.(2024·浙江·三模)欲建一个容积恒定,底面为正方形的无盖长方体蓄水池.设底面正方形的边长为 (单位: ),蓄水池的深度为 (单位: ),当 时, .(1)①求蓄水池的容积; ②求 关于 的函数解析式,并画出函数图象; ③若要求蓄水池深度满足 ,求 的取值范围. (2)现要在蓄水池内的底部与侧壁上贴瓷砖.请根据函数学习经验,探索 取何值时,所需瓷砖面积最小? (结果精确到 ) 【答案】(1)① ;② ,见解析;③ (2) 时,所需瓷砖面积最小 【分析】本题主要考查了求函数解析式、画函数图象、从函数图象中获取信息,正确求出函数解析式,采 用数形结合的思想是解此题的关键. (1)①设蓄水池的容积为 ,根据长方体的体积为底面积 高,即可得出 ,代入当 时, 计算即可得出答案;②由①得 ,整理即可得出答案,根据解析式画出函数图象即可;③由 题意得出 ,计算即可得出答案; (2)设瓷砖总面积为 ,则 ,再列表画出函数图象,结合函数图象即可得出 答案. 【详解】(1)解:①设蓄水池的容积为 , 由题意得: , 当 时, 时,代入可得 ; ②由①得 , ∴ ; 画出函数图象如图1所示:③由题意 , , , ; (2)解:设瓷砖总面积为 ,则 , 列表得, … 1 2 3 4 5 6 … … 129 68 48 … 描点,画函数图象如图所示: 由图象可得 时, 最小. 23.(2024·湖南长沙·模拟预测)某校与当地国防大学联合开展红色之旅研学活动,如地图1,上午 , 国防大学官兵乘坐军车从营地出发,同时学校师生乘坐大巴从学校出发,沿公路到红军抗战纪念基地进行 研学.上午 ,军车在离营地 的地方追上大巴并继续前行,到达仓库后,国防大学官兵下车领取 研学物资,然后乘坐军车继续按原速前行,最后和师生同时到达基地,图2为军车和大巴离营地的路程 与所用时间 的函数关系.(1)求国防大学官兵在仓库领取物资所用的时间. (2)求大巴离营地的路程 与所用时间 的函数表达式及 的值. (3)请直接写出军车领先大巴4km时对应的大巴离营地的路程. 【答案】(1) (2) , (3) 或 【分析】本题考查用函数图象表示变量之间的关系,从图象中有效的获取信息,正确的求出函数解析式, 是解题的关键: (1)分别求出军车和大巴的车速,分别求出军车到达仓库的时间,军车从仓库到达基地的时间,以及大 巴车到达基地的时间,再用大巴车所用时间减去军车到达仓库的时间以及军车从仓库到达基地的时间,即 可; (2)利用大巴车离开营地的距离等于大巴车行驶的路程加上 ,列出函数关系式,由(1)中大巴车 到达基地所用时间,即可得出 的值; (3)分军车到达仓库之前和军车到达仓库两种情况,求出军车领先大巴4km时的时间,代入(2)中的解 析式,求解即可. 【详解】(1)解:由图象可知,军车的速度为: ,大巴车的速度为: , ∴军车到达仓库所用时间为: , 从仓库到达基地所用时间为: , 大巴车到达基地的时间为: , ∴部队官兵在仓库领取物资所用的时间为 . (2)解:由(1)知:大巴车的速度为: ,大巴车到达基地的时间为: ,∴ , ; (3)解:①当军车到达仓库之前: , 解得: , 把 代入 ,得: ; ②当军车到达仓库时: , 解得: , 把 代入 ,得: ; 综上:军车领先大巴4km时对应的大巴离营地的路程为 或 . 24.(2024·湖北·模拟预测)阅读以下材料并完成问题 材料一:数形结合是一种重要的数学思想如 可看做是图一中 的长, 可看做是 的长. 材料二:费马点问题是一个古老的数学问题.费马点即在 中有一点 使得 的值最小. 著名法学家费马给出的证明方法如下: 将 绕 点向外旋转 得到 ,并连接 易得 是等边三角形、 ,则 , 则 ,所以 的值最小为 . 请结合以上两材料求出 的最小值 【答案】 【分析】本题考查坐标与图形,含30度角的直角三角形的性质,等边三角形的性质,勾股定理,将原式转 化为 ,构造直角三角形 , , , 以 为坐标原点构造直角坐标系,设 为 ,进而得到 , , ,将 绕点 点逆时针旋转 得到 ,并做 ,根据旋转的性质, 含30度角的性质,求出 的长,根据 ,进行求解即可. 【详解】解:原式 可看做下图中的 ,其中 为则 , , 将 绕点 点逆时针旋转 得到 ,并做 , , , , , , 为等边三角形, , , , 又 , ∵ , ∴ , ∴ 的最小值为 ; 的最小值为 .