当前位置:首页>文档>专题03平面直角坐标系与函数(4大模块知识梳理+9个考点+3个易错点)解析版_2数学总复习_2025中考复习资料_2025年中考数学一轮知识梳理

专题03平面直角坐标系与函数(4大模块知识梳理+9个考点+3个易错点)解析版_2数学总复习_2025中考复习资料_2025年中考数学一轮知识梳理

  • 2026-03-22 01:01:47 2026-02-05 20:31:52

文档预览

专题03平面直角坐标系与函数(4大模块知识梳理+9个考点+3个易错点)解析版_2数学总复习_2025中考复习资料_2025年中考数学一轮知识梳理
专题03平面直角坐标系与函数(4大模块知识梳理+9个考点+3个易错点)解析版_2数学总复习_2025中考复习资料_2025年中考数学一轮知识梳理
专题03平面直角坐标系与函数(4大模块知识梳理+9个考点+3个易错点)解析版_2数学总复习_2025中考复习资料_2025年中考数学一轮知识梳理
专题03平面直角坐标系与函数(4大模块知识梳理+9个考点+3个易错点)解析版_2数学总复习_2025中考复习资料_2025年中考数学一轮知识梳理
专题03平面直角坐标系与函数(4大模块知识梳理+9个考点+3个易错点)解析版_2数学总复习_2025中考复习资料_2025年中考数学一轮知识梳理
专题03平面直角坐标系与函数(4大模块知识梳理+9个考点+3个易错点)解析版_2数学总复习_2025中考复习资料_2025年中考数学一轮知识梳理
专题03平面直角坐标系与函数(4大模块知识梳理+9个考点+3个易错点)解析版_2数学总复习_2025中考复习资料_2025年中考数学一轮知识梳理
专题03平面直角坐标系与函数(4大模块知识梳理+9个考点+3个易错点)解析版_2数学总复习_2025中考复习资料_2025年中考数学一轮知识梳理
专题03平面直角坐标系与函数(4大模块知识梳理+9个考点+3个易错点)解析版_2数学总复习_2025中考复习资料_2025年中考数学一轮知识梳理
专题03平面直角坐标系与函数(4大模块知识梳理+9个考点+3个易错点)解析版_2数学总复习_2025中考复习资料_2025年中考数学一轮知识梳理
专题03平面直角坐标系与函数(4大模块知识梳理+9个考点+3个易错点)解析版_2数学总复习_2025中考复习资料_2025年中考数学一轮知识梳理
专题03平面直角坐标系与函数(4大模块知识梳理+9个考点+3个易错点)解析版_2数学总复习_2025中考复习资料_2025年中考数学一轮知识梳理
专题03平面直角坐标系与函数(4大模块知识梳理+9个考点+3个易错点)解析版_2数学总复习_2025中考复习资料_2025年中考数学一轮知识梳理
专题03平面直角坐标系与函数(4大模块知识梳理+9个考点+3个易错点)解析版_2数学总复习_2025中考复习资料_2025年中考数学一轮知识梳理
专题03平面直角坐标系与函数(4大模块知识梳理+9个考点+3个易错点)解析版_2数学总复习_2025中考复习资料_2025年中考数学一轮知识梳理
专题03平面直角坐标系与函数(4大模块知识梳理+9个考点+3个易错点)解析版_2数学总复习_2025中考复习资料_2025年中考数学一轮知识梳理
专题03平面直角坐标系与函数(4大模块知识梳理+9个考点+3个易错点)解析版_2数学总复习_2025中考复习资料_2025年中考数学一轮知识梳理
专题03平面直角坐标系与函数(4大模块知识梳理+9个考点+3个易错点)解析版_2数学总复习_2025中考复习资料_2025年中考数学一轮知识梳理
专题03平面直角坐标系与函数(4大模块知识梳理+9个考点+3个易错点)解析版_2数学总复习_2025中考复习资料_2025年中考数学一轮知识梳理
专题03平面直角坐标系与函数(4大模块知识梳理+9个考点+3个易错点)解析版_2数学总复习_2025中考复习资料_2025年中考数学一轮知识梳理
专题03平面直角坐标系与函数(4大模块知识梳理+9个考点+3个易错点)解析版_2数学总复习_2025中考复习资料_2025年中考数学一轮知识梳理
专题03平面直角坐标系与函数(4大模块知识梳理+9个考点+3个易错点)解析版_2数学总复习_2025中考复习资料_2025年中考数学一轮知识梳理
专题03平面直角坐标系与函数(4大模块知识梳理+9个考点+3个易错点)解析版_2数学总复习_2025中考复习资料_2025年中考数学一轮知识梳理
专题03平面直角坐标系与函数(4大模块知识梳理+9个考点+3个易错点)解析版_2数学总复习_2025中考复习资料_2025年中考数学一轮知识梳理
专题03平面直角坐标系与函数(4大模块知识梳理+9个考点+3个易错点)解析版_2数学总复习_2025中考复习资料_2025年中考数学一轮知识梳理
专题03平面直角坐标系与函数(4大模块知识梳理+9个考点+3个易错点)解析版_2数学总复习_2025中考复习资料_2025年中考数学一轮知识梳理
专题03平面直角坐标系与函数(4大模块知识梳理+9个考点+3个易错点)解析版_2数学总复习_2025中考复习资料_2025年中考数学一轮知识梳理
专题03平面直角坐标系与函数(4大模块知识梳理+9个考点+3个易错点)解析版_2数学总复习_2025中考复习资料_2025年中考数学一轮知识梳理
专题03平面直角坐标系与函数(4大模块知识梳理+9个考点+3个易错点)解析版_2数学总复习_2025中考复习资料_2025年中考数学一轮知识梳理
专题03平面直角坐标系与函数(4大模块知识梳理+9个考点+3个易错点)解析版_2数学总复习_2025中考复习资料_2025年中考数学一轮知识梳理
专题03平面直角坐标系与函数(4大模块知识梳理+9个考点+3个易错点)解析版_2数学总复习_2025中考复习资料_2025年中考数学一轮知识梳理
专题03平面直角坐标系与函数(4大模块知识梳理+9个考点+3个易错点)解析版_2数学总复习_2025中考复习资料_2025年中考数学一轮知识梳理
专题03平面直角坐标系与函数(4大模块知识梳理+9个考点+3个易错点)解析版_2数学总复习_2025中考复习资料_2025年中考数学一轮知识梳理
专题03平面直角坐标系与函数(4大模块知识梳理+9个考点+3个易错点)解析版_2数学总复习_2025中考复习资料_2025年中考数学一轮知识梳理
专题03平面直角坐标系与函数(4大模块知识梳理+9个考点+3个易错点)解析版_2数学总复习_2025中考复习资料_2025年中考数学一轮知识梳理
专题03平面直角坐标系与函数(4大模块知识梳理+9个考点+3个易错点)解析版_2数学总复习_2025中考复习资料_2025年中考数学一轮知识梳理
专题03平面直角坐标系与函数(4大模块知识梳理+9个考点+3个易错点)解析版_2数学总复习_2025中考复习资料_2025年中考数学一轮知识梳理
专题03平面直角坐标系与函数(4大模块知识梳理+9个考点+3个易错点)解析版_2数学总复习_2025中考复习资料_2025年中考数学一轮知识梳理
专题03平面直角坐标系与函数(4大模块知识梳理+9个考点+3个易错点)解析版_2数学总复习_2025中考复习资料_2025年中考数学一轮知识梳理
专题03平面直角坐标系与函数(4大模块知识梳理+9个考点+3个易错点)解析版_2数学总复习_2025中考复习资料_2025年中考数学一轮知识梳理
专题03平面直角坐标系与函数(4大模块知识梳理+9个考点+3个易错点)解析版_2数学总复习_2025中考复习资料_2025年中考数学一轮知识梳理
专题03平面直角坐标系与函数(4大模块知识梳理+9个考点+3个易错点)解析版_2数学总复习_2025中考复习资料_2025年中考数学一轮知识梳理
专题03平面直角坐标系与函数(4大模块知识梳理+9个考点+3个易错点)解析版_2数学总复习_2025中考复习资料_2025年中考数学一轮知识梳理
专题03平面直角坐标系与函数(4大模块知识梳理+9个考点+3个易错点)解析版_2数学总复习_2025中考复习资料_2025年中考数学一轮知识梳理
专题03平面直角坐标系与函数(4大模块知识梳理+9个考点+3个易错点)解析版_2数学总复习_2025中考复习资料_2025年中考数学一轮知识梳理
专题03平面直角坐标系与函数(4大模块知识梳理+9个考点+3个易错点)解析版_2数学总复习_2025中考复习资料_2025年中考数学一轮知识梳理
专题03平面直角坐标系与函数(4大模块知识梳理+9个考点+3个易错点)解析版_2数学总复习_2025中考复习资料_2025年中考数学一轮知识梳理
专题03平面直角坐标系与函数(4大模块知识梳理+9个考点+3个易错点)解析版_2数学总复习_2025中考复习资料_2025年中考数学一轮知识梳理
专题03平面直角坐标系与函数(4大模块知识梳理+9个考点+3个易错点)解析版_2数学总复习_2025中考复习资料_2025年中考数学一轮知识梳理
专题03平面直角坐标系与函数(4大模块知识梳理+9个考点+3个易错点)解析版_2数学总复习_2025中考复习资料_2025年中考数学一轮知识梳理
专题03平面直角坐标系与函数(4大模块知识梳理+9个考点+3个易错点)解析版_2数学总复习_2025中考复习资料_2025年中考数学一轮知识梳理
专题03平面直角坐标系与函数(4大模块知识梳理+9个考点+3个易错点)解析版_2数学总复习_2025中考复习资料_2025年中考数学一轮知识梳理
专题03平面直角坐标系与函数(4大模块知识梳理+9个考点+3个易错点)解析版_2数学总复习_2025中考复习资料_2025年中考数学一轮知识梳理
专题03平面直角坐标系与函数(4大模块知识梳理+9个考点+3个易错点)解析版_2数学总复习_2025中考复习资料_2025年中考数学一轮知识梳理
专题03平面直角坐标系与函数(4大模块知识梳理+9个考点+3个易错点)解析版_2数学总复习_2025中考复习资料_2025年中考数学一轮知识梳理
专题03平面直角坐标系与函数(4大模块知识梳理+9个考点+3个易错点)解析版_2数学总复习_2025中考复习资料_2025年中考数学一轮知识梳理
专题03平面直角坐标系与函数(4大模块知识梳理+9个考点+3个易错点)解析版_2数学总复习_2025中考复习资料_2025年中考数学一轮知识梳理
专题03平面直角坐标系与函数(4大模块知识梳理+9个考点+3个易错点)解析版_2数学总复习_2025中考复习资料_2025年中考数学一轮知识梳理
专题03平面直角坐标系与函数(4大模块知识梳理+9个考点+3个易错点)解析版_2数学总复习_2025中考复习资料_2025年中考数学一轮知识梳理
专题03平面直角坐标系与函数(4大模块知识梳理+9个考点+3个易错点)解析版_2数学总复习_2025中考复习资料_2025年中考数学一轮知识梳理
专题03平面直角坐标系与函数(4大模块知识梳理+9个考点+3个易错点)解析版_2数学总复习_2025中考复习资料_2025年中考数学一轮知识梳理
专题03平面直角坐标系与函数(4大模块知识梳理+9个考点+3个易错点)解析版_2数学总复习_2025中考复习资料_2025年中考数学一轮知识梳理
专题03平面直角坐标系与函数(4大模块知识梳理+9个考点+3个易错点)解析版_2数学总复习_2025中考复习资料_2025年中考数学一轮知识梳理
专题03平面直角坐标系与函数(4大模块知识梳理+9个考点+3个易错点)解析版_2数学总复习_2025中考复习资料_2025年中考数学一轮知识梳理
专题03平面直角坐标系与函数(4大模块知识梳理+9个考点+3个易错点)解析版_2数学总复习_2025中考复习资料_2025年中考数学一轮知识梳理
专题03平面直角坐标系与函数(4大模块知识梳理+9个考点+3个易错点)解析版_2数学总复习_2025中考复习资料_2025年中考数学一轮知识梳理
专题03平面直角坐标系与函数(4大模块知识梳理+9个考点+3个易错点)解析版_2数学总复习_2025中考复习资料_2025年中考数学一轮知识梳理
专题03平面直角坐标系与函数(4大模块知识梳理+9个考点+3个易错点)解析版_2数学总复习_2025中考复习资料_2025年中考数学一轮知识梳理
专题03平面直角坐标系与函数(4大模块知识梳理+9个考点+3个易错点)解析版_2数学总复习_2025中考复习资料_2025年中考数学一轮知识梳理
专题03平面直角坐标系与函数(4大模块知识梳理+9个考点+3个易错点)解析版_2数学总复习_2025中考复习资料_2025年中考数学一轮知识梳理
专题03平面直角坐标系与函数(4大模块知识梳理+9个考点+3个易错点)解析版_2数学总复习_2025中考复习资料_2025年中考数学一轮知识梳理
专题03平面直角坐标系与函数(4大模块知识梳理+9个考点+3个易错点)解析版_2数学总复习_2025中考复习资料_2025年中考数学一轮知识梳理
专题03平面直角坐标系与函数(4大模块知识梳理+9个考点+3个易错点)解析版_2数学总复习_2025中考复习资料_2025年中考数学一轮知识梳理
专题03平面直角坐标系与函数(4大模块知识梳理+9个考点+3个易错点)解析版_2数学总复习_2025中考复习资料_2025年中考数学一轮知识梳理
专题03平面直角坐标系与函数(4大模块知识梳理+9个考点+3个易错点)解析版_2数学总复习_2025中考复习资料_2025年中考数学一轮知识梳理
专题03平面直角坐标系与函数(4大模块知识梳理+9个考点+3个易错点)解析版_2数学总复习_2025中考复习资料_2025年中考数学一轮知识梳理
专题03平面直角坐标系与函数(4大模块知识梳理+9个考点+3个易错点)解析版_2数学总复习_2025中考复习资料_2025年中考数学一轮知识梳理
专题03平面直角坐标系与函数(4大模块知识梳理+9个考点+3个易错点)解析版_2数学总复习_2025中考复习资料_2025年中考数学一轮知识梳理
专题03平面直角坐标系与函数(4大模块知识梳理+9个考点+3个易错点)解析版_2数学总复习_2025中考复习资料_2025年中考数学一轮知识梳理
专题03平面直角坐标系与函数(4大模块知识梳理+9个考点+3个易错点)解析版_2数学总复习_2025中考复习资料_2025年中考数学一轮知识梳理
专题03平面直角坐标系与函数(4大模块知识梳理+9个考点+3个易错点)解析版_2数学总复习_2025中考复习资料_2025年中考数学一轮知识梳理
专题03平面直角坐标系与函数(4大模块知识梳理+9个考点+3个易错点)解析版_2数学总复习_2025中考复习资料_2025年中考数学一轮知识梳理
专题03平面直角坐标系与函数(4大模块知识梳理+9个考点+3个易错点)解析版_2数学总复习_2025中考复习资料_2025年中考数学一轮知识梳理
专题03平面直角坐标系与函数(4大模块知识梳理+9个考点+3个易错点)解析版_2数学总复习_2025中考复习资料_2025年中考数学一轮知识梳理
专题03平面直角坐标系与函数(4大模块知识梳理+9个考点+3个易错点)解析版_2数学总复习_2025中考复习资料_2025年中考数学一轮知识梳理
专题03平面直角坐标系与函数(4大模块知识梳理+9个考点+3个易错点)解析版_2数学总复习_2025中考复习资料_2025年中考数学一轮知识梳理
专题03平面直角坐标系与函数(4大模块知识梳理+9个考点+3个易错点)解析版_2数学总复习_2025中考复习资料_2025年中考数学一轮知识梳理
专题03平面直角坐标系与函数(4大模块知识梳理+9个考点+3个易错点)解析版_2数学总复习_2025中考复习资料_2025年中考数学一轮知识梳理
专题03平面直角坐标系与函数(4大模块知识梳理+9个考点+3个易错点)解析版_2数学总复习_2025中考复习资料_2025年中考数学一轮知识梳理
专题03平面直角坐标系与函数(4大模块知识梳理+9个考点+3个易错点)解析版_2数学总复习_2025中考复习资料_2025年中考数学一轮知识梳理
专题03平面直角坐标系与函数(4大模块知识梳理+9个考点+3个易错点)解析版_2数学总复习_2025中考复习资料_2025年中考数学一轮知识梳理
专题03平面直角坐标系与函数(4大模块知识梳理+9个考点+3个易错点)解析版_2数学总复习_2025中考复习资料_2025年中考数学一轮知识梳理

文档信息

文档格式
docx
文档大小
5.733 MB
文档页数
88 页
上传时间
2026-02-05 20:31:52

文档内容

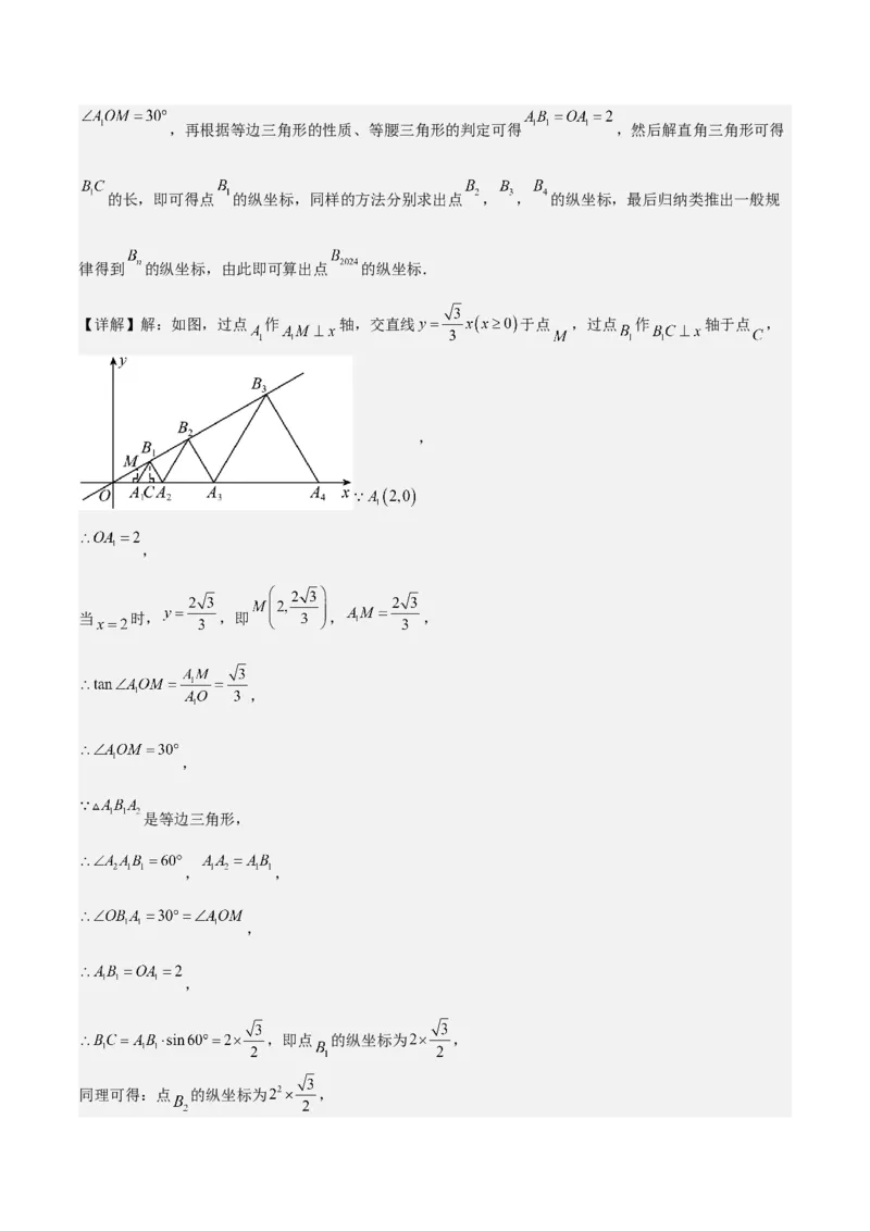
专题 03 平面直角坐标系与函数 目录 01 理·思维导图:呈现教材知识结构,构建学科知识体系。 02 盘·基础知识:甄选核心知识逐项分解,基础不丢分。(4大模块知识梳理) 知识模块一:平面直角坐标系 知识模块二:点的坐标特征与变换 知识模块三: 坐标方法的简单应用 知识模块四: 函数 03 究·考点考法:对考点考法进行细致剖析和讲解,全面提升。(9大考点) 考点一:用有序数对表示位置 考点二:实际问题中用坐标表示位置 考点三:判断点所在的象限 考点四:直角坐标系中点的坐标 考点五:点坐标规律探索 考点六:点的坐标变换 考点七:自变量和函数值 考点八:函数解析式 考法九:函数图象 04 辨·易混易错:点拨易混易错知识点,冲刺高分。(3大易错点) 易错点1:函数图像中的动点问题 易错点2:平面直角坐标系中的面积问题 易错点3:函数图像中的动点问题知识模块一:平面直角坐标系 有序数对概念: 有顺序的两个数a与b组成的数对,叫做有序数对,记作(a ,b). 相关概念 具体内容 定义 在平面内画两条互相垂直并且原点重合的数轴,这样就建立了平面直角坐标系. 平 两轴 水平的数轴叫做x轴或横轴,通常取 向右 方向为正方向; 面 直 竖直的数轴叫做y轴或纵轴,通常取 向上 方向为正方向.(见图一) 角 原点 两坐标轴交点为平面直角坐标系原点. 坐 标 坐标平面 坐标系所在的平面叫做坐标平面. 系 x轴和y轴把平面直角坐标系分成四部分,每个部分称为象限. 象限 按逆时针顺序依次叫第一象限、第二象限、第三象限、第四象限.(见图一) 对于坐标轴内任意一点A,过点A分别向x轴、y轴作垂线,垂足在x轴、y轴上的对应 点的坐标 的数a、b分别叫做点A的横坐标和纵坐标,有序数对A(a,b)叫做点A的坐标,记作 A(a,b). (见图二)知识模块二:点的坐标特征与变换 知识点一:点的坐标特征 第一象限 x>0,y>0 第二象限 x<0,y>0 在象限内 第三象限 x<0,y<0 第四象限 x>0,y<0 x轴 y=0 坐标轴上 y轴 x=0 点P(x,y) 的位置 原点 x=y=0 在角平分线上 第一、三象限 x=y 第二、四象限 x= -y 平行x轴 所有点的 纵 坐标相等 在平行坐标轴的直线上 平行y轴 所有点的 横 坐标相等 知识点二:点的坐标变化 变换方式 具体变换过程 变换后的坐标 向左平移a个单位 (x-a,y) 向右平移a个单位 (x+a,y) 平移变换 向上平移a个单位 (x,y+a) 向下平移a个单位 (x,y-a) 点P(x,y) 简单记为“点的平移右加左减,上加下减”关于x轴对称 (x,-y) 关于y轴对称 (-x,y) 对称变换 关于原点对称 (-x,-y) 简单记为“关于谁对称谁不变,关于原点对称都改变” 关于x=m对称 (2m-x,y) 关于y=n对称 (x,2n-y) 绕原点顺时针旋转90° (y,-x) 绕原点顺时针旋转180° (-x,-y) 旋转变换 绕原点逆时针旋转90° (-y,x) 绕原点逆时针旋转180° (-x,-y) 知识点三:点到坐标轴的距离 在平面直角坐标系中,已知点P(a,b), 则 y 1)点P到x轴的距离为|b|; a P(a,b) 2)点P到y轴的距离为|a|; b 3)点P到原点O的距离为P= √a2+b2. O x 知识点四:坐标系内点与点之间的距离 点M(x,y)与点N(x,y)之间的直线距离(线段长度):|MN|=√(x −x ) 2+(y −y ) 2 1 1 2 2 2 1 2 1 若AB∥x轴,则A(x ,y),B(x ,y)的距离为|x −x |; A B A B 若AB∥y轴,则A(x,y ),B(x,y )的距离为|y −y |; A B A B知识模块三: 坐标方法的简单应用 用坐标表示地理位置的方法 1)选择一个适当的参照点为原点建立直角坐标系,并确定x轴、y轴的正方向; 2)根据具体问题确定适当的比例尺,在坐标轴上标出长度单位; 3)坐标平面内画出这些点,并写出各点的坐标和各个地点的名称. 知识模块四: 函数 知识点一:函数的相关概念 变量:在一个变化过程中,数值发生变化的量称为变量. 常量:在一个变化过程中,数值始终不变的量称为常量. 函数的定义:一般的,在一个变化过程中,如果有两个变量x和y,并且对于x的每一个确定的值,y都 有唯一确定的值与其对应,那么我们就把x称为自变量,把y称为因变量,y是x的函数. 函数的取值范围:使函数有意义的自变量的全体取值,叫做自变量的取值范围. 确定函数取值范围的方法: 1)函数解析式为整式时,字母取值范围为全体实数; 2)函数解析式含有分式时,分式的分母不能为零; 3)函数解析式含有二次根式时,被开方数大于等于零; 4)函数解析式中含有指数为零的式子时,底数不能为零; 5)实际问题中函数取值范围要和实际情况相符合,使之有意义. 函数值概念:如果在自变量取值范围内给定一个值a,函数对应的值为b,那么b叫做当自变量取值为a 时的函数值. 函数解析式:用来表示函数关系的数学式子叫做函数解析式或函数关系式. 函数图像上点的坐标与解析式之间的关系: 1)将点的坐标代入到解析式中,如解析式两边成立,则点在解析式上,反之,不在. 2)两个函数图形交点的坐标就是这两个解析式所组成的方程组的解. 知识点二:函数的三种表示法及其优缺点 解析法:两个变量间的函数关系,有时可以用一个含有这两个变量及数字运算符号的等式表示,这种表示 法叫做解析法. 列表法:把自变量x的一系列值和函数y的对应值列成一个表来表示函数关系,这种表示法叫做列表法. 图像法:用图像表示函数关系的方法叫做图像法.优点 缺点 解析法 准确反映整个变化过程中自变量与函数的关系 求对应值是要经过比较复杂的计算,而且实 际问题中有的函数值不一定能用解析式表示 列表法 自变量和与它对应的函数值数据一目了然 所列对应数值个数有限,不容易看出自变量 与函数值的对应关系,有局限性 图像法 形象的把自变量和函数值的关系表示出来 图像中只能得到近似的数量关系 考点一:用有序数对表示位置 【典例1】(2024·湖北宜昌·模拟预测)电影院中的第a排b号位,简记为 ,那么 ( ) A.表示 排a号 B.表示第b排a号位 C.表示b排或a号 D.与 不可能代表同一个位置 【答案】B 【难度】0.94 【知识点】用有序数对表示位置 【分析】本题考查了用有序数对表示位置,根据题意进行解答即可. 【详解】解:∵电影院中的第a排b号位,简记为 , ∴ 表示第b排a号位, 故选:B. 【典例2】(2024·甘肃·中考真题)敦煌文书是华夏民族引以为傲的艺术瑰宝,其中敦煌《算经》中出现的 《田积表》部分如图1所示,它以表格形式将矩形土地的面积直观展示,可迅速准确地查出边长10步到 60步的矩形田地面积,极大地提高了农田面积的测量效率.如图2是复原的部分《田积表》,表中对田地 的长和宽都用步来表示,A区域表示的是长15步,宽16步的田地面积为一亩,用有序数对记为 ,那么有序数对记为 对应的田地面积为( ) A.一亩八十步 B.一亩二十步 C.半亩七十八步 D.半亩八十四步 【答案】D 【难度】0.85 【知识点】用有序数对表示位置 【分析】根据 可得,横从上面从右向左看,纵从右边自下而上看,解答即可. 本题考查了坐标与位置的应用,熟练掌握坐标与位置的应用是解题的关键. 【详解】根据 可得,横从上面从右向左看,纵从右边自下而上看, 故 对应的是半亩八十四步, 故选D. 【典例3】(2024·河北邯郸·模拟预测)如图所示为雷达在一次探测中发现的三个目标,其中目标A,B的 位置分别表示为 , ,按照此方法可以将目标C的位置表示为( ) A. B. C. D. 【答案】C【难度】0.85 【知识点】用有序数对表示位置 【分析】本题考查了有序数对的应用.理解题意是解题的关键. 由目标A,B的位置分别表示为 , ,可知目标C的位置表示为 . 【详解】解:∵目标A,B的位置分别表示为 , , ∴目标C的位置表示为 , 故选:C. 【典例4】(2024·江苏盐城·三模)小民和小泽两姐弟拿着如图的密码表玩听声音猜汉字的游戏,若听到 “咚咚-咚咚咚咚,咚咚咚咚-咚咚,咚-咚”表示的拼音是“ ”,则听到“咚咚咚-咚咚,咚-咚咚,咚 咚咚-咚”表示的汉字可能为( ) 4 3 2 1 1 2 3 4 5 A.汉 B.华 C.盐 D.音 【答案】C 【难度】0.65 【知识点】用有序数对表示位置 【分析】本题考查了有序数对表示位置,根据题意,“咚咚-咚咚咚咚,咚咚咚咚-咚咚,咚-咚”表示的拼 音是“ ”, 表示 的对应的字母为“ ”,则“咚咚咚-咚咚,咚-咚咚,咚咚咚-咚” 表示 对应的字母为“ ”,即可求解,理解题意是解题的关键. 【详解】解:∵“咚咚-咚咚咚咚,咚咚咚咚-咚咚,咚-咚”表示的拼音是“ ”, ∴ “咚咚-咚咚咚咚,咚咚咚咚-咚咚,咚-咚”表示 的对应的字母为“ ”,∴“咚咚咚-咚咚,咚-咚咚,咚咚咚-咚”表示 对应的字母为“ ”, ∴“咚咚咚-咚咚,咚-咚咚,咚咚咚-咚”表示的汉字可能是:“盐”, 故选:C. 考点二:实际问题中用坐标表示位置 【典例1】(2024·广西南宁·二模)中国阳明文化园部分平面图如图所示,若用 表示王阳明纪念馆的 位置,用 表示游客接待中心的位置,则南门的位置可表示为( ) A. B. C. D. 【答案】A 【难度】0.94 【知识点】实际问题中用坐标表示位置 【分析】本题考查用坐标表示位置,根据题意直接写出南门位置的坐标即可. 【详解】解:南门的位置是 , 故选:A 【典例2】(2024·贵州·模拟预测)“在生活的舞台上,我们都是不屈不挠的拳击手,面对无尽的挑战,挥 洒汗水,拼搏向前!”今年的春节档《热辣滚烫》展现了角色坚韧不拔的精神面貌,小星、小红两人也观 看了此电影.如图是利用平面直角坐标系画出的影院内分布图,若分别以正东、正北方向为 轴、 轴的 正方向,建立平面直角坐标系 ,他们这样描述自己的座位:①小星:表示我座位的坐标为 ;② 小红:在小星的座位向右走4个座位,再向上走2个座位,就可以找到我了,则表示小红座位的坐标为. 【答案】 【难度】0.85 【知识点】实际问题中用坐标表示位置 【分析】本题考查坐标确定位置.根据小星座位的坐标为 ,建立平面直角坐标系,进而分别分析得 出答案. 【详解】解:∵小星座位的坐标为(−2,3), ∴建立平面直角坐标系如图, ∴小红座位的坐标为 , 故答案为: . 【典例3】(2024·贵州·模拟预测)如图,小星从点 出发,先向西走 ,再向南走 到达点 , 如果点 的位置用 表示,那么 表示的位置是点 .【答案】B 【难度】0.85 【知识点】实际问题中用坐标表示位置 【分析】本题考查坐标确定位置,根据点在平面直角坐标系中的确定方法解答即可. 【详解】解:∵点M的位置用 表示,实际意义为从点O出发,先向西走 ,再向南走 , ∴网格中一个小正方形边长为 , ∴ 表示的位置实际意义为从点O出发,先向东走 ,再向北走 ,对应的是点B, 故答案为:B. 【典例4】(2024·山西朔州·模拟预测)我国水墨画发展有着悠远历史,相传始于唐代,成于五代,盛于宋 元,明清及近代以来续有发展,重于意境优美,图为水墨画“早有蜻蜓立上头”,若将其放在平面直角坐 标系中,点 , ,则点C坐标为 . 【答案】 【难度】0.85 【知识点】实际问题中用坐标表示位置 【分析】本题主要考查了点的坐标,根据已知点的坐标,找出原点,建立平面直角坐标系,然后根据点 的位置,写出点 的坐标.解题关键是熟练掌握根据已知点的坐标,找出坐标原点. 【详解】解:如图所示,根据点 , ,建立坐标系,如图所示:∴点 坐标为: , 故答案为: . 【典例5】(2024·四川·中考真题)如图,在一个平面区域内,一台雷达探测器测得在点A,B,C处有目 标出现.按某种规则,点A,B的位置可以分别表示为 ,则点C的位置可以表示为 . 【答案】 【难度】0.85 【知识点】实际问题中用坐标表示位置 【分析】本题考查了坐标确定位置,根据题意得到圆圈数表示有序数对的第一个数,度数表示有序数对的 第二个数是解题关键.根据题意可得:圆圈数表示有序数对的第一个数,度数表示有序数对的第二个数, 可得答案. 【详解】解:∵A,B的位置分别表示为 . ∴目标C的位置表示为 .故答案为: 【典例6】(2024·贵州六盘水·一模)如图,小黔与小红在玩“五子棋”;小黔是黑子,他把第四子下在棋 盘坐标的 上,则小红下的白色第三子的棋盘坐标是 . 【答案】 【难度】0.85 【知识点】实际问题中用坐标表示位置 【分析】本题考查的是坐标与图形,根据 建立坐标系,再确定小红下的白色第三子的棋盘坐标即可. 【详解】解:如图, 小红下的白色第三子的棋盘坐标是 , 故答案为: . 考点三:判断点所在的象限 【典例1】(2024·贵州·中考真题)为培养青少年的科学态度和科学思维,某校创建了“科技创新”社团. 小红将“科”“技”“创”“新”写在如图所示的方格纸中,若建立平面直角坐标系,使“创”“新”的 坐标分别为 , ,则“技”所在的象限为( )A.第一象限 B.第二象限 C.第三象限 D.第四象限 【答案】A 【难度】0.94 【知识点】判断点所在的象限 【分析】本题考查坐标与图形,先根据题意确定平面直角坐标系,然后确定点的位置. 【详解】解:如图建立直角坐标系,则“技”在第一象限, 故选A. 【典例2】(2024·福建福州·模拟预测)已知一次函数 的图象如图所示,则点 所在的象限为 ( ) A.第一象限 B.第二象限 C.第三象限 D.第四象限 【答案】D 【难度】0.85 【知识点】已知函数经过的象限求参数范围、判断点所在的象限、求一元一次不等式的解集、不等式的性 质 【分析】由图象经过第一、三、四象限可知 求出 ,再根据不等式的性质得到 ,即可判断所处象限.【详解】解:由题意得, , ∴ , ∴ , ∴ , ∴ , 故选:D. 【点睛】本题考查了一次函数图像与系数的关系,解一元一次不等式,点的坐标特征,不等式的性质,熟 练掌握知识点是解题的关键. 【典例3】(2024·黑龙江齐齐哈尔·中考真题)如图,在平面直角坐标系中,以点O为圆心,适当长为半 径画弧,交x轴正半轴于点M,交y轴正半轴于点N,再分别以点M,N为圆心,大于 的长为半径画 弧,两弧在第一象限交于点H,画射线 ,若 ,则 . 【答案】2 【难度】0.85 【知识点】作角平分线(尺规作图)、角平分线的性质定理、坐标与图形 【分析】此题主要考查了角平分线的尺规作图和性质,坐标与图形的性质,根据作图方法可得点H在第一 象限的角平分线上,根据角平分线的性质和第一象限内点的坐标符号可得答案. 【详解】解:根据作图方法可得点H在第一象限角平分线上;点H横纵坐标相等且为正数; , 解得: , 故答案为: . 【典例4】(2024·山东临沂·模拟预测)已知 , ,则在如图所示的平面直角坐标系中,小手盖住的点的坐标可能是( ) A. B. C. D. 【答案】B 【难度】0.65 【知识点】坐标与图形、判断点所在的象限 【分析】本题主要考查了判断点所在的象限,熟知每个象限点的坐标特征是解题的关键; 根据 , ,得到 , ,观察图形判断出小手盖住的点在第四象限,据此解答即可; 【详解】 , a、b同号, , , , A. 在第三象限,因为小手盖住的点在第四象限,故此选项不符合题意; B. 在第四象限,因为小手盖住的点在第四象限,故此选项符合题意; C. 在第一象限,因为小手盖住的点在第四象限,故此选项不符合题意; D. 在第二象限,因为小手盖住的点在第四象限,故此选项不符合题意; 故选:B. 【典例5】(2024·内蒙古呼伦贝尔·中考真题)点 在直线 上,坐标 是二元一次方 程 的解,则点 的位置在( ) A.第一象限 B.第二象限 C.第三象限 D.第四象限 【答案】D 【难度】0.65【知识点】代入消元法、判断点所在的象限、两直线的交点与二元一次方程组的解 【分析】本题考查了一次函数图象上点的特征,解二元一次方程组等知识,联立方程组 ,求 出点P的坐标即可判断. 【详解】解∶ 联立方程组 , 解得 , ∴P的坐标为 , ∴点P在第四象限, 故选∶D. 【典例6】(2024·四川雅安·模拟预测)在平面直角坐标系中有五个点,分别是 从中任选一个点恰好在第二象限的概率是 . 【答案】 【难度】0.65 【知识点】列举法求概率、判断点所在的象限 【分析】本题考查了列举法求概率,第二象限的点坐标的特征.熟练掌握列举法求概率,第二象限的点坐 标的特征是解题的关键. 由题意知, 在第二象限,然后求概率即可. 【详解】解:由题意知, 在第二象限, ∴任选一个点恰好在第二象限的概率是 , 故答案为: . 【典例7】(2024·湖南·中考真题)在平面直角坐标系 中,对于点P(x,y),若x,y均为整数,则称点P为“整点”.特别地,当 (其中 )的值为整数时,称“整点”P为“超整点”,已知点 在第二象限,下列说法正确的是( ) A. B.若点P为“整点”,则点P的个数为3个 C.若点P为“超整点”,则点P的个数为1个 D.若点P为“超整点”,则点P到两坐标轴的距离之和大于10 【答案】C 【难度】0.65 【知识点】已知点所在的象限求参数、求点到坐标轴的距离、求不等式组的解集 【分析】本题考查了新定义,点到坐标轴的距离,各象限内点的特征等知识,利用各象限内点的特征求出 a的取值范围,即可判断选项A,利用“整点”定义即可判断选项B,利用“超整点”定义即可判断选项 C,利用“超整点”和点到坐标轴的距离即可判断选项D. 【详解】解:∵点 在第二象限, ∴ , ∴ ,故选项A错误; ∵点 为“整点”, , ∴整数a为 , ,0,1, ∴点P的个数为4个,故选项B错误; ∴“整点”P为 , , , , ∵ , , , ∴“超整点”P为 ,故选项C正确; ∵点 为“超整点”, ∴点P坐标为 ,∴点P到两坐标轴的距离之和 ,故选项D错误, 故选:C. 【典例8】(2024·甘肃·模拟预测)从小到大的三个整数: ,2,3,从中随机抽取一个数作为点P的横 坐标,在余下的两个数中随机抽取一个数作为点P的纵坐标. (1)请用画树状图或列表的方法写出点P所有可能的坐标. (2)在所有可能的点P中,求点P落在第二象限的概率. 【答案】(1)见解析 (2) 【难度】0.65 【知识点】判断点所在的象限、列表法或树状图法求概率 【分析】此题考查的是用列表法或树状图法求概率与直角坐标系中点的坐标特征.注意树状图法与列表法 可以不重复不遗漏的列出所有可能的结果,列表法适合于两步完成的事件;树状图法适合两步或两步以上 完成的事件;注意概率 所求情况数与总情况数之比. (1)首先根据题意画出表格,即可得到P的所有坐标; (2)然后由表格求得所有等可能的结果与点P落在第二象限的的情况,再利用概率公式求解即可求得答 案. 【详解】(1)解:由题意知,列表如下: 纵坐标 2 3 结果横坐 标 2 3 (2,3) (2)解:共有6种等可能的结果数,其中点P落在第二象限的结果有 , ,共2个, ∴P(点P落在第二象限)考点四:直角坐标系中点的坐标 【典例1】(2024·贵州贵阳·一模)中国象棋趣味浓厚,基本规则简明易懂,而棋子活动的场所,叫作“棋 盘”.观察如图所示象棋盘,以“炮”为原点,分别以正东、正北方向为x轴,y轴的正方向建立平面直 角坐标系,请写出“馬”的坐标是 . 【答案】 【难度】0.94 【知识点】写出直角坐标系中点的坐标 【分析】此题主要考查了坐标确定位置,正确理解题意是解题关键.根据题意画出坐标系,进而确定公园 的坐标. 【详解】解:如图所示:“馬”的坐标是: . 故答案为: . 【典例2】(2024·辽宁锦州·模拟预测)已知a,b都是实数,设点 ,若满足 ,则称点P为“新奇点”.若点 是“新奇点”,则M的坐标为 . 【答案】 【难度】0.85 【知识点】解一元一次方程(二)——去括号、写出直角坐标系中点的坐标 【分析】本题考查新定义.根据新定义确定m的值.解题关键是理解新定义. 根据“新奇点”的定义,得方程 .求解得出 的值,从而求出点 的坐标,即可求 解. 【详解】解:∵点 是“新奇点”, ∴ . 解得: . ∴ . ∴点M的坐标为 . 故答案为: . 【典例3】(2024·四川广元·中考真题)若点 满足 ,则称点Q为“美好点”,写出一个 “美好点”的坐标 . 【答案】 (答案不唯一) 【难度】0.85 【知识点】解分式方程、坐标与图形 【分析】此题考查了解分式方程,先将方程两边同时乘以 后去分母,令x代入一个数值,得到y的值, 以此为点的坐标即可,正确解分式方程是解题的关键 【详解】解:等式两边都乘以 ,得 , 令x=2,则y=−1, ∴“美好点”的坐标为 , 故答案为 (答案不唯一)【典例4】(2024·湖南岳阳·模拟预测)如图1所示,该几何体为长方体,记作长方体 , 如图2所示, 以顶点 为原点O, 分别以棱 , , 所在的直线为x轴、y轴、z轴, 建成的坐 标系称为立体坐标系(亦称三维坐标系) ,立体空间中点的位置由三个有序的实数确定,记作 ,称为该点的坐标.若长方体的长宽高分别为 , ,我们知道,在平面直角 坐标系 中, 点 的坐标为 ,由点 竖直向上平移1个单位可得到点C,所以点 C在立体坐标 系中的坐标记为 , 由此可知点O 和点B的坐标分别记为 , .照此方法,请你 确定点 D 在立体坐标系中的坐标为( ) A. B. C. D. 【答案】C 【难度】0.85 【知识点】坐标与图形、写出直角坐标系中点的坐标 【分析】本题考查了新定义以及坐标与图形,长方形的性质,先理解题意,得出 , ,结合点O 和点B的坐标分别记为 , ,然后得出 ,最后得,即可作答. 【详解】解:依题意,∵在平面直角坐标系 中, 点 的坐标为 ,由点 竖直向上平移1个单 位可得到点C,所以点 C在立体坐标系中的坐标记为 ,且长方体的长宽高分别为 , , ∴ , , ∵点O 和点B的坐标分别记为 , , ∴ , ∵ , ∴ , 故选:C. 【典例5】(2024·宁夏银川·模拟预测)如图,在平面直角坐标系中,点 ,点B在x轴的正半轴上, 且 ,将 沿x轴向右平移得到 , 与 交于点F.若 ,则点D的坐标 为 . 【答案】 【难度】0.65 【知识点】写出直角坐标系中点的坐标、等腰三角形的性质和判定、利用平移的性质求解、由平行判断成 比例的线段 【分析】由点 , ,可得 ,由平移的性质可知, , ,则,可求 , ,进而可求点D的坐标. 【详解】解:∵点 , , ∴ , 由平移的性质可知, , , ∴ , 解得, , ∵ , ∴ , , ∴ , 故答案为: . 【点睛】本题考查了等腰三角形的性质,平移的性质,平行线分线段成比例,点坐标等知识.熟练掌握等 腰三角形的性质,平移的性质,平行线分线段成比例,点坐标是解题的关键. 【典例6】(2024·四川乐山·模拟预测)如图所示,矩形 中, ,则点B的 坐标为( ). A. B. C. D. 【答案】A 【难度】0.65 【知识点】解直角三角形的相关计算、根据矩形的性质求线段长、写出直角坐标系中点的坐标、二次根式的混合运算 【分析】本题考查了坐标与图形,矩形的性质,解直角三角形,过点A作y轴的平行线交x轴与点E,过 点B过作该平行线的垂线垂足为点I,交y轴于点F,过点C作x轴的垂线,垂足为点D,解直角三角形, 求出 ,利用矩形的性质得到 ,求出 ,进而求出 ,即可得到点B的坐标. 【详解】解:如图,过点A作y轴的平行线交x轴与点E,过点B过作该平行线的垂线垂足为点I,交y轴 于点F,过点C作x轴的垂线,垂足为点D,则 , ∵矩形 中, , ∴ , ∴ , ∴ , 同理, , ∴在 中, , ∴在 中, , ∴在 中, , ∵ , ∴四边形 是矩形, ∴∴ , ∵点B在第二象限, ∴点B的坐标为: 故选:A. 考点五:点坐标规律探索 【典例1】(2024·湖北·模拟预测)如图,在平面直角坐标系中,将点 绕点 顺时针旋转 后 得到点 ,再将点 绕点A顺时针旋转 后得到 ,再将点 绕点A顺时针旋转 后得到 ,依此类 推,则 的坐标是( ) A. B. C. D. 【答案】C 【难度】0.85 【知识点】求绕原点旋转90度的点的坐标、根据旋转的性质求解、全等的性质和ASA(AAS)综合 (ASA或者AAS)、点坐标规律探索 【分析】本题考查坐标规律探索,全等三角形的判定与性质; 过点P作 轴,过点 作 轴,根据条件证明 ,即可求得 ,同理可 得: , ,即可求解. 【详解】过点P作 轴,过点 作 轴,如图,∵点 绕点 顺时针旋转 后得到点 ∴ , ∴ ∵ ∴ ∵ ∴ ∵ , ∴ , , ∴ ∴ ∴ ; 同理可得: , , ……. ∵ ∴ 故选:C. 【典例2】(2024·广东惠州·模拟预测)如图,在单位长度为1米的平面直角坐标系中,曲线是由半径为2 米,圆心角为 的弧 多次复制并首尾连接而成.现有一点 从 ( 为坐标原点)出发,以每秒米的速度沿曲线向右运动,则在第2024秒时点 的纵坐标为( ) A. B. C.0 D.1 【答案】C 【难度】0.65 【知识点】点坐标规律探索、求弧长 【分析】本题考查弧长的计算、点的坐标的特点,解答本题的关键是明确题意,利用数形结合的思想解答. 根据题意和图形,可以求得弧 的长,然后由图可知,每走两个弧 为一个循环,然后即可得到在第 2024秒时点P的纵坐标. 【详解】解: (米) ; ∵ (秒), ∴每4秒一个循环, ∵ , ∴在第2024秒时点P的纵坐标为0, 故选:C. 【典例3】(2024·黑龙江大兴安岭地·中考真题)如图,在平面直角坐标系中,正方形 顶点M的坐 标为 , 是等边三角形,点B坐标是(1,0), 在正方形 内部紧靠正方形 的边 (方向为 )做无滑动滚动,第一次滚动后,点A的对应点记为 , 的 坐标是(2,0);第二次滚动后, 的对应点记为 , 的坐标是(2,0);第三次滚动后, 的对应点记为 , 的坐标是 ;如此下去,……,则 的坐标是 .【答案】 【难度】0.65 【知识点】点坐标规律探索、等边三角形的性质、根据正方形的性质求线段长 【分析】本题考查了点的坐标变化规律,正方形性质,等边三角形性质,根据三角形的运动方式,依次求 出点A的对应点 , , , 的坐标,发现规律即可解决问题. 【详解】解: 正方形 顶点M的坐标为 , , 是等边三角形,点B坐标是 , 等边三角形高为 , 由题知, 的坐标是 ; 的坐标是 ; 的坐标是 ; 继续滚动有, 的坐标是 ; 的坐标是 ; 的坐标是 ;的坐标是 ; 的坐标是 ; 的坐标是 ; 的坐标是 ; 的坐标是 ; 的坐标是 ; 的坐标是 ; 不断循环,循环规律为以 , , , ,12个为一组, , 的坐标与 的坐标一样为 , 故答案为: . 【典例4】.(2024·黑龙江绥化·中考真题)如图,已知 , , , , , , , …,依此规律,则点 的坐标为 . 【答案】 【难度】0.65 【知识点】求一个数的算术平方根、点坐标规律探索 【分析】本题考查了点坐标的规律探究.解题的关键在于根据题意推导出一般性规律.根据题意可知 个点坐标的纵坐标为一个循环, 的坐标为 ,据此可求得 的坐标. 【详解】解:∵ , , , , , , , …,, ∴可知 个点坐标的纵坐标为一个循环, 的坐标为 , ∵ , ∴ 的坐标为 . ∴ 的坐标为 故答案为: . 【典例5】(2024·黑龙江齐齐哈尔·模拟预测)在平面直角坐标系中,点 、 、 、 …在x轴的正半 轴上,点 、 、 …在直线 上.若点 的坐标为(2,0),且 、 、 …均为等边三角形.则点 的纵坐标为 . 【答案】 【难度】0.4 【知识点】点坐标规律探索、正比例函数的性质、等边三角形的性质、解直角三角形的相关计算 【分析】过点 作 轴,交直线 于点 ,过点 作 轴于点 ,先求出,再根据等边三角形的性质、等腰三角形的判定可得 ,然后解直角三角形可得 的长,即可得点 的纵坐标,同样的方法分别求出点 , , 的纵坐标,最后归纳类推出一般规 律得到 的纵坐标,由此即可算出点 的纵坐标. 【详解】解:如图,过点 作 轴,交直线 于点 ,过点 作 轴于点 , , , 当 时, ,即 , , , , 是等边三角形, , , , , ,即点 的纵坐标为 , 同理可得:点 的纵坐标为 ,点 的纵坐标为 , 点 的纵坐标为 , 归纳类推得:点 的纵坐标为 ( 为正整数), 则点 的纵坐标为 , 故答案为: . 【点睛】本题考查了点坐标的规律探索、等边三角形的性质、正比例函数的应用、解直角三角形等知识点, 正确归纳类推出一般规律是解题关键. 【典例6】(2024·宁夏银川·二模)如图, (n为正整数)均为 等边三角形,它们的边长依次是2,4,6,…, ,顶点 均在y轴上,点O是所有等边三 角形的中心,点 的坐标为 . 【答案】 / 【难度】0.65 【知识点】点坐标规律探索、等边三角形的性质、解直角三角形的相关计算 【分析】此题考查了点的变化规律,主要利用了等边三角形的性质和解直角三角形求出点 、 、 的坐标,找到点的变化规律,求出点 的坐标即可. 【详解】解:∵ , , ,…, ( 为正整数)均为等边三角形,它 们的边长依次是 ,顶点 均在 轴上, 过点 作 轴于点B,连接 , ∵点O是所有等边三角形的中心, ∴ , ∵ , ∴ , ∴ , ∴ 的坐标为 , 同理可得, , 则第二个三角形的顶点 的坐标为 , 则第三个三角形的顶点 的坐标为 ,∵ , ∴点 是第10个等边三角形的第2个顶点,位于第四象限, ∴点 的坐标为: . 故答案为: . 【典例7】(2024·河北·中考真题)平面直角坐标系中,我们把横、纵坐标都是整数,且横、纵坐标之和大 于0的点称为“和点”.将某“和点”平移,每次平移的方向取决于该点横、纵坐标之和除以3所得的余 数(当余数为0时,向右平移;当余数为1时,向上平移;当余数为2时,向左平移),每次平移1个单 位长度. 例 : “ 和 点 ” 按 上 述 规 则 连 续 平 移 3 次 后 , 到 达 点 , 其 平 移 过 程 如 下 : 若“和点”Q按上述规则连续平移16次后,到达点 ,则点Q的坐标为( ) A. 或 B. 或 C. 或 D. 或 【答案】D 【难度】0.4 【知识点】利用平移的性质求解、点坐标规律探索、坐标与图形 【分析】本题考查了坐标内点的平移运动,熟练掌握知识点,利用反向运动理解是解决本题的关键. 先找出规律若“和点”横、纵坐标之和除以3所得的余数为0时,先向右平移1个单位,之后按照向上、 向左,向上、向左不断重复的规律平移,按照 的反向运动理解去分类讨论:① 先向右1个单位,不 符合题意;② 先向下1个单位,再向右平移,当平移到第15次时,共计向下平移了8次,向右平移了7 次,此时坐标为 ,那么最后一次若向右平移则为 ,若向左平移则为 . 【详解】解:由点 可知横、纵坐标之和除以3所得的余数为1,继而向上平移1个单位得到 ,此时横、纵坐标之和除以3所得的余数为2,继而向左平移1个单位得到 ,此时横、纵坐标之和除 以3所得的余数为1,又要向上平移1个单位 ,因此发现规律为若“和点”横、纵坐标之和除以3所 得的余数为0时,先向右平移1个单位,之后按照向上、向左,向上、向左不断重复的规律平移, 若“和点”Q按上述规则连续平移16次后,到达点 ,则按照“和点” 反向运动16次求点Q 坐标理解,可以分为两种情况: ① 先向右1个单位得到 ,此时横、纵坐标之和除以3所得的余数为0,应该是 向右平移1个 单位得到 ,故矛盾,不成立; ② 先向下1个单位得到 ,此时横、纵坐标之和除以3所得的余数为1,则应该向上平移1个单 位得到 ,故符合题意,那么点 先向下平移,再向右平移,当平移到第15次时,共计向下平移了8次, 向右平移了7次,此时坐标为 ,即 ,那么最后一次若向右平移则为 ,若向左平移则 为 , 故选:D. 【典例8】(2024·全国·模拟预测)观察规律 ,运用你观察到的规 律解决以下问题:如图,分别过点 作 轴的垂线,交 的图象于点 ,交 直线 于点 .则 的值为( )A. B. C. D. 【答案】D 【难度】0.15 【知识点】点坐标规律探索 【分析】令 ,可得∶ 纵坐标为 , 纵坐标为 ,利用阅读学习的知识迁移计算解答即可. 本题考查了交点问题,距离规律计算,熟练掌握规律是解题的关键. 【详解】∵过点 的垂线,交 的图象于点 ,交直线 于点 ; ∴令 ,可得∶ 纵坐标为 , 纵坐标为 , , , . , 当 时. 原式故选D. 考点六:点的坐标变换 【典例1】(2024·山东淄博·中考真题)如图,已知 , 两点的坐标分别为 , ,将线段 平移得到线段 .若点 的对应点是 ,则点 的对应点 的坐标是 . 【答案】 【难度】0.85 【知识点】由平移方式确定点的坐标、坐标与图形 【分析】此题主要考查了点的平移规律与图形的平移,关键是掌握平移规律,左右移,纵不变,横减加, 上下移,横不变,纵加减.根据平移的性质,结合已知点 , 的坐标,知点 的横坐标加上了1,纵坐 标加1,则 的坐标的变化规律与 点相同,即可得到答案. 【详解】解: 平移后对应点C的坐标为 , 点 的横坐标加上了4,纵坐标加1, 点 坐标为 , 即 , 故答案为: . 【典例2】(2024·山东潍坊·中考真题)如图,在直角坐标系中,等边三角形ABC的顶点 的坐标为(0,4), 点 均在 轴上.将 绕顶点 逆时针旋转 得到 ,则点 的坐标为 .【答案】 【难度】0.65 【知识点】坐标与图形、等边三角形的性质、根据旋转的性质求解、解直角三角形的相关计算 【分析】本题主要考查旋转的性质,三角函数的计算,熟练掌握旋转的性质是解题的关键.作 , 求出 , 的值即可得到答案. 【详解】解:作 ,交y轴于点F, 由题可得: , 是等边三角形, , ∴ 是 的角平分线, , , 在 中, , 即 , 解得 ,, , , , 故答案为: . 【典例3】(2024·辽宁抚顺·一模)如图,平面直角坐标系内,小正方形网格的边长为1个单位长度, 的顶点均在格点上. (1)画出 关于原点O的中心对称图形 . (2)将 绕点E顺时针旋转 得到 ,画出 . (3)若 由 绕着某点旋转得到的,则这点的坐标为 . 【答案】(1)见解析 (2)见解析 (3) 【难度】0.65 【知识点】画已知图形关于某点对称的图形、找旋转中心、旋转角、对应点、画旋转图形、写出直角坐标 系中点的坐标 【分析】本题主要考查了作图-旋转变换,熟练掌握旋转的性质是解题的关键. (1)根据中心对称的性质即可画出 ;(2)根据旋转的性质即可画出 ; (3)根据旋转中心为两组对应点连线的垂直平分线的交点可得到答案. 【详解】(1)解:如图, 即为所求; (2)解:如图, 即为所求; (3)解:如图,根据旋转的性质:旋转中心到两对应点的距离相等; 旋转中心在线段 的中垂线上,即为图中点P; 由图象可知,该点的坐标为 . 故答案为:(0,1). 【典例4】(2024·广西柳州·三模)如图, 的顶点坐标分别是 、 、 .(1)如果将 沿x轴翻折得到 ,写出 的三个顶点坐标; (2)如果将 绕点 按逆时针方向旋转 得到 . 【答案】(1)图见解析, , (2)见解析 【难度】0.65 【知识点】写出直角坐标系中点的坐标、画轴对称图形、画旋转图形 【分析】此题考查了作轴对称图形和作和旋转图形,点的坐标,熟练掌握轴对称与旋转的性质是解题的关 键. (1)分别作出点A、B、C关于x轴的对称不点 、 、 ,再连接 , , ,然后根据点在坐 标系中的位置写出点 、 、 的坐标即可. (2)根据网格结构找出点 、 绕点 逆时针方向旋转 的位置 、 ,然后连接 、 、 即可. 【详解】(1)解:如图所示, 即为所求, , ,(2)解:如图所示, 即为所求, 【典例5】(2024·江苏常州·中考真题)对于平面内有公共点的两个图形,若将其中一个图形沿着某个方向 移动一定的距离 后与另一个图形重合,则称这两个图形存在“平移关联”,其中一个图形叫做另一个图 形的“平移关联图形”. (1)如图 , 是线段 的四等分点.若 ,则在图中,线段 的“平移关联图形”是________, ________(写出符合条件的一种情况即可); (2)如图 ,等边三角形 的边长是 .用直尺和圆规作出 的一个“平移关联图形”,且满足 (保留作图痕迹,不要求写作法); (3)如图 ,在平面直角坐标系 中,点 的坐标分别是 、 、 ,以点 为圆心, 为半径画圆.若对 上的任意点 ,连接 所形成的图形都存在“平移关联图形”,且满 足 ,直接写出 的取值范围. 【答案】(1) , (2)图见解析(答案不唯一) (3) 或 . 【难度】0.4 【知识点】坐标与图形、用勾股定理解三角形、求一点到圆上点距离的最值、图形的平移 【分析】( )根据平移的性质,进行求解即可; ( )延长 ,在射线 上截取线段 ,分别以 为圆心, 的长为半径画弧,两弧交于 点 ,连接 , 即为所求; ( )分 在圆内和圆外两种情况,进行求解即可. 【详解】(1)解:∵ 是线段 的四等分点. , ∴ , ∴ , ∴线段 的平移图形是 , ; 故答案为: , ; (2)解:如图所示, 即为所求; 由作图可知: , ∴四边形 为菱形, ∴ , ∵ , ∴四边形 为菱形,∴ , ∴ 即为所求; (3)解:∵点 的坐标分别是 、 、 , ∴ , ∴ , , ∵对 上的任意点 ,连接 所形成的图形都存在“平移关联图形”,且满足 ,且 , ∴ 或 , 当 在圆外时,当 向上平移时, ∵ , , ∴ , ∴ 当 在圆内时,当 向下平移时, 则 ,,∴ , ∴ , 综上: 或 . 【点睛】本题考查图形的平移,点到圆上一点的最值,坐标与图形,勾股定理,菱形的判定,尺规作图等 知识点,熟练掌握相关知识点,理解新定义,是解题的关键. 考点七:自变量和函数值 【典例1】(2024·山东东营·中考真题)在弹性限度内,弹簧的长度 是所挂物体质量 的一次函 数.一根弹簧不挂物体时长12.5cm,当所挂物体的质量为2kg时,弹簧长13.5cm.当所挂物体的质量为 5kg时,弹簧的长度为 cm, 【答案】 【分析】本题考查了用待定系数法求一次函数的解析式、由自变量求函数值的知识点,解答时求出函数的 解析式是关键.设 与 的函数关系式为 ,由待定系数法求出解析式,并把 代入解析 式求出对应的 值即可. 【详解】解:设 与 的函数关系式为 , 由题意,得 , 解得: , 故 与 之间的关系式为: , 当 时, . 故答案为: . 【典例2】(2024·湖南娄底·模拟预测)y与x之间的函数关系可记为y=f (x).例如:函数 可记为 .若对于自变量取值范围内的任意一个x,都有f (−x)=f (x),则 是偶函数;若对于自变量取值范围内的任意一个x,都有f (−x)=−f (x),则 是奇函数.例如: 是偶函数, 是奇函数.已知函数 是奇函数,当 时, ,那么 . 【答案】 【分析】本题主要考查了求函数值,理解奇函数和偶函数的定义是解题的关键. 根据奇函数的定义可得 ,将 代入 求出 ,从而求出 即可. 【详解】解:∵ 是奇函数, ∴ , ∵ ∴ . 故答案为: . 【典例3】(2024·黑龙江齐齐哈尔·中考真题)在函数 中,自变量 的取值范围是 . 【答案】 且 【分析】本题考查了求自变量的取值范围,根据二次根式有意义的条件和分式有意义的条件列出不等式组 解答即可求解,掌握二次根式有意义的条件和分式有意义的条件是解题的关键. 【详解】解:由题意可得, , 解得 且 , 故答案为: 且 . 【典例4】(2024·江西宜春·模拟预测)阅读下面的材料: 如果函数y=f (x)满足:对于自变量 的取值范围内的任意 , ,若 ,都有 ,则称 是增函数;若 ,都有 ,则称 是减函数. 例题:证明函数 是减函数.证明:设 , . ∵ ,∴ , .∴ .即 . ∴ .∴函数 ( )是减函数. 根据以上材料,解答下面的问题: 已知函数 (1)计算: __________, __________; (2)猜想:函数 是__________函数(填“增”或“减”); (3)请仿照例题证明你的猜想. 【答案】(1) , ; (2)增; (3)见解析. 【分析】本题主要考查了函数的概念,分式的加减计算: (1)根据题目中的函数解析式可以解答本题; (2)根据 , ,可猜想结论; (3)设 ,证明 即可. 【详解】(1)解:由题意得, ; ; (2)解:∵ , ,∴可以猜想函数 是增函数; (3)证明:设 , ∴ , ∵ , ∴ , ∴ , ∴ , ∴ , ∴ ,即 , ∴ 是增函数. 【典例5】(2024·陕西咸阳·模拟预测)周末,爱好骑行的许一一同学和爸爸从家出发,骑行去渭河运动公 园锻炼.许一一先出发,并且匀速骑行完全程,爸爸随后出发并且出发一段时间后速度提高为原来的2倍. 如图所示是许一一和爸爸骑行离家的距离s(米)与许一一骑行时间t(分)之间的函数图象,根据图象解 答下列问题:(1)许一一骑行的速度为_______米/分. (2)求爸爸骑行过程中 段对应的函数表达式,并写出自变量的取值范围. (3)求许一一出发多长时间后爸爸追上她. 【答案】(1)350 (2) (3)许一一出发 分钟后爸爸追上她 【分析】本题主要考查了从函数图象获取信息,列函数关系式,求自变量的值: (1)根据速度等于路程除以时间进行求解即可; (2)先求出 段爸爸骑行速度为 米/分,再根据路程等于速度乘以时间列出函数关系式,再 求出自变量的取值范围即可; (3)根据(1)(2)所求列出方程求解即可. 【详解】(1)解:由函数图象可知,许一一骑行的速度为 米/分; (2)解: 米/分, ∴ 段爸爸骑行速度为 米/分, ∴爸爸骑行过程中 段对应的函数表达式为 , ∵ , ∴ ; ∴ ; (3)解:由题意得, , 解得 ,∴许一一出发 分钟后爸爸追上她. 【典例6】(2024·北京·中考真题)小云有一个圆柱形水杯(记为1号杯),在科技活动中,小云用所学数 学知识和人工智能软件设计了一个新水杯,并将其制作出来,新水杯(记为2号杯)示意图如下, 当1号杯和2号杯中都有 mL水时,小云分别记录了1号杯的水面高度 (单位:cm)和2号杯的水面高 度 (单位:cm),部分数据如下: /mL 0 40 100 200 300 400 500 /cm 0 2.5 5.0 7.5 10.0 12.5 /cm 0 2.8 4.8 7.2 8.9 10.5 11.8 (1)补全表格(结果保留小数点后一位); (2)通过分析数据,发现可以用函数刻画 与 , 与 之间的关系.在给出的平面直角坐标系中,画出这 两个函数的图象; (3)根据以上数据与函数图象,解决下列问题:①当1号杯和2号杯中都有320mL水时,2号杯的水面高度与1号杯的水面高度的差约为___________cm (结果保留小数点后一位); ②在①的条件下,将2号杯中的一都分水倒入1号杯中,当两个水杯的水面高度相同时,其水面高度约为 ___________cm(结果保留小数点后一位). 【答案】(1)1.0 (2)见详解 (3)1.2,8.5 【分析】本题考查了函数的图像与性质,描点法画函数图像,求一次函数解析式,已知函数值求自变量, 正确理解题意,熟练掌握知识点是解题的关键. (1)设V与 的函数关系式为: ,由表格数据得: ,则可求 ,代入 即可求解; (2)画 与 之间的关系图象时,描点,连线即可,画 与 的关系图像时,由于 是正比例函数, 故只需描出两点即可; (3)①当 时, ,由图象可知高度差 ;②在 左右两侧找到等 距的体积所对应的高度相同,大致为 . 【详解】(1)解:由题意得,设V与 的函数关系式为: , 由表格数据得: , 解得: , ∴ , ∴当 时, , ∴ ; (2)解:如图所示,即为所画图像,(3)解:①当 时, ,由图象可知高度差 , 故答案为:1.2; ②由图象可知当两个水杯的水面高度相同时,估算高度约为 , 故答案为: . 考点八:函数解析式 【典例1】(2024·海南·中考真题)设直角三角形中一个锐角为x度( ),另一个锐角为y度,则 y与x的函数关系式为( ) A. B. C. D. 【答案】D 【分析】本题考查了函数关系式.利用直角三角形的两锐角互余可得到y与x的关系式. 【详解】解:∵直角三角形中一个锐角的度数为x度,另一个锐角为y度, ∴ .故选:D. 【典例2】(2024·山西·模拟预测)某树苗的初始高度为 ,如图,这是该树苗的高度与生长的月数的 有关数据示意图,假设以后一段时间内,该树苗高度的变化与月数保持此关系,则该树苗的高度 与 生长月数 之间的函数关系式为( ) A. B. C. D. 【答案】D 【分析】本题考查了函数关系式,由题意可得树苗每个月增长的高度是 ,进而得出答案. 【详解】解:由题意得,树苗每个月增长的高度是 , 故该树苗的高度 与生长月数 之间的函数关系式为 , 故选: . 【典例3】(2024·广西·中考真题)激光测距仪L发出的激光束以 的速度射向目标M, 后测距 仪L收到M反射回的激光束.则L到M的距离 与时间 的关系式为( ) A. B. C. D. 【答案】A 【分析】本题考查列函数关系式,熟练掌握路程=速度×时间是解题的关键.根据路程=速度×时间列式即 可. 【详解】解: , 故选:A. 【典例4】(2024·甘肃·中考真题)如图1,“燕几”即宴几,是世界上最早的一套组合桌,由北宋进士黄 伯思设计.全套“燕几”一共有七张桌子,包括两张长桌、两张中桌和三张小桌,每张桌面的宽都相等. 七张桌面分开可组合成不同的图形.如图2给出了《燕几图》中名称为“回文”的桌面拼合方式,若设每 张桌面的宽为x尺,长桌的长为y尺,则y与x的关系可以表示为( )A. B. C. D. 【答案】B 【分析】本题主要考查了列函数关系式,观察可知,小桌的长是小桌宽的两倍,则小桌的长是 ,再根据 长桌的长等于小桌的长加上2倍的小桌的宽列出对应的函数关系式即可. 【详解】解:由题意可得,小桌的长是小桌宽的两倍,则小桌的长是 , ∴ , 故选:B. 【典例5】(2024·四川绵阳·三模)某茶叶销售商计划将120罐茶叶按甲、乙两种礼品盒包装出售,其中甲 种礼品盒每盒装4罐,每盒售价240元;乙种礼品盒每盒装6罐,每盒售价300元,恰好全部装完.已知 每罐茶叶的成本价为30元,设甲种礼品盒的数量为 盒,乙种礼品盒的数量为 盒. (1)求 关于 的函数关系式; (2)若120罐茶叶全部售出后的总利润不低于3000元,则甲种礼品盒的数量至少要多少盒? 【答案】(1) (2)甲种礼品盒的数量至少要15盒 【分析】本题考查列函数关系式,一元一次不等式的实际应用: (1)根据甲种礼品盒中茶叶的罐数加上乙种礼品盒中茶叶的罐数之和为120罐,列出函数关系式即可; (2)根据120罐茶叶全部售出后的总利润不低于3000元,列出不等式进行求解即可. 【详解】(1)解:由题意,得: , ∴ ; (2)由题意,得: , 由(1)知: ,∴ , 解得: ; 答:甲种礼品盒的数量至少要15盒. 【典例6】(2024·广东深圳·中考真题) 【缤纷618,优惠送大家】 今年618各大电商平台促销火热,线下购物中心也亮出大招,年中大促进入“白热化”.深圳各大 购物中心早在5月就开始推出618活动,进入6月更是持续加码,如图,某商场为迎接即将到来的 618优惠节,采购了若干辆购物车. 背 景 素 如图为某商场叠放的购物车,右图为购物车叠放在一起的示意图, 材 若一辆购物车车身长 ,每增加一辆购物车,车身增加 . 问题解决 任 务 若某商场采购了n辆购物车,求车身总长L与购物车辆数n的表达式; 1 任 若该商场用直立电梯从一楼运输该批购物车到二楼,已知该商场的直立电梯长为 ,且一次可以 务 运输两列购物车,求直立电梯一次性最多可以运输多少辆购物车? 2 任 若该商场扶手电梯一次性可以运输24辆购物车,若要运输100辆购物车,且最多只能使用电梯5 务 次,求:共有多少种运输方案? 3 【答案】任务1: ;任务2:一次性最多可以运输18台购物车;任务3:共有3种方案 【分析】本题考查了求函数表达式,一元一次不等式的应用,正确掌握相关性质内容是解题的关键. 任务1:根据一辆购物车车身长 ,每增加一辆购物车,车身增加 ,且采购了n辆购物车,L是车身 总长,即可作答. 任务2:结合“已知该商场的直立电梯长为 ,且一次可以运输两列购物车”,得出 ,再解不等式,即可作答. 任务3:根据“该商场扶手电梯一次性可以运输24辆购物车,若要运输100辆购物车,且最多只能使用电 梯5次”,列式 ,再解不等式,即可作答. 【详解】解:任务1:∵一辆购物车车身长 ,每增加一辆购物车,车身增加 ∴ 任务2:依题意,∵已知该商场的直立电梯长为 ,且一次可以运输两列购物车, 令 , 解得: ∴一次性最多可以运输18辆购物车; 任务3:设x次扶手电梯,则 次直梯, 由题意∵该商场扶手电梯一次性可以运输24辆购物车,若要运输100辆购物车,且最多只能使用电梯5次 可列方程为: , 解得: , ∵x为整数, ∴ , 方案一:直梯3次,扶梯2次; 方案二:直梯2次,扶梯3次: 方案三:直梯1次,扶梯4次 答:共有三种方案. 考法九:函数图象 【典例1】(2024·江西·中考真题)将常温中的温度计插入一杯 的热水(恒温)中,温度计的读数 与时间 的关系用图象可近似表示为( ) A. B. C. D.【答案】C 【分析】本题考查了函数图象,根据温度计上升到一定的温度后不变,可得答案;注意温度计的温度升高 到 时温度不变. 【详解】解:将常温中的温度计插入一杯 (恒温)的热水中,注意温度计的温度升高到 时温度不 变,故C选项图象符合条件, 故选:C. 【典例2】(2024·江苏徐州·中考真题)小明的速度与时间的函数关系如图所示,下列情境与之较为相符的 是( ) A.小明坐在门口,然后跑去看邻居家的小狗,随后坐着逗小狗玩 B.小明攀岩至高处,然后顺着杆子滑下来,随后躺在沙地上休息 C.小明跑去接电话,然后坐下来电话聊天,随后步行至另一个房间 D.小明步行去朋友家,敲门发现朋友不在家,随后步行回家 【答案】C 【分析】本题考查了函数图象,读懂函数图象,从图象中获取必要的信息是解决本题的关键. 根据函数图象分析即可. 【详解】解:由图象可知速度先随时间的增大而增大,然后直接降为0,过段时间速度增大,然后匀速运 动, 则小明跑去接电话,然后坐下来电话聊天,随后步行至另一个房间,符合题意. 故选:C. 【典例3】(2024·山东烟台·中考真题)如图,水平放置的矩形 中, , ,菱形 的顶点 , 在同一水平线上,点 与 的中点重合, , ,现将菱形 以 的速度沿 方向匀速运动,当点 运动到 上时停止,在这个运动过程中,菱形 与矩形 重叠部分的面积 与运动时间 之间的函数关系图象大致是( )A. B. C. D. 【答案】D 【分析】本题考查了解直角三角形的应用,菱形的性质,动点问题的函数图象,二次函数的图象的性质, 先求得菱形的面积为 ,进而分三种情形讨论,重合部分为三角形,重合部分为五边形,重合部分为菱 形,分别求得面积与运动时间的函数关系式,结合选项,即可求解. 【详解】解:如图所示,设 交于点 , ∵菱形 , , ∴ 又∵ , ∴ 是等边三角形, ∵ , , ∴∴ ∴ 当 时,重合部分为 , 如图所示, 依题意, 为等边三角形, 运动时间为 ,则 , ∴ 当 时,如图所示, 依题意, ,则 ∴ ∴ ∵ ∴当 时,当 时,同理可得, 当 时,同理可得, 综上所述,当 时,函数图象为开口向上的一段抛物线,当 时,函数图象为开口向下的一 段抛物线,当 时,函数图象为一条线段,当 时,函数图象为开口向下的一段抛物线,当 时,函数图象为开口向上的一段抛物线; 故选:D. 【典例4】(2024·江苏镇江·中考真题)甲、乙两车出发前油箱里都有40L油,油箱剩余油量 (单位: L)关于行驶路程 (单位:百公里)的函数图像分别如图所示,已知甲车每百公里平均耗油量比乙车每 百公里平均耗油量少2L,则下列关系正确的是( ) A. B. C. D. 【答案】B 【分析】本题考查函数的图象,关键是由图象获取信息来解决问题. 由图象知甲、乙两车行驶 百公里时,甲车耗油 ,乙车耗油 ,由题意即可得到答案. 【详解】解:由图象知:甲、乙两车行驶 百公里时,甲车耗油 ,乙车耗油 ,由题意得: . 故选:B. 【典例5】(2024·山东淄博·中考真题)某日,甲、乙两人相约在一条笔直的健身道路上锻炼.两人都从 地匀速出发,甲健步走向 地.途中偶遇一位朋友,驻足交流 后,继续以原速步行前进;乙因故比 甲晚出发 ,跑步到达 地后立刻以原速返回,在返回途中与甲第二次相遇.下图表示甲、乙两人之 间的距离 与甲出发的时间 之间的函数关系.( ) 那么以下结论: ①甲、乙两人第一次相遇时,乙的锻炼用时为 ; ②甲出发 时,甲、乙两人之间的距离达到最大值 ; ③甲、乙两人第二次相遇的时间是在甲出发后 ; ④ , 两地之间的距离是 . 其中正确的结论有: A.①②③ B.①②④ C.①③④ D.②③④ 【答案】B 【分析】本题考查了函数图象以及二元一次方程组的应用;①由乙比甲晚出发 及当x=50时 第一 次为 ,可得出乙出发 时两人第一次相遇,进而可得出结论①正确;②观察函数图象,可得出当 时, 取得最大值,最大值为 ,进而可得出结论②正确;③设甲的速度为 ,乙的速 度为 ,利用路程 速度 时间,可列出关于 , 的二元一次方程组,解之可得出 , 的之,将 其代入 中,可得出甲、乙两人第二次相遇的时间是在甲出发后 ,进而可得出结论③错误; ④利用路程 速度 时间,即可求出 , 两地之间的距离是 . 【详解】解:① 乙比甲晚出发 ,且当x=50时, ,乙出发 时,两人第一次相遇, 既甲、乙两人第一次相遇时,乙的锻炼用时为 ,结论①正确; ②观察函数图象,可知:当 时, 取得最大值,最大值为 , 甲出发 时,甲、乙两人之间的距离达到最大值 ,结论②正确; ③设甲的速度为 ,乙的速度为 , 根据题意得: , 解得: , ∴ , 甲、乙两人第二次相遇的时间是在甲出发后 ,结论③错误; ④ , , 两地之间的距离是 ,结论④正确. 综上所述,正确的结论有①②④. 故选:B. 【典例6】(2024·甘肃兰州·中考真题)甲,乙两人在相同条件下各射击10次,两人的成绩(单位:环) 如图所示,现有以下三个推断: ①甲的成绩更稳定; ②乙的平均成绩更高; ③每人再射击一次,乙的成绩一定比甲高.其中正确的是 .(填序号) 【答案】 / 【分析】①本题②考②查①了平均数、方差的意义.解答本题的关键是掌握它们的定义:方差是用来衡量一组数据波动大小的量,方差越大,表明这组数据偏离平均数越大,即波动越大,数据越不稳定;反之,方差越小, 表明这组数据分布比较集中,各数据偏离平均数越小,即波动越小,数据越稳定.根据方差、平均数的意 义进行判断即可求出答案. 【详解】解:根据图象可知甲的波动比乙小,则甲的成绩更加稳定,故①正确;根据图象可知甲的平均成 绩稳定在5以下,而乙的平均成绩稳定在7.5左右,则乙的平均成绩更高,故②正确;如果每人再射击一 次,但乙的成绩不一定比甲高,只能是可能性较大,因为乙的平均成绩更高,但是波动较大,故③错误. 故答案为:①②. 【典例7】(2024·四川资阳·中考真题)小王前往距家2000米的公司参会,先以 (米/分)的速度步行一 段时间后,再改骑共享单车直达会议地点,到达时距会议开始还有14分钟,小王距家的路程S(单位: 米)与距家的时间t(单位:分钟)之间的函数图象如图所示.若小王全程以 (米/分)的速度步行,则 他到达时距会议开始还有 分钟. 【答案】5 【分析】本题考查了函数图象的识别,解题的关键是理解题意,读懂图象中每条线段蕴含的信息,灵活运 用所学知识解决问题. 根据图象求出 ,进而得出小王全程以 (米/分)的速度步行,则他到达需要时间,即可解答. 【详解】解:根据题意可得: (米/分), 小王全程以 (米/分)的速度步行,则他到达需要时间为: (分), 由图可知,会议开始时间为出发后 (分), ∴若小王全程以 (米/分)的速度步行,则他到达时距会议开始还有 (分), 故答案为:5.易错点1:坐标规律探究 1. 解决与点坐标变化有关的规律问题一般方法: 1)若点的坐标在坐标轴上或象限内循环(周期)变化时,先求出第一个循环周期内相关点的坐标,然后找出 所求点经过循环后位于第一个循环周期内的哪个位置,从而求出坐标; 2)点的坐标是成倍递推变化时,先求出前几个点的坐标,然后归纳出后一个点坐标与前一个点坐标之间存 在的规律. 2. 解决与点坐标变化有关的规律问题的注意事项: 1)求什么找什么的规律; 2)变化规律最好用算式而不是得数表示; 3)找算式中数字与序号间的变化规律; 4)找坐标的变化规律,分两步进行:先找位置规律再找数字规律(点的坐标题型首先用这一条). 【典例1】(2024·黑龙江齐齐哈尔·中考真题)如图,数学活动小组在用几何画板绘制几何图形时,发现了 如“花朵”形的美丽图案,他们将等腰三角形OBC置于平面直角坐标系中,点O的坐标为 ,点B的 坐标为 ,点C在第一象限, .将 沿x轴正方向作无滑动滚动,使它的三边依次与 x轴重合,第一次滚动后,点O的对应点为 ,点C的对应点为 , 与 的交点为 ,称点 为第 一个“花朵”的花心,点 为第二个“花朵”的花心;……;按此规律, 滚动2024次后停止滚动, 则最后一个“花朵”的花心的坐标为 . 【答案】 【难度】0.65 【知识点】点坐标规律探索、解直角三角形的相关计算 【分析】本题考查了解直角三角形,等腰直角的性质,点的坐标规律探索.连接 ,求得 ,, ,分别得到 , , , ,推导得到 , 滚动一次得到 , 滚动四次得到 , 滚动七次得到 , 由此得到 滚动2024次后停止滚动,则 ,据此求解即可. 【详解】解:连接 , 由题意得 , , , ∴ , ∴ , , , ∴ , ∴ , , 同理 , , , 滚动一次得到 , 滚动四次得到 , 滚动七次得到 ,∴ 滚动2024次后停止滚动,则 时, , 故答案为: . 【典例2】(2024·四川广安·中考真题)已知,直线 与 轴相交于点 ,以 为边作等边 三角形 ,点 在第一象限内,过点 作 轴的平行线与直线 交于点 ,与 轴交于点 ,以 为边作等边三角形 (点 在点 的上方),以同样的方式依次作等边三角形 ,等边三角形 ,则点 的横坐标为 . 【答案】 【难度】0.4 【知识点】化为最简二次根式、点坐标规律探索、一次函数与几何综合、用勾股定理解三角形 【分析】直线直线 可知,点 坐标为(1,0),可得 ,由于 是等边三角形,可 得点 ,把 代入直线解析式即可求得 的横坐标,可得 ,由于 是等边三角形,可得点 ;同理, ,发现规律即可得解,准确发现坐标与字母的序号之间的 规律是解题的关键. 【详解】解:∵直线l: 与x轴负半轴交于点 , ∴点 坐标为(1,0), ∴ , 过 , ,作 轴交x轴于点M, 轴交 于点D,交x轴于点N, ∵ 为等边三角形, ∴ ∴ , ∴ ∴ , 当 时, ,解得: ,∴ , , ∴ , ∴ , ∴ , ∴当 时, ,解得: , ∴ ; 而 , 同理可得: 的横坐标为 , ∴点 的横坐标为 , 故答案为: . 【点睛】本题主要考查了一次函数图象上点的坐标的特征,勾股定理的应用,等边三角形的性质,特殊图 形点的坐标的规律,掌握探究的方法是解本题的关键. 【典例3】(2024·山东·中考真题)任取一个正整数,若是奇数,就将该数乘3再加上1;若是偶数,就将 该数除以2.反复进行上述两种运算,经过有限次运算后,必进入循环圈1→4→2→1,这就是“冰雹猜 想”.在平面直角坐标系 中,将点 中的 , 分别按照“冰雹猜想”同步进行运算得到新的点的 横、纵坐标,其中 , 均为正整数.例如,点 经过第1次运算得到点 ,经过第2次运算得到点 ,以此类推.则点(1,4)经过2024次运算后得到点 . 【答案】 【难度】0.65 【知识点】点坐标规律探索 【分析】本题考查了新定义,点的规律,根据新定义依次计算出各点的坐标,然后找出规律,最后应用规 律求解即可. 【详解】解:点(1,4)经过1次运算后得到点为 ,即为 , 经过2次运算后得到点为 ,即为 , 经过3次运算后得到点为 ,即为 , ……, 发现规律:点(1,4)经过3次运算后还是(1,4), ∵ , ∴点(1,4)经过2024次运算后得到点 , 故答案为: . 【典例4】(2024·广东韶关·模拟预测)如图,一个机器人从点 出发,向正西方向走 到达点 ;再向 正北方向走 到达点 ;再向正东方向走 到达点 ;再向正南方向走 到达点 ;再向正西方向走 到达点 ;…,按如此规律走下去,当机器人走到点 时,点 的坐标为【答案】 【难度】0.65 【知识点】点坐标规律探索 【分析】本题考查点的坐标变化规律,根据点的坐标的变化探究出其变化规律是每 个一循环,再根据相 应位置上的点找到规律解答即可.能根据机器人的运动方式发现点 ( 为正整数)的坐标可表示为 是解题的关键. 【详解】解:由题知, 点 的坐标为 , 点 的坐标为 , 点 的坐标为 , 点 的坐标为 , 点 的坐标为 , 点 的坐标为 , 点 的坐标为 , …, ∴ ( 为正整数)的坐标可表示为 ,当 时, , , ∴点 的坐标为 , ∴点 的坐标为 . 故答案为: . 易错点2:平面直角坐标系中的面积问题 在平面直角坐标系中,解决与面积有关的问题时,要会求出点到坐标轴的距离.在求面积时,要会应用转化方 法,将图形补成规则的图形或将图形分割成规则的图形进行求解. 在求几何图形面积时,线段的长度往往通过计算某些点横坐标之差的绝对值,或纵坐标之差的绝对值去实 现. (横坐标相减时最好用右边的数减左边的数,纵坐标相减时用上边的数减下边的数,这样所得结果就是 边或高的长度,就不用绝对值符号了). 【典例1】(2024·江苏无锡·三模)如图,在平面直角坐标系 中,已知A(9,0),C(0,6),四边形 是矩形,过点 的动直线 与 轴交于点 ,将 沿直线 翻折,使点 的对应点 落在矩形 内,当 与 一端点的连线所在直线能将 的面积分成相等的两部分时, 点的横坐标 为 . 【答案】 或 或4 【分析】本题考查坐标与图形,矩形的性质,折叠的性质,勾股定理,一次函数解析式, 分三种情况:①当 落在中线 上时,②当 落在中线 上时,③当 落在中线 上时,画出图形 分别求解即可 【详解】解:①当 落在中线 上时, 与 一端点的连线所在直线能将 的面积分成相等的 两部分此时 , ,∵将 沿直线 翻折,使点 的对应点 落在矩形 内, ∴ , , , ∴ , 连接 ,设 , 则 ,解得: , ∴ ②当 落在中线 上时, 与 一端点的连线所在直线能将 的面积分成相等的两部分,此时 ,直线 的解析式为: , 设 ,过 作 ,交 于点J, 则 , ∴ ,解得: 或 (舍去), ∴ , 设 ,则 , ∴ ,解得: , ∴ ;③当 落在中线 上时, 与 一端点的连线所在直线能将 的面积分成相等的两部分,此时 ,直线 的解析式为: , 设 ,过 作 ,交 于点R, 则 , ∴ ,解得: 或 (舍去), ∴ , 设 ,则 , ∴ ,解得: , ∴ ; 故答案为: 或 或4 【典例2】(2024·江苏连云港·二模)如图,在平面直角坐标系 中,点A,B在双曲线 上,的延长线交双曲线 于点C,连接 交双曲线 于点D,连接 ,若 , 则 的面积为 . 【答案】 【分析】过点 ,点 ,点 分别作 的垂线 , , ,垂足分别为 , , ,利用反比例函 数 的几何意义求出三角形 与三角形 的面积之比,由两三角形相似,确定出相似比,即 与 之比,设 ,则有 ,进而表示出 与 ,由三角形 与三角形 相似,且 ,求出 与 之比,表示出 的纵坐标,得到 的横坐标,进而表示出 与 ,根据 ,求解即可. 【详解】解:过点 ,点 ,点 分别作 的垂线 , , ,垂足分别为 , , ,如图, , , , , , 设 ,则有 , , , , ,,即 , , , , . 故答案为: . 【点睛】此题属于反比例函数综合题,涉及的知识有:相似三角形的判定与性质,坐标与图形性质,反比 例函数 的几何意义,以及四边形与三角形面积求法,熟练掌握反比例函数的性质是解本题的关键. 【典例3】(2024·广西·模拟预测)阅读与探究.定义:在平面直角坐标系中,对于任意一个函数,将原函 数中的自变量x替换为 ,从而形成一个新的函数,这个新函数叫做原函数的“绝对函数”.例如,函数 y=x+1的“绝对函数”是 ,即 ;函数 的“绝对函数”是 ,即 ;函数 的图象如图1,则它的“绝对函数” 的图 象如图②所示.(1) 的“绝对函数”是______; (2)在图3的平面直角坐标系中画出 的绝对函数的图象; (3)在(1)的“绝对函数”图象上取一点A,点A关于y轴的对称点为 ,O是平面直角坐标系的原点,则 的面积是______; (4)函数 的“绝对函数”与直线 有四个交点时,求m的取值范围. 【答案】(1) (2)作图见解析 (3)6 (4) 【分析】本题考查二次函数与反比例函数的综合应用,一次函数的应用;理解并运用新定义“绝对函数”, 能够将图象的对称转化为点的对称,借助图象解题是关键. (1)根据定义直接写出函数即可; (2)根据定义画出函数图象即可; (3)根据函数对称的特点,求出对称的函数的点,再由两个函数与y轴的交点不变,三角形面积计算公式 即可; (3)先根据解析式,求出函数图象与y轴的交点,再根据两个函数交点与方程关系,列出方程组求解即可. 【详解】(1)根据题意得:的“绝对函数”是 , 故答案为: (2) 的绝对函数是 即 如图所示 的绝对函数的图象为 (3)如图所示: 的“绝对函数”是 ,点A关于y轴的对称点为 , 设点 ,则 , 到x轴距离为y, 的面积是 , (4)如图所示:令 ,得 则函数图象与y轴的交点是 ; 当直线 经过 时,直线与图象有三个交点, 此时 当直线向下平移,若直线与函数 只有一个交点时, 可得方程 有两个相等的实数根, 则 , 解得 , 若函数 的“绝对函数”与直线 有四个交点时, m的取值范围是 . 【典例4】(2024·黑龙江·二模)在平面直角坐标系中,直线y=kx+b(k≠0)与y轴交于点 B,与x轴交于 点 C,线段 的长是一元二次方程 的两个根,直线 交 于点 . (1)求点A的坐标; (2)在平面直角坐标系中有一点 ,求 的面积S与m的函数关系式; (3)M为直线 上的动点,过点M作y轴的平行线,交直线 于点N,点Q在y轴上,是否存在点M,使为等腰直角三角形?若存在,请直接写出点M的坐标;若不存在,请说明理由. 【答案】(1) (2) (3)存在,M的坐标为 或 或 或 【分析】(1)通过解方程确定点 ,再用待定系数法求直线表达式为 ,最后联立, 解二元一次方程组即可; (2)分类讨论,当点P在点E下方时,即 ,得到 ;当点P在点E上方时,即 , 得到 ,代入即可求解; (3)分类讨论,若 , ,则有 ,得到 ,若 或 ,则 ,得到 ,分别求解即可. 【详解】(1)解: , 解得: 或 , ∴ , 将 代入y=kx+b(k≠0) 得: , 解得: , ∴直线表达式为 , ∴联立得: ,解得 , ∴点 ; (2)解:由题意得点P在直线 上,设直线 与直线 交于点E,交x轴于点F, 将 代入 得 ,∴ , ①当点P在点E下方时,即 ,如图: ; 当点P在点E上方时,即 ,如图: , 综上所述: 的面积S与m的函数关系式为: ; (3)解:令直线 为 ,直线 为 , ,则 ,, ①如图1,若 , , 过点Q作 , ∴点G为 中点, ∴ , 则有 , , 或 , ,或 , ②如图2,图3,若 或 ,则 , , 或 , ,或 . 综上所述,M的坐标为 或 或 或 . 【点睛】本题考查了待定系数法求函数解析式,解一元二次方程,二元一次方程组,三角形的面积,等腰 直角三角形的存在性问题,考查了分类讨论思想. 易错点3:函数图像中的动点问题 类型一 动点与函数图象判断的解题策略 方法一:趋势判断法. 根据几何图形的构造特点,对动点运动进行分段,并判断每段对应函数图象的增减 变化趋势; 方法二:解析式计算法. 根据题意求出每段的函数解析式,结合解析式对应的函数图象进行判断; 方法三:定点求值法. 结合几何图形特点,在点运动的拐点、垂直点、特殊点处求出函数值,对选项进行 排除; 方法四:范围排除法. 根据动点的运动过程,求出两个变量的变化范围,对选项进行排除. 类型二 动点与函数图象计算的解题策略 一看图:注意函数图象横纵坐标分别表示的量与取值范围,以及图象的拐点、最值点等; 二看形:观察题目所给几何图形的特点,运用几何性质分析动点整体运动情况; 三结合:几何动点与函数图象相结合,求出图形中相关线段的长度或图形面积的值; 四计算:结合已知,列出等式,计算未知量,常用勾股定理、面积相等和相似等方法进行计算求解.【典例1】(2024·黑龙江齐齐哈尔·中考真题)如图,在等腰 中, , ,动点 E,F同时从点A出发,分别沿射线 和射线 的方向匀速运动,且速度大小相同,当点E停止运动时, 点F也随之停止运动,连接 ,以 为边向下做正方形 ,设点E运动的路程为 ,正 方形 和等腰 重合部分的面积为y,下列图像能反映y与x之间函数关系的是( ) A. B. C. D. 【答案】A 【分析】本题考查动态问题与函数图象,能够明确y与x分别表示的意义,并找到几何图形与函数图象之 间的关系,以及对应点是解题的关键,根据题意并结合选项分析当 与 重合时,及当 时图象的 走势,和当 时图象的走势即可得到答案. 【详解】解:当 与 重合时,设 ,由题可得: ∴ , , 在 中,由勾股定理可得: , ∴ , ∴ , ∴当 时, , ∵ , ∴图象为开口向上的抛物线的一部分, 当 在 下方时,设 ,由题可得:∴ , , ∵ , , ∴ , ∴ , ∴ , ∴ , ∴当 时, , ∵ , ∴图象为开口向下的抛物线的一部分, 综上所述:A正确, 故选:A. 【典例2】(2024·四川广元·中考真题)如图①,在 中, ,点P从点A出发沿A→C→B 以1 的速度匀速运动至点B,图②是点P运动时, 的面积 随时间x(s)变化的函数图象, 则该三角形的斜边 的长为( ) A.5 B.7 C. D. 【答案】A 【分析】本题考查根据函数图象获取信息,完全平方公式,勾股定理,由图象可知, 面积最大值为6,此时当点P运动到点C,得到 ,由图象可知 , 根据勾股定理,结合完全平方公式即可求解. 【详解】解:由图象可知, 面积最大值为6 由题意可得,当点P运动到点C时, 的面积最大, ∴ ,即 , 由图象可知,当 时, ,此时点P运动到点B, ∴ , ∵ , ∴ , ∴ . 故选:A 【典例3】(2024·安徽·中考真题)如图,在 中, , , , 是边 上的高.点E,F分别在边 , 上(不与端点重合),且 .设 ,四边形 的面 积为y,则y关于x的函数图象为( ) A. B. C. D. 【答案】A 【分析】本题主要考查了函数图象的识别,相似三角形的判定以及性质,勾股定理的应用,过点E作于点H,由勾股定理求出 ,根据等面积法求出 ,先证明 ,由相似三角形的 性质可得出 ,即可求出 ,再证明 ,由相似三角形的性质可得出 , 即可得出 ,根据 ,代入可得出一次函数的解析式, 最后根据自变量的大小求出对应的函数值. 【详解】解:过点E作 于点H,如下图: ∵ , , , ∴ , ∵ 是边 上的高. ∴ , ∴ , ∵ , , ∴ , ∴ , 解得: , ∴ , ∵ , , ∴ , , ∴ ,∴ , ∴ , ∴ ∵ , ∴当 时, , 当 时, . 故选:A.