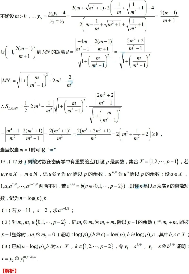
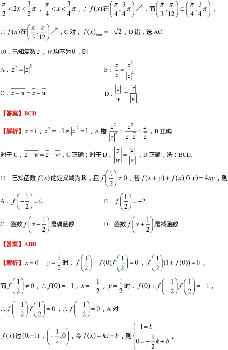
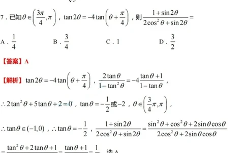
文档
办公文件
生活文档
学习资料
当前位置:
首页
>
文档
>九省联考数学答案解析版_2024年九省联考试题+答案
九省联考数学答案解析版_2024年九省联考试题+答案
2026-03-02 13:57:51
2026-02-08 23:52:30
文档预览
文档信息
文档格式
pdf
文档大小
10.525 MB
文档页数
14 页
上传时间
2026-02-08 23:52:30
下载文档
本文档来自网络内容,如有侵犯您的权益请联系我们删除,联系邮箱:wyl860211@qq.com。
上一篇
语文试卷-2025年秋康德高三11月调研测试试题卷(含答案)_251114康德教育重庆市2026年普通高等学校招生全国统一考试11月调研测试(全科)
下一篇
湖南省长沙市第一中学2024-2025学年高二下学期6月期末英语试题(含答案)_2025年6月_250622湖南省长沙市第一中学2024-2025学年高二下学期6月期末
最新文档
诊断测试文综二答案(1)(1)_9.2025地理总复习_地理高考模拟题_老高考_2023年_河南省许昌市建安区第三高级中学2022-2023学年高三上学期诊断性测试文综
四川省树德中学2023届高三上学期10月阶段性测试英语PDF版含答案(可编辑)_3.2025英语总复习_2023年新高考资料_3英语高考模拟题_老高考
讲+练9.3服务业区位与区域产业结构的变化-考点聚焦2023年高考地理总复习讲练测_9.2025地理总复习_赠品通用版(老高考)复习资料_专项复习
讲+练9.2工业区位因素与产业转移(含资源枯竭地区的发展)-考点聚焦2023年高考地理总复习讲练测_9.2025地理总复习_赠品通用版(老高考)复习资料_专项复习
讲+练9.1农业区位与可持续发展-考点聚焦2023年高考地理总复习讲练测_9.2025地理总复习_赠品通用版(老高考)复习资料_专项复习_考点聚焦2023年高考地理总复习讲练测
讲+练8.3地域文化与城乡景观-考点聚焦2023年高考地理总复习讲练测_9.2025地理总复习_赠品通用版(老高考)复习资料_专项复习_考点聚焦2023年高考地理总复习讲练测
讲+练8.2城镇化与大都市发展(含国家发展战略)-考点聚焦2023年高考地理总复习讲练测_9.2025地理总复习_赠品通用版(老高考)复习资料_专项复习
四川省宜宾市第四中学校2022-2023学年高三上学期期末考试英语试题_3.2025英语总复习_2023年新高考资料_3英语高考模拟题_老高考
讲+练8.1城乡区位与城乡内部空间结构-考点聚焦2023年高考地理总复习讲练测_9.2025地理总复习_赠品通用版(老高考)复习资料_专项复习
讲+练7.0人口与环境-考点聚焦2023年高考地理总复习讲练测_9.2025地理总复习_赠品通用版(老高考)复习资料_专项复习_考点聚焦2023年高考地理总复习讲练测
热门文档
讲+练6.3自然环境的差异性-考点聚焦2023年高考地理总复习讲练测_9.2025地理总复习_赠品通用版(老高考)复习资料_专项复习_考点聚焦2023年高考地理总复习讲练测
讲+练6.2自然环境的整体性-考点聚焦2023年高考地理总复习讲练测_9.2025地理总复习_赠品通用版(老高考)复习资料_专项复习_考点聚焦2023年高考地理总复习讲练测
讲+练6.1植被与土壤-考点聚焦2023年高考地理总复习讲练测_9.2025地理总复习_赠品通用版(老高考)复习资料_专项复习_考点聚焦2023年高考地理总复习讲练测
讲+练5.4海——气相互作用-考点聚焦2023年高考地理总复习讲练测_9.2025地理总复习_赠品通用版(老高考)复习资料_专项复习_考点聚焦2023年高考地理总复习讲练测
讲+练5.3海水性质和海水运动-考点聚焦2023年高考地理总复习讲练测_9.2025地理总复习_赠品通用版(老高考)复习资料_专项复习_考点聚焦2023年高考地理总复习讲练测
四、感谢信_3.2025英语总复习_2025年新高考资料_一轮复习_2025高考大一轮复习讲义+课件(完结)_2025高考大一轮复习英语(人教版)_配套Word版文档(教师版)话题晨背·进阶写作
讲+练5.2陆地水体及其补给-考点聚焦2023年高考地理总复习讲练测_9.2025地理总复习_赠品通用版(老高考)复习资料_专项复习_考点聚焦2023年高考地理总复习讲练测
讲+练5.1水循环与水资源-考点聚焦2023年高考地理总复习讲练测_9.2025地理总复习_赠品通用版(老高考)复习资料_专项复习_考点聚焦2023年高考地理总复习讲练测
讲+练4.5素养提升·微专题气候综合专题-考点聚焦2023年高考地理总复习讲练测_9.2025地理总复习_赠品通用版(老高考)复习资料_专项复习
四 感谢信_3.2025英语总复习_2023年新高考资料_一轮复习_2023年新高考大一轮复习讲义_2023年高考英语一轮复习讲义(新人教新高考)_话题晨背·写作速成手册_写作速成手册
随机文档
讲+练4.4天气系统与天气-考点聚焦2023年高考地理总复习讲练测_9.2025地理总复习_赠品通用版(老高考)复习资料_专项复习_考点聚焦2023年高考地理总复习讲练测
讲+练4.3气压带、风带与气候-考点聚焦2023年高考地理总复习讲练测_9.2025地理总复习_赠品通用版(老高考)复习资料_专项复习_考点聚焦2023年高考地理总复习讲练测
讲+练4.2大气运动-考点聚焦2023年高考地理总复习讲练测_9.2025地理总复习_赠品通用版(老高考)复习资料_专项复习_考点聚焦2023年高考地理总复习讲练测
讲+练4.1大气分层与大气受热过程-考点聚焦2023年高考地理总复习讲练测_9.2025地理总复习_赠品通用版(老高考)复习资料_专项复习_考点聚焦2023年高考地理总复习讲练测
讲+练3.3人类活动与地表形态-考点聚焦2023年高考地理总复习讲练测_9.2025地理总复习_赠品通用版(老高考)复习资料_专项复习_考点聚焦2023年高考地理总复习讲练测
讲+练3.2内外力作用与主要地貌-考点聚焦2023年高考地理总复习讲练测_9.2025地理总复习_赠品通用版(老高考)复习资料_专项复习_考点聚焦2023年高考地理总复习讲练测
讲+练3.1岩石圈的物质循环-考点聚焦2023年高考地理总复习讲练测_9.2025地理总复习_赠品通用版(老高考)复习资料_专项复习_考点聚焦2023年高考地理总复习讲练测
讲+练2.2地球运动的规律(自转+公转)-考点聚焦2023年高考地理总复习讲练测_9.2025地理总复习_赠品通用版(老高考)复习资料_专项复习
讲+练2.1宇宙中的地球-考点聚焦2023年高考地理总复习讲练测_9.2025地理总复习_赠品通用版(老高考)复习资料_专项复习_考点聚焦2023年高考地理总复习讲练测
专题05经济篇——推动高质量发展(讲义)(原卷版)_8.2025政治总复习_2024年新高考资料_2.2024二轮复习_2024年高考政治二轮复习高频考点追踪与预测(新高考专用)