当前位置:首页>文档>重庆市巴蜀中学教育集团2024-2025学年高二下学期期末考试数学试题答案(1)_2025年7月_250702重庆市巴蜀中学教育集团高2026届高二下期末考试

重庆市巴蜀中学教育集团2024-2025学年高二下学期期末考试数学试题答案(1)_2025年7月_250702重庆市巴蜀中学教育集团高2026届高二下期末考试

  • 2026-04-07 06:06:30 2026-02-09 04:46:02

文档预览

重庆市巴蜀中学教育集团2024-2025学年高二下学期期末考试数学试题答案(1)_2025年7月_250702重庆市巴蜀中学教育集团高2026届高二下期末考试
重庆市巴蜀中学教育集团2024-2025学年高二下学期期末考试数学试题答案(1)_2025年7月_250702重庆市巴蜀中学教育集团高2026届高二下期末考试
重庆市巴蜀中学教育集团2024-2025学年高二下学期期末考试数学试题答案(1)_2025年7月_250702重庆市巴蜀中学教育集团高2026届高二下期末考试
重庆市巴蜀中学教育集团2024-2025学年高二下学期期末考试数学试题答案(1)_2025年7月_250702重庆市巴蜀中学教育集团高2026届高二下期末考试
重庆市巴蜀中学教育集团2024-2025学年高二下学期期末考试数学试题答案(1)_2025年7月_250702重庆市巴蜀中学教育集团高2026届高二下期末考试
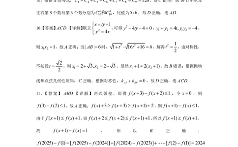
重庆市巴蜀中学教育集团2024-2025学年高二下学期期末考试数学试题答案(1)_2025年7月_250702重庆市巴蜀中学教育集团高2026届高二下期末考试
重庆市巴蜀中学教育集团2024-2025学年高二下学期期末考试数学试题答案(1)_2025年7月_250702重庆市巴蜀中学教育集团高2026届高二下期末考试
重庆市巴蜀中学教育集团2024-2025学年高二下学期期末考试数学试题答案(1)_2025年7月_250702重庆市巴蜀中学教育集团高2026届高二下期末考试
重庆市巴蜀中学教育集团2024-2025学年高二下学期期末考试数学试题答案(1)_2025年7月_250702重庆市巴蜀中学教育集团高2026届高二下期末考试
重庆市巴蜀中学教育集团2024-2025学年高二下学期期末考试数学试题答案(1)_2025年7月_250702重庆市巴蜀中学教育集团高2026届高二下期末考试
重庆市巴蜀中学教育集团2024-2025学年高二下学期期末考试数学试题答案(1)_2025年7月_250702重庆市巴蜀中学教育集团高2026届高二下期末考试
重庆市巴蜀中学教育集团2024-2025学年高二下学期期末考试数学试题答案(1)_2025年7月_250702重庆市巴蜀中学教育集团高2026届高二下期末考试
重庆市巴蜀中学教育集团2024-2025学年高二下学期期末考试数学试题答案(1)_2025年7月_250702重庆市巴蜀中学教育集团高2026届高二下期末考试
重庆市巴蜀中学教育集团2024-2025学年高二下学期期末考试数学试题答案(1)_2025年7月_250702重庆市巴蜀中学教育集团高2026届高二下期末考试

文档信息

文档格式
pdf
文档大小
0.706 MB
文档页数
10 页
上传时间
2026-02-09 04:46:02

文档内容

巴蜀中学高 2026 届高二(下)期末考试 数学参考答案 一、单选题 题号 1 2 3 4 5 6 7 8 答案 C C A B C D B D 1.【答案】C【详解】U ={0,1,2,3,4,5,6},M ={0,1,2,3},所以C M ={4,5,6},选C. U 2.【答案】C【详解】xR,3 x3 = x,a3 b3  3 a3  3 b3 ab,选C. 3.【答案】A【详解】 f(x)=2f(0)e2x −cosx, f(0)=2f(0)−1, f(0)=1,选A. 4.【答案】B【详解】设事件A:使用货到付款,P(A)=0.6,设事件B:使用在线支付, P(B)=0.5 , P(A+B)=0.7 , 故 P(AB)=0.6+0.5−0.7=0.4 , 由 题 意 P(AB) 0.4 2 P(B| A)= = = ,则选B. P(A) 0.6 3 1 5.【答案】C【详解】f(x)= x在R上单调递增;f(x)= 在(−,0)单调递减,(0,+) 2x 单调递减,不在定义域内单调递减; f(x)= x2在(−,0)单调递减,(0,+)单调递增,选 C. a a 3 6.【答案】D【详解】双曲线渐近线方程为y= x,则 = 3或 ,选D. 2 2 3 7.【答案】B【详解】由题意,四个兴趣小组必有两个 2 人选、两个 1 人选,根据 2 人选 的小组是同样的2个人还是3个人分两种情况: 当2人选的小组是同样的2个人时,有C2C2 =18种; 4 3 当2人选的小组是由3个人构成时,有C2C1C1C1 =72种; 4 3 2 2 所以不同的报名方式有18+72=90种,选B. c+b−c 2 b2 8.【答案】D【详解】c(b−c)   = ,b=2c时,取等号,  2  4 a a a a ( )2 + +4 ( +1)2 −( +1)+4 a2 +4b2 +ab 1 b b 1 b b 则原式 =  =  2ab+2b2 2 a 2 a +1 +1 b b 高二数学参考答案 第 1 页 共 10 页 {#{QQABIQAgwgi4gBbACY4LEQU4C0oQsJIjJeokRQAaOAYKyANABKA=}#}  1  a 4  3 3 = ( +1)+ −1  ,当且仅当a=b=2c时,原式取得最小值 ,选D. 2 b a 2 2  +1   b  二、多选题 题号 9 10 11 答案 AD ACD ABD 9.【答案】AD【详解】根据组合数性质,A正确;C0 +C1+C2 + +Cn =2n,故B错 n n n n 误;根据A的等式,C4 +C3+C3+C3+C3+C3 =C4 =126,故C错误;第10行中从左 4 4 5 6 7 8 9 往右第5个数与第6个数分别为C4和C5 ,比值为5:6,故D正确,选AD. 10 10 x=ty+1 10.【答案】ACD 【详解】联立 ,可得y2 −4ty−4=0,y + y =4t,y y =−4,  y2 =4x 1 2 1 2 1 则x x =1,故A正确;当| AB|=6时, 1+t2  16t2 +16 =6,解得t2 = ,由对称性, 1 2 2 2 不妨设t = ,则x =2+ 3,x =2− 3,显然x +1 2(x +1),故B错误;根据抛物 2 1 2 1 2 线焦点弦几何性质知,C正确;根据对称性,k +k =0,故D正确,选ACD. AP BP 11.【答案】 ABD 【详解】两式做差,即得 f(x+3)− f(x+2)1,令 x=0 ,则 f(3)− f(2)1,故A正确;f(x)+3 f(x+3) f(x+1)+2,则 f(x+1)− f(x)1, 由于 f(x+1) f(x)+1,则 f(x)+2 f(x+2) f(x+1)+1,所以 f(x+1) f(x)+1, 故 f(x+1)− f(x)=1 , 所 以 B 正 确 ; f(2025)− f(1)=[f(2025)− f(2024)]+[f(2024)− f(2023)]+ +[f(2)− f(1)]=2024 故 C 错 误 ; 若 满 足 g(x+1)= g(x) , 那 么 当 f(x)= x+g(x) 时 , f(x+1)− f(x)= x+1+g(x+1)−[x+g(x)]=1,满足条件,注意到:g(x)= x−[x], 使得g(x+1)= g(x)成立,则D正确,选ABD. 三、填空题 题号 12 13 14 高二数学参考答案 第 2 页 共 10 页 {#{QQABIQAgwgi4gBbACY4LEQU4C0oQsJIjJeokRQAaOAYKyANABKA=}#}3 1 答案 0.5 (−,− ] (2,+) ( ,1) 2 e 12.【答案】0.5【详解】正态分布曲线关于=3对称,且P(X 5.5)+P(X m)=1, 5.5+m 则 =3,所以m=0.5. 2 3 x2 +3 2x+3 13.【答案】 (−,− ] (2,+) 【详解】由  x 移项通分得: 0 ,则 2 x−2 x−2 3 3 (2x+3)(x−2)0且x2,从而解得:x− 或x2,即解集为(−,− ] (2,+). 2 2 1 14.【答案】 ( ,1) 【详解】易得 f ' x x(axlna ex) ,设 g x axlna ex ,令 e f ' x x(axlna ex) 0,得x 0或g x 0, 由g x 0,得axlna ex,则在同一坐标系中函数y axlna的图象和直线y ex有两个 不同的公共点. (1)当a 1时,注意到,当a e时,直线y ex是曲线y axlna的一条切线,故a e, 此时x 0, 1 如图(1),由图可知x 0,且在x 附近g x 左正右负,f ' x 左正右负,x 是极大值点, 2 2 2 不符合题意; 1 (2)当0 a 1时,注意到,当a 时,直线y ex是曲线y axlna的一条切线,故 e 1 a 1,此时x 0,g 0 lna 0,从而在0附近, f ' x 左正右负,0是极大值点; e 3 如图(2),由图可知,x 0,且在x 附近g x 左负右正,f ' x 左正右负,x 是极大值点; 1 1 1 x 0,且在x 附近g x 左正右负, f ' x 左负右正,x 是极小值点;符合题意;所以实 2 2 2 1 数a的取值范围是( ,1). e y y x 1 x 2 x x 2 x 3 x 图(1) 图(2) 四、解答题 高二数学参考答案 第 3 页 共 10 页 {#{QQABIQAgwgi4gBbACY4LEQU4C0oQsJIjJeokRQAaOAYKyANABKA=}#}18 15.【答案】(1) (2) 某人血样经该检测试剂盒检测诊断结果是否为阳性与其是否患病有 19 关,此推断犯错误的概率不超过0.001. 【详解】(1)根据试验结果得列联表: 患病情况 检测结果 合计 患病 不患病 阳性 90 5 95 阴性 10 95 105 合计 100 100 200 ······························································································································· 3分 90 18 检测结果为阳性的共95人,其中患病的为90人,所以P的估计值为 = . ······················ 6分 95 19 (2)零假设为H :某人血样经该检测试剂盒检测诊断结果是否为阳性与其是否患病无 0 关, ····························································································································· 7分 根据列联表数据计算得 200(9095−105)2 57800 57800 2 = =  =144.510.828= x . 10010095105 399 400 0.001 ····························································································································· 11分 根据小概率值=0.001的独立性检验,我们推断H 不成立,即认为某人血样经该检测 0 试剂盒检测诊断结果是否为阳性与其是否患病有关,此推断犯错误的概率不超过0.001. ············· 13分 16.【答案】(1) a =n (2) 7 n 【详解】解法一:(1)由已知,得:S −S =3a −a ( nN*) , 即a +a =3a −a , n+2 n n+1 n n+1 n+2 n+1 n …………………………………………………………………………………………… 2分 即a −a =a −a ( nN*) , ·················································································· 3分 n+2 n+1 n+1 n 所以a −a =a −a ,所以数列a 是首项为a =1的等差数列, ······································· 4分 n+1 n 2 1 n 1 设公差为d,则由于S =3a =6, ················································································· 5分 3 2 所以d =a −a =1,又因为a =1,所以a =a +(n−1)d =n. 2 1 1 n 1 即a 的通项公式为a =n. ······················································································· 7分 n n 1 1 13 1 1  (2)由(1)知,a =n,故 − = =13 − , ········································· 9分 n b b n(n+1) n n+1 n+1 n 1 1 1 1 1 1 1 1  1 所以,当n2时, − = − + − + + − =131− , ·························· 11分 b b b b b b b b  n n 1 n n−1 n−1 n−2 2 1 1 n 又因为b =− ,代入化简可得b = ( n2,nN*) . ··············································· 12分 1 11 n 2n−13 1 n 因为b =− 也符合上式,所以b = ( nN*) . 1 11 n 2n−13 n 13−n 注意到b +b = + =1, ································································· 14分 n 13−n 2n−13 2(13−n)−13 121 所以b 的前13项和T = +b =6+1=7. n 13 2 13 所以b 的前13项和为7 ·························································································· 15分 n 解法二:(1)同解法一; ····························································································· 7分 高二数学参考答案 第 4 页 共 10 页 {#{QQABIQAgwgi4gBbACY4LEQU4C0oQsJIjJeokRQAaOAYKyANABKA=}#}1 1 13 1 1  (2)由(1)知,a =n,故 − = =13 − , ········································· 9分 n b b n(n+1) n n+1 n+1 n 1 13 1 13 1 1 13 1 即 + = + ,又因为b =− ,所以 + = +13=2, ·································· 11分 b n+1 b n 1 11 b n b n+1 n n 1 n 所以b = ( nN*) .·························································································· 12分 n 2n−13 n 13−n 注意到b +b = + =1, ································································· 14分 n 13−n 2n−13 2(13−n)−13 121 所以b 的前13项和T = +b =6+1=7. n 13 2 13 所以b 的前13项和为7 ·························································································· 15分 n 17.【答案】(1) f(x)在(0,1)单调递减,在(1,+)单调递增,极小值为−1,无极大值; (2) ae2 【详解】(1)函数 f (x)的定义域为(0,+), ········································································· 1分 2 2 ( x2 −1 ) 因为a=1,所以 f(x)=x2 −2lnx−2, f(x)=2x− = . ········································ 2分 x x 令 f(x)0,得0x1,令 f(x)0,得x1; ····························································· 4分 所以 f(x)在(0,1)单调递减,在(1,+)单调递增. ······························································ 5分 因此 f(x)在x=1处取得极小值 f(1)=−1. ······································································ 6分 综上, f(x)在(0,1)单调递减,在(1,+)单调递增,极小值为−1,无极大值. ························ 7分 2a 2 ( x2 −a ) (2) f(x)=2x− = . ······················································································· 8分 x x 因为a0,令 f(x)0,得0x a ,令 f(x)0,得x a; ······································ 9分 所以 f(x)在(0, a)单调递减,在( a,+)单调递增. ······················································ 10分 所以 f (x) =−a−alna,所以−a−alna−2alna+e2,即a−alna+e2 0. ····················· 11分 min ①当0a1时,a−alna+e2 e2 0,恒成立,不符合题意; ········································ 13分 ②当a1时,设g(x)=x−xlnx+e2(x1),则g'(x)=−lnx0,所以g(x)在(1,+)单 调递减, 又因为g ( e2) =0,所以a−alna+e2 0等价于g(a)g ( e2) ,所以ae2; 综上,a的取值范围是ae2. ···················································································· 15分 x2  2 18.【答案】(1) + y2 =1 (2) 2,−  (3)线段MN 的中点在定圆x2 + y2 =1上.   4  2  【详解】解法一:(1)依题意,设P(x,y),则A(x,2y), 因为A在 O:x2 + y2 =4上, x2 所以x2 +4y2 =4,即 + y2 =1, 4 x2 所以C的方程为 + y2 =1. ······················································································ 4分 4 (2)设P(x ,y ),则x 0,y 0,因为△OBD与△APD的面积相等, 0 0 0 0 1 2 则△PAB 与△OA B 的面积相等,所以OP∥A B , ·························································· 6分 2 1 2 1 2 1 高二数学参考答案 第 5 页 共 10 页 {#{QQABIQAgwgi4gBbACY4LEQU4C0oQsJIjJeokRQAaOAYKyANABKA=}#}1 1 又A (2,0),B (0,1),所以k =k =− ,所以直线OP的方程为y=− x. ··························· 8分 2 1 OP A2B1 2 2  1 y=− x,   2 由 得x2 =2,所以x = 2, x2 0 0  + y2 =1  4 1 2  2 所以y =−  2 =− ,则点P的坐标为 2,− . ··············································· 10分 0 2 2   2   (3)设P(x ,y ),Q(x,y ),R(x ,y ),9 0 0 1 1 2 2 2 5 则当OQ或OR斜率不存在时, P的半径r = x = . 0 5 x2 2 5 又因为 0 + y2 =1,所以 y = =r, 4 0 0 5 从而 P与x轴相切,故Q,R必分别为C的长轴和短轴的一个端点,所以x2 +x2 =4. 1 2 ………………………………………………………………………………………………11分 当OQ或OR斜率存在时,设OQ:y=k x,OR:y=k x, 1 2 k x −y 2 5 则 1 0 0 = ,即 ( 5x2 −4 ) k2 −10x y k +5y2 −4=0. ·············································· 12分 k2 +1 5 0 1 0 0 1 0 1 同理, ( 5x2 −4 ) k2 −10x y k +5y2 −4=0. 0 2 0 0 2 0 5y2 −4 5y2 − ( x2 +4y2) y2 −x2 1 所以kk = 0 = 0 0 0 = 0 0 =− . ···················································· 14分 1 2 5x2 −4 5x2 − ( x2 +4y2) 4x2 −4y2 4 0 0 0 0 0 0 y=k x,  1 4 由x2 得x2 = .  + y2 =1, 1 4k 1 2 +1  4 4 1 4 4 4 16k2 同理,x2 = .又kk =− ,所以x2 +x2 = + = + 1 =4. 2 4k2 +1 1 2 4 1 2 4k2 +1 1 4k2 +1 4k2 +1 2 1 +1 1 1 4k2 1 ……………………………………………………………………………………………15分 y' − y  2 2 =−1, 设 R(x ,y ) 关于直线 y=x 的对称点为 R' ( x',y' ) ,则   x 2 ' −x 2 所以 2 2 2 2 y' + y x' −x 2 2 = 2 2,   2 2 x' = y ,y' =x , 2 2 2 2 所以N(0,x ),又易知M(x,0),所以 MN = x2 +x2 =2. 2 1 1 2 1 设线段MN 的中点为T ,则因为OM ⊥ON ,所以 OT = MN =1, 2 所以线段MN 的中点在定圆x2 + y2 =1上.····································································· 17分 解法二:(1)同解法一. ··································································································· 4分 y −1 (2)设P(x ,y ),则0x 2,−1 y 0,则直线BP的方程为y= 0 x+1, 0 0 0 0 1 x 0 x  x  令y=0,得x=− 0 ,即D− 0 ,0, ···································································· 5分 y 0 −1  y 0 −1  高二数学参考答案 第 6 页 共 10 页 {#{QQABIQAgwgi4gBbACY4LEQU4C0oQsJIjJeokRQAaOAYKyANABKA=}#}1 1  x  所以,△OBD的面积为S = OD  OB = − 0 , 1 △OB1D 2 1 2  y −1 0 1 1 x  △APD的面积为S = A D  y =− 2+ 0 y , ·················································· 7分 2 △A2PD 2 2 0 2 y −1 0 0 1  x  1 x  所以 − 0 =− 2+ 0 y , 2  y −1 2 y −1 0 0 0 x x y x x y 即 0 =2y + 0 0 ,即 0 − 0 0 =2y ,即x =−2y , ············································· 8分 y −1 0 y −1 y −1 y −1 0 0 0 0 0 0 0 x =−2y ,  0 0 由x2 得x2 =2,所以x = 2,  0 + y2 =1 0 0  4 0 1 2  2 所以y =−  2 =− ,则点P的坐标为 2,− . ··············································· 10分 0 2 2   2   (3)设P(x ,y ),Q(x,y ),R(x ,y ), 0 0 1 1 2 2 2 5 则当OQ或OR斜率不存在时, P的半径r = x = . 0 5 x2 2 5 又因为 0 + y2 =1,所以 y = =r, 4 0 0 5 从而 P与x轴相切,故Q,R必分别为C的长轴和短轴的一个端点,所以x2 +x2 =4. 1 2 …………………………………………………………………………………………11分 当OQ或OR斜率存在时,设OQ:y=k x,OR:y=k x, 1 2 k x −y 2 5 则 1 0 0 = ,即 ( 5x2 −4 ) k2 −10x y k +5y2 −4=0. ·············································· 12分 k2 +1 5 0 1 0 0 1 0 1 同理, ( 5x2 −4 ) k2 −10x y k +5y2 −4=0. 0 2 0 0 2 0 5y2 −4 5y2 − ( x2 +4y2) y2 −x2 1 所以kk = 0 = 0 0 0 = 0 0 =− . ···················································· 14分 1 2 5x2 −4 5x2 − ( x2 +4y2) 4x2 −4y2 4 0 0 0 0 0 0 y y 1 所以 1 2 =− ,即xx =−4y y ,即x2x2 =16y2y2. xx 4 1 2 1 2 1 2 1 2 1 2 又因为x2 +4y2 =4,x2 +4y2 =4,所以x2x2 = ( 4−x2)( 4−x2) ,所以x2 +x2 =4. ··················· 15分 1 1 2 2 1 2 1 2 1 2 y' − y  2 2 =−1, 设 R(x ,y ) 关于直线 y=x 的对称点为 R' ( x',y' ) ,则   x 2 ' −x 2 所以 2 2 2 2 y' + y x' −x 2 2 = 2 2,   2 2 x' = y ,y' =x , 2 2 2 2 所以N(0,x ),又易知M(x,0),所以 MN = x2 +x2 =2. 2 1 1 2 1 设线段MN 的中点为T ,则因为OM ⊥ON ,所以 OT = MN =1, 2 所以线段MN 的中点在定圆x2 + y2 =1上.····································································· 17分 13 19.【答案】(1) (2)见详解 (3)见详解 27 高二数学参考答案 第 7 页 共 10 页 {#{QQABIQAgwgi4gBbACY4LEQU4C0oQsJIjJeokRQAaOAYKyANABKA=}#}【详解】(1)当n=3时,要使游戏成功,需满足正面朝上的数量为1或3, 1 2 1 13 此时,游戏成功的概率为:C1 ( )2 +( )3 = ;……………………………………4分 3 3 3 3 27 1 (2)设游戏成功的概率为Q ,当n=1时,Q = p = ,接下来用Q 表示Q ,……5 n 1 1 3 n−1 n 分 当n2时,投掷n枚硬币C ,C , ,C 正面朝上的硬币为奇数有两种情况: 1 2 n 第一:硬币C ,C , ,C 中正面朝上的硬币数为奇数时,C 反面朝上;………………6分 1 2 n−1 n 第二:硬币C ,C , ,C 中正面朝上的硬币数为偶数时,C 正面朝上.………………7分 1 2 n−1 n 1 1 1 1 此时,Q =Q (1− )+(1−Q ) ,所以Q = Q + (n2且nN),……8分 n n−1 3 n−1 3 n 3 n−1 3 1 1 1 1  1 1 1 1 则Q − = (Q − ),且Q = p = ,则Q − 是以Q − =− 为首项, 为公 n 2 3 n−1 2 1 1 3  n 2 1 2 6 3 比的等比数列…………………………………………………………………………………10分 1 (3)当1k m时,此时游戏成功的概率记为Q ,Q = . k 1 3m 1 1 1 2 1 由(2)知:Q =Q (1− )+(1−Q ) ,则Q − =(1− )(Q − ),(k 2) k k−1 3m k−1 3m k 2 3m k−1 2 1 2 1 1 2 所以Q − =(1− )m−1(Q − )=− (1− )m,(mN)……①.………………12分 m 2 3m 1 2 2 3m 2 2 当m+1k 2m时,Q =Q (1− )+(1−Q ) , k k−1 3m k−1 3m 1 4 1 则Q − =(1− )m−1(Q − ), 2m 2 3m m+1 2 2 2 1 4 1 注意到:Q =Q (1− )+(1−Q ) ,则Q − =(1− )(Q − ), m+1 m 3m m 3m m+1 2 3m m 2 1 4 1 故:Q − =(1− )m(Q − )……②.………………………………………………14分 2m 2 3m m 2 1 1 当2m+1k 3m时,Q =Q (1− )+(1−Q ) , k k−1 m k−1 m 高二数学参考答案 第 8 页 共 10 页 {#{QQABIQAgwgi4gBbACY4LEQU4C0oQsJIjJeokRQAaOAYKyANABKA=}#}1 6 1 则:Q − =(1− )m(Q − )……③.………………………………………………15分 3m 2 3m 2m 2 结 合 ① ② ③ : 1 2 1 2 4 1 1 2 2 4 Q − =(1− )m(Q − )=(1− )m(1− )m(Q − )=− (1− )m(1− )m(1− )m 3m 2 m 2m 2 m 3m m 2 2 3m m 3m 2 2 4 1 由于mN,当m=1时,(1− )m 0,(1− )m 0,(1− )m 0,则Q  ; 3m m 3m 3m 2 2 1 当m=2时,(1− )m =0,则Q = ; m 3m 2 2 2 4 1 当m3时,(1− )m 0,(1− )m 0,(1− )m 0,则Q  . 3m m 3m 3m 2 1 综上:对任意的mN,Q  成立.……………………………………………………17 3m 2 分 另解(3)对于m个硬币出现奇数的概率为 p(m), p(m)= p(m−1)(1− p )+[1− p(m−1)]p k k p(m)=(1−2p )p + p k m−1 k 1 1 p(m)− =(1−2p )(p(m−1)− ) 2 k 2 1 1 1 {p(m)− }等比,p(m)− =(p − )(1−2p )m−1………………………………12分 2 2 k 2 k 1 1 2 1 1 2 1 ∴前m个硬币出现奇数的概率 p =( − )(1− )m−1+ =− (1− )m + 1 3m 2 3m 2 2 3m 2 1 4 1 中间m个: p =− (1− )m + 2 2 3m 2 1 2 1 后面m个: p =− (1− )m + …………………………………………………………14分 3 2 m 2 高二数学参考答案 第 9 页 共 10 页 {#{QQABIQAgwgi4gBbACY4LEQU4C0oQsJIjJeokRQAaOAYKyANABKA=}#}Q = p p p + p p p + p p p + p p p 3m 1 2 3 1 2 3 1 2 3 1 2 3 1 1 1 1 1 1 1 1 1 1 1 1 =(x + )(x + )(x + )+(x + )( −x )( −x )+( −x )(x + )( −x )+( −x )( −x )(x + ) 1 2 2 2 3 2 1 2 2 2 2 3 2 1 2 2 2 3 2 1 2 2 3 2 1 =4x x x + 1 2 3 2 1 2 4 2 1 =− [(1− )(1− )(1− )]m + 2 3m 3m m 2 …………………………………………………………………………………………………16分 1 当m=1时,Q < . 3 2 1 当m=2时,Q = . 6 2 1 当m3时,Q < . 3m 2 1 Q  成立.………………………………………………………………………………17分 3m 2 高二数学参考答案 第 10 页 共 10 页 {#{QQABIQAgwgi4gBbACY4LEQU4C0oQsJIjJeokRQAaOAYKyANABKA=}#}