当前位置:首页>文档>湖北省重点高中智学联盟2024-2025学年高一上学期12月月考物理试卷(含答案)_2024-2025高一(7-7月题库)_2024年12月试卷_1230湖北省重点高中智学联盟2024-2025学年高一上学期12月月考

湖北省重点高中智学联盟2024-2025学年高一上学期12月月考物理试卷(含答案)_2024-2025高一(7-7月题库)_2024年12月试卷_1230湖北省重点高中智学联盟2024-2025学年高一上学期12月月考

  • 2026-04-09 09:07:18 2026-02-16 04:15:34

文档预览

湖北省重点高中智学联盟2024-2025学年高一上学期12月月考物理试卷(含答案)_2024-2025高一(7-7月题库)_2024年12月试卷_1230湖北省重点高中智学联盟2024-2025学年高一上学期12月月考
湖北省重点高中智学联盟2024-2025学年高一上学期12月月考物理试卷(含答案)_2024-2025高一(7-7月题库)_2024年12月试卷_1230湖北省重点高中智学联盟2024-2025学年高一上学期12月月考
湖北省重点高中智学联盟2024-2025学年高一上学期12月月考物理试卷(含答案)_2024-2025高一(7-7月题库)_2024年12月试卷_1230湖北省重点高中智学联盟2024-2025学年高一上学期12月月考
湖北省重点高中智学联盟2024-2025学年高一上学期12月月考物理试卷(含答案)_2024-2025高一(7-7月题库)_2024年12月试卷_1230湖北省重点高中智学联盟2024-2025学年高一上学期12月月考
湖北省重点高中智学联盟2024-2025学年高一上学期12月月考物理试卷(含答案)_2024-2025高一(7-7月题库)_2024年12月试卷_1230湖北省重点高中智学联盟2024-2025学年高一上学期12月月考
湖北省重点高中智学联盟2024-2025学年高一上学期12月月考物理试卷(含答案)_2024-2025高一(7-7月题库)_2024年12月试卷_1230湖北省重点高中智学联盟2024-2025学年高一上学期12月月考
湖北省重点高中智学联盟2024-2025学年高一上学期12月月考物理试卷(含答案)_2024-2025高一(7-7月题库)_2024年12月试卷_1230湖北省重点高中智学联盟2024-2025学年高一上学期12月月考
湖北省重点高中智学联盟2024-2025学年高一上学期12月月考物理试卷(含答案)_2024-2025高一(7-7月题库)_2024年12月试卷_1230湖北省重点高中智学联盟2024-2025学年高一上学期12月月考
湖北省重点高中智学联盟2024-2025学年高一上学期12月月考物理试卷(含答案)_2024-2025高一(7-7月题库)_2024年12月试卷_1230湖北省重点高中智学联盟2024-2025学年高一上学期12月月考

文档信息

文档格式
docx
文档大小
0.473 MB
文档页数
9 页
上传时间
2026-02-16 04:15:34

文档内容

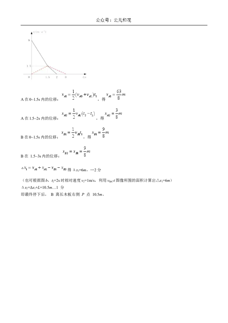
湖北省重点高中智学联盟 2024 年秋季高一年级 12 月联考 物理试题 考试时间: 75 分钟 试卷满分: 100分 一、单选题: 本大题共7小题, 共28分。 1.据国防部发布消息, 时隔44年之后,2024年9月25日8时44分, 中国人民解放军火箭军向太平洋海 域成功发射一枚洲际弹道导弹并准确落入预定海域。本次发射的导弹射程(导弹射程是指发射点到落点之 间的大地线距离)约12000公里, 最大飞行速度30马赫(1马赫=340.3米每秒) ,从发射到命中目标, 整个过程仅耗时20多分钟。下列说法正确的是( ) A.文中的“44年”指的是时间间隔, “8时44分”指的是时刻 B.文中的“约12000公里”指的是导弹飞行轨迹的长度 C.文中的“30马赫”指的是平均速度 D.研究导弹从发射到命中目标的飞行时间时不能把导弹看成质点 2.在日常生活中, 我们通常用位置和速度来描述物体的运动状态。而在微观量子领域, 我们不可能同时 把这两个参数准确地测量出来, 这就是所谓“测不准原理”。这个原理可以用 来表示,其中 Ax是位置的误差,△p是动量(动量等于质量与速度的乘积,△p=m△v)的误差,h叫普朗克常量,π是 一个没有单位的常数。则 h 的单位是( ) A.kg·m/s2 B.kg·m2/s C. m2/s D. m3/s 3.如图所示, 一质量为m的木块和倾角为θ的斜面保持静止状态, 重力加速度为g,物块与斜面间动摩 擦因数为μ。下列说法正确的是( ) A. 木块对斜面的压力是斜面发生形变产生的 B. 木块对斜面的摩擦力大小为μmgcosθ C. 地面对斜面的摩擦力方向水平向左 D. 木块受到的斜面作用力方向竖直向上 4.平直路面上,汽车以18m/s的初速度匀速行驶,从r=0时刻开始刹车做匀变速直线运动, 在第3s内的位 移为8m,则下列说法不正确的是( ) A. 汽车在前3s内的位移为36m B. 汽车在前5s内的位移为40.5m C.汽车在第5s内的位移为0.5m D. 汽车在6s 内的平均速度为9m/s 5.小智在人民公园观看海狮抛球表演, 球被以5m/s的速度竖直向上抛出,一段时间后落回抛出点。设向 上为正方向, 不计空气阻力, 重力加速度g取10m/s2。对于球的运动过程,下列说法正确的是( ) A. 球上升过程处于超重状态 B. 球运动到最高点速度为零, 所以是静止状态 C. 前0.6s内的平均速度为2m/s D. 最后0.4s内的平均速度为2.5m/s6.物理学的研究方法不仅存在于实验室中,而且在日常生活中也有广泛的应用。比如①某同学完成“探究 两个互成角度的力的合成规律”的实验; ②曹冲称象的故事; ③阿基米德与金王冠的故事; 对于以上 三个事例中所采用的物理方法描述正确的是( ) A. 都采用了理想模型法 B. 都采用了控制变量法 C. 都采用了等效替代法 D. 都采用了极限法 7.如图, 小球C置于光滑圆形槽B内, B放在倾角为θ的足够长的光滑斜面A上,B、C一起沿斜面下 滑,不计空气阻力,稳定后C、B相对静止,则C、B相对位置正确的是( ) 二、多选题: (本大题共3小题, 全对得4分, 半对得2分, 错选不得分, 共12分。) 8. 甲、乙两质点在相邻平行直线轨道上运动的位移-时间图像(x-t图像) 如图所示,其中甲的图线是直线, 乙的图线是抛物线。下列说法正确的是( ) A. 在0~12s内,甲做匀减速直线运动 B. 6s末,乙运动方向改变 C. 在0~6s内的某一时刻,甲、乙的速度有可能相同 D. 在6~12s内,甲乙间的距离先增加再减小 9.智能自动控制系统在我们日常生活中的应用越来越普遍。如图所示是某快递公司的自动传送带示意图, 当传送带上没有包裹的时候, 传送带保持静止; 当包裹被无初速的放上传送带时, 传送带自动调整速 度开始传送, 为确保包裹不被损伤, 要求包裹在传送过程中与传送带不发生相对滑动且到达 B端时的速 度恰好为零,为提高效率, 还要尽量缩短传送时间。某次传送包裹质量m=10kg,传送带与地面间的夹角 θ=30°,传送带两端A、B的距离L=37.5m,包裹与传送带间的动摩擦因数 ,最大静摩擦力等于 滑动摩擦力, g取10m/s2。下列说法正确的是( )A. 包裹的质量越大, 包裹从A 到B 的时间越长 B.包裹从A 到B全过程加速度的最大值为2.5m/s2 C. 包裹从A到B 的时间最短时间为6s D. 包裹从A 到B 全过程速度的最大值为12.5m/s 10.如图, P、Q两个滑块放在光滑的水平地面上,Q靠在水平轻弹簧的左端,弹簧的右端固定在竖直墙面 上, 水平向右的外力F=6N作用在P上,系统处于静止状态, 已知P、Q的质量分别为m =0.4kg、 P m =0.2kg,弹簧的劲度系数k=60N/m。现将F的方向突变为水平向左,大小不变, 仍然作用在P上,则 Q ( ) A.力F刚变向瞬间, P的加速度大小为15m/s2 B.在P左移2cm瞬间, P、Q相互作用力为1.2N C.当P左移5cm时, P、Q开始分离 D.力F刚变向瞬间, P、Q开始分离 三、实验题: 本大题共2小题, 共16分。 11. (8分) 某实验兴趣小组为了测量物体间的动摩擦因数, 设计了如下实验: (1)如图甲, 将轻弹簧竖直悬挂,用刻度尺测出弹簧自由悬挂时的长度L=4.00cm。 1 (2)如图乙, 在弹簧的下端悬挂小木块, 用刻度尺测出稳定时弹簧的长度L= cm。 2 (3)将一长木板平放在水平面上, 小木块放置于木板上, 如图丙, 将弹簧左端固定在墙壁上,右端拴 接小木块, 使弹簧水平, 用力F向右拉动长木板, 长木板与小木块发生相对运动,当小木块静止后, 此时弹簧的长度L=5.68cm。 3(4)根据上面的操作, 可以得出小木块与长木板间的动摩擦因数μ= (结果保留两位有效数字)。 (5)若考虑弹簧自身重力, 动摩擦因数μ的测量值将 (填“偏大”、“偏小”或“不变”)。 (6)为消除弹簧自身重力影响, 该同学又将弹簧水平放置, 测出其自由伸长时长度为L,动摩擦因数 4 μ可表示为: 。(用L、L、L、L 表示) 1 2 3 4 12.(8分)“探究加速度与物体受力的关系”的实验装置如图甲所示。 (1)实验的五个步骤如下: a.将纸带穿过打点计时器并将一端固定在小车上; b.把细线的一端固定在小车上,另一端通过定滑轮与小桶相连; c.平衡阻力,让小车做匀速直线运动; d.接通电源后释放小车, 小车在细线拉动下运动,测出小桶(和沙)的重力 mg作为细线对小车的拉力 F,利用纸带测量出小车的加速度a; e.更换纸带,改变小桶内沙的质量,重复步骤d的操作。 按照实验原理, 这五个步骤的先后顺序应该为: (将序号排序)。 (2)实验中打出的某一条纸带如图乙所示。相邻计数点间的时间间隔是0.1s,由此可以算出小车运动的加 速度是 m/s2。(保留两位有效数字) (3)利用测得的数据,可得到小车质量M一定时, 运动的加速度a和所受拉力F(F=mg,m为沙和小桶 的总质量,g为重力加速度)的关系图像如图丙所示。拉力F较大时,a-F图线明显弯曲,产生误差。若不 断增加沙桶中沙的质量,a-F图像中各点连成的曲线将不断延伸,那么加速度a的趋向值为 (用题 中出现的物理量字母表示)。为避免上述误差可采取的措施是 。 A.每次增加桶内沙子的质量时,增幅小一点 B.测小车的加速度时,利用速度传感器代替纸带和打点计时器 C.将力传感器固定在小车上,再将细线连在力传感器上, 用力传感器读数代替小车所受拉力 D.在增加桶内沙子质量的同时,在小车上增加砝码, 确保沙和小桶的总质量始终远小于小车和砝码的总 质量 四、计算题: 本大题共3小题, 共44分。 13.(12分)每当入冬时节,十堰武当国际滑雪场都会迎来很多滑雪爱好者, 雪道分为倾斜雪道和水平雪 道两部分。一位滑雪者与装备的总质量为80kg,从静止开始沿倾角为30°倾斜雪道匀加速直线滑下。在 10s的时间内滑下100m恰好到坡底进入水平雪道。假设由倾斜雪道进入水平雪道速率不变,滑雪板与雪道 动摩擦因数都相同。(g取10m/s2,结果可用根号表示) 求:(1)滑雪者刚从倾斜雪道滑下时速度大小? (2)滑雪者在水平雪道上滑行的距离?14.(14分)如图所示是小明同学晾衣服的简化图, 两根竖直杆沿东西方向固定在水平地面上,轻质绳两 端分别固定在竖直杆上等高的A、B两点, 已知衣服及晾衣架整体的总质量为m, 静止时挂钩与绳接触 点为O, 若是无风天气, 绳与杆之间所夹锐角为θ, 重力加速度为g, 不计晾衣架与绳之间的摩擦。 (1) 求无风天气时绳的拉力大小。 (2) 若整个环境有水平方向从北向南的恒定风力F(F 大小未知),衣架整体稳定后,小明测得此时 1 1 AOB三点构成的平面与竖直面的夹角为45°,求此时绳的拉力大小。 (3) 若整个环境有水平方向从西向东的恒定风力F(F 大小未知) ,衣架稳定后, 小明测得此时AO 2 2 与杆的夹角为75°, BO与杆的夹角为15°,求此时水平风力F 的大小。 2 15.(18分)如图甲, 水平地面上有一质量M=1kg的长木板A, 长木板A右端P处有一可视为质点的小 滑块B, 其质量m=1kg。长木板A上表面S右侧SP段光滑, SP长度。L=4.5m;左侧QS段粗糙且足够 长, 其与小滑块 B之间的动摩擦因数μ。长木板A下表面与地面之间动摩擦因数μ=0.2.现对长木板A 1 2 施加一水平向右的恒力F=13N,经过一段时间小滑块B与长木板上S点对齐, 此时撤去恒力F。 (1) 求撤去力F时长木板A的速度。 (2) 取水平向右为正方向, 小滑块B相对于长木板A 的速度用v =v -v 表示, 其中v 和v 分别为A BA B A A B 和B相对地面的速度。以撤去恒力F时为t=0时刻, 此后相对速度v 随时间t变化的关系如图乙所示, BA 其中图像与时间t轴的第一个交点t=1.5s,其它字母坐标未知。求: 1 ①长木板A 与小滑块B之间的动摩擦因数μ 1 ②最终A、B都停止后, 小滑块B与长木板A右侧P端的距离。湖北省重点高中智学联盟 2024 年秋季高一年级 12 月联考 物理试题答案 题号 1 2 3 4 5 6 7 8 9 10 答案 A B D D C C C BD CD BC 11.(两空每空2分, 共8分) 8.50 0.37 偏小 12. (两空每空2分, 共8分) acbde 0.93 g C 13. 解: (1)滑雪者匀加速运动: 由 得 a=2m/s2…3分 由v= at 得 v=20m/s …3分 (2)根据在斜坡运动可得: mgsinθ-μmgcosθ= ma 得 …2分 在水平雪道上做减速运动:μmg=ma 得 …2分 1 由 得 …2分 14.解析(1) 无风天气, 衣架挂钩一定在绳子中点处, 绳与竖直方向的夹角为θ设绳子拉力为T对衣 服和挂钩整体受力分析如图所示: 由几何关系可得绳子与水平方向的夹角为: 2Tcosθ= mg…2分 解得 …2分 (2) 恒定风力沿水平方向从北向南, 即风力垂直于东西方向的竖直面, 衣架挂钩仍然在绳子中点处, 两绳子夹角不变, 衣服和挂钩整体在四个力的作用下处于平衡状态, 则重力于风力的合力应该于两绳的 合力等大反向。AOB三点构成的平面与竖直面的夹角为45°, 即风力与重力的合力与竖直方向夹角 45°。在竖直面内: 设风力与重力的合力为 F合 , 则整体受力如图: 由图可得: 2分 在 AOB 三点构成的平面: 设绳子的的合力与F 等大反向, 设绳子拉力为T 则整体受力如图: 合 ₂ …2分 解得 。。1分 (3) 整个环境有水平方向从西吹向东的恒定风力 F,此时AO与竖直方向的夹角为75°, BO与竖直方 2 向的夹角为15°,则 AO与BO 垂直, 两根绳的合力沿角平分线方向, 与竖直方向的夹角为30°…2分 即由几何关系可得图中α角与竖直方向成30°, 则在竖直面内, 由图中几何关系可得: 风力F 满足: 2分 2解得 1分 15.解: (1) 对长木板A: …2分 得 …1分 撤去力F时A速度V , 由 …2分 AO 得v =9m/s…1分 AO (1) 撤去力F后, 对A: …2分 对B: ,…1分 由图像可知, t=1.5s时, A、B速度相等 …1分 1 联立③④⑤三式可得μ=0.1…1分 1 t=1.5s时 ,此后B 相对A 向右运动 1 对A: …2分 得 对B: 得 1.5s后长木板A 减速: …1分 得时刻t=2s或者 2 1.5s后小滑块 B 减速: …1分 得时刻t=3s或者t-t=1.5s 3 3 1 A、B相对地面的 v-t图像如图所示:A在0~1.5s内的位移: ,得 A在1.5~2s内的位移: ,得 B在0~1.5s内的位移: ,得 B在 1.5~3s内的位移: 得Δx=6m,…2分 1 (也可根据图b,t=2s时相对速度v=1m/s,利用v -t图像所围的面积计算出△x=6m) 2 2 BA 1 Δx=Δx+L=10.5m…1 分 2 1 即最终停下后, B 离长木板右侧 P 点 10.5m。