当前位置:首页>文档>第八章微专题57 机械振动_2024-2026高三(6-6月题库)_2024年08月试卷_08272025版高考物理步步高《加练半小时》_2025版物理步步高《加练半小时》

第八章微专题57 机械振动_2024-2026高三(6-6月题库)_2024年08月试卷_08272025版高考物理步步高《加练半小时》_2025版物理步步高《加练半小时》

  • 2026-04-09 19:34:33 2026-02-19 18:47:57

文档预览

第八章微专题57 机械振动_2024-2026高三(6-6月题库)_2024年08月试卷_08272025版高考物理步步高《加练半小时》_2025版物理步步高《加练半小时》
第八章微专题57 机械振动_2024-2026高三(6-6月题库)_2024年08月试卷_08272025版高考物理步步高《加练半小时》_2025版物理步步高《加练半小时》
第八章微专题57 机械振动_2024-2026高三(6-6月题库)_2024年08月试卷_08272025版高考物理步步高《加练半小时》_2025版物理步步高《加练半小时》
第八章微专题57 机械振动_2024-2026高三(6-6月题库)_2024年08月试卷_08272025版高考物理步步高《加练半小时》_2025版物理步步高《加练半小时》
第八章微专题57 机械振动_2024-2026高三(6-6月题库)_2024年08月试卷_08272025版高考物理步步高《加练半小时》_2025版物理步步高《加练半小时》
第八章微专题57 机械振动_2024-2026高三(6-6月题库)_2024年08月试卷_08272025版高考物理步步高《加练半小时》_2025版物理步步高《加练半小时》

文档信息

文档格式
docx
文档大小
0.264 MB
文档页数
6 页
上传时间
2026-02-19 18:47:57

文档内容

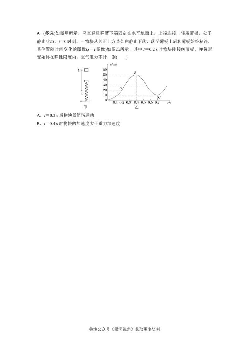
第八章 机械振动 机械波 微专题 57 机械振动 1.掌握简谐运动回复力公式F=-kx,会分析简谐运动中x、v、a等物理量的变化。 2.掌 握单摆周期公式T=2π(等效单摆公式:T=2π)。3.理解产生共振的原因,能正确解释共振曲 线。 1.关于简谐运动的理解,下列说法中正确的是( ) A.简谐运动是匀变速运动 B.简谐运动的回复力可以是恒力 C.弹簧振子每次经过平衡位置时,动能最大 D.单摆在任何情况下的运动都是简谐运动 答案 C 解析 简谐运动是加速度变化的变加速运动,回复力与偏离平衡位置的位移成正比,是变力, A、B错误;弹簧振子每次经过平衡位置时,速度最大,动能最大,C正确;单摆运动摆角 小于5°时可认为是简谐运动,D错误。 2. (2023·山西省太原师范学院附中月考)如图所示,弹簧振子在A、B之间做简谐运动,平衡 位置为O,振子的振动周期为T。从振子处于B点开始计时,向右为正方向,能正确反映振 子位移x、回复力F、加速度a、弹簧振子的机械能E与时间t变化关系的图像是( ) 答案 C 解析 从振子处于B点开始计时,向右为正方向,计时起点处,位移为正向最大,回复力 为负向最大,加速度为负向最大,故C正确,A、B错误;弹簧振子的机械能守恒,故D错 误。 3.(2024·贵州贵阳市开学考试)如图甲所示,O点为单摆的固定悬点,将力传感器接在摆球 关注公众号《黑洞视角》获取更多资料与O点之间,可测出细线对摆球的拉力大小F。现将摆球拉到A点,由静止释放摆球,摆球 将在竖直面内的A、C之间来回摆动,其中B点为运动中的最低位置,图乙表示拉力大小F 随时间t变化的曲线,图中t=0为摆球从A点开始运动的时刻,重力加速度g取10 m/s2。下 列说法正确的是( ) A.单摆振动的周期为0.2π s B.单摆的摆长为0.6 m C.摆球的质量为0.05 kg D.摆球运动过程中的最大速度为0.2 m/s 答案 C 解析 由题图乙可知,单摆的周期为0.4π s,故A错误;由单摆周期公式T=2π,代入数据 得l=0.4 m,故B错误;设OA与OB的夹角为θ,摆球的质量为m,由题图乙和牛顿第二定 律得在最高点mgcos θ=0.495 N,在最低点0.510 N-mg=m,摆球从A点到B点,由动能 定理得mgl(1-cos θ)=mv2,联立解得m=0.05 kg,v=0.2 m/s,故C正确,D错误。 4. (2023·江苏省模拟)如图所示,轻质弹簧上方固定,下方连接质量为 m的小球,弹簧原长 为L ,小球静止时位于图中的O点,此时弹簧伸长量为L。将小球从O点向下拉一小段距 0 离A(Ag,故B C A C A C A B A B 正确;弹簧振子的周期只与振动系统本身有关,与物块起始下落的高度无关,故物块与薄板 粘连后振动周期不变,故C错误;由题图乙可知T=0.6 s,因为ω== rad/s,振幅为0.2 m,t=0.2 s后物块坐标位置随时间变化关系式为x=0.3+0.2sin [(t-0.2)+φ] (m),当t=0.4 0 s时,x=0.5 m,代入上式得φ=-,所以x=0.3+0.2sin [(t-0.2)-] (m),故D正确。 0 关注公众号《黑洞视角》获取更多资料