当前位置:首页>文档>❤重难点03二次函数中的线段、周长与面积的最值问题及定值问题(解析版)_02中考总复习(2026版更新中)_02-数学-中考总复习_2024年中考复习资料_一轮复习资料_重难点突破_解析版

❤重难点03二次函数中的线段、周长与面积的最值问题及定值问题(解析版)_02中考总复习(2026版更新中)_02-数学-中考总复习_2024年中考复习资料_一轮复习资料_重难点突破_解析版

  • 2026-03-03 03:58:58 2026-03-03 03:57:11

文档预览

❤重难点03二次函数中的线段、周长与面积的最值问题及定值问题(解析版)_02中考总复习(2026版更新中)_02-数学-中考总复习_2024年中考复习资料_一轮复习资料_重难点突破_解析版
❤重难点03二次函数中的线段、周长与面积的最值问题及定值问题(解析版)_02中考总复习(2026版更新中)_02-数学-中考总复习_2024年中考复习资料_一轮复习资料_重难点突破_解析版
❤重难点03二次函数中的线段、周长与面积的最值问题及定值问题(解析版)_02中考总复习(2026版更新中)_02-数学-中考总复习_2024年中考复习资料_一轮复习资料_重难点突破_解析版
❤重难点03二次函数中的线段、周长与面积的最值问题及定值问题(解析版)_02中考总复习(2026版更新中)_02-数学-中考总复习_2024年中考复习资料_一轮复习资料_重难点突破_解析版
❤重难点03二次函数中的线段、周长与面积的最值问题及定值问题(解析版)_02中考总复习(2026版更新中)_02-数学-中考总复习_2024年中考复习资料_一轮复习资料_重难点突破_解析版
❤重难点03二次函数中的线段、周长与面积的最值问题及定值问题(解析版)_02中考总复习(2026版更新中)_02-数学-中考总复习_2024年中考复习资料_一轮复习资料_重难点突破_解析版
❤重难点03二次函数中的线段、周长与面积的最值问题及定值问题(解析版)_02中考总复习(2026版更新中)_02-数学-中考总复习_2024年中考复习资料_一轮复习资料_重难点突破_解析版
❤重难点03二次函数中的线段、周长与面积的最值问题及定值问题(解析版)_02中考总复习(2026版更新中)_02-数学-中考总复习_2024年中考复习资料_一轮复习资料_重难点突破_解析版
❤重难点03二次函数中的线段、周长与面积的最值问题及定值问题(解析版)_02中考总复习(2026版更新中)_02-数学-中考总复习_2024年中考复习资料_一轮复习资料_重难点突破_解析版
❤重难点03二次函数中的线段、周长与面积的最值问题及定值问题(解析版)_02中考总复习(2026版更新中)_02-数学-中考总复习_2024年中考复习资料_一轮复习资料_重难点突破_解析版
❤重难点03二次函数中的线段、周长与面积的最值问题及定值问题(解析版)_02中考总复习(2026版更新中)_02-数学-中考总复习_2024年中考复习资料_一轮复习资料_重难点突破_解析版
❤重难点03二次函数中的线段、周长与面积的最值问题及定值问题(解析版)_02中考总复习(2026版更新中)_02-数学-中考总复习_2024年中考复习资料_一轮复习资料_重难点突破_解析版
❤重难点03二次函数中的线段、周长与面积的最值问题及定值问题(解析版)_02中考总复习(2026版更新中)_02-数学-中考总复习_2024年中考复习资料_一轮复习资料_重难点突破_解析版
❤重难点03二次函数中的线段、周长与面积的最值问题及定值问题(解析版)_02中考总复习(2026版更新中)_02-数学-中考总复习_2024年中考复习资料_一轮复习资料_重难点突破_解析版
❤重难点03二次函数中的线段、周长与面积的最值问题及定值问题(解析版)_02中考总复习(2026版更新中)_02-数学-中考总复习_2024年中考复习资料_一轮复习资料_重难点突破_解析版
❤重难点03二次函数中的线段、周长与面积的最值问题及定值问题(解析版)_02中考总复习(2026版更新中)_02-数学-中考总复习_2024年中考复习资料_一轮复习资料_重难点突破_解析版
❤重难点03二次函数中的线段、周长与面积的最值问题及定值问题(解析版)_02中考总复习(2026版更新中)_02-数学-中考总复习_2024年中考复习资料_一轮复习资料_重难点突破_解析版
❤重难点03二次函数中的线段、周长与面积的最值问题及定值问题(解析版)_02中考总复习(2026版更新中)_02-数学-中考总复习_2024年中考复习资料_一轮复习资料_重难点突破_解析版
❤重难点03二次函数中的线段、周长与面积的最值问题及定值问题(解析版)_02中考总复习(2026版更新中)_02-数学-中考总复习_2024年中考复习资料_一轮复习资料_重难点突破_解析版
❤重难点03二次函数中的线段、周长与面积的最值问题及定值问题(解析版)_02中考总复习(2026版更新中)_02-数学-中考总复习_2024年中考复习资料_一轮复习资料_重难点突破_解析版
❤重难点03二次函数中的线段、周长与面积的最值问题及定值问题(解析版)_02中考总复习(2026版更新中)_02-数学-中考总复习_2024年中考复习资料_一轮复习资料_重难点突破_解析版
❤重难点03二次函数中的线段、周长与面积的最值问题及定值问题(解析版)_02中考总复习(2026版更新中)_02-数学-中考总复习_2024年中考复习资料_一轮复习资料_重难点突破_解析版
❤重难点03二次函数中的线段、周长与面积的最值问题及定值问题(解析版)_02中考总复习(2026版更新中)_02-数学-中考总复习_2024年中考复习资料_一轮复习资料_重难点突破_解析版
❤重难点03二次函数中的线段、周长与面积的最值问题及定值问题(解析版)_02中考总复习(2026版更新中)_02-数学-中考总复习_2024年中考复习资料_一轮复习资料_重难点突破_解析版
❤重难点03二次函数中的线段、周长与面积的最值问题及定值问题(解析版)_02中考总复习(2026版更新中)_02-数学-中考总复习_2024年中考复习资料_一轮复习资料_重难点突破_解析版
❤重难点03二次函数中的线段、周长与面积的最值问题及定值问题(解析版)_02中考总复习(2026版更新中)_02-数学-中考总复习_2024年中考复习资料_一轮复习资料_重难点突破_解析版
❤重难点03二次函数中的线段、周长与面积的最值问题及定值问题(解析版)_02中考总复习(2026版更新中)_02-数学-中考总复习_2024年中考复习资料_一轮复习资料_重难点突破_解析版
❤重难点03二次函数中的线段、周长与面积的最值问题及定值问题(解析版)_02中考总复习(2026版更新中)_02-数学-中考总复习_2024年中考复习资料_一轮复习资料_重难点突破_解析版
❤重难点03二次函数中的线段、周长与面积的最值问题及定值问题(解析版)_02中考总复习(2026版更新中)_02-数学-中考总复习_2024年中考复习资料_一轮复习资料_重难点突破_解析版
❤重难点03二次函数中的线段、周长与面积的最值问题及定值问题(解析版)_02中考总复习(2026版更新中)_02-数学-中考总复习_2024年中考复习资料_一轮复习资料_重难点突破_解析版
❤重难点03二次函数中的线段、周长与面积的最值问题及定值问题(解析版)_02中考总复习(2026版更新中)_02-数学-中考总复习_2024年中考复习资料_一轮复习资料_重难点突破_解析版
❤重难点03二次函数中的线段、周长与面积的最值问题及定值问题(解析版)_02中考总复习(2026版更新中)_02-数学-中考总复习_2024年中考复习资料_一轮复习资料_重难点突破_解析版
❤重难点03二次函数中的线段、周长与面积的最值问题及定值问题(解析版)_02中考总复习(2026版更新中)_02-数学-中考总复习_2024年中考复习资料_一轮复习资料_重难点突破_解析版
❤重难点03二次函数中的线段、周长与面积的最值问题及定值问题(解析版)_02中考总复习(2026版更新中)_02-数学-中考总复习_2024年中考复习资料_一轮复习资料_重难点突破_解析版
❤重难点03二次函数中的线段、周长与面积的最值问题及定值问题(解析版)_02中考总复习(2026版更新中)_02-数学-中考总复习_2024年中考复习资料_一轮复习资料_重难点突破_解析版
❤重难点03二次函数中的线段、周长与面积的最值问题及定值问题(解析版)_02中考总复习(2026版更新中)_02-数学-中考总复习_2024年中考复习资料_一轮复习资料_重难点突破_解析版
❤重难点03二次函数中的线段、周长与面积的最值问题及定值问题(解析版)_02中考总复习(2026版更新中)_02-数学-中考总复习_2024年中考复习资料_一轮复习资料_重难点突破_解析版
❤重难点03二次函数中的线段、周长与面积的最值问题及定值问题(解析版)_02中考总复习(2026版更新中)_02-数学-中考总复习_2024年中考复习资料_一轮复习资料_重难点突破_解析版
❤重难点03二次函数中的线段、周长与面积的最值问题及定值问题(解析版)_02中考总复习(2026版更新中)_02-数学-中考总复习_2024年中考复习资料_一轮复习资料_重难点突破_解析版
❤重难点03二次函数中的线段、周长与面积的最值问题及定值问题(解析版)_02中考总复习(2026版更新中)_02-数学-中考总复习_2024年中考复习资料_一轮复习资料_重难点突破_解析版
❤重难点03二次函数中的线段、周长与面积的最值问题及定值问题(解析版)_02中考总复习(2026版更新中)_02-数学-中考总复习_2024年中考复习资料_一轮复习资料_重难点突破_解析版
❤重难点03二次函数中的线段、周长与面积的最值问题及定值问题(解析版)_02中考总复习(2026版更新中)_02-数学-中考总复习_2024年中考复习资料_一轮复习资料_重难点突破_解析版
❤重难点03二次函数中的线段、周长与面积的最值问题及定值问题(解析版)_02中考总复习(2026版更新中)_02-数学-中考总复习_2024年中考复习资料_一轮复习资料_重难点突破_解析版
❤重难点03二次函数中的线段、周长与面积的最值问题及定值问题(解析版)_02中考总复习(2026版更新中)_02-数学-中考总复习_2024年中考复习资料_一轮复习资料_重难点突破_解析版
❤重难点03二次函数中的线段、周长与面积的最值问题及定值问题(解析版)_02中考总复习(2026版更新中)_02-数学-中考总复习_2024年中考复习资料_一轮复习资料_重难点突破_解析版
❤重难点03二次函数中的线段、周长与面积的最值问题及定值问题(解析版)_02中考总复习(2026版更新中)_02-数学-中考总复习_2024年中考复习资料_一轮复习资料_重难点突破_解析版
❤重难点03二次函数中的线段、周长与面积的最值问题及定值问题(解析版)_02中考总复习(2026版更新中)_02-数学-中考总复习_2024年中考复习资料_一轮复习资料_重难点突破_解析版
❤重难点03二次函数中的线段、周长与面积的最值问题及定值问题(解析版)_02中考总复习(2026版更新中)_02-数学-中考总复习_2024年中考复习资料_一轮复习资料_重难点突破_解析版
❤重难点03二次函数中的线段、周长与面积的最值问题及定值问题(解析版)_02中考总复习(2026版更新中)_02-数学-中考总复习_2024年中考复习资料_一轮复习资料_重难点突破_解析版
❤重难点03二次函数中的线段、周长与面积的最值问题及定值问题(解析版)_02中考总复习(2026版更新中)_02-数学-中考总复习_2024年中考复习资料_一轮复习资料_重难点突破_解析版
❤重难点03二次函数中的线段、周长与面积的最值问题及定值问题(解析版)_02中考总复习(2026版更新中)_02-数学-中考总复习_2024年中考复习资料_一轮复习资料_重难点突破_解析版
❤重难点03二次函数中的线段、周长与面积的最值问题及定值问题(解析版)_02中考总复习(2026版更新中)_02-数学-中考总复习_2024年中考复习资料_一轮复习资料_重难点突破_解析版
❤重难点03二次函数中的线段、周长与面积的最值问题及定值问题(解析版)_02中考总复习(2026版更新中)_02-数学-中考总复习_2024年中考复习资料_一轮复习资料_重难点突破_解析版
❤重难点03二次函数中的线段、周长与面积的最值问题及定值问题(解析版)_02中考总复习(2026版更新中)_02-数学-中考总复习_2024年中考复习资料_一轮复习资料_重难点突破_解析版
❤重难点03二次函数中的线段、周长与面积的最值问题及定值问题(解析版)_02中考总复习(2026版更新中)_02-数学-中考总复习_2024年中考复习资料_一轮复习资料_重难点突破_解析版
❤重难点03二次函数中的线段、周长与面积的最值问题及定值问题(解析版)_02中考总复习(2026版更新中)_02-数学-中考总复习_2024年中考复习资料_一轮复习资料_重难点突破_解析版
❤重难点03二次函数中的线段、周长与面积的最值问题及定值问题(解析版)_02中考总复习(2026版更新中)_02-数学-中考总复习_2024年中考复习资料_一轮复习资料_重难点突破_解析版
❤重难点03二次函数中的线段、周长与面积的最值问题及定值问题(解析版)_02中考总复习(2026版更新中)_02-数学-中考总复习_2024年中考复习资料_一轮复习资料_重难点突破_解析版
❤重难点03二次函数中的线段、周长与面积的最值问题及定值问题(解析版)_02中考总复习(2026版更新中)_02-数学-中考总复习_2024年中考复习资料_一轮复习资料_重难点突破_解析版
❤重难点03二次函数中的线段、周长与面积的最值问题及定值问题(解析版)_02中考总复习(2026版更新中)_02-数学-中考总复习_2024年中考复习资料_一轮复习资料_重难点突破_解析版
❤重难点03二次函数中的线段、周长与面积的最值问题及定值问题(解析版)_02中考总复习(2026版更新中)_02-数学-中考总复习_2024年中考复习资料_一轮复习资料_重难点突破_解析版
❤重难点03二次函数中的线段、周长与面积的最值问题及定值问题(解析版)_02中考总复习(2026版更新中)_02-数学-中考总复习_2024年中考复习资料_一轮复习资料_重难点突破_解析版
❤重难点03二次函数中的线段、周长与面积的最值问题及定值问题(解析版)_02中考总复习(2026版更新中)_02-数学-中考总复习_2024年中考复习资料_一轮复习资料_重难点突破_解析版
❤重难点03二次函数中的线段、周长与面积的最值问题及定值问题(解析版)_02中考总复习(2026版更新中)_02-数学-中考总复习_2024年中考复习资料_一轮复习资料_重难点突破_解析版
❤重难点03二次函数中的线段、周长与面积的最值问题及定值问题(解析版)_02中考总复习(2026版更新中)_02-数学-中考总复习_2024年中考复习资料_一轮复习资料_重难点突破_解析版
❤重难点03二次函数中的线段、周长与面积的最值问题及定值问题(解析版)_02中考总复习(2026版更新中)_02-数学-中考总复习_2024年中考复习资料_一轮复习资料_重难点突破_解析版
❤重难点03二次函数中的线段、周长与面积的最值问题及定值问题(解析版)_02中考总复习(2026版更新中)_02-数学-中考总复习_2024年中考复习资料_一轮复习资料_重难点突破_解析版
❤重难点03二次函数中的线段、周长与面积的最值问题及定值问题(解析版)_02中考总复习(2026版更新中)_02-数学-中考总复习_2024年中考复习资料_一轮复习资料_重难点突破_解析版
❤重难点03二次函数中的线段、周长与面积的最值问题及定值问题(解析版)_02中考总复习(2026版更新中)_02-数学-中考总复习_2024年中考复习资料_一轮复习资料_重难点突破_解析版
❤重难点03二次函数中的线段、周长与面积的最值问题及定值问题(解析版)_02中考总复习(2026版更新中)_02-数学-中考总复习_2024年中考复习资料_一轮复习资料_重难点突破_解析版
❤重难点03二次函数中的线段、周长与面积的最值问题及定值问题(解析版)_02中考总复习(2026版更新中)_02-数学-中考总复习_2024年中考复习资料_一轮复习资料_重难点突破_解析版
❤重难点03二次函数中的线段、周长与面积的最值问题及定值问题(解析版)_02中考总复习(2026版更新中)_02-数学-中考总复习_2024年中考复习资料_一轮复习资料_重难点突破_解析版
❤重难点03二次函数中的线段、周长与面积的最值问题及定值问题(解析版)_02中考总复习(2026版更新中)_02-数学-中考总复习_2024年中考复习资料_一轮复习资料_重难点突破_解析版
❤重难点03二次函数中的线段、周长与面积的最值问题及定值问题(解析版)_02中考总复习(2026版更新中)_02-数学-中考总复习_2024年中考复习资料_一轮复习资料_重难点突破_解析版
❤重难点03二次函数中的线段、周长与面积的最值问题及定值问题(解析版)_02中考总复习(2026版更新中)_02-数学-中考总复习_2024年中考复习资料_一轮复习资料_重难点突破_解析版
❤重难点03二次函数中的线段、周长与面积的最值问题及定值问题(解析版)_02中考总复习(2026版更新中)_02-数学-中考总复习_2024年中考复习资料_一轮复习资料_重难点突破_解析版
❤重难点03二次函数中的线段、周长与面积的最值问题及定值问题(解析版)_02中考总复习(2026版更新中)_02-数学-中考总复习_2024年中考复习资料_一轮复习资料_重难点突破_解析版
❤重难点03二次函数中的线段、周长与面积的最值问题及定值问题(解析版)_02中考总复习(2026版更新中)_02-数学-中考总复习_2024年中考复习资料_一轮复习资料_重难点突破_解析版
❤重难点03二次函数中的线段、周长与面积的最值问题及定值问题(解析版)_02中考总复习(2026版更新中)_02-数学-中考总复习_2024年中考复习资料_一轮复习资料_重难点突破_解析版
❤重难点03二次函数中的线段、周长与面积的最值问题及定值问题(解析版)_02中考总复习(2026版更新中)_02-数学-中考总复习_2024年中考复习资料_一轮复习资料_重难点突破_解析版
❤重难点03二次函数中的线段、周长与面积的最值问题及定值问题(解析版)_02中考总复习(2026版更新中)_02-数学-中考总复习_2024年中考复习资料_一轮复习资料_重难点突破_解析版
❤重难点03二次函数中的线段、周长与面积的最值问题及定值问题(解析版)_02中考总复习(2026版更新中)_02-数学-中考总复习_2024年中考复习资料_一轮复习资料_重难点突破_解析版
❤重难点03二次函数中的线段、周长与面积的最值问题及定值问题(解析版)_02中考总复习(2026版更新中)_02-数学-中考总复习_2024年中考复习资料_一轮复习资料_重难点突破_解析版
❤重难点03二次函数中的线段、周长与面积的最值问题及定值问题(解析版)_02中考总复习(2026版更新中)_02-数学-中考总复习_2024年中考复习资料_一轮复习资料_重难点突破_解析版
❤重难点03二次函数中的线段、周长与面积的最值问题及定值问题(解析版)_02中考总复习(2026版更新中)_02-数学-中考总复习_2024年中考复习资料_一轮复习资料_重难点突破_解析版
❤重难点03二次函数中的线段、周长与面积的最值问题及定值问题(解析版)_02中考总复习(2026版更新中)_02-数学-中考总复习_2024年中考复习资料_一轮复习资料_重难点突破_解析版
❤重难点03二次函数中的线段、周长与面积的最值问题及定值问题(解析版)_02中考总复习(2026版更新中)_02-数学-中考总复习_2024年中考复习资料_一轮复习资料_重难点突破_解析版
❤重难点03二次函数中的线段、周长与面积的最值问题及定值问题(解析版)_02中考总复习(2026版更新中)_02-数学-中考总复习_2024年中考复习资料_一轮复习资料_重难点突破_解析版
❤重难点03二次函数中的线段、周长与面积的最值问题及定值问题(解析版)_02中考总复习(2026版更新中)_02-数学-中考总复习_2024年中考复习资料_一轮复习资料_重难点突破_解析版
❤重难点03二次函数中的线段、周长与面积的最值问题及定值问题(解析版)_02中考总复习(2026版更新中)_02-数学-中考总复习_2024年中考复习资料_一轮复习资料_重难点突破_解析版
❤重难点03二次函数中的线段、周长与面积的最值问题及定值问题(解析版)_02中考总复习(2026版更新中)_02-数学-中考总复习_2024年中考复习资料_一轮复习资料_重难点突破_解析版
❤重难点03二次函数中的线段、周长与面积的最值问题及定值问题(解析版)_02中考总复习(2026版更新中)_02-数学-中考总复习_2024年中考复习资料_一轮复习资料_重难点突破_解析版
❤重难点03二次函数中的线段、周长与面积的最值问题及定值问题(解析版)_02中考总复习(2026版更新中)_02-数学-中考总复习_2024年中考复习资料_一轮复习资料_重难点突破_解析版
❤重难点03二次函数中的线段、周长与面积的最值问题及定值问题(解析版)_02中考总复习(2026版更新中)_02-数学-中考总复习_2024年中考复习资料_一轮复习资料_重难点突破_解析版
❤重难点03二次函数中的线段、周长与面积的最值问题及定值问题(解析版)_02中考总复习(2026版更新中)_02-数学-中考总复习_2024年中考复习资料_一轮复习资料_重难点突破_解析版
❤重难点03二次函数中的线段、周长与面积的最值问题及定值问题(解析版)_02中考总复习(2026版更新中)_02-数学-中考总复习_2024年中考复习资料_一轮复习资料_重难点突破_解析版
❤重难点03二次函数中的线段、周长与面积的最值问题及定值问题(解析版)_02中考总复习(2026版更新中)_02-数学-中考总复习_2024年中考复习资料_一轮复习资料_重难点突破_解析版
❤重难点03二次函数中的线段、周长与面积的最值问题及定值问题(解析版)_02中考总复习(2026版更新中)_02-数学-中考总复习_2024年中考复习资料_一轮复习资料_重难点突破_解析版
❤重难点03二次函数中的线段、周长与面积的最值问题及定值问题(解析版)_02中考总复习(2026版更新中)_02-数学-中考总复习_2024年中考复习资料_一轮复习资料_重难点突破_解析版
❤重难点03二次函数中的线段、周长与面积的最值问题及定值问题(解析版)_02中考总复习(2026版更新中)_02-数学-中考总复习_2024年中考复习资料_一轮复习资料_重难点突破_解析版
❤重难点03二次函数中的线段、周长与面积的最值问题及定值问题(解析版)_02中考总复习(2026版更新中)_02-数学-中考总复习_2024年中考复习资料_一轮复习资料_重难点突破_解析版
❤重难点03二次函数中的线段、周长与面积的最值问题及定值问题(解析版)_02中考总复习(2026版更新中)_02-数学-中考总复习_2024年中考复习资料_一轮复习资料_重难点突破_解析版
❤重难点03二次函数中的线段、周长与面积的最值问题及定值问题(解析版)_02中考总复习(2026版更新中)_02-数学-中考总复习_2024年中考复习资料_一轮复习资料_重难点突破_解析版
❤重难点03二次函数中的线段、周长与面积的最值问题及定值问题(解析版)_02中考总复习(2026版更新中)_02-数学-中考总复习_2024年中考复习资料_一轮复习资料_重难点突破_解析版
❤重难点03二次函数中的线段、周长与面积的最值问题及定值问题(解析版)_02中考总复习(2026版更新中)_02-数学-中考总复习_2024年中考复习资料_一轮复习资料_重难点突破_解析版
❤重难点03二次函数中的线段、周长与面积的最值问题及定值问题(解析版)_02中考总复习(2026版更新中)_02-数学-中考总复习_2024年中考复习资料_一轮复习资料_重难点突破_解析版
❤重难点03二次函数中的线段、周长与面积的最值问题及定值问题(解析版)_02中考总复习(2026版更新中)_02-数学-中考总复习_2024年中考复习资料_一轮复习资料_重难点突破_解析版
❤重难点03二次函数中的线段、周长与面积的最值问题及定值问题(解析版)_02中考总复习(2026版更新中)_02-数学-中考总复习_2024年中考复习资料_一轮复习资料_重难点突破_解析版
❤重难点03二次函数中的线段、周长与面积的最值问题及定值问题(解析版)_02中考总复习(2026版更新中)_02-数学-中考总复习_2024年中考复习资料_一轮复习资料_重难点突破_解析版
❤重难点03二次函数中的线段、周长与面积的最值问题及定值问题(解析版)_02中考总复习(2026版更新中)_02-数学-中考总复习_2024年中考复习资料_一轮复习资料_重难点突破_解析版
❤重难点03二次函数中的线段、周长与面积的最值问题及定值问题(解析版)_02中考总复习(2026版更新中)_02-数学-中考总复习_2024年中考复习资料_一轮复习资料_重难点突破_解析版
❤重难点03二次函数中的线段、周长与面积的最值问题及定值问题(解析版)_02中考总复习(2026版更新中)_02-数学-中考总复习_2024年中考复习资料_一轮复习资料_重难点突破_解析版
❤重难点03二次函数中的线段、周长与面积的最值问题及定值问题(解析版)_02中考总复习(2026版更新中)_02-数学-中考总复习_2024年中考复习资料_一轮复习资料_重难点突破_解析版
❤重难点03二次函数中的线段、周长与面积的最值问题及定值问题(解析版)_02中考总复习(2026版更新中)_02-数学-中考总复习_2024年中考复习资料_一轮复习资料_重难点突破_解析版
❤重难点03二次函数中的线段、周长与面积的最值问题及定值问题(解析版)_02中考总复习(2026版更新中)_02-数学-中考总复习_2024年中考复习资料_一轮复习资料_重难点突破_解析版
❤重难点03二次函数中的线段、周长与面积的最值问题及定值问题(解析版)_02中考总复习(2026版更新中)_02-数学-中考总复习_2024年中考复习资料_一轮复习资料_重难点突破_解析版
❤重难点03二次函数中的线段、周长与面积的最值问题及定值问题(解析版)_02中考总复习(2026版更新中)_02-数学-中考总复习_2024年中考复习资料_一轮复习资料_重难点突破_解析版
❤重难点03二次函数中的线段、周长与面积的最值问题及定值问题(解析版)_02中考总复习(2026版更新中)_02-数学-中考总复习_2024年中考复习资料_一轮复习资料_重难点突破_解析版
❤重难点03二次函数中的线段、周长与面积的最值问题及定值问题(解析版)_02中考总复习(2026版更新中)_02-数学-中考总复习_2024年中考复习资料_一轮复习资料_重难点突破_解析版
❤重难点03二次函数中的线段、周长与面积的最值问题及定值问题(解析版)_02中考总复习(2026版更新中)_02-数学-中考总复习_2024年中考复习资料_一轮复习资料_重难点突破_解析版
❤重难点03二次函数中的线段、周长与面积的最值问题及定值问题(解析版)_02中考总复习(2026版更新中)_02-数学-中考总复习_2024年中考复习资料_一轮复习资料_重难点突破_解析版
❤重难点03二次函数中的线段、周长与面积的最值问题及定值问题(解析版)_02中考总复习(2026版更新中)_02-数学-中考总复习_2024年中考复习资料_一轮复习资料_重难点突破_解析版
❤重难点03二次函数中的线段、周长与面积的最值问题及定值问题(解析版)_02中考总复习(2026版更新中)_02-数学-中考总复习_2024年中考复习资料_一轮复习资料_重难点突破_解析版
❤重难点03二次函数中的线段、周长与面积的最值问题及定值问题(解析版)_02中考总复习(2026版更新中)_02-数学-中考总复习_2024年中考复习资料_一轮复习资料_重难点突破_解析版
❤重难点03二次函数中的线段、周长与面积的最值问题及定值问题(解析版)_02中考总复习(2026版更新中)_02-数学-中考总复习_2024年中考复习资料_一轮复习资料_重难点突破_解析版
❤重难点03二次函数中的线段、周长与面积的最值问题及定值问题(解析版)_02中考总复习(2026版更新中)_02-数学-中考总复习_2024年中考复习资料_一轮复习资料_重难点突破_解析版
❤重难点03二次函数中的线段、周长与面积的最值问题及定值问题(解析版)_02中考总复习(2026版更新中)_02-数学-中考总复习_2024年中考复习资料_一轮复习资料_重难点突破_解析版
❤重难点03二次函数中的线段、周长与面积的最值问题及定值问题(解析版)_02中考总复习(2026版更新中)_02-数学-中考总复习_2024年中考复习资料_一轮复习资料_重难点突破_解析版
❤重难点03二次函数中的线段、周长与面积的最值问题及定值问题(解析版)_02中考总复习(2026版更新中)_02-数学-中考总复习_2024年中考复习资料_一轮复习资料_重难点突破_解析版
❤重难点03二次函数中的线段、周长与面积的最值问题及定值问题(解析版)_02中考总复习(2026版更新中)_02-数学-中考总复习_2024年中考复习资料_一轮复习资料_重难点突破_解析版
❤重难点03二次函数中的线段、周长与面积的最值问题及定值问题(解析版)_02中考总复习(2026版更新中)_02-数学-中考总复习_2024年中考复习资料_一轮复习资料_重难点突破_解析版
❤重难点03二次函数中的线段、周长与面积的最值问题及定值问题(解析版)_02中考总复习(2026版更新中)_02-数学-中考总复习_2024年中考复习资料_一轮复习资料_重难点突破_解析版
❤重难点03二次函数中的线段、周长与面积的最值问题及定值问题(解析版)_02中考总复习(2026版更新中)_02-数学-中考总复习_2024年中考复习资料_一轮复习资料_重难点突破_解析版
❤重难点03二次函数中的线段、周长与面积的最值问题及定值问题(解析版)_02中考总复习(2026版更新中)_02-数学-中考总复习_2024年中考复习资料_一轮复习资料_重难点突破_解析版
❤重难点03二次函数中的线段、周长与面积的最值问题及定值问题(解析版)_02中考总复习(2026版更新中)_02-数学-中考总复习_2024年中考复习资料_一轮复习资料_重难点突破_解析版
❤重难点03二次函数中的线段、周长与面积的最值问题及定值问题(解析版)_02中考总复习(2026版更新中)_02-数学-中考总复习_2024年中考复习资料_一轮复习资料_重难点突破_解析版
❤重难点03二次函数中的线段、周长与面积的最值问题及定值问题(解析版)_02中考总复习(2026版更新中)_02-数学-中考总复习_2024年中考复习资料_一轮复习资料_重难点突破_解析版
❤重难点03二次函数中的线段、周长与面积的最值问题及定值问题(解析版)_02中考总复习(2026版更新中)_02-数学-中考总复习_2024年中考复习资料_一轮复习资料_重难点突破_解析版
❤重难点03二次函数中的线段、周长与面积的最值问题及定值问题(解析版)_02中考总复习(2026版更新中)_02-数学-中考总复习_2024年中考复习资料_一轮复习资料_重难点突破_解析版
❤重难点03二次函数中的线段、周长与面积的最值问题及定值问题(解析版)_02中考总复习(2026版更新中)_02-数学-中考总复习_2024年中考复习资料_一轮复习资料_重难点突破_解析版

文档信息

文档格式
docx
文档大小
3.913 MB
文档页数
140 页
上传时间
2026-03-03 03:57:11

文档内容

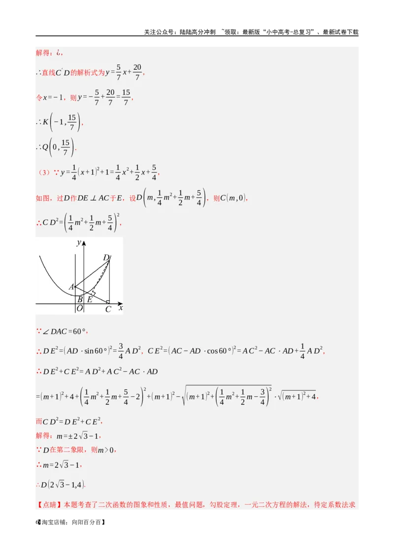
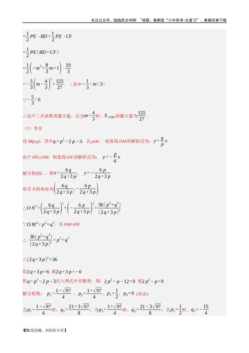
关注公众号:陆陆高分冲刺 ~领取:最新版“小中高考-总复习”、最新试卷下载 重难点突破 03 二次函数中的线段、周长与面积 的最值问题及定值问题 目 录 题型01 利用二次函数解决单线段的最值问题 题型02 利用二次函数解决两条线段之和的最值问题 题型03 利用二次函数解决两条线段之差的最值问题 题型04 利用二次函数解决三条线段之和的最值问题 题型05 利用二次函数解决三角形周长的最值问题 题型06 利用二次函数解决四边形周长的最值问题 题型07 利用二次函数解决图形面积的最值问题 类型一 利用割补、拼接法解决面积最值问题 类型二 利用用铅垂定理巧求斜三角形面积最值问题 类型三 构建平行线,利用同底等高解决面积最值问题 题型08 利用二次函数解决定值问题 【1 淘宝店铺:向阳百分百】关注公众号:陆陆高分冲刺 ~领取:最新版“小中高考-总复习”、最新试卷下载 题型 01 利用二次函数解决单线段的最值问题 【解题思路】抛物线中的线段最值问题有三种形式: 1.平行于坐标轴的线段的最值问题:常通过线段两端点的坐标差表示线段长的函数关系式,运用二次函 数性质求解.求最值时应注意: ①当线段平行于y轴时,用上端点的纵坐标减去下端点的纵坐标; ②当线段平行于x轴时,用右端点的横坐标减去左端点的横坐标.在确定最值时,函数自变量的取值范围 应确定正确. 1.(2022·辽宁朝阳·统考中考真题)如图,在平面直角坐标系中,抛物线y=ax2+2x+c与x轴分别交于 点A(1,0)和点B,与y轴交于点C(0,﹣3),连接BC. (1)求抛物线的解析式及点B的坐标. (2)如图,点P为线段BC上的一个动点(点P不与点B,C重合),过点P作y轴的平行线交抛物线于点 Q,求线段PQ长度的最大值. (3)动点P以每秒√2个单位长度的速度在线段BC上由点C向点B运动,同时动点M以每秒1个单位长度的 速度在线段BO上由点B向点O运动,在平面内是否存在点N,使得以点P,M,B,N为顶点的四边形是 菱形?若存在,请直接写出符合条件的点N的坐标;若不存在,请说明理由. 【答案】(1)y=x2+2x−3,(-3,0) 【2 淘宝店铺:向阳百分百】关注公众号:陆陆高分冲刺 ~领取:最新版“小中高考-总复习”、最新试卷下载 9 (2) 4 ( 3) (3) −3,− 或(-2,1)或(0,3−3√2) 2 【分析】(1)将A,C两点坐标代入抛物线的解析式求得a,c的值,进而得出解析式,当y=0时,求出方 程的解,进而求得B点坐标; (2)由B,C两点求出BC的解析式,进而设出点P和点Q坐标,表示出PQ的长,进一步得出结果; (3)要使以点P,M,B,N为顶点的四边形是菱形,只需△PMB是等腰三角形,所以分为PM=BM, PM=PB和BP=BM,结合图象,进一步得出结果. 【详解】(1)解:把点A(1,0),C(0,﹣3)代入y=ax2+2x+c得: ¿,解得:¿, ∴抛物线解析式为y=x2+2x−3; 令 y=0,则x2+2x−3=0, 解得:x =1,x =−3, 1 2 ∴点B的坐标为(-3,0); (2)解:设直线BC的解析式为y=kx+b(k≠0), 把点B(-3,0),C(0,﹣3)代入得: ¿,解得:¿, ∴直线BC的解析式为y=−x−3, 设点P(m,−m+3),则Q(m,m2+2m−3), ∴PQ=(−m−3)−(m2+2m−3)=−m2−3m=− ( m+ 3) 2 + 9 , 2 4 3 9 ∴当m=− 时,PQ最大,最大值为 ; 2 4 (3)解:存在, 根据题意得:PC=√2t,BM=t,则PB=3√2−√2t, 如图,当BM=PM时, 【3 淘宝店铺:向阳百分百】关注公众号:陆陆高分冲刺 ~领取:最新版“小中高考-总复习”、最新试卷下载 ∵B(-3,0),C(0,-3), ∴OB=OC=3, ∴∠OCB=∠OBC=45°, 延长NP交y轴于点D, ∵点P,M,B,N为顶点的四边形是菱形, ∴PN∥x轴,BN∥PM,即DN⊥y轴, ∴△CDP为等腰直角三角形, √2 ∴CD=PD=PC⋅sin∠OCB=√2t× =t, 2 ∵BM=PM, ∴∠MPB=∠OBC=45°, ∴∠PMO=∠PDO=∠MOD=90°, ∴四边形OMPD是矩形, ∴OM=PD=t,MP⊥x轴, ∴BN⊥x轴, ∵BM+OM=OB, 3 ∴t+t=3,解得t= , 2 ( 3 3) ∴P − ,− , 2 2 ( 3) ∴N −3,− ; 2 如图,当PM=PB时,作PD⊥y轴于D,连接PN, 【4 淘宝店铺:向阳百分百】关注公众号:陆陆高分冲刺 ~领取:最新版“小中高考-总复习”、最新试卷下载 ∵点P,M,B,N为顶点的四边形是菱形, ∴PN⊥BM,NE=PE, ∴BM=2BE, ∴∠OEP=∠DOE=∠ODP=90°, ∴四边形PDOE是矩形, ∴OE=PD=t, ∴BE=3-t, ∴t=2(3-t),解得:t=2, ∴P(-2,-1), ∴N(-2,1); 如图,当PB=MB时, 3√2−√2t=t,解得:t=6−3√2, ∴PN=BP=BM=6−3√2, 过点P作PE⊥x轴于点E, ∴PE⊥PM, ∴∠EON=∠OEP=∠EPN=90°, ∴四边形OEPN为矩形, ∴PN=OE,PN⊥y轴, ∵∠OBC=45°, 【5 淘宝店铺:向阳百分百】关注公众号:陆陆高分冲刺 ~领取:最新版“小中高考-总复习”、最新试卷下载 √2 ∴BE=PE=PB⋅sin∠OBC=(6−3√2)× =3√2−3, 2 ∴OE=OB−BE=3−(3√2−3)=6−3√2, ∴点N在y轴上, ∴N(0,3−3√2), ( 3) 综上所述,点N的坐标为 −3,− 或(-2,1)或(0,3−3√2). 2 【点睛】本题考查了二次函数及其图象的性质,用待定系数法求一次函数的解析式,等腰三角形的分类和 等腰三角形的性质,菱形的性质等知识,解决问题的关键是正确分类,画出符合条件的图形. 2.(2021·西藏·统考中考真题)在平面直角坐标系中,抛物线y=﹣x2+bx+c与x轴交于A,B两点.与y 轴交于点C.且点A的坐标为(﹣1,0),点C的坐标为(0,5). (1)求该抛物线的解析式; (2)如图(甲).若点P是第一象限内抛物线上的一动点.当点P到直线BC的距离最大时,求点P的坐 标; (3)图(乙)中,若点M是抛物线上一点,点N是抛物线对称轴上一点,是否存在点M使得以B,C, M,N为顶点的四边形是平行四边形?若存在,请求出点M的坐标;若不存在,请说明理由. 5 35 【答案】(1)y=﹣x2+4x+5;(2)P( , );(3)存在,M的坐标为:(3,8)或(﹣3,﹣ 2 4 16)或(7,﹣16). 【分析】(1)将A的坐标(﹣1,0),点C的坐(0,5)代入y=﹣x2+bx+c,即可得抛物线的解析式为 y=﹣x2+4x+5; (2)过P作PD⊥x轴于D,交BC于Q,过P作PH⊥BC于H,由y=﹣x2+4x+5可得B(5,0),故OB 【6 淘宝店铺:向阳百分百】关注公众号:陆陆高分冲刺 ~领取:最新版“小中高考-总复习”、最新试卷下载 PQ =OC,△BOC是等腰直角三角形,可证明△PHQ是等腰直角三角形,即知PH= ,当PQ最大时,PH √2 最大,设直线BC解析式为y=kx+5,将B(5,0)代入得直线BC解析式为y=﹣x+5,设P(m,﹣m2+ 5 25 5 4m+5),(0<m<5),则Q(m,﹣m+5),PQ=﹣(m﹣ )2+ ,故当m= 时,PH最大,即点 2 4 2 5 35 P到直线BC的距离最大,此时P( , ); 2 4 (3)抛物线y=﹣x2+4x+5对称轴为直线x=2,设M(s,﹣s2+4s+5),N(2,t),而B(5,0),C (0,5),①以MN、BC为对角线,则MN、BC的中点重合,可列方程组¿,即可解得M(3,8),②以 MB、NC为对角线,则MB、NC的中点重合,同理可得¿,解得M(﹣3,﹣16),③以MC、NB为对角线, 则MC、NB中点重合,则¿,解得M(7,﹣16). 【详解】解:(1)将A的坐标(﹣1,0),点C的坐(0,5)代入y=﹣x2+bx+c得: ¿,解得¿, ∴抛物线的解析式为y=﹣x2+4x+5; (2)过P作PD⊥x轴于D,交BC于Q,过P作PH⊥BC于H,如图: 在y=﹣x2+4x+5中,令y=0得﹣x2+4x+5=0, 解得x=5或x=﹣1, ∴B(5,0), ∴OB=OC,△BOC是等腰直角三角形, ∴∠CBO=45°, ∵PD⊥x轴, ∴∠BQD=45°=∠PQH, ∴△PHQ是等腰直角三角形, 【7 淘宝店铺:向阳百分百】关注公众号:陆陆高分冲刺 ~领取:最新版“小中高考-总复习”、最新试卷下载 PQ ∴PH= , √2 ∴当PQ最大时,PH最大, 设直线BC解析式为y=kx+5,将B(5,0)代入得0=5k+5, ∴k=﹣1, ∴直线BC解析式为y=﹣x+5, 设P(m,﹣m2+4m+5),(0<m<5),则Q(m,﹣m+5), 5 25 ∴PQ=(﹣m2+4m+5)﹣(﹣m+5)=﹣m2+5m=﹣(m﹣ )2+ , 2 4 ∵a=﹣1<0, 5 25 ∴当m= 时,PQ最大为 , 2 4 5 5 35 ∴m= 时,PH最大,即点P到直线BC的距离最大,此时P( , ); 2 2 4 (3)存在,理由如下: 抛物线y=﹣x2+4x+5对称轴为直线x=2, 设M(s,﹣s2+4s+5),N(2,t),而B(5,0),C(0,5), ①以MN、BC为对角线,则MN、BC的中点重合,如图: ∴¿,解得¿, ∴M(3,8), ②以MB、NC为对角线,则MB、NC的中点重合,如图: 【8 淘宝店铺:向阳百分百】关注公众号:陆陆高分冲刺 ~领取:最新版“小中高考-总复习”、最新试卷下载 ∴¿,解得¿, ∴M(﹣3,﹣16), ③以MC、NB为对角线,则MC、NB中点重合,如图: ¿,解得¿, ∴M(7,﹣16); 综上所述,M的坐标为:(3,8)或(﹣3,﹣16)或(7,﹣16). 【点睛】本题考查二次函数综合应用,涉及待定系数法、函数图象上点坐标的特征、等腰直角三角形、平 行四边形等知识,解题的关键是用含字母的代数式表示相关点的坐标和相关线段的长度. 3.(2021·山东泰安·统考中考真题)二次函数y=ax2+bx+4(a≠0)的图象经过点A(−4,0),B(1,0), 与y轴交于点C,点P为第二象限内抛物线上一点,连接BP、AC,交于点Q,过点P作PD⊥x轴于点 D. 【9 淘宝店铺:向阳百分百】关注公众号:陆陆高分冲刺 ~领取:最新版“小中高考-总复习”、最新试卷下载 (1)求二次函数的表达式; (2)连接BC,当∠DPB=2∠BCO时,求直线BP的表达式; PQ (3)请判断: 是否有最大值,如有请求出有最大值时点P的坐标,如没有请说明理由. QB 15 15 PQ 4 【答案】(1)y=−x2−3x+4;(2)y=− x+ ;(3) 有最大值为 ,P点坐标为(−2,6) 8 8 QB 5 【分析】(1)将A(−4,0),B(1,0)代入y=ax2+bx+4(a≠0)中,列出关于a、b的二元一次方程组, 求出a、b的值即可; (2)设BP与y轴交于点E,根据PD// y轴可知,∠DPB=∠OEB,当∠DPB=2∠BCO,即 ∠OEB=2∠BCO,由此推断△OEB为等腰三角形,设OE=a,则CE=4−a,所以BE=4−a,由勾股 定理得BE2=OE2+OB2,解出点E的坐标,用待定系数法确定出BP的函数解析式即可; (3)设PD与AC交于点N,过B作y轴的平行线与AC相交于点M.由A、C两点坐标可得AC所在直线 PQ PN PN 表达式,求得 M点坐标,则BM=5,由BM//PN,可得△PNQ∽△BMQ, = = ,设 QB BM 5 P(a ,−a 2−3a +4)(−40)的图 4 2 象与x轴相交于点A、B(点A在点B的左侧),与y轴相交于点C,动点P在对称轴l上,连接AC、BC、 PA、PC. (1)求点A、B、C的坐标(用数字或含m的式子表示); (2)当PA+PC的最小值等于4√5时,求m的值及此时点P的坐标; (3)当m取(2)中的值时,若∠APC=2∠ABC,请直接写出点P的坐标. 【答案】(1)A(−2,0),B(2m,0),C(0,m) ( 5) (2)m=4,P 3, 2 ( 5) (3)P点坐标为(3,0)或 3, 2 1 1 【分析】(1)将x=0,y=0,分别代入y=− x2+ (m−1)x+m,计算求解即可; 4 2 (2)如图1,连接PB,由题意知,PA=PB,则PA+PC=PB+PC,可知当C,P,B三点共线时, PA+PC值最小,在Rt△BOC中,由勾股定理得BC=√5m,由PA+PC的最小值等于4√5,可得 √5m=4√5,计算m的值,然后得出B,C的点坐标,待定系数法求直线BC的解析式,根据P是直线BC 与直线l的交点,计算求解即可; (3)由(2)知m=4,则B(8,0),C(0,4),抛物线的对称轴为直线x=3,勾股定理逆定理判断 △ABC是直角三角形,且∠ACB=90°,记D为直线l与x轴的交点,如图2,连接CD,由直角三角形斜 边的中线等于斜边的一半可得CD=BD=AD,由等边对等角可得∠DCB=∠ABC,由三角形外角的性 质可得∠ADC=∠DCB+∠ABC=2∠ABC,进而可得∠ADC=∠APC,即P与D重合,求此时的P 点坐标;过A,C,D三点作⊙O',如图2,由同弧所对的圆周角相等可知⊙O'与直线l=3交点即为P, 1 (1 ) 设P(3,a),由题意知,圆心O'在直线x= 上,设圆心坐标为 ,n , 则AO'2=CO'2=PO'2,根据 2 2 AO'2=CO'2,可求n值,根据AO'2=PO'2,可求a值,进而可得此时的P点坐标. 【36淘宝店铺:向阳百分百】关注公众号:陆陆高分冲刺 ~领取:最新版“小中高考-总复习”、最新试卷下载 【详解】(1)解:当x=0时,y=m, 1 1 当y=0时,− x2+ (m−1)x+m=0,整理得x2−2(m−1)x−4m=0,即(x−2m)(x+2)=0, 4 2 解得x =2m,x =−2, 1 2 ∴A(−2,0),B(2m,0),C(0,m), (2)解:如图1,连接PB, 由题意知,PA=PB, ∴PA+PC=PB+PC, ∴当C,P,B三点共线时,PA+PC值最小, 在Rt△BOC中,由勾股定理得BC=√OB2+OC2=√4m2+m2=√5m, ∵PA+PC的最小值等于4√5, ∴√5m=4√5, 解得m=4, ∴B(8,0),C(0,4), ∴抛物线的对称轴为直线x=3, 设直线BC的解析式为y=kx+b, 将B(8,0),C(0,4)代入得,¿, 解得¿, 1 ∴直线BC的解析式为y=− x+4, 2 1 5 当x=3时,y=− ×3+4= , 2 2 ( 5) ∴P 3, , 2 ( 5) ∴m=4,P 3, ; 2 【37淘宝店铺:向阳百分百】关注公众号:陆陆高分冲刺 ~领取:最新版“小中高考-总复习”、最新试卷下载 (3)解:∵m=4, ∴B(8,0),C(0,4),抛物线的对称轴为直线x=3, ∵AC2=22+42=20,BC2=(4√5) 2=80,AB2=102=100, ∴AC2+BC2=AB2, ∴△ABC是直角三角形,且∠ACB=90°, 记D为直线l与x轴的交点,如图2,连接CD, ∴CD=BD=AD, ∴∠DCB=∠ABC, ∵∠ADC=∠DCB+∠ABC=2∠ABC, ∴∠ADC=∠APC, ∴P与D重合,即P(3,0); 过A,C,D三点作⊙O',如图2,由同弧所对的圆周角相等可知⊙O'与直线l=3交点即为P,设 P(3,a), 1 (1 ) 由题意知,圆心O'在直线x= 上,设圆心坐标为 ,n , 则AO'2=CO'2=PO'2, 2 2 ∵AO'2=CO'2,即 ( −2− 1) 2 +(0−n) 2= ( 0− 1) 2 +(4−n) 2 , 2 2 5 解得n= , 4 ( 1) 2 ( 5) 2 ( 1) 2 ( 5) 2 ∵AO'2=PO'2,即 −2− + 0− = 3− + a− , 2 4 2 4 5 解得a =0,a = , 1 2 2 ( 5) ∴P 3, , 2 ( 5) 综上,P点坐标为(3,0)或 3, . 2 【38淘宝店铺:向阳百分百】关注公众号:陆陆高分冲刺 ~领取:最新版“小中高考-总复习”、最新试卷下载 【点睛】本题考查了二次函数与线段、角度综合,二次函数的图象与性质,勾股定理的逆定理,直角三角 形斜边的中线等于斜边的一半,同弧所对的圆周角相等,等边对等角,三角形外角的性质等知识.解题的 关键在于对知识的熟练掌握与灵活运用. 题型 03 利用二次函数解决两条线段之差的最值问题 【解题思路】抛物线中的线段最值问题有三种形式: 3. 两条线段差的最值问题:解决这类问题最基本的定理就是“三角形任何两边之差小于第三边”, 解决 这类问题的方法是:求解时,先根据原理确定线段差取最值时的图形,再根据已知条件求解。 【常见模型一】(两点在同侧):在直线L上求一点P,求|PA-PB|的最大值 方法:如右图,延长射线AB,与直线L交于点P,|PA-PB|最大值为AB 【常见模型二】(两点在异侧):在直线L上求一点P,求|PA-PB|的最大值。 方法:如右图,作点B关于直线L的对称点B’, 延长射线AB’,与直线L交于点P,|PA-PB|最大值为 AB’ 13.(2023·江西九江·校考模拟预测)已知二次函数y=ax2+bx+c中,x,y的部分对应值如下表,点 P(t,0)是x轴上一动点. x … -1 0 1 3 … y … 0 3 m 0 … (1)表格中m=______,在如图所示的平面直角坐标系中画出该二次函数的图象; 【39淘宝店铺:向阳百分百】关注公众号:陆陆高分冲刺 ~领取:最新版“小中高考-总复习”、最新试卷下载 (2)若二次函数y=ax2+bx+c的图象与y轴交于点A,顶点为B,求|PA−PB|的最大值及此时点P的 坐标; (3)设Q(0,2t)是y轴上的动点,若线段PQ与函数y=ax2+bx+c(x≥0)的图象只有一个公共点,求t 的取值范围. 【答案】(1)4,画图象见解析 (2)|PA−PB|的最大值为√2,点P的坐标为(−3,0) 3 7 (3)t的取值范围是 ≤t<3或t= 2 2 【分析】(1)由表格中的y与x的对应值可知点(−1,0),(0,3),(3,0),运用待定系数法即可 求得抛物线的解析式为y=−x2+2x+3,即可画出函数的图象,再由点(1,m)在抛物线上求出m的值即 可; (2)先求得A(0,3),抛物线的顶点坐标为B(1,4),再根据勾股定理求得AB=√2,由 |PA−PB|≤AB,可知当点P在直线AB上时,|PA−PB|=AB,此时|PA−PB|取得最大值√2,求得直线 AB的解析式为y=x+3,将P(t,0)代入 y=x+3,即可求出t的值及点P的坐标; (3)结合函数图象分类讨论求解即可 【详解】(1)∵二次函数y=ax2+bx+c的图象经过点(−1,0),(3,0), ∴可设二次函数的解析式为y=a(x+1)(x−3). 又二次函数的图象经过点(0,3), 将(0,3)代入y=a(x+1)(x−3), 【40淘宝店铺:向阳百分百】关注公众号:陆陆高分冲刺 ~领取:最新版“小中高考-总复习”、最新试卷下载 得−3a=3, ∴a=−1, ∴y=−(x+1)(x−3)=−x2+2x+3=−(x−1) 2+4. 当x=1时,y=4,即m=4. 图象如图所示, (2)对于y=−x2+2x+3,当x=0时,则y=3, ∴A(0,3) ∵y=−x2+2x+3=−(x−1) 2+4 ∴抛物线的顶点坐标为B(1,4), ∴AB=√12+(4−3) 2=√2, ∵|PA−PB|≤AB, ∴当点P在直线AB上时,|PA−PB|=AB,此时|PA−PB|的值最大,最大值为√2, ∴设直线AB的解析式为y=kx+3,则k+3=4, 解得k=1, ∴直线AB的解析式为y=x+3, ∵P(t,0)在直线y=x+3上, ∴t+3=0,解得t=−3, ∴P(−3,0), 【41淘宝店铺:向阳百分百】关注公众号:陆陆高分冲刺 ~领取:最新版“小中高考-总复习”、最新试卷下载 ∴|PA−PB|的最大值为√2,对应的点P的坐标为(−3,0). (3)由题意可知二次函数y=ax2+bx+c=−x2+2x+3. ∴二次函数y=−x2+2x+3(x≥0)的图象如图(2)所示. 设线段PQ所在直线的解析式为y=x+n, 将P(t,0),Q(0,2t)分别代入,得¿解得¿ ∴线段PQ所在直线的解析式为y=−2x+2t. 当线段PQ过点(0,3),即点Q与点A重合时,线段PO与函数y=−x2+2x+3(x≥0)的图象有一个公共 3 点,此时t= . 2 当线段PQ过点(3,0),即点P与点(3,0)重合时,t=3,此时线段PQ与函数y=−x2+2x+3(x≥0)的 图象有两个公共点,分别为点(3,0),(1,4),不符合题意. 3 ∴当 ≤t<3时,线段PQ与函数y=−x2+2x+3(x≥0)的图象只有一个公共点. 2 将y=−2x+2t代入y=x2+2x+3(x≥0),得−x2+2x+3=−2x+2t, ∴−x2+4x+3−2t=0. 7 令Δ=16−4×(−1)×(3−2t)=0,解得t= , 2 7 ∴当t= 时,线段PQ与函数y=−x2+2x+3(x≥0)的图象只有一个公共点. 2 3 7 综上所述,t的取值范围是 ≤t<3或t= . 2 2 【42淘宝店铺:向阳百分百】关注公众号:陆陆高分冲刺 ~领取:最新版“小中高考-总复习”、最新试卷下载 【点睛】此题重点考查二次函数的图象与性质、一次函数的图象与性质、用待定系数法求函数的解析式、 勾股定理、数形结合与分类讨论数学思想的运用等知识与方法. 14.(2022·湖南常德·统考中考真题)如图,已经抛物线经过点O(0,0),A(5,5),且它的对称轴为x=2. (1)求此抛物线的解析式; (2)若点B是抛物线对称轴上的一点,且点B在第一象限,当△OAB的面积为15时,求B的坐标; (3)在(2)的条件下,P是抛物线上的动点,当PA−PB的值最大时,求P的坐标以及PA−PB的最大值 【答案】(1)y=x2−4x. (2)B(2,8) (3)P(−2,12), PA−PB的最大值为3√2. 【分析】(1)根据题意可设抛物线为y=ax2+bx,再利用待定系数法求解抛物线的解析式即可; (2)设B(2,y), 且y>0, 记OA与对称轴的交点为Q,设直线OA为:y=kx, 解得:k=1, 可得直线OA 1 为:y=x, 则Q(2,2), 利用S =S +S = ×BQ×(x −x )列方程,再解方程即可; △OAB △BOQ △ABQ 2 A O (3)如图,连接AB,延长AB交抛物线于P,则此时PA−PB=AB最大,由勾股定理可得最小值,再利 用待定系数法求解AB的解析式,联立一次函数与二次函数的解析式,解方程组可得P的坐标. 【详解】(1)解:∵ 抛物线经过点O(0,0), ∴设抛物线为:y=ax2+bx, ∵ 抛物线过A(5,5),且它的对称轴为x=2. ∴¿ 解得:¿ ∴抛物线为:y=x2−4x. 【43淘宝店铺:向阳百分百】关注公众号:陆陆高分冲刺 ~领取:最新版“小中高考-总复习”、最新试卷下载 (2)解:如图,点B是抛物线对称轴上的一点,且点B在第一象限, 设B(2,y), 且y>0, 记OA与对称轴的交点为Q, 设直线OA为:y=kx, ∴5=5k, 解得:k=1, ∴ 直线OA为:y=x, ∴Q(2,2), 1 ∴S =S +S = ×BQ×(x −x ) △OAB △BOQ △ABQ 2 A O 1 = |y−2|×5=15, 2 解得:y=8或y=−4, ∵y>0, 则y=8, ∴B(2,8). (3)如图,连接AB,延长AB交抛物线于P,则此时PA−PB=AB最大, ∵A(5,5),B(2,8), ∴AB=√(5−2) 2+(5−8) 2=3√2, 【44淘宝店铺:向阳百分百】关注公众号:陆陆高分冲刺 ~领取:最新版“小中高考-总复习”、最新试卷下载 设AB为:y=k'x+b', 代入A、B两点坐标, ∴¿ 解得:¿ ∴AB为:y=−x+10, ∴¿ 解得:¿ ∴P(−2,12). 【点睛】本题考查的是利用待定系数法求解二次函数的解析式,坐标与图形面积,三角形三边关系的应用, 勾股定理的应用,确定PA−PB最大时P的位置是解本题的关键. 15.(2022上·福建泉州·九年级统考期末)如图,在平面直角坐标系xOy中,顶点为E(1,4)的抛物线 y=ax2+bx+c与x轴从左到右依次交于A,B两点,与y轴的交点为C(0,3),P是抛物线对称轴右侧图 象上的一点,且在x轴的上方. (1)求此抛物线的解析式; (2)若直线BP与抛物线对称轴交于点D,当|BD−CD|取得最大值时,求点P的坐标; (3)若直线BC与抛物线对称轴交于点F,连接PC,PE,PF,记△PCF,△PEF的面积分别为S ,S , 1 2 判断2S +S 是否存在最大值.若存在,求出最大值;若不存在,请说明理由. 1 2 【答案】(1)y=−x2+2x+3 (2)P(2,3) (3)存在,最大值为3 【分析】(1)由顶点坐标可设该函数顶点式为y=a' (x−1) 2+4,再将C(0,3)代入,求出a'的值,即可 得出抛物线的解析式; (2)设直线BP与抛物线对称轴交于点D,连接AD,CD,AC.根据抛物线解析式可求出 A(−1,0),B(3,0),由抛物线的对称性可知AD=BD,即|BD−CD|=|AD−CD|.再根据 AD−CD≤AC,即得出|BD−CD|的最大值为AC的长,此时点A,C,D三点共线,最后再次根据抛物 【45淘宝店铺:向阳百分百】关注公众号:陆陆高分冲刺 ~领取:最新版“小中高考-总复习”、最新试卷下载 线的对称性可知点C关于抛物线对称轴的对称点即为点P,即可解答; (3)利用待定系数法可求出直线BC的解析式为y=−x+3,从而可求出F(1,2).设直线PC与抛物线 对称轴交于点Q,设P(t,−t2+2t+3)(10, ∴m=2√3−1, ∴D(2√3−1,4). 【点睛】本题考查了二次函数的图象和性质,最值问题,勾股定理,一元二次方程的解法,待定系数法求 【61淘宝店铺:向阳百分百】关注公众号:陆陆高分冲刺 ~领取:最新版“小中高考-总复习”、最新试卷下载 一次函数解析式等知识,熟练掌握二次函数的图象和性质是解题关键. 题型 05 利用二次函数解决三角形周长的最值问题 21.(2023·广东湛江·校考一模)抛物线y=ax2+bx+2与x轴交于点A(−3,0),B(1,0),与y轴交于点 C. (1) (2)求抛物线的解析式 (3)在抛物线对称轴上找一点M,使△MBC的周长最小,并求出点M的坐标和△MBC的周长 (4)若点P是x轴上的一个动点,过点P作PQ∥BC交抛物线于点Q,在抛物线上是否存在点Q,使B、 C、P、Q为顶点的四边形为平行四边形?若存在请求出点Q的坐标,若不存在请说明理由. 2 4 【答案】(1)抛物线的解析式为y=− x2− x+2 3 3 ( 4) (2)当△MBC的周长最小时,点M的坐标为 −1, ,△MBC的周长为√13+√5 3 (3)在抛物线上存在点Q,使B、C、P、Q为顶点的四边形为平行四边形,点Q的坐标为(−2,2)或 (−1−√7,−2)或(−1+√7,−2) 【分析】(1)根据点A,B的坐标,利用待定系数法可求出抛物线的解析式; (2)利用二次函数图象上点的坐标特征可得出点C的坐标,利用二次函数的性质可得出抛物线对称轴为 直线x=−1,连接AC,交抛物线对称轴于点M,此时△MBC的周长取最小值,由点A,B,C的坐标可得 出BC,AC的长度及直线AC的解析式,再结合二次函数图象对称轴的横坐标和直线AC的解析式可得出 点M的坐标和△MBC的周长; (3)由点B,C,P的纵坐标可得出点Q的纵坐标为2或−2,再利用二次函数图象上点的坐标特征可得出 【62淘宝店铺:向阳百分百】关注公众号:陆陆高分冲刺 ~领取:最新版“小中高考-总复习”、最新试卷下载 点Q的坐标. 【详解】(1)解:解:将A(−3,0),B(1,0)代入y=ax2+bx+2,得:¿, 解得:¿, 2 4 ∴抛物线的解析式为y=− x2− x+2. 3 3 2 4 (2)解:当x=0时,y=− x2− x+2=2, 3 3 ∴点C的坐标为(0,2). 2 4 ∵抛物线的解析式为y=− x2− x+2, 3 3 ∴抛物线的对称轴为直线x=−1. 连接AC,交抛物线对称轴于点M,如图1所示. ∵点A,B关于直线x=−1对称, ∴MA=MB, ∴MB+MC=MA+MC=AC, ∴此时△MBC的周长取最小值. ∵点A的坐标为(−3,0),点B的坐标为(1,0),点C的坐标为(0,2), 2 ∴AC=√13,BC=√5,直线AC的解析式为y= x+2(可用待定系数法求出来). 3 2 4 当x=−1时,y= x+2= , 3 3 ( 4) ∴当△MBC的周长最小时,点M的坐标为 −1, ,△MBC的周长为√13+√5. 3 (3)解:∵以B、C、P、Q为顶点的四边形为平行四边形,点B,P的纵坐标为0,点C的纵坐标为2, ∴点Q的纵坐标为2或−2,如图2所示. 【63淘宝店铺:向阳百分百】关注公众号:陆陆高分冲刺 ~领取:最新版“小中高考-总复习”、最新试卷下载 2 4 当y=2时,2=− x2− x+2, 3 3 解得:x =−2,x =0(舍去), 1 2 ∴点Q的坐标为(−2,2); 2 4 当y=−2时,−2=− x2− x+2, 3 3 解得:x =−1−√7,x =−1+√7, 1 2 ∴点Q的坐标为(−1−√7,−2)或(−1+√7,−2). ∴在抛物线上存在点Q,使B、C、P、Q为顶点的四边形为平行四边形,点Q的坐标为(−2,2)或 (−1−√7,−2)或(−1+√7,−2). 【点睛】本题考查了待定系数法求二次函数解析式、二次函数图象上点的坐标特征、待定系数法求一次函 数解析式、二次函数的性质、一次函数图象上点的坐标特征以及平行四边形的性质,解题的关键是: (1)根据点的坐标,利用待定系数法求出抛物线解析式;(2)利用两点之间线段最短,找出点M的位置; (3)根据平行四边形的性质,找出点Q的纵坐标为2或−2. 22.(2023·湖南郴州·统考中考真题)已知抛物线y=ax2+bx+4与x轴相交于点A(1,0),B(4,0),与y轴 相交于点C. 【64淘宝店铺:向阳百分百】关注公众号:陆陆高分冲刺 ~领取:最新版“小中高考-总复习”、最新试卷下载 (1)求抛物线的表达式; PA (2)如图1,点P是抛物线的对称轴l上的一个动点,当△PAC的周长最小时,求 的值; PC 1 (3)如图2,取线段OC的中点D,在抛物线上是否存在点Q,使tan∠QDB= ?若存在,求出点Q的坐标; 2 若不存在,请说明理由. 【答案】(1)y=x2−5x+4 3 (2) 5 (5+√17 ) (5−√17 ) (2 10) (3)Q ,2 或Q ,2 或Q(3,−2)或Q , 2 2 3 9 【分析】(1)待定系数法求函数解析式即可; (2)根据△PAC的周长等于PA+PC+AC,以及AC为定长,得到当PA+PC的值最小时,△PAC的周长 最小,根据抛物线的对称性,得到A,B关于对称轴对称,则:PA+PC=PB+PC≥BC,得到当P,B,C 三点共线时,PA+PC=BC,进而求出P点坐标,即可得解; 1 (3)求出D点坐标为(0,2),进而得到tan∠OBD= ,得到∠QDB=∠OBD,分点Q在D点上方和下方, 2 两种情况进行讨论求解即可. 【详解】(1)解:∵抛物线y=ax2+bx+4与x轴相交于点A(1,0),B(4,0), ∴¿,解得:¿, ∴y=x2−5x+4; (2)∵y=x2−5x+4,当x=0时,y=4, 【65淘宝店铺:向阳百分百】关注公众号:陆陆高分冲刺 ~领取:最新版“小中高考-总复习”、最新试卷下载 5 ∴C(0,4),抛物线的对称轴为直线x= 2 ∵△PAC的周长等于PA+PC+AC,AC为定长, ∴当PA+PC的值最小时,△PAC的周长最小, ∵A,B关于对称轴对称, ∴PA+PC=PB+PC≥BC,当P,B,C三点共线时,PA+PC的值最小,为BC的长,此时点P为直线BC 与对称轴的交点, 设直线BC的解析式为:y=mx+n, 则:¿,解得:¿, ∴y=−x+4, 5 5 3 当x= 时,y=− +4= , 2 2 2 (5 3) ∴P , , 2 2 ∵A(1,0),C(0,4), √ (5 ) 2 (3) 2 3√2 √ (5) 2 ( 3) 2 5√2 ∴PA= −1 + = ,PC= + 4− = , 2 2 2 2 2 2 PA 3 ∴ = ; PC 5 (3)解:存在, ∵D为OC的中点, ∴D(0,2), ∴OD=2, ∵B(4,0), ∴OB=4, 【66淘宝店铺:向阳百分百】关注公众号:陆陆高分冲刺 ~领取:最新版“小中高考-总复习”、最新试卷下载 OD 1 在Rt△BOD中,tan∠OBD= = , OB 2 1 ∵tan∠QDB= =tan∠OBD, 2 ∴∠QDB=∠OBD, ①当Q点在D点上方时: 过点D作DQ∥OB,交抛物线与点Q,则:∠QDB=∠OBD,此时Q点纵坐标为2, 设Q点横坐标为t, 则:t2−5t+4=2, 5±√17 解得:t= , 2 (5+√17 ) (5−√17 ) ∴Q ,2 或Q ,2 ; 2 2 ②当点Q在D点下方时:设DQ与x轴交于点E, 则:DE=BE, 设E(p,0), 则:DE2=OE2+OD2=p2+4,BE2=(4−p) 2, 3 ∴p2+4=(4−p) 2,解得:p= , 2 【67淘宝店铺:向阳百分百】关注公众号:陆陆高分冲刺 ~领取:最新版“小中高考-总复习”、最新试卷下载 (3 ) ∴E ,0 , 2 设DE的解析式为:y=kx+q, 则:¿,解得:¿, 4 ∴y=− x+2, 3 联立¿,解得:¿或¿, (2 10) ∴Q(3,−2)或Q , ; 3 9 (5+√17 ) (5−√17 ) (2 10) 综上:Q ,2 或Q ,2 或Q(3,−2)或Q , . 2 2 3 9 【点睛】本题考查二次函数的综合应用,正确的求出二次函数解析式,利用数形结合,分类讨论的思想进 行求解,是解题的关键.本题的综合性强,难度较大,属于中考压轴题. 4 23.(2023·四川资阳·统考二模)如图,直线y=− x+4与x轴、y轴分别交于A、B两点,抛物线 3 4 y=− x2+bx+c过A、B两点. 3 (1)求抛物线的解析式; (2)点D为抛物线上位于AB上方的一点,过点D作DE⊥AB于点E,作DF∥y轴交AB于点F,当△≝¿的 周长最大时,求点D的坐标; (3)G是平面内的一点,在(2)的条件下,将△≝¿绕点G顺时针旋转α得到△D'E'F',当α=∠OBA时, △D'E'F'的两个顶点恰好落在抛物线上,求点D'的横坐标. 4 8 【答案】(1)y=− x2+ x+4 3 3 【68淘宝店铺:向阳百分百】关注公众号:陆陆高分冲刺 ~领取:最新版“小中高考-总复习”、最新试卷下载 (3 ) (2)D ,5 2 19 7 (3) 或 10 5 4 【分析】(1)根据y =− x+4,令y=0和x=0,求出 A(3,0),B(0,4),代入解析式即可得到最后结 AB 3 果; (2)根据勾股定理求出AB长度,表示出DE+EF+DF= 12 DF,设D ( t,− 4 t2+ 8 t+4 ) ,则 5 3 3 F ( t,− 4 t+4 ) ,表示出DF=− 4 t2+4t,DE+EF+DF=− 16( t− 3) 2 + 36 ,根据题意,即可得到D 3 3 5 2 5 点坐标; (3)根据当△≝¿顺时针旋转α后,EF∥y轴,D'E'⊥y轴,设D'(m,n)则E'( m− 9 ,n ) , 5 F'( m− 9 ,n ) ,分别在当E'、D'两个顶点在抛物线上时,和当D'、E'两个顶点在抛物线上时,求出m的值 5 19 7 为 或 ,即可得到最后结果. 10 5 4 【详解】(1)解:∵y =− x+4,令y=0, AB 3 4 得− x+4=0, 3 解得:x=3, 令x=0,得y=4, ∴A(3,0),B(0,4), 故得方程组¿, ∴¿, 4 8 ∴此抛物线的解析式为:y=− x2+ x+4; 3 3 (2)∵A(3,0),B(0,4), ∴OA=3,OB=4, ∴AB=√OA2+OB2=5, 【69淘宝店铺:向阳百分百】关注公众号:陆陆高分冲刺 ~领取:最新版“小中高考-总复习”、最新试卷下载 OA 3 OB 4 ∴sin∠ABO= = ,cos∠ABO= = , AB 5 AB 5 ∵DF∥y轴, ∴∠DFE=∠ABO, ∵DE⊥AB, DE 3 ∴ =sin∠DFE=cos∠ABO= , DF 5 3 ∴EF= DF, 5 EF 4 ∵ =cos∠DFE=cos∠ABO= , DF 5 4 ∴EF= DF, 5 3 4 12 ∴DE+EF+DF= DF+ DF+DF= DF, 5 5 5 设D ( t,− 4 t2+ 8 t+4 ) ,则F ( t,− 4 t+4 ) , 3 3 3 ∴DF=− 4 t2+ 8 t+4− ( − 4 t+4 ) =− 4 t2+4t, 3 3 3 3 ∴DE+EF+DF= 12( − 4 t2+4t ) =− 16( t− 3) 2 + 36 , 5 3 5 2 5 3 ∴当t= 时,△≝¿的周长最大, 2 3 4 8 ∵t= ,− t2+ t+4=5, 2 3 3 (3 ) ∴D ,5 ; 2 3 (3)当t= 时,DF=3, 2 3 9 4 12 ∴DE= DF= ,EF= DF= , 5 5 5 5 ∵∠DFE=∠ABO=α, ∴当△≝¿顺时针旋转α后,EF∥y轴,D'E'⊥y轴, 设D'(m,n)则E'( m− 9 ,n ) ,F'( m− 9 ,n ) , 5 5 ①当E'、D'两个顶点在抛物线上时, 【70淘宝店铺:向阳百分百】关注公众号:陆陆高分冲刺 ~领取:最新版“小中高考-总复习”、最新试卷下载 ¿, 19 解得:m= , 10 19 ∴D'的横坐标为 , 10 ②当D'、F'两个顶点在抛物线上时, ∴¿, 7 解得:m= , 5 7 ∴D'的横坐标为 , 5 又∵E'F'∥y轴, ∴E'、F'不会同时在抛物线上, 19 7 ∴综上所述,点D'的横坐标为 或 . 10 5 【点睛】本题考查了二次函数综合题,待定系数法求函数解析式,二次函数图像和特征,一次函数图像和 特征,勾股定理,三角函数值,解答本题的关键是运用分类讨论的思想. 24.(2023·湖北恩施·统考一模)已知直线y=x−1与x轴交于点A,过x轴上A,C两点的抛物线 【71淘宝店铺:向阳百分百】关注公众号:陆陆高分冲刺 ~领取:最新版“小中高考-总复习”、最新试卷下载 y=ax2+bx+3与y轴交于点B,与直线y=x−1交于D且OB=OC, (1)直接写出A,B,C三点的坐标; (2)求抛物线的解析式; (3)若点M是抛物线对称轴l上一动点,当△CDM的周长最小时,求△CDM的面积; (4)点P是抛物线上一动点(点P不与B,C重合),连接AP,DP,若△ADP的面积等于3,求点P的坐 标. 【答案】(1)A(1,0),C(3,0),B(0,3) (2)y=x2−4x+3 (3)2 (5+√17 7+√17) (5−√17 7−√17) (4)P (2,−1)或P , 或P , 1 2 2 2 3 2 2 【分析】(1)先求出点C的坐标,进而求出点B的坐标,在y=x−1中,当y=0时,x=1,即可求出点A 的坐标; (2)利用待定系数法求解即可; (3)先求出D(4,3);设直线AD与直线l交于点H,连接AM、CM,CH,由对称性可知AM=CM, 则当A、M、D三点共线时,AM+DM最小,即此时△CDM的周长最小,最小值为AD+CD,此时点 M与点H重合,根据S =S −S 进行求解即可; △CDH △ACD △ACH (4)先求出过点C且与AD平行的直线解析式为y=x−3,再证明S =S ,则由平行线间的距离处 △ADC △ADP 处相等可得点P在直线y=x−3或在直线y=x+1上,据此求解即可. 【详解】(1)解:在y=ax2+bx+3中,当x=0时,y=3, ∴C(3,0), ∴OB=OC=3, ∴B(0,3), 在y=x−1中,当y=0时,x=1, ∴A(1,0); 【72淘宝店铺:向阳百分百】关注公众号:陆陆高分冲刺 ~领取:最新版“小中高考-总复习”、最新试卷下载 (2)解:设抛物线解析式为y=a(x−1)(x−3), 把C(0,3)代入y=a(x−1)(x−3)中得3=a(0−1)(0−3), 解得a=1, ∴抛物线解析式为y=(x−1)(x−3)=x2−4x+3; (3)解:联立¿, 解得¿或¿, ∴D(4,3); 设直线AD与直线l交于点H,连接AM、CM,CH, 由对称性可知AM=CM, ∴△CDM的周长=CM+DM+CD=AM+DM+CD, ∵CD是定值, ∴当A、M、D三点共线时,AM+DM最小,即此时△CDM的周长最小,最小值为AD+CD,此时点 M与点H重合, ∵A(1,0),B(3,0), ∴抛物线对称轴为直线x=2, 在y=x−1中,当x=2时,y=1, ∴H(2,1), 1 1 ∴S =S −S = ×(3−1)×3− ×(3−1)×1=2; △CDH △ACD △ACH 2 2 (4)解:设过点C且与AD平行的直线解析式为y=x+b❑❑, 1 ∴0=3+b❑❑, 1 ∴b❑=−3, 1 ∴过点C且与AD平行的直线解析式为y=x−3, 【73淘宝店铺:向阳百分百】关注公众号:陆陆高分冲刺 ~领取:最新版“小中高考-总复习”、最新试卷下载 1 ∵S = ×(3−2)×3=3, △ADC 2 ∴S =S , △ADC △ADP ∴由平行线间的距离处处相等可得点P在直线y=x−3或在直线y=x+1上, 联立¿,解得¿或¿, ∴P (2,−1); 1 联立¿,解得¿或¿, (5+√17 7+√17) (5−√17 7−√17) ∴P , 或P , ; 2 2 2 3 2 2 (5+√17 7+√17) (5−√17 7−√17) 综上所述,点P的坐标为P (2,−1)或P , 或P , . 1 2 2 2 3 2 2 【点睛】本题主要考查了二次函数与一次函数综合,待定系数法求函数解析式等等,灵活运用所学知识是 解题的关键. 25.(2023·四川成都·统考一模)如图,在平面直角坐标系xOy中,抛物线y=ax2+bx+c(a≠0) 与x轴 交于点A(−1,0),点B(3,0),与y轴交于点C(0,−3). (1)求抛物线的函数表达式; (2)在对称轴上找一点Q,使△AQC的周长最小,求点Q的坐标; (3)在(2)的条件下,点P是抛物线上的一点,当△AQC和△AQP面积相等时,请求出所有点P的坐标. 【74淘宝店铺:向阳百分百】关注公众号:陆陆高分冲刺 ~领取:最新版“小中高考-总复习”、最新试卷下载 【答案】(1)y=x2−2x−3 (2)Q(1,−2) (1+√17 1−√17) (1−√17 1+√17) (3)P (1,−4),P , ,P , 1 2 2 2 3 2 2 【分析】(1)利用待定系数法求解即可; (2)如图,连接CB交对称轴于点Q,先求出抛物线的对称轴为直线x=1,由对称性得到AQ=BQ,进一 步推出当C,B,Q三点共线时,△AQC的周长最小,求出直线BC的解析式为y=x−3,进而求出点Q的 坐标即可; (3)同理可求出直线AQ的解析式y=−x−1,过点C作AQ的平行线,交抛物线于点P ,同理可求出直 1 线P C的解析式为y=−x−3,联立¿,解得¿,则P (1,−4);直线AQ与y轴的交点为(0,−1),点 1 1 C(0,−3)到(0,−1)的距离为2个单位,根据平行线间间距相等可知将直线AQ向上平移2个单位,得 到直线y=−x+1,其与抛物线的两个交点也符合题意,同理求出对应的交点坐标即可. 【详解】(1)解:∵抛物线y=ax2+bx+c(a≠0)与x轴交于点A(−1,0),点B(3,0),与y轴交于点 C(0,−3), ∴¿, ∴¿, ∴抛物线解析式为y=x2−2x−3; (2)解:如图,连接CB交对称轴于点Q, ∵抛物线解析式为y=x2−2x−3=(x−1) 2−4, ∴抛物线的对称轴为直线x=1, ∵点A,B关于对称轴x=1对称, ∴AQ=BQ, ∴AC+AQ+CQ=AC+CQ+BQ≥AC+BC, ∴当C,B,Q三点共线时,△AQC的周长最小, 【75淘宝店铺:向阳百分百】关注公众号:陆陆高分冲刺 ~领取:最新版“小中高考-总复习”、最新试卷下载 ∵C(0,−3),B(3,0), 设直线BC的解析式为y=kx+b'(k≠0), ∴¿, ∴¿ ∴直线BC的解析式为y=x−3, 在y=x−3中,当x=1时,y=−2, ∴Q(1,−2); (3)解: 同理可求出直线AQ的解析式y=−x−1, 过点C作AQ的平行线,交抛物线于点P , 1 同理可求出直线P C的解析式为y=−x−3, 1 联立¿,解得¿或¿(舍去), ∴P (1,−4); 1 ∵直线AQ与y轴的交点为(0,−1),点C(0,−3)到(0,−1)的距离为2个单位,根据平行线间间距相 等可知将直线AQ向上平移2个单位,得到直线y=−x+1,其与抛物线的两个交点也符合题意, 联立¿,解得¿或¿ (1+√17 1−√17) (1−√17 1+√17) 同理可得P , ,P , , 2 2 2 3 2 2 (1+√17 1−√17) (1−√17 1+√17) 综上所述:点P的坐标为P (1,−4),P , ,P , . 1 2 2 2 3 2 2 【点睛】本题主要考查了二次函数与一次函数函数综合,待定系数法求函数解析式,平行线间间距相等等 等,灵活运用所学知识是解题的关键. 【76淘宝店铺:向阳百分百】关注公众号:陆陆高分冲刺 ~领取:最新版“小中高考-总复习”、最新试卷下载 题型 06 利用二次函数解决四边形周长的最值问题 26.(2023·辽宁丹东·校考二模)如图,在平面直角坐标系中,已知抛物线y=ax2+bx+5与x轴交于 A(−1,0),B(5,0)两点,与y轴交于点C. (1)求抛物线的函数表达式; (2)若点P是位于直线BC上方抛物线上的一个动点,求△BPC面积的最大值; (3)若点D是y轴上的一点,且以B、C、D为顶点的三角形与△ABC相似,求点D的坐标; (4)若点E为抛物线的顶点,点F(3,a)是该抛物线上的一点,点M在x轴、点N在y轴上,是否存在点 M、N使四边形EFMN的周长最小,若存在,请直接写出点M、点N的坐标;若不存在,请说明理由. 【答案】(1)y=−x2+4x+5 125 (2) 8 ( 10) (3)D的坐标为(0,−1)或 0,− 3 (11 ) ( 11) (4)M ,0 ,N 0, 17 5 【分析】(1)把A(−1,0),B(5,0)分别代入y=ax2+bx+5,利用待定系数法求解; 1 (2)过点P作PH⊥OB交BC于点H,根据S = OB⋅PH得到S 关于点P的横坐标的二次函数 △PBC 2 △PBC 关系式,进而求出二次函数的最值即可; AB BC AB CD (3)由∠OBC=∠OCB=45°可知:要使△BCD与△ABC相似,则有 = 或 = ,分别求解 BC CD BC BC 【77淘宝店铺:向阳百分百】关注公众号:陆陆高分冲刺 ~领取:最新版“小中高考-总复习”、最新试卷下载 即可; (4)作点E关于y轴的对称点E',作点F(3,a)关于x轴的对称点F',由轴对称的性质可得四边形EFMN 的周长=MN+NE+MF+EF=MN+N E'+M F'+EF,可知当E',F',M,N在一条直线上时,四边形 EFMN的周长取最小值,直线E'F'与x轴、y轴的交点即为点M、N,由此可解. 【详解】(1)解:把A(−1,0),B(5,0)分别代入y=ax2+bx+5得: ¿ , 解得¿, ∴抛物线的表达式为y=−x2+4x+5. (2)解:如图,过点P作PH⊥OB交BC于点H, 令x=0,得y=5, ∴C(0,5), ∴设直线BC的表达式为:y=kx+b, 将C(0,5),B(5,0)代入y=kx+b, 得¿, 解得¿, ∴直线BC的表达式为y=−x+5, 设P(m,−m2+4m+5),则H(m,−m+5), ∴PH=−m2+4m+5+m−5=−m2+5m, ∴S = 1 OB⋅PH= 1 ×5×(−m2+5m)=− 5( m− 5) 2 + 125 , △PBC 2 2 2 2 8 5 125 ∴当m= 时,S 取最大值,最大值为 , 2 △PBC 8 【78淘宝店铺:向阳百分百】关注公众号:陆陆高分冲刺 ~领取:最新版“小中高考-总复习”、最新试卷下载 125 即△BPC面积的最大值为 ; 8 (3)解:如图, ∵C(0,5),B(5,0),A(−1,0), ∴OC=OB=5,AB=5−(−1)=6, ∴∠OBC=∠OCB=45°,BC=√OC2+OB2=5√2, 要使△BCD与△ABC相似, AB BC AB CD 则有 = 或 = , BC CD BC BC AB BC 6 5√2 ①当 = 时, = , BC CD 5√2 CD 25 解得CD= , 3 10 则OD=CD−OC= , 3 ( 10) ∴D 0,− ; 3 AB CD ② 当 = 时,CD=AB=6, BC BC 则OD=CD−OC=6−5=1, ∴D(0,−1), 【79淘宝店铺:向阳百分百】关注公众号:陆陆高分冲刺 ~领取:最新版“小中高考-总复习”、最新试卷下载 ( 10) 即D的坐标为(0,−1)或 0,− ; 3 (4)解:y=−x2+4x+5=−(x−2) 2+9, ∵E为抛物线的顶点, ∴E(2,9), ∵F(3,a)在抛物线上, ∴a=−32+4×3+5=8, ∴F(3,8), 如图,作点E关于y轴的对称点E'(−2,9),作点F关于x轴的对称点F'(3,−8), 由轴对称的性质可知E'N=EN,F'M=FM, ∴四边形EFMN的周长=MN+NE+MF+EF=MN+N E'+M F'+EF, ∴当E',F',M,N在一条直线上时,四边形EFMN的周长取最小值, 因此,直线E'F'与x轴、y轴的交点即为点M、N, 设直线E'F'的解析式为:y=mx+n,将E'(−2,9),F'(3,−8)代入, 得¿, ∴¿, 17 11 ∴直线E'F'的解析式为:y=− x+ , 5 5 【80淘宝店铺:向阳百分百】关注公众号:陆陆高分冲刺 ~领取:最新版“小中高考-总复习”、最新试卷下载 11 当x=0时,y= ; 5 17 11 11 当y=− x+ =0时,x= , 5 5 17 (11 ) ( 11) ∴M ,0 ,N 0, . 17 5 【点睛】本题属于二次函数综合题,考查一次函数、二次函数、轴对称、相似三角形等知识点,综合性较 强,难度较大,解题的关键是综合运用上述知识点,第四问的关键是利用轴对称的性质找出点M和点N的 位置. 27.(2022·广东东莞·东莞市光明中学校考一模)二次函数y=ax2+bx+3(a≠0)的图像与y轴交于点C, (9 ) 与x轴交于点A(1,0)、B ,0 . 2 (1)求a、b的值; (2)P是二次函数图像在第一象限部分上一点,且∠PAB=∠OCA,求P点坐标; (3)在(2)的条件下,有一条长度为1的线段EF落在OA上(E与点O重合,F与点A重合),将线段EF沿 6 x轴正方向以每秒 个单位向右平移,设移动时间为t秒,当四边形CEFP周长最小时,求t的值. 13 2 11 【答案】(1)a= ,b=− 3 3 ( 4) (2)P 5, 3 (3)6 (9 ) 【分析】(1)把A(1,0)、B ,0 代入数y=ax2+bx+3即可得出结果; 2 (2)先得出tan∠PAB= 1 ,设P ( x, 2 x2− 11 x+3 ) (0 9 ),如图:过点P作.PD⊥x.轴于 3 3 3 2 【81淘宝店铺:向阳百分百】关注公众号:陆陆高分冲刺 ~领取:最新版“小中高考-总复习”、最新试卷下载 2 11 x2− x+3 点D,根据解直角三角形得出 PD 3 3 1,得出P点坐标; tan∠PAD= = = AD x−1 3 (3)作P 关于x轴的对称点P ,先求CP 的解析式,得出当CE+PF值最小时,四边形CEFP的周长最小, 1 2 2 连接EP ,根据两点之间线段最短可得:当C,E,P 三点共线,CE+EP =CP 时,CE+EP 最短, 1 2 2 2 2 得出结论. (9 ) 【详解】(1)解:把A(1,0)、B ,0 代入数y=ax2+bx+3 2 2 11 得:¿,解得:a= ,b=− , 3 3 2 11 ∴a的值为: ,b的值为:− . 3 3 2 11 (2)解:由y= x2− x+3,令x=0,则y=3, 3 3 ∴C(0,3),即OC=3 ∵OA=1,OC=3, AO 1 ∴在Rt△AOC中,tan∠ACO= = , CO 3 ∵∠PAB=∠OCA, 1 ∴tan∠PAB= , 3 设P ( x, 2 x2− 11 x+3 ) (0 9 ), 3 3 2 过点P作PD⊥x轴于点D, ∴AD=OD−OA=x−1, 在Rt△PAD中, 2 11 x2− x+3 PD 3 3 1, tan∠PAD= = = AD x−1 3 ∴x=5, ∴x−1≠0, 2 11 2 11 4 当x=5时, x2− x+3= ×52− ×5+3= , 3 3 3 3 3 ( 4) ∴P 5, . 3 【82淘宝店铺:向阳百分百】关注公众号:陆陆高分冲刺 ~领取:最新版“小中高考-总复习”、最新试卷下载 6 6 (3)解:由题意得:OE= t,OF= t+1,即F向左平移1个单位到点E, 13 13 ( 4) ( 4) 将P 5, 向左平移1个单位到P 4, , 3 1 3 ( 4) 作P 关于x轴的对称点P ,则P 4,− , 1 2 2 3 连接CP , 2 设CP :y=kx+b(k≠0), 2 ( 4) 把C(0,3),P 4,− 代入得: 2 3 ¿,解得:¿, 13 ∴CP :y=− x+3, 2 12 13 令y=0,则0=− x+3, 12 36 (36 ) ∴x= ,即CP 与x轴的交点为 ,0 , 13 2 13 (36 ) (49 ) ∴当E ,0 ,F ,0 时,四边形CEFP的周长最短, 13 13 ∵四边形CEFP的周长=CP+EF+CE+PF,且CP,EF是定长, ∴当CE+PF值最小时,四边形CEFP的周长最小, 连接EP , 1 ∵PP =1=EF,且PP //EF, 1 1 ∴四边形EFPP 是平行四边形, 1 ∴EP =PF, 1 ∵P ,P 关于x轴对称,E是x轴上的点, 1 2 【83淘宝店铺:向阳百分百】关注公众号:陆陆高分冲刺 ~领取:最新版“小中高考-总复习”、最新试卷下载 ∴EP =EP , 1 2 ∴EP =PF, 2 ∴CE+PF=CE+EP , 2 根据两点之间线段最短可得:当C,E,P 三点共线,CE+EP =CP 时,CE+EP 最短, 2 2 2 2 (36 ) 即E ,0 时,四边形CEFP的周长最小, 13 6 36 ∴ t= ,t=6s, 13 13 即当t=6s时,四边形CEFP的周长最小. 【点睛】本题考查了二次函数的性质、轴对称的性质、平行四边形的判定与性质、解直角三角形等知识点, 正确作出辅助线是解答本题的关键. 28.(2022·安徽六安·校考一模)如图,直线AB∶y=x-3与x轴、y轴分别交于A,B两点,抛物线y=x²+bx+c 经过点A,B,抛物线的对称轴与x轴交于点D,与直线AB交于点N,顶点为C (1)求抛物线的解析式; (2)点M在线段BN上运动,过点M作线段EF平行于y 轴,分别交抛物线于点F,交x轴于点E,作 FG⊥CD于点G; ①若设E(t,0),试用含t的式子表示 DE的长度; 【84淘宝店铺:向阳百分百】关注公众号:陆陆高分冲刺 ~领取:最新版“小中高考-总复习”、最新试卷下载 ②试求四边形 EFGD的周长取得最大值. 【答案】(1)y=x2−2x−3 17 (2)①DE=1−t;② 2 【分析】(1)由直线AB∶y=x-3,求出其与x轴、y轴的交点坐标,再代入二次函数解析式,求解即可; (2)①由抛物线的解析式得出它的对称轴,对称轴与x轴交点的横坐标减去点 E 的横坐标,就是 DE 的 长度; ②用含t的代数式表示 EF 的长度,再表示矩形 EFGD 的周长,将得到的二次函数解析式转化为顶点式, 求四边形 EFGD周长最大时 t的值即可. 【详解】(1)∵直线AB∶y=x-3,令x=0 得y=−3 ,令y=0 得x=3 ∴A(3,0),B(0,−3) 将A、B的坐标代入y=x²+bx+c 0=9+3b+c b=−2 得{ 解得{ −3=c c=−3 ∴ 抛物线的解析式为y=x2−2x−3 (2)①∵y=x2−2x−3=(x−1) 2−4 ∴D(1,0) ∵ E(t,0) ∴DE=1−t ②∵ E(t,0) ∴M(t,t−3),F(t,t2−2t−3) ∴EF=−(t2−2t−3)=−t2+2t+3 1 2 17 ∴ 四边形 EFGD的周长=2(1−t−t2+2t+3)=−2t2+2t+8=−2(t− ) + 2 2 ∵−2<0,00, ∴¿,解得¿, ∴抛物线的解析式为:y=−x2−2x+3. (2)解:方法一:连接OP, 设P(m,n),易知−30, ∵AO=CO=3,BO=1, 【93淘宝店铺:向阳百分百】关注公众号:陆陆高分冲刺 ~领取:最新版“小中高考-总复习”、最新试卷下载 ∴四边形PABC的面积S=S +S +S , ΔPAO ΔPCO ΔBCO 1 1 1 ∴S= ×3n+ ×3⋅(−m)+ ×3×1 2 2 2 3 = (n−m+1) 2 又∵n=−m2−2m+3, ∴S= 3 (−m2−3m+4)=− 3( m+ 3) 2 + 75 2 2 2 8 3 75 ∴当m=− 时,S = , 2 最大 8 ( 3 15) ∴此时P点的坐标为 − , ; 2 4 方法二:易知A(−3,0),C(0,3),故直线AC的方程为y=x+3 设P(x,−x2−2x+3)(−30, ∴ ¿(舍去), 故¿, 3 ∴当n=0时,y=− , 2 ( 3) ∴E 0,− , 2 3 ∴当x=0时,k×0−k=− 2 3 解得:k= ; 2 EG ②当 =4时,如图, FG 【12淘4 宝店铺:向阳百分百】关注公众号:陆陆高分冲刺 ~领取:最新版“小中高考-总复习”、最新试卷下载 由①同理可求¿, 1 3 ∴当n=−3时,y= ×9+3− =6, 2 2 ∴E(−3,6), ∴当x=−3时,−3k−k=6, 3 解得:k=− ; 2 3 3 综上所述:k的值为 或− . 2 2 (3)解:定值,∠EMF=90°; 理由:如图,分别过E、F作y轴的平行线交过M作x轴的平行线于C、D, ∴∠ECM=∠FDM=90°, ∴∠DMF+∠DFM=90°, 1 3 由(2)得: x2−x− =kx−k, 2 2 整理得:x2−(2+2k)x+2k−3=0, ∴¿, ∴m+n−mn=5, 【12淘5 宝店铺:向阳百分百】关注公众号:陆陆高分冲刺 ~领取:最新版“小中高考-总复习”、最新试卷下载 ∴m+n−mn−1=4, ∴(m−1)(1−n)=4, 4 ∴1−n= , m−1 MD 在Rt△FDM中,tan∠DMF= FD m−1 = 1 3 m2−m− +2 2 2 2 = , m−1 EC 在Rt△CME中,tan∠CME= CM 1 3 n2−n− +2 2 2 = 1−n 1 = (1−n), 2 1 4 = × 2 m−1 2 = , m−1 ∴tan∠DMF=tan∠CME, ∴∠DMF=∠CME, ∴∠DMF+∠CME=90°, ∴∠EMF=90°. 【点睛】本题主要考查了二次函数的综合应用,待定系数法求二次函数解析式,一般角的三角函数,直线 与抛物线交点问题,平行线分线段成比例定理,一元二次方程根与系数的关系等,用辅助未知数的式子表 示相关点坐标和相关线段的长度是解题的关键. 13.(2023·安徽合肥·校考一模)已知抛物线y=x2与直线l:y=kx+8相交于A、B两点(点A在点B的左 侧),点M为线段AB下方抛物线上一动点,过点M作MG∥y轴交AB于点G. MG (1)当AB∥x轴时,①求点A、B的坐标;②求 的值; GA⋅GB MG (2)当k=2时, 的值是否为定值?若是,请求出这个定值;若不是,请说明理由; GA⋅GB 【12淘6 宝店铺:向阳百分百】关注公众号:陆陆高分冲刺 ~领取:最新版“小中高考-总复习”、最新试卷下载 【答案】(1)①A(−2√2,8),B(2√2,8);②1 (2)是定值,理由见解析 【分析】(1)①利用AB∥x轴,则y=8,将y=8代入抛物线的解析式求得x值,则点A,B的横坐标可 求,纵坐标为8,结论可得; ②设M(n,n2),分别用A,B,M,G的坐标表示出线段MG,GA,GB,代入运算即可得出结论; (2)将两解析式联立求得A,B的坐标,设M(m,m2),则G(m,2m+8),分别用A,B,M,G的坐标表 示出线段MG,GA,GB,代入运算即可得出结论. 【详解】(1)解:①当AB∥x轴时,k=0,则y=8, 对于y=x2,当y=8时, x2=8, 解得x=±2√2, ∴A(−2√2,8),B(2√2,8). ②∵点M为线段AB下方抛物线上一动点, 设M(n,n2),则G(n,8), ∴GM=8−n2,GA=n+2√2,GB=2√2−n, MG 8−n2 ∴ = =1. GA⋅GB (n+2√2)(2√2−n) (2)是定值. ∵k=2, ∴直线l:y=2x+8, 设M(m,m2),则G(m,2m+8), ∴MG=2m+8−m2=−(m−4)(m+2). 令x2=2x+8,解得x =−2,x =4, 1 2 ∵点A在点B的左侧,点M为线段AB下方抛物线上一动点, ∴A(−2,4),B(4,16),−2
基本 文件 流程 错误 SQL 调试
  1. 请求信息 : 2026-03-03 04:02:37 HTTP/1.1 GET : https://www.yeyulingfeng.com/wendang/330952.html
  2. 运行时间 : 0.218417s [ 吞吐率:4.58req/s ] 内存消耗:6,490.13kb 文件加载:144
  3. 缓存信息 : 0 reads,0 writes
  4. 会话信息 : SESSION_ID=384a206e2f919a529e5a9bb1bcb8c91f
  1. /yingpanguazai/ssd/ssd1/www/wwww.yeyulingfeng.com/public/index.php ( 0.79 KB )
  2. /yingpanguazai/ssd/ssd1/www/wwww.yeyulingfeng.com/vendor/autoload.php ( 0.17 KB )
  3. /yingpanguazai/ssd/ssd1/www/wwww.yeyulingfeng.com/vendor/composer/autoload_real.php ( 2.49 KB )
  4. /yingpanguazai/ssd/ssd1/www/wwww.yeyulingfeng.com/vendor/composer/platform_check.php ( 0.90 KB )
  5. /yingpanguazai/ssd/ssd1/www/wwww.yeyulingfeng.com/vendor/composer/ClassLoader.php ( 14.03 KB )
  6. /yingpanguazai/ssd/ssd1/www/wwww.yeyulingfeng.com/vendor/composer/autoload_static.php ( 6.05 KB )
  7. /yingpanguazai/ssd/ssd1/www/wwww.yeyulingfeng.com/vendor/topthink/think-helper/src/helper.php ( 8.34 KB )
  8. /yingpanguazai/ssd/ssd1/www/wwww.yeyulingfeng.com/vendor/topthink/think-validate/src/helper.php ( 2.19 KB )
  9. /yingpanguazai/ssd/ssd1/www/wwww.yeyulingfeng.com/vendor/ralouphie/getallheaders/src/getallheaders.php ( 1.60 KB )
  10. /yingpanguazai/ssd/ssd1/www/wwww.yeyulingfeng.com/vendor/topthink/think-orm/src/helper.php ( 1.47 KB )
  11. /yingpanguazai/ssd/ssd1/www/wwww.yeyulingfeng.com/vendor/topthink/think-orm/stubs/load_stubs.php ( 0.16 KB )
  12. /yingpanguazai/ssd/ssd1/www/wwww.yeyulingfeng.com/vendor/topthink/framework/src/think/Exception.php ( 1.69 KB )
  13. /yingpanguazai/ssd/ssd1/www/wwww.yeyulingfeng.com/vendor/topthink/think-container/src/Facade.php ( 2.71 KB )
  14. /yingpanguazai/ssd/ssd1/www/wwww.yeyulingfeng.com/vendor/symfony/deprecation-contracts/function.php ( 0.99 KB )
  15. /yingpanguazai/ssd/ssd1/www/wwww.yeyulingfeng.com/vendor/symfony/polyfill-mbstring/bootstrap.php ( 8.26 KB )
  16. /yingpanguazai/ssd/ssd1/www/wwww.yeyulingfeng.com/vendor/symfony/polyfill-mbstring/bootstrap80.php ( 9.78 KB )
  17. /yingpanguazai/ssd/ssd1/www/wwww.yeyulingfeng.com/vendor/symfony/var-dumper/Resources/functions/dump.php ( 1.49 KB )
  18. /yingpanguazai/ssd/ssd1/www/wwww.yeyulingfeng.com/vendor/topthink/think-dumper/src/helper.php ( 0.18 KB )
  19. /yingpanguazai/ssd/ssd1/www/wwww.yeyulingfeng.com/vendor/symfony/var-dumper/VarDumper.php ( 4.30 KB )
  20. /yingpanguazai/ssd/ssd1/www/wwww.yeyulingfeng.com/vendor/guzzlehttp/guzzle/src/functions_include.php ( 0.16 KB )
  21. /yingpanguazai/ssd/ssd1/www/wwww.yeyulingfeng.com/vendor/guzzlehttp/guzzle/src/functions.php ( 5.54 KB )
  22. /yingpanguazai/ssd/ssd1/www/wwww.yeyulingfeng.com/vendor/topthink/framework/src/think/App.php ( 15.30 KB )
  23. /yingpanguazai/ssd/ssd1/www/wwww.yeyulingfeng.com/vendor/topthink/think-container/src/Container.php ( 15.76 KB )
  24. /yingpanguazai/ssd/ssd1/www/wwww.yeyulingfeng.com/vendor/psr/container/src/ContainerInterface.php ( 1.02 KB )
  25. /yingpanguazai/ssd/ssd1/www/wwww.yeyulingfeng.com/app/provider.php ( 0.19 KB )
  26. /yingpanguazai/ssd/ssd1/www/wwww.yeyulingfeng.com/vendor/topthink/framework/src/think/Http.php ( 6.04 KB )
  27. /yingpanguazai/ssd/ssd1/www/wwww.yeyulingfeng.com/vendor/topthink/think-helper/src/helper/Str.php ( 7.29 KB )
  28. /yingpanguazai/ssd/ssd1/www/wwww.yeyulingfeng.com/vendor/topthink/framework/src/think/Env.php ( 4.68 KB )
  29. /yingpanguazai/ssd/ssd1/www/wwww.yeyulingfeng.com/app/common.php ( 0.03 KB )
  30. /yingpanguazai/ssd/ssd1/www/wwww.yeyulingfeng.com/vendor/topthink/framework/src/helper.php ( 18.78 KB )
  31. /yingpanguazai/ssd/ssd1/www/wwww.yeyulingfeng.com/vendor/topthink/framework/src/think/Config.php ( 5.54 KB )
  32. /yingpanguazai/ssd/ssd1/www/wwww.yeyulingfeng.com/config/alipay.php ( 3.59 KB )
  33. /yingpanguazai/ssd/ssd1/www/wwww.yeyulingfeng.com/vendor/topthink/framework/src/think/facade/Env.php ( 1.67 KB )
  34. /yingpanguazai/ssd/ssd1/www/wwww.yeyulingfeng.com/config/app.php ( 0.95 KB )
  35. /yingpanguazai/ssd/ssd1/www/wwww.yeyulingfeng.com/config/cache.php ( 0.78 KB )
  36. /yingpanguazai/ssd/ssd1/www/wwww.yeyulingfeng.com/config/console.php ( 0.23 KB )
  37. /yingpanguazai/ssd/ssd1/www/wwww.yeyulingfeng.com/config/cookie.php ( 0.56 KB )
  38. /yingpanguazai/ssd/ssd1/www/wwww.yeyulingfeng.com/config/database.php ( 2.48 KB )
  39. /yingpanguazai/ssd/ssd1/www/wwww.yeyulingfeng.com/config/filesystem.php ( 0.61 KB )
  40. /yingpanguazai/ssd/ssd1/www/wwww.yeyulingfeng.com/config/lang.php ( 0.91 KB )
  41. /yingpanguazai/ssd/ssd1/www/wwww.yeyulingfeng.com/config/log.php ( 1.35 KB )
  42. /yingpanguazai/ssd/ssd1/www/wwww.yeyulingfeng.com/config/middleware.php ( 0.19 KB )
  43. /yingpanguazai/ssd/ssd1/www/wwww.yeyulingfeng.com/config/route.php ( 1.89 KB )
  44. /yingpanguazai/ssd/ssd1/www/wwww.yeyulingfeng.com/config/session.php ( 0.57 KB )
  45. /yingpanguazai/ssd/ssd1/www/wwww.yeyulingfeng.com/config/trace.php ( 0.34 KB )
  46. /yingpanguazai/ssd/ssd1/www/wwww.yeyulingfeng.com/config/view.php ( 0.82 KB )
  47. /yingpanguazai/ssd/ssd1/www/wwww.yeyulingfeng.com/app/event.php ( 0.25 KB )
  48. /yingpanguazai/ssd/ssd1/www/wwww.yeyulingfeng.com/vendor/topthink/framework/src/think/Event.php ( 7.67 KB )
  49. /yingpanguazai/ssd/ssd1/www/wwww.yeyulingfeng.com/app/service.php ( 0.13 KB )
  50. /yingpanguazai/ssd/ssd1/www/wwww.yeyulingfeng.com/app/AppService.php ( 0.26 KB )
  51. /yingpanguazai/ssd/ssd1/www/wwww.yeyulingfeng.com/vendor/topthink/framework/src/think/Service.php ( 1.64 KB )
  52. /yingpanguazai/ssd/ssd1/www/wwww.yeyulingfeng.com/vendor/topthink/framework/src/think/Lang.php ( 7.35 KB )
  53. /yingpanguazai/ssd/ssd1/www/wwww.yeyulingfeng.com/vendor/topthink/framework/src/lang/zh-cn.php ( 13.70 KB )
  54. /yingpanguazai/ssd/ssd1/www/wwww.yeyulingfeng.com/vendor/topthink/framework/src/think/initializer/Error.php ( 3.31 KB )
  55. /yingpanguazai/ssd/ssd1/www/wwww.yeyulingfeng.com/vendor/topthink/framework/src/think/initializer/RegisterService.php ( 1.33 KB )
  56. /yingpanguazai/ssd/ssd1/www/wwww.yeyulingfeng.com/vendor/services.php ( 0.14 KB )
  57. /yingpanguazai/ssd/ssd1/www/wwww.yeyulingfeng.com/vendor/topthink/framework/src/think/service/PaginatorService.php ( 1.52 KB )
  58. /yingpanguazai/ssd/ssd1/www/wwww.yeyulingfeng.com/vendor/topthink/framework/src/think/service/ValidateService.php ( 0.99 KB )
  59. /yingpanguazai/ssd/ssd1/www/wwww.yeyulingfeng.com/vendor/topthink/framework/src/think/service/ModelService.php ( 2.04 KB )
  60. /yingpanguazai/ssd/ssd1/www/wwww.yeyulingfeng.com/vendor/topthink/think-trace/src/Service.php ( 0.77 KB )
  61. /yingpanguazai/ssd/ssd1/www/wwww.yeyulingfeng.com/vendor/topthink/framework/src/think/Middleware.php ( 6.72 KB )
  62. /yingpanguazai/ssd/ssd1/www/wwww.yeyulingfeng.com/vendor/topthink/framework/src/think/initializer/BootService.php ( 0.77 KB )
  63. /yingpanguazai/ssd/ssd1/www/wwww.yeyulingfeng.com/vendor/topthink/think-orm/src/Paginator.php ( 11.86 KB )
  64. /yingpanguazai/ssd/ssd1/www/wwww.yeyulingfeng.com/vendor/topthink/think-validate/src/Validate.php ( 63.20 KB )
  65. /yingpanguazai/ssd/ssd1/www/wwww.yeyulingfeng.com/vendor/topthink/think-orm/src/Model.php ( 23.55 KB )
  66. /yingpanguazai/ssd/ssd1/www/wwww.yeyulingfeng.com/vendor/topthink/think-orm/src/model/concern/Attribute.php ( 21.05 KB )
  67. /yingpanguazai/ssd/ssd1/www/wwww.yeyulingfeng.com/vendor/topthink/think-orm/src/model/concern/AutoWriteData.php ( 4.21 KB )
  68. /yingpanguazai/ssd/ssd1/www/wwww.yeyulingfeng.com/vendor/topthink/think-orm/src/model/concern/Conversion.php ( 6.44 KB )
  69. /yingpanguazai/ssd/ssd1/www/wwww.yeyulingfeng.com/vendor/topthink/think-orm/src/model/concern/DbConnect.php ( 5.16 KB )
  70. /yingpanguazai/ssd/ssd1/www/wwww.yeyulingfeng.com/vendor/topthink/think-orm/src/model/concern/ModelEvent.php ( 2.33 KB )
  71. /yingpanguazai/ssd/ssd1/www/wwww.yeyulingfeng.com/vendor/topthink/think-orm/src/model/concern/RelationShip.php ( 28.29 KB )
  72. /yingpanguazai/ssd/ssd1/www/wwww.yeyulingfeng.com/vendor/topthink/think-helper/src/contract/Arrayable.php ( 0.09 KB )
  73. /yingpanguazai/ssd/ssd1/www/wwww.yeyulingfeng.com/vendor/topthink/think-helper/src/contract/Jsonable.php ( 0.13 KB )
  74. /yingpanguazai/ssd/ssd1/www/wwww.yeyulingfeng.com/vendor/topthink/think-orm/src/model/contract/Modelable.php ( 0.09 KB )
  75. /yingpanguazai/ssd/ssd1/www/wwww.yeyulingfeng.com/vendor/topthink/framework/src/think/Db.php ( 2.88 KB )
  76. /yingpanguazai/ssd/ssd1/www/wwww.yeyulingfeng.com/vendor/topthink/think-orm/src/DbManager.php ( 8.52 KB )
  77. /yingpanguazai/ssd/ssd1/www/wwww.yeyulingfeng.com/vendor/topthink/framework/src/think/Log.php ( 6.28 KB )
  78. /yingpanguazai/ssd/ssd1/www/wwww.yeyulingfeng.com/vendor/topthink/framework/src/think/Manager.php ( 3.92 KB )
  79. /yingpanguazai/ssd/ssd1/www/wwww.yeyulingfeng.com/vendor/psr/log/src/LoggerTrait.php ( 2.69 KB )
  80. /yingpanguazai/ssd/ssd1/www/wwww.yeyulingfeng.com/vendor/psr/log/src/LoggerInterface.php ( 2.71 KB )
  81. /yingpanguazai/ssd/ssd1/www/wwww.yeyulingfeng.com/vendor/topthink/framework/src/think/Cache.php ( 4.92 KB )
  82. /yingpanguazai/ssd/ssd1/www/wwww.yeyulingfeng.com/vendor/psr/simple-cache/src/CacheInterface.php ( 4.71 KB )
  83. /yingpanguazai/ssd/ssd1/www/wwww.yeyulingfeng.com/vendor/topthink/think-helper/src/helper/Arr.php ( 16.63 KB )
  84. /yingpanguazai/ssd/ssd1/www/wwww.yeyulingfeng.com/vendor/topthink/framework/src/think/cache/driver/File.php ( 7.84 KB )
  85. /yingpanguazai/ssd/ssd1/www/wwww.yeyulingfeng.com/vendor/topthink/framework/src/think/cache/Driver.php ( 9.03 KB )
  86. /yingpanguazai/ssd/ssd1/www/wwww.yeyulingfeng.com/vendor/topthink/framework/src/think/contract/CacheHandlerInterface.php ( 1.99 KB )
  87. /yingpanguazai/ssd/ssd1/www/wwww.yeyulingfeng.com/app/Request.php ( 0.09 KB )
  88. /yingpanguazai/ssd/ssd1/www/wwww.yeyulingfeng.com/vendor/topthink/framework/src/think/Request.php ( 55.78 KB )
  89. /yingpanguazai/ssd/ssd1/www/wwww.yeyulingfeng.com/app/middleware.php ( 0.25 KB )
  90. /yingpanguazai/ssd/ssd1/www/wwww.yeyulingfeng.com/vendor/topthink/framework/src/think/Pipeline.php ( 2.61 KB )
  91. /yingpanguazai/ssd/ssd1/www/wwww.yeyulingfeng.com/vendor/topthink/think-trace/src/TraceDebug.php ( 3.40 KB )
  92. /yingpanguazai/ssd/ssd1/www/wwww.yeyulingfeng.com/vendor/topthink/framework/src/think/middleware/SessionInit.php ( 1.94 KB )
  93. /yingpanguazai/ssd/ssd1/www/wwww.yeyulingfeng.com/vendor/topthink/framework/src/think/Session.php ( 1.80 KB )
  94. /yingpanguazai/ssd/ssd1/www/wwww.yeyulingfeng.com/vendor/topthink/framework/src/think/session/driver/File.php ( 6.27 KB )
  95. /yingpanguazai/ssd/ssd1/www/wwww.yeyulingfeng.com/vendor/topthink/framework/src/think/contract/SessionHandlerInterface.php ( 0.87 KB )
  96. /yingpanguazai/ssd/ssd1/www/wwww.yeyulingfeng.com/vendor/topthink/framework/src/think/session/Store.php ( 7.12 KB )
  97. /yingpanguazai/ssd/ssd1/www/wwww.yeyulingfeng.com/vendor/topthink/framework/src/think/Route.php ( 23.73 KB )
  98. /yingpanguazai/ssd/ssd1/www/wwww.yeyulingfeng.com/vendor/topthink/framework/src/think/route/RuleName.php ( 5.75 KB )
  99. /yingpanguazai/ssd/ssd1/www/wwww.yeyulingfeng.com/vendor/topthink/framework/src/think/route/Domain.php ( 2.53 KB )
  100. /yingpanguazai/ssd/ssd1/www/wwww.yeyulingfeng.com/vendor/topthink/framework/src/think/route/RuleGroup.php ( 22.43 KB )
  101. /yingpanguazai/ssd/ssd1/www/wwww.yeyulingfeng.com/vendor/topthink/framework/src/think/route/Rule.php ( 26.95 KB )
  102. /yingpanguazai/ssd/ssd1/www/wwww.yeyulingfeng.com/vendor/topthink/framework/src/think/route/RuleItem.php ( 9.78 KB )
  103. /yingpanguazai/ssd/ssd1/www/wwww.yeyulingfeng.com/route/app.php ( 3.63 KB )
  104. /yingpanguazai/ssd/ssd1/www/wwww.yeyulingfeng.com/vendor/topthink/framework/src/think/facade/Route.php ( 4.70 KB )
  105. /yingpanguazai/ssd/ssd1/www/wwww.yeyulingfeng.com/vendor/topthink/framework/src/think/route/dispatch/Controller.php ( 4.74 KB )
  106. /yingpanguazai/ssd/ssd1/www/wwww.yeyulingfeng.com/vendor/topthink/framework/src/think/route/Dispatch.php ( 10.44 KB )
  107. /yingpanguazai/ssd/ssd1/www/wwww.yeyulingfeng.com/app/controller/Index.php ( 9.50 KB )
  108. /yingpanguazai/ssd/ssd1/www/wwww.yeyulingfeng.com/app/BaseController.php ( 2.05 KB )
  109. /yingpanguazai/ssd/ssd1/www/wwww.yeyulingfeng.com/vendor/topthink/think-orm/src/facade/Db.php ( 0.93 KB )
  110. /yingpanguazai/ssd/ssd1/www/wwww.yeyulingfeng.com/vendor/topthink/think-orm/src/db/connector/Mysql.php ( 5.44 KB )
  111. /yingpanguazai/ssd/ssd1/www/wwww.yeyulingfeng.com/vendor/topthink/think-orm/src/db/PDOConnection.php ( 52.47 KB )
  112. /yingpanguazai/ssd/ssd1/www/wwww.yeyulingfeng.com/vendor/topthink/think-orm/src/db/Connection.php ( 8.39 KB )
  113. /yingpanguazai/ssd/ssd1/www/wwww.yeyulingfeng.com/vendor/topthink/think-orm/src/db/ConnectionInterface.php ( 4.57 KB )
  114. /yingpanguazai/ssd/ssd1/www/wwww.yeyulingfeng.com/vendor/topthink/think-orm/src/db/builder/Mysql.php ( 16.58 KB )
  115. /yingpanguazai/ssd/ssd1/www/wwww.yeyulingfeng.com/vendor/topthink/think-orm/src/db/Builder.php ( 24.06 KB )
  116. /yingpanguazai/ssd/ssd1/www/wwww.yeyulingfeng.com/vendor/topthink/think-orm/src/db/BaseBuilder.php ( 27.50 KB )
  117. /yingpanguazai/ssd/ssd1/www/wwww.yeyulingfeng.com/vendor/topthink/think-orm/src/db/Query.php ( 15.71 KB )
  118. /yingpanguazai/ssd/ssd1/www/wwww.yeyulingfeng.com/vendor/topthink/think-orm/src/db/BaseQuery.php ( 45.13 KB )
  119. /yingpanguazai/ssd/ssd1/www/wwww.yeyulingfeng.com/vendor/topthink/think-orm/src/db/concern/TimeFieldQuery.php ( 7.43 KB )
  120. /yingpanguazai/ssd/ssd1/www/wwww.yeyulingfeng.com/vendor/topthink/think-orm/src/db/concern/AggregateQuery.php ( 3.26 KB )
  121. /yingpanguazai/ssd/ssd1/www/wwww.yeyulingfeng.com/vendor/topthink/think-orm/src/db/concern/ModelRelationQuery.php ( 20.07 KB )
  122. /yingpanguazai/ssd/ssd1/www/wwww.yeyulingfeng.com/vendor/topthink/think-orm/src/db/concern/ParamsBind.php ( 3.66 KB )
  123. /yingpanguazai/ssd/ssd1/www/wwww.yeyulingfeng.com/vendor/topthink/think-orm/src/db/concern/ResultOperation.php ( 7.01 KB )
  124. /yingpanguazai/ssd/ssd1/www/wwww.yeyulingfeng.com/vendor/topthink/think-orm/src/db/concern/WhereQuery.php ( 19.37 KB )
  125. /yingpanguazai/ssd/ssd1/www/wwww.yeyulingfeng.com/vendor/topthink/think-orm/src/db/concern/JoinAndViewQuery.php ( 7.11 KB )
  126. /yingpanguazai/ssd/ssd1/www/wwww.yeyulingfeng.com/vendor/topthink/think-orm/src/db/concern/TableFieldInfo.php ( 2.63 KB )
  127. /yingpanguazai/ssd/ssd1/www/wwww.yeyulingfeng.com/vendor/topthink/think-orm/src/db/concern/Transaction.php ( 2.77 KB )
  128. /yingpanguazai/ssd/ssd1/www/wwww.yeyulingfeng.com/vendor/topthink/framework/src/think/log/driver/File.php ( 5.96 KB )
  129. /yingpanguazai/ssd/ssd1/www/wwww.yeyulingfeng.com/vendor/topthink/framework/src/think/contract/LogHandlerInterface.php ( 0.86 KB )
  130. /yingpanguazai/ssd/ssd1/www/wwww.yeyulingfeng.com/vendor/topthink/framework/src/think/log/Channel.php ( 3.89 KB )
  131. /yingpanguazai/ssd/ssd1/www/wwww.yeyulingfeng.com/vendor/topthink/framework/src/think/event/LogRecord.php ( 1.02 KB )
  132. /yingpanguazai/ssd/ssd1/www/wwww.yeyulingfeng.com/vendor/topthink/think-helper/src/Collection.php ( 16.47 KB )
  133. /yingpanguazai/ssd/ssd1/www/wwww.yeyulingfeng.com/vendor/topthink/framework/src/think/facade/View.php ( 1.70 KB )
  134. /yingpanguazai/ssd/ssd1/www/wwww.yeyulingfeng.com/vendor/topthink/framework/src/think/View.php ( 4.39 KB )
  135. /yingpanguazai/ssd/ssd1/www/wwww.yeyulingfeng.com/vendor/topthink/framework/src/think/Response.php ( 8.81 KB )
  136. /yingpanguazai/ssd/ssd1/www/wwww.yeyulingfeng.com/vendor/topthink/framework/src/think/response/View.php ( 3.29 KB )
  137. /yingpanguazai/ssd/ssd1/www/wwww.yeyulingfeng.com/vendor/topthink/framework/src/think/Cookie.php ( 6.06 KB )
  138. /yingpanguazai/ssd/ssd1/www/wwww.yeyulingfeng.com/vendor/topthink/think-view/src/Think.php ( 8.38 KB )
  139. /yingpanguazai/ssd/ssd1/www/wwww.yeyulingfeng.com/vendor/topthink/framework/src/think/contract/TemplateHandlerInterface.php ( 1.60 KB )
  140. /yingpanguazai/ssd/ssd1/www/wwww.yeyulingfeng.com/vendor/topthink/think-template/src/Template.php ( 46.61 KB )
  141. /yingpanguazai/ssd/ssd1/www/wwww.yeyulingfeng.com/vendor/topthink/think-template/src/template/driver/File.php ( 2.41 KB )
  142. /yingpanguazai/ssd/ssd1/www/wwww.yeyulingfeng.com/vendor/topthink/think-template/src/template/contract/DriverInterface.php ( 0.86 KB )
  143. /yingpanguazai/ssd/ssd1/www/wwww.yeyulingfeng.com/runtime/temp/10a0c909b6afa23b5a52a2e2d58c3c0f.php ( 21.72 KB )
  144. /yingpanguazai/ssd/ssd1/www/wwww.yeyulingfeng.com/vendor/topthink/think-trace/src/Html.php ( 4.42 KB )
  1. CONNECT:[ UseTime:0.001013s ] mysql:host=127.0.0.1;port=3306;dbname=wenku;charset=utf8mb4
  2. SHOW FULL COLUMNS FROM `fenlei` [ RunTime:0.001524s ]
  3. SELECT * FROM `fenlei` WHERE `fid` = 0 [ RunTime:0.000715s ]
  4. SELECT * FROM `fenlei` WHERE `fid` = 63 [ RunTime:0.000684s ]
  5. SHOW FULL COLUMNS FROM `set` [ RunTime:0.001342s ]
  6. SELECT * FROM `set` [ RunTime:0.000562s ]
  7. SHOW FULL COLUMNS FROM `wendang` [ RunTime:0.001507s ]
  8. SELECT * FROM `wendang` WHERE `id` = 330952 LIMIT 1 [ RunTime:0.004871s ]
  9. UPDATE `wendang` SET `liulancishu` = 3 WHERE `id` = 330952 [ RunTime:0.003024s ]
  10. UPDATE `wendang` SET `lasttime` = 1772481757 WHERE `id` = 330952 [ RunTime:0.001371s ]
  11. SELECT * FROM `wendang` WHERE `id` < 330952 ORDER BY `id` DESC LIMIT 1 [ RunTime:0.001225s ]
  12. SELECT * FROM `wendang` WHERE `id` > 330952 ORDER BY `id` ASC LIMIT 1 [ RunTime:0.001044s ]
  13. SELECT * FROM `wendang` WHERE `id` <> 330952 ORDER BY `id` DESC LIMIT 10 [ RunTime:0.004869s ]
  14. SELECT * FROM `wendang` WHERE `id` <> 330952 ORDER BY `id` DESC LIMIT 10,10 [ RunTime:0.014275s ]
  15. SELECT * FROM `wendang` WHERE `id` <> 330952 ORDER BY `id` DESC LIMIT 20,10 [ RunTime:0.012772s ]
0.222324s