当前位置:首页>文档>专题有理数的乘除法计算题(8大题型提分练)(原卷版)_北师大初中数学_7上-北师大版初中数学_7上-初中数学北师大(2024新版)持续更新_03课件+练习

专题有理数的乘除法计算题(8大题型提分练)(原卷版)_北师大初中数学_7上-北师大版初中数学_7上-初中数学北师大(2024新版)持续更新_03课件+练习

  • 2026-05-08 15:54:13 2026-04-13 21:51:46

文档预览

专题有理数的乘除法计算题(8大题型提分练)(原卷版)_北师大初中数学_7上-北师大版初中数学_7上-初中数学北师大(2024新版)持续更新_03课件+练习
专题有理数的乘除法计算题(8大题型提分练)(原卷版)_北师大初中数学_7上-北师大版初中数学_7上-初中数学北师大(2024新版)持续更新_03课件+练习
专题有理数的乘除法计算题(8大题型提分练)(原卷版)_北师大初中数学_7上-北师大版初中数学_7上-初中数学北师大(2024新版)持续更新_03课件+练习
专题有理数的乘除法计算题(8大题型提分练)(原卷版)_北师大初中数学_7上-北师大版初中数学_7上-初中数学北师大(2024新版)持续更新_03课件+练习
专题有理数的乘除法计算题(8大题型提分练)(原卷版)_北师大初中数学_7上-北师大版初中数学_7上-初中数学北师大(2024新版)持续更新_03课件+练习
专题有理数的乘除法计算题(8大题型提分练)(原卷版)_北师大初中数学_7上-北师大版初中数学_7上-初中数学北师大(2024新版)持续更新_03课件+练习
专题有理数的乘除法计算题(8大题型提分练)(原卷版)_北师大初中数学_7上-北师大版初中数学_7上-初中数学北师大(2024新版)持续更新_03课件+练习
专题有理数的乘除法计算题(8大题型提分练)(原卷版)_北师大初中数学_7上-北师大版初中数学_7上-初中数学北师大(2024新版)持续更新_03课件+练习
专题有理数的乘除法计算题(8大题型提分练)(原卷版)_北师大初中数学_7上-北师大版初中数学_7上-初中数学北师大(2024新版)持续更新_03课件+练习
专题有理数的乘除法计算题(8大题型提分练)(原卷版)_北师大初中数学_7上-北师大版初中数学_7上-初中数学北师大(2024新版)持续更新_03课件+练习
专题有理数的乘除法计算题(8大题型提分练)(原卷版)_北师大初中数学_7上-北师大版初中数学_7上-初中数学北师大(2024新版)持续更新_03课件+练习
专题有理数的乘除法计算题(8大题型提分练)(原卷版)_北师大初中数学_7上-北师大版初中数学_7上-初中数学北师大(2024新版)持续更新_03课件+练习
专题有理数的乘除法计算题(8大题型提分练)(原卷版)_北师大初中数学_7上-北师大版初中数学_7上-初中数学北师大(2024新版)持续更新_03课件+练习
专题有理数的乘除法计算题(8大题型提分练)(原卷版)_北师大初中数学_7上-北师大版初中数学_7上-初中数学北师大(2024新版)持续更新_03课件+练习
专题有理数的乘除法计算题(8大题型提分练)(原卷版)_北师大初中数学_7上-北师大版初中数学_7上-初中数学北师大(2024新版)持续更新_03课件+练习
专题有理数的乘除法计算题(8大题型提分练)(原卷版)_北师大初中数学_7上-北师大版初中数学_7上-初中数学北师大(2024新版)持续更新_03课件+练习
专题有理数的乘除法计算题(8大题型提分练)(原卷版)_北师大初中数学_7上-北师大版初中数学_7上-初中数学北师大(2024新版)持续更新_03课件+练习
专题有理数的乘除法计算题(8大题型提分练)(原卷版)_北师大初中数学_7上-北师大版初中数学_7上-初中数学北师大(2024新版)持续更新_03课件+练习
专题有理数的乘除法计算题(8大题型提分练)(原卷版)_北师大初中数学_7上-北师大版初中数学_7上-初中数学北师大(2024新版)持续更新_03课件+练习
专题有理数的乘除法计算题(8大题型提分练)(原卷版)_北师大初中数学_7上-北师大版初中数学_7上-初中数学北师大(2024新版)持续更新_03课件+练习

文档信息

文档格式
docx
文档大小
0.208 MB
文档页数
16 页
上传时间
2026-04-13 21:51:46

文档内容

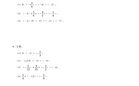
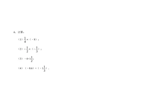
七年级上册数学《第 2 章有理数及其运算》 专题 有理数的乘除法计算题 题型一 两个数有理数相乘 1.计算: (1)﹣0.5×(﹣6); 2 5 (2) ×(− ); 3 6 (3)2021×(﹣1); (4)(﹣2020)×0.2.计算: (1)(﹣5)×4; (2)1×(﹣7); 2 1 (3)(− )×(− ); 5 4 1 1 (4)3 ×(−2 ). 2 3 3.计算: 3 (1)(﹣3.75)×(﹣1 ); 5 5 (2)(﹣10.8)× . 27 4.计算: 1 1 (1) ×(− ); 2 4 (2)(﹣2)×(﹣6); 1 (3)(− )×0; 2023 1 (4)(﹣2.5)×2 ; 3 2 1 (5)1 ×(﹣1 ). 3 55.计算: 1 (1)0×(﹣1 ); 2 4 (2)(﹣0.25)×(− ); 5 8 15 (3) ×(− ); 5 4 1 (4)(﹣4 )×0.2. 6 6.计算: 1 (1) ×(﹣8); 4 1 1 (2)− ×(− ); 2 3 1 (3)﹣4×1 ; 2 1 (4)(﹣0.6)×(﹣1 ). 3 题型二 多个有理数相乘 7.计算:1 (1)(﹣2)×(− )×(﹣3); 2 (2)(﹣0.1)×1000×(﹣0.01). 8.计算: 3 (1)8×(﹣1 )×(﹣4)×(﹣2); 4 5 4 1 (2)(﹣3)× ×(− )×(− ); 6 5 4 (3)(﹣2)×5×(﹣5)×(﹣2)×(﹣7). 9.计算: 1 (1)3×(﹣1)×(− ). 3 (2)﹣1.2×5×(﹣3)×(﹣4). 5 4 3 (3)(− )× ×(− )×(﹣6). 12 15 2 5 1 (4) ×(﹣1.2)×(− ). 4 9 10.计算下列各式: 1 (1)(﹣8)×9×(﹣1.25)×(− ); 94 1 (2)(﹣5)×6×(− )× ; 5 4 7 (3)(﹣0.25)×(− )×4×(﹣18); 9 5 9 1 (4)﹣3× ×(− )×(− ); 6 5 4 3 4 7 5 (5) ×(− )× × ; 7 5 12 8 4 5 (6)(﹣8)×(− )×(﹣1.25)×( ). 3 4 11.计算: (1)(﹣18)×(﹣49)×0×(﹣13)×(﹣49); (2)﹣5×(﹣8)×(﹣7)×(﹣0.125); 1 2 3 (3)(− )×(﹣1 )×(﹣4)× ; 4 3 5 3 5 (4)− ×(− )×(﹣6). 5 6 12.计算: 1 (1)(﹣8)×(﹣12)×(﹣0.125)×(− )×(﹣0.001); 3 2 5 3 1 5 2 (2)(﹣1 )× ÷(− )×2 ÷(− )+(﹣2.5)÷(﹣0.25)× . 7 7 4 3 7 5 题型三 利用乘法运算律简便计算13.(2023秋•泰州月考)用简便方法计算: 15 (1)19 ×(−8); 16 (2)(﹣99)×999. 14.用简便方法计算: 1 (1)(﹣2)×(﹣7)×(+5)×(− ); 7 (2)﹣0.125×7×(﹣5)×8. 15.用简便方法计算: (1)(﹣7.5)×(+25)×(﹣0.04); 1 (2)(﹣4 )×1.25×(﹣8). 20 16.(2024春•南岗区校级期中)用简便方法计算: 3 5 7 (1)24×( −1 + ); 4 6 86 6 6 (2)4.27×(− )−8.73× −2×(− ). 11 11 11 17.(2024春•南岗区校级月考)用简便方法计算: 6 2 6 17 (1)(− )×(− )+(− )× ; 5 3 5 3 12 1 (2)−36 × . 29 12 18.用乘法运算律,将下列各式进行简便计算: 1 2 × (1)(﹣1 )×(﹣7) ; (2) 2 3 3 5 7 3 3 3 8 (3)(﹣48)×(− + − ); (4)0.7× −6.6× −1.1× +0.7× . 4 6 12 11 7 7 11 23 3 3 3 (5)﹣39 ×(﹣12) (6)4.61× −5.39×(− )+3×(− ). 24 7 7 7 题型四 两个有理数的除法 19.计算: (1)(﹣6.5)÷(﹣0.5); (2)4÷(﹣2); (3)0÷(﹣1 000); 5 (4)(﹣2.5)÷ . 820.计算: (1)0÷(﹣2022); (2)(﹣27)÷9; 4 4 (3)(− )÷ ; 3 3 3 (4)− ÷1.5 2 21.计算: (1)(﹣68)÷(﹣17); (2)(﹣0.75)÷0.25; 7 (3)(− )÷(﹣1.75); 8 1 (4)3 ÷(﹣7) 2 8 1 22.用简便方法计算:999 ÷(﹣1 ). 9 9 题型五 多个有理数的除法23.计算: 2 (1)﹣5÷(﹣1 ); 3 3 3 1 (2)(− )÷(− )÷(﹣1 ). 4 7 6 24.计算: 1 3 (1)﹣36÷(﹣1 )÷(− ); 3 2 2 9 (2)15÷(﹣1 )÷(− ). 3 10 25.计算: 4 3 2 (1)(− )÷(− )÷(− ); 7 14 3 5 1 3 (2)(﹣0.65)÷(− )÷(﹣2 )÷(+ ). 7 3 10 26.计算: 3 3 (1)﹣3÷(− )÷(− ); 4 4 1 (2)(﹣12)÷(﹣4)÷(﹣1 ); 5 2 8 (3)(− )÷(− )÷0.25; 3 7 1 3 (4)(﹣2 )÷(﹣5)÷(﹣ ). 2 1027.计算: 2 8 (1)(− )÷(− )÷(﹣0.25); 3 5 9 9 (2)(﹣81)÷ ÷ ÷(﹣16); 4 4 1 2 (3)(﹣6.5)÷(− )÷(− )÷(﹣5). 2 5 题型六 有理数乘除混合运算 28.(2023秋•大兴区期中)计算:(﹣6)×(﹣4)÷(﹣3)×2. 2 3 29.(−64)÷2 ×(− )÷9. 3 8 2 1 3 30.(2024春•松江区期末)计算: ÷(−2 )×3 . 5 2 4 7 1 3 3 31.(2024春•杨浦区校级期中)计算:1 ÷(﹣4 + )×(− ) 8 2 4 46 1 19 32.计算: ÷(﹣1 )× . 19 2 24 3 3 33.(2023秋•九江期末)计算:15×(− )+(−15)× +15÷4. 4 2 3 4 34.(2023秋•榆树市期中)计算:(﹣54)÷ × ÷(﹣32). 4 3 1 7 4 2 35.(2024春•黄浦区期中)计算:(−4 )÷ ×(− )×(−1 ). 2 25 3 5 36.计算: 1 (1)(﹣32)÷4×(− ); 162 8 7 (2)(− )×(− )÷(﹣1 ). 3 5 8 37.(2024•香坊区校级开学)计算. 8 1 4 (1) ÷6+ × . 13 6 13 7 1 4 (2) ÷(1− ÷ ). 8 5 15 38.计算: 1 (1)1.25÷(﹣0.5)÷(﹣2 )×1 2 1 4 1 (2)(﹣81)÷(+3 )×(− )÷(﹣1 ) 4 9 13 39.(2023秋•秀峰区校级月考)计算: 9 4 (1)(−81)÷ × ÷(−16). 4 9 2 4 1 (2)−5÷(−1 )× ×(−2 )÷7. 7 5 4 题型七 有理数加减乘除混合运算 1 1 1 1 40.(2023秋•昌邑区校级期末)(− + − )÷(− ). 12 3 2 181 1 1 1 41.计算:24÷( − + − ) 2 3 4 6 1 1 2 2 3 42.(2023春•浦东新区校级期中)− ÷( − + − ) 42 6 7 3 14 43.(2024春•呼兰区校级月考)用简便方法计算: 7 1 1 1 (1)(−1 )−(−2 )+(−4 )−(+3 ); 8 4 4 8 1 3 1 1 (2)−24×(− + − )−|−3 |. 2 4 3 2 44.计算: 7 1 1 3 5 (1) ×( − )× ÷ ; 5 3 2 7 4 5 3 1 9 1 (2)( − + − )÷(− ). 6 7 3 14 42 45.计算. (1)(﹣1155)÷[(﹣11)×(+3)×(﹣5)]; 2 3 (2)375÷(− )÷(− ) 3 2 1 2 (3)(−13 )÷(−5)+(−6 )÷(−5). 3 346.计算: 8 (1)(+1.25)÷(﹣0.5)×(− ); 5 5 1 1 (2)﹣2.5÷(− )×(− )÷(− ). 16 8 4 (3)(﹣45)÷(﹣9)+4×(﹣ ) (4) 47.(2023春•松北区校级月考)计算: 1 (1)8+(− )﹣5﹣(﹣0.25); 4 2 5 7 8 (2)﹣36×(− + − − ); 3 6 12 9 1 (3)﹣2+2÷(− )×2; 2 1 3 1 (4)﹣3.5×( −0.5)× ÷ . 6 7 2 题型八 利用“倒数法”解决问题 1 1 1 1 48.阅读下列材料:计算: ÷( − + ) 12 3 4 12 解:原式的倒数为 1 1 1 1 ( − + )÷ 3 4 12 121 1 1 =( − + )×12 3 4 12 1 1 1 = ×12− ×12+ ×12 3 4 12 =2 1 故原式= 2 1 1 3 2 2 请仿照上述方法计算:(− )÷( − + − ) 42 6 14 3 7 49.阅读材料,回答问题. 1 1 1 计算:(− )÷( − ). 15 5 3 1 3 5 1 2 1 解:方法一:原式=(− )÷( − )=(− )÷(− )= . 15 15 15 15 15 2 1 1 1 1 1 1 1 方法二:原式的倒数为:( − )÷(− )=( − )×(﹣15)= ×(﹣15)− ×(﹣15)= 5 3 15 5 3 5 3 ﹣3+5=2 1 故原式= . 2 1 2 1 1 2 用适当的方法计算:(− )÷( − + − ). 30 3 10 6 5 50.(2023秋•望花区期末)我们知道乘法有分配律,遇到比较复杂的混合运算时.有的时候可以运用乘 法分配律很容易去解决. 1 1 1 (1)计算:( − + )×12; 3 6 4 (2)由于除法没有分配律,在遇到除法的类似混合运算时,我们计算会很困难,在学完倒数时,小明 对这种除法的混合运算有了自己的想法:先算这个式子的倒数,再利用倒数的意义得出原结果下面是小 1 1 1 1 明的计算过程 ÷( − + ) 20 4 5 21 1 1 1 解:原式的倒数为:( − + )÷ 4 5 2 20 1 1 1 =( − + )×20 4 5 2 1 1 1 = ×20− ×20+ ×20 4 5 2 =5﹣4+10=11. 1 故原式= 11 1 1 5 3 请你根据对小明的方法的理解,计算(− )÷( − + ). 24 4 12 8