当前位置:首页>文档>2.11有理数的混合运算2_北师大初中数学_7上-北师大版初中数学_7上-初中数学北师大(旧版)赠送_03教案_全册教案3(赠送)

2.11有理数的混合运算2_北师大初中数学_7上-北师大版初中数学_7上-初中数学北师大(旧版)赠送_03教案_全册教案3(赠送)

  • 2026-04-11 21:37:20 2026-04-11 21:00:31

文档预览

2.11有理数的混合运算2_北师大初中数学_7上-北师大版初中数学_7上-初中数学北师大(旧版)赠送_03教案_全册教案3(赠送)
2.11有理数的混合运算2_北师大初中数学_7上-北师大版初中数学_7上-初中数学北师大(旧版)赠送_03教案_全册教案3(赠送)
2.11有理数的混合运算2_北师大初中数学_7上-北师大版初中数学_7上-初中数学北师大(旧版)赠送_03教案_全册教案3(赠送)
2.11有理数的混合运算2_北师大初中数学_7上-北师大版初中数学_7上-初中数学北师大(旧版)赠送_03教案_全册教案3(赠送)
2.11有理数的混合运算2_北师大初中数学_7上-北师大版初中数学_7上-初中数学北师大(旧版)赠送_03教案_全册教案3(赠送)
2.11有理数的混合运算2_北师大初中数学_7上-北师大版初中数学_7上-初中数学北师大(旧版)赠送_03教案_全册教案3(赠送)
2.11有理数的混合运算2_北师大初中数学_7上-北师大版初中数学_7上-初中数学北师大(旧版)赠送_03教案_全册教案3(赠送)
2.11有理数的混合运算2_北师大初中数学_7上-北师大版初中数学_7上-初中数学北师大(旧版)赠送_03教案_全册教案3(赠送)
2.11有理数的混合运算2_北师大初中数学_7上-北师大版初中数学_7上-初中数学北师大(旧版)赠送_03教案_全册教案3(赠送)

文档信息

文档格式
doc
文档大小
0.119 MB
文档页数
5 页
上传时间
2026-04-11 21:00:31

文档内容

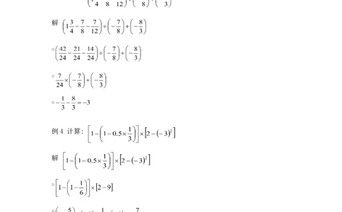
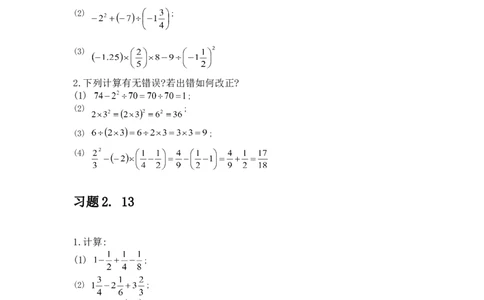
2.11 有理数的混合运算 [教学目标] 1、掌握有理数混合运算法则,并能进行有理数的混合运算的计算。 2、经历“二十四”点游戏,培养学生的探究能力 [教学重点]有理数混合运算法则。 [教学难点]培养探索思维方式。 【教学过程】 情境导入—— 有理数的混合运算是指一个算式里含有加、减、乘、除、乘方的多种运算. 下面的算式里有哪几种运算? 3+50÷22×( )-1. 有理数混合运算的运算顺序规定如下: 1  先算乘方,再算乘除,最后算加减; 2  同级运算,按照从左至右的顺序进行; 3  如果有括号,就先算小括号里的,再算中括号里的,最后算大括号里的。 加法和减法叫做第一级运算;乘法和除法叫做第二级运算;乘方和开方 ( 今后将 会学到 ) 叫做第三级运算。 注意:可以应用运算律,适当改变运算顺序,使运算简便. 合作探究—— 试一试: 指出下列各题的运算顺序: (1) ; (2) ; (3) ; (4) ; (5) ; (6) ; (7) 例1 计算: 第 1 页 共 5 页解 这里要注意三点: ①小括号先算; ②进行分数的乘除运算,一般要把带分数化为假分数,把除法转化为乘法; ③同级运算,按从左往右的顺序进行,这一点十分重要 . 想一想 2÷(2×3)与2÷2×3有什么不同? 试一试: 计算: 巩固练习—— 练习 1. 计算2× -4×(-3)+15. 2.计算 . 3. 计算 . 有理数的混合运算涉及多种运算,确定合理的运算顺序是正确解题的关键, 能用简便方法的就用简便方法、能够口算的就口算,下面再看几个例子. 例2 计算: 解 第 2 页 共 5 页················(先算乘方) ···············(化除为乘) ···(先定符号,再算绝对值) 例3 计算: 解 = = = 例4 计算: 解 = = 也可这样来算 = 第 3 页 共 5 页= 课后练习 1.计算: (1) ; (2) ; (3) 2.下列计算有无错误?若出错如何改正? (1) ; (2) ; (3) ; (4) 习题 2. 13 1.计算: (1) ; (2) ; (3) ; (4) ; (5) (6) 2.计算: 第 4 页 共 5 页(1) ; (2) ; (3) ; (4) 3.计算: (1) ; (2) ; (3) ; (4) ; (5) 第 5 页 共 5 页