当前位置:首页>文档>北师大版七年级数学上册第2章《有理数及其运算》同步练习及答案—2.11有理数混合运算1_北师大初中数学_7上-北师大版初中数学_7上-初中数学北师大(旧版)赠送_05习题试卷_1课时练习

北师大版七年级数学上册第2章《有理数及其运算》同步练习及答案—2.11有理数混合运算1_北师大初中数学_7上-北师大版初中数学_7上-初中数学北师大(旧版)赠送_05习题试卷_1课时练习

  • 2026-04-13 23:38:26 2026-04-13 23:30:03

文档预览

北师大版七年级数学上册第2章《有理数及其运算》同步练习及答案—2.11有理数混合运算1_北师大初中数学_7上-北师大版初中数学_7上-初中数学北师大(旧版)赠送_05习题试卷_1课时练习
北师大版七年级数学上册第2章《有理数及其运算》同步练习及答案—2.11有理数混合运算1_北师大初中数学_7上-北师大版初中数学_7上-初中数学北师大(旧版)赠送_05习题试卷_1课时练习
北师大版七年级数学上册第2章《有理数及其运算》同步练习及答案—2.11有理数混合运算1_北师大初中数学_7上-北师大版初中数学_7上-初中数学北师大(旧版)赠送_05习题试卷_1课时练习
北师大版七年级数学上册第2章《有理数及其运算》同步练习及答案—2.11有理数混合运算1_北师大初中数学_7上-北师大版初中数学_7上-初中数学北师大(旧版)赠送_05习题试卷_1课时练习

文档信息

文档格式
doc
文档大小
0.071 MB
文档页数
2 页
上传时间
2026-04-13 23:30:03

文档内容

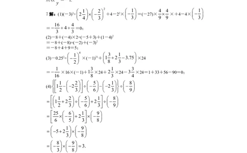
北师大版七年级数学上册第2章《有理数及其运算》同步练习及 答案—2.11有理数的混合运算(1) 基础巩固 1.下列计算不正确的是( ). 3 1  1 2 1 A.  =-2 B.    2 2  3 9 1 C.|-3|=3 D.-32× =-3 3 2.-(-32)-|-4|的值为( ). A.13 B.-13 C.5 D.-5 3.下列各数中最小的数是( ). A.(-3-2)3 B.(-3)×(-2)4 2  1 C.(-3)6÷(-2)3 D.(-3)3×     2 4.如果四个有理数之和的3倍是-21,其中三个数是-12,-6,9,则第四个数是( ). A.-2 B.2 C.5 D.-5 5.按下面程序计算:输入x=3,则输出的答案是__________. x 6.若|2x+6|+(y-3)2=0,则 =__________. y 7.计算:  1  2 2  1 (1)(-3)3÷ 2      +4-22×  ;  4  3  3 (2)-8+(-4)×2÷(-5+3)+(1-4)2;  1 4  3 1  (3)-0.252÷   ×(-1)21+ 1 2 3.75 ×24;  2  8 3   1  2  5  1  8 (4) 1   2        2    .  2  3  6  3  9 能力提升 8.(拔高题)现有四个有理数:-5,6,-9,12,根据“24点”游戏规则,写出两个算式,使 运算结果等于24. 来源:http://www.bcjy123.com/tiku/ 9.(创新应用)W国股民吉姆上星期六买进某公司股票1 000股,每股27元,下表为本周 内每日该股票的涨跌情况:(单位:元) 星期 一 二 三 四 五 六 每股涨跌 +4 +4.5 -1 -2.5 -6 +2 已知买进股票时付了1.5%的手续费,卖出时还需付成交额1.5%的手续费和1%的交易 税,如果周六收盘前将全部股票卖出,他的收益情况如何? HYPERLINK "http://taourl.com/o1adn" 1参考答案 3 1 1答案:A 点拨:  =-1,所以选项A不正确. 2 2 2答案:C 点拨:-(-32)-|-4|=9-4=5,故选C. 729 3答案:A 点拨:因为(-3-2)3=-125;(-3)×(-2)4=-48;(-3)6÷(-2)3= ; 8 2  1 27 (-3)3×     ,所以-125最小.  2 4 4答案:B 点拨:(-21)÷3-(-12)-(-6)-9=2. 5答案:12 点拨:依题意知,输出的答案是(33-3)÷2=24÷2=12. 6答案:-1 点拨:几个非负数的和为0,则这几个非负数都等于0,可求出x=-3,y= 3, x 所以 =-1. y 来源:http://www.bcjy123.com/tiku/  1  2 2  1 4 4  1 7解:(1)(-3)3÷ 2      +4-22×  =(-27)×  ×+4-4×    4  3  3 9 9  3 16 4 = 4 =0; 3 3 (2)-8+(-4)×2÷(-5+3)+(1-4)2 =-8+(-8)÷(-2)+(-3)2 =-8+4+9=5;  1 4  3 1  (3)-0.252÷   ×(-1)21+ 1 2 3.75 ×24  2  8 3  1 3 1 3 = ×16×(-1)+1 ×24+2 ×24-3 ×24=1+33+56-90=0; 16 8 3 4  1  2  5  1  8 (4) 1   2        2      2  3  6  3  9  1 2  5 1  8  1 2   2           2 3  6 3  9 25  6 1  9    2          6  5 3  8  1  9  52        3  8  8  9     3.      3  8 8解:(1)[-9+6-(-5)]×12; (2)[-5-(-9)]×(12-6). 9解:买进股票时,吉姆共付的手续费为 27×1 000×1.5%=405(元). 1 000股共盈利:(4+4.5-1-2.5-6+2)×1 000=1 000(元). 成交时的手续费与交易税为(27×1 000+1 000)×(1.5%+1%)=700(元). 1 000-405-700=-105(元), 所以吉姆亏损了105元. 答:吉姆亏损了105元. HYPERLINK "http://taourl.com/o1adn" 2