当前位置:首页>文档>北师大版七年级数学上册第2章《有理数及其运算》同步练习及答案—2.4有理数加法2_北师大初中数学_7上-北师大版初中数学_7上-初中数学北师大(旧版)赠送_05习题试卷_1课时练习

北师大版七年级数学上册第2章《有理数及其运算》同步练习及答案—2.4有理数加法2_北师大初中数学_7上-北师大版初中数学_7上-初中数学北师大(旧版)赠送_05习题试卷_1课时练习

  • 2026-04-13 23:32:16 2026-04-13 23:32:16

文档预览

北师大版七年级数学上册第2章《有理数及其运算》同步练习及答案—2.4有理数加法2_北师大初中数学_7上-北师大版初中数学_7上-初中数学北师大(旧版)赠送_05习题试卷_1课时练习
北师大版七年级数学上册第2章《有理数及其运算》同步练习及答案—2.4有理数加法2_北师大初中数学_7上-北师大版初中数学_7上-初中数学北师大(旧版)赠送_05习题试卷_1课时练习
北师大版七年级数学上册第2章《有理数及其运算》同步练习及答案—2.4有理数加法2_北师大初中数学_7上-北师大版初中数学_7上-初中数学北师大(旧版)赠送_05习题试卷_1课时练习
北师大版七年级数学上册第2章《有理数及其运算》同步练习及答案—2.4有理数加法2_北师大初中数学_7上-北师大版初中数学_7上-初中数学北师大(旧版)赠送_05习题试卷_1课时练习
北师大版七年级数学上册第2章《有理数及其运算》同步练习及答案—2.4有理数加法2_北师大初中数学_7上-北师大版初中数学_7上-初中数学北师大(旧版)赠送_05习题试卷_1课时练习
北师大版七年级数学上册第2章《有理数及其运算》同步练习及答案—2.4有理数加法2_北师大初中数学_7上-北师大版初中数学_7上-初中数学北师大(旧版)赠送_05习题试卷_1课时练习

文档信息

文档格式
doc
文档大小
0.562 MB
文档页数
3 页
上传时间
2026-04-13 23:32:16

文档内容

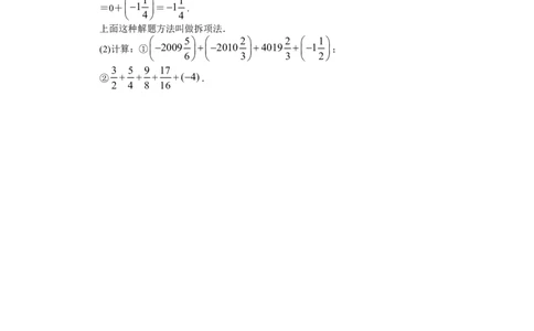
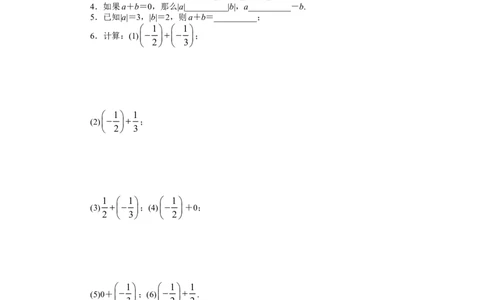
北师大版七年级数学上册第2章《有理数及其运算》同步练习及 答案—2.4有理数的加法(2) 基础巩固 1.下列计算正确的是( ). A.(+30)+(-40)=10 B.(-51)+(-30)=-21 C.(-20)+(+20)=0 D.(-3.9)+3.1=0.8 2.计算312+(-335)+688+(-965)最恰当的是( ). A.312+688+(-335)+(-965) B.(-335)+688+312+(-965) C.312+(-965)+(-335)+688 D.312+(-335)+(-965)+688 3.三个小球上的有理数之和等于__________. 4.如果a+b=0,那么|a|__________|b|,a__________-b. 5.已知|a|=3,|b|=2,则a+b=__________;  1  1 6.计算:(1)      ;  2  3  1 1 (2)    ;  2 3 1  1  1 (3)    ;(4)  +0; 2  3  2  1  1 1 (5)0+  ;(6)    .  3  2 2 能力提升 7.有一批水果,包装质量为每筐25千克,现抽取8筐样品进行检测,结果称重如下(单位: 千克):27,24,23,28,21,26,22,27,为了求得8筐样品的总质量,我们可以选取的一个恰当的基 准数进行简化运算. 原质量 27 24 23 28 21 26 22 27 与基准数的差距 HYPERLINK "http://taourl.com/o1adn" 1(1)你认为选取的一个恰当的基准数为__________; (2)根据你选取的基准数,用正、负数填写上表; (3)这8筐水果的总质量是多少? 8.(阅读理解题)先阅读第(1)题的计算过程,再根据第(1)题的解题方法完成第(2)题.  5  2 3  1 (1)计算 5    9  17   3 .  6  3 4  2  5  2 3  1 解: 5    9  17   3   6  3 4  2   5   2   3   1 = (5)      (9)      (17)      (3)      6   3   4   2  5  2  3  1 =[(-5)+(-9)+(+17)+(-3)]+                6  3  4  2  1 1 =0+ 1 =1 .  4 4 上面这种解题方法叫做拆项法. 来源:http://www.bcjy123.com/tiku/  5  2 2  1 (2)计算:① 2009    2010  4019   1 ;  6  3 3  2 3 5 9 17 ②    (4). 2 4 8 16 HYPERLINK "http://taourl.com/o1adn" 2参考答案 1答案:C 2答案:A 3答案:-2 4答案:= = 点拨:两个数和为0,则这两个数互为相反数,互为相反数的两个数的 绝对值相等. 5答案:5或-5或1或-1 点拨:因为|a|=3,|b|=2,所以a=3或-3,b=2或-2,因此 a,b的取值应分四种情况:a=3,b=2或a=3,b=-2或a=-3,b=2或a=-3,b=-2,从 而易求a+b的值.  1  1 1 1 5 6解:(1)            ;  2  3 2 3 6  1 1 1 1 1 (2)         ;  2 3 2 3 6 1  1 1 1 1 (3)          ; 2  3 2 3 6  1 1 (4)   0 ;  2 2  1 1 (5)0     ;  3 3 来源:http://www.bcjy123.com/tiku/  1 1 (6)    0.  2 2 7解:(1)25; (2)+2,-1,-2,+3,-4,+1,-3,+2; (3)总质量为:25×8+[(+2)+(-1)+(-2)+(+3)+(-4)+(+1)+(-3)+(+2)]=200 +(-2)=198(kg).  5  2 2  1   5 8解:① 2009    2010  4019   1    (2009)      6  3 3  2   6   2   2   1  (2010)      (4019)      (1)   =[(-2 009)+(-2 010)+   3   3   2  5  2  2  1  1 1 (+4 019)+(-1)]+              =(-1)+ 1 =2 ;  6  3  3  2  3 3 3 5 9 17 ②    (4) 2 4 8 16 1 1 1 1 =1+ +1+ +1+ +1+ +(-4) 2 4 8 16 1 1 1 1  =4+(-4)+     2 4 8 16 15 15 =0+ = . 16 16 HYPERLINK "http://taourl.com/o1adn" 3