当前位置:首页>文档>北师大版七年级数学上册第2章《有理数及其运算》同步练习及答案—2.5有理数减法2_北师大初中数学_7上-北师大版初中数学_7上-初中数学北师大(旧版)赠送_05习题试卷_1课时练习

北师大版七年级数学上册第2章《有理数及其运算》同步练习及答案—2.5有理数减法2_北师大初中数学_7上-北师大版初中数学_7上-初中数学北师大(旧版)赠送_05习题试卷_1课时练习

  • 2026-04-13 23:32:53 2026-04-13 23:32:53

文档预览

北师大版七年级数学上册第2章《有理数及其运算》同步练习及答案—2.5有理数减法2_北师大初中数学_7上-北师大版初中数学_7上-初中数学北师大(旧版)赠送_05习题试卷_1课时练习
北师大版七年级数学上册第2章《有理数及其运算》同步练习及答案—2.5有理数减法2_北师大初中数学_7上-北师大版初中数学_7上-初中数学北师大(旧版)赠送_05习题试卷_1课时练习
北师大版七年级数学上册第2章《有理数及其运算》同步练习及答案—2.5有理数减法2_北师大初中数学_7上-北师大版初中数学_7上-初中数学北师大(旧版)赠送_05习题试卷_1课时练习
北师大版七年级数学上册第2章《有理数及其运算》同步练习及答案—2.5有理数减法2_北师大初中数学_7上-北师大版初中数学_7上-初中数学北师大(旧版)赠送_05习题试卷_1课时练习
北师大版七年级数学上册第2章《有理数及其运算》同步练习及答案—2.5有理数减法2_北师大初中数学_7上-北师大版初中数学_7上-初中数学北师大(旧版)赠送_05习题试卷_1课时练习
北师大版七年级数学上册第2章《有理数及其运算》同步练习及答案—2.5有理数减法2_北师大初中数学_7上-北师大版初中数学_7上-初中数学北师大(旧版)赠送_05习题试卷_1课时练习
北师大版七年级数学上册第2章《有理数及其运算》同步练习及答案—2.5有理数减法2_北师大初中数学_7上-北师大版初中数学_7上-初中数学北师大(旧版)赠送_05习题试卷_1课时练习
北师大版七年级数学上册第2章《有理数及其运算》同步练习及答案—2.5有理数减法2_北师大初中数学_7上-北师大版初中数学_7上-初中数学北师大(旧版)赠送_05习题试卷_1课时练习

文档信息

文档格式
doc
文档大小
0.057 MB
文档页数
4 页
上传时间
2026-04-13 23:32:53

文档内容

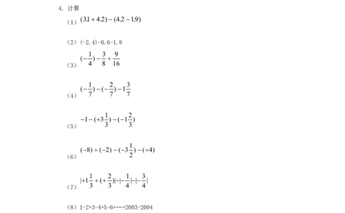
北师大版七年级数学上册第2章《有理数及其运算》同步练习及 答案—2.5有理数的减法(2) 3 2 2 1  与  小 1. 4 3的差是__________,比 5 2 的数是_____ 2. 比0小4的数是_______;4比-9大______;_____比-8大8 3. 若b<0,则a,a-b,a+b中最大的是( ) A. a B. (a-b) C. a+b D. 不能确定 4. 计算 (3.14.2)(4.21.9) (1) (2)(-2.4)-0.6-1.8 1 3 9 ( )  (3) 4 8 16 1 2 3 ( )( )1 (4) 7 7 7 1 2 1(3 )(1 ) (5) 3 3 1 (8)(2)(3 )(4) (6) 2 1 2 1 3 |1 ( )|| || | (7) 3 3 4 4 (8)1-2+3-4+5-6+…+2003-2004 4 3   (9) 5的相反数比 5 的绝对值大多少? 1 ( )6 5. (1) 2 1 6 ( )( )  (2) 3 7 HYPERLINK "http://taourl.com/o1adn" 11 1 3 (1 )  (3) 2 5 1 1 4 (10)(3)( )(5 )( ) (4) 2 3 5 16(18)0.25(100) (5) (17)(2)340(125) (6) 7 5 3 7 (    )36 (7) 9 6 4 18 5 8 1 2 ( ) (1 ) (8) 12 15 2 3 6. 绝对值小于100的所有整数的积是_____ 7. 已知一个数的倒数是-2,则这个数是( ) 来源:http://www.bcjy123.com/tiku/ 1 1  A. -2 B. 2 C. 2 D. 2 8. 由于汛期,流水的水位每天升高1.5cm,4天后该河水位升高多少? |x1||y2||z3| 0 9.若 则(x+1)(y-2)(z+3)的值是多少? HYPERLINK "http://taourl.com/o1adn" 2【参考答案】 3 2 17 2 1 1  与   小 1. 4 3的差是 12 ,比 5 2 的数是 10 2. 比0小4的数是 - 4;4比-9大13;0 比-8大8 3. 若b<0,则a,a-b,a+b中最大的是(B) A. a B. (a-b) C. a+b D. 不能确定 4. 计算 (3.14.2)(4.21.9) 5 (1) (2)(-2.4)-0.6-1.8=-4.8 1 3 9 1 ( )    (3) 4 8 16 16 1 2 3 2 ( )( )1  1 (4) 7 7 7 7 1 2 2 1(3 )(1 )  2 3 3 3 (5) 1 1 (8)(2)(3 )(4)  10 2 2 (6) 1 2 1 3 |1 ( )|| || |1 (7) 3 3 4 4 (8)1-2+3-4+5-6+…+2003-2004=-1002 4 3 1   (9) 5的相反数比 5 的绝对值大多少?5 1 ( )6 3 5. (1) 2 来源:http://www.bcjy123.com/tiku/ 1 6 2 ( )( )  3 7 7 (2) HYPERLINK "http://taourl.com/o1adn" 31 1 21 3 (1 )   2 5 5 (3) 1 1 4 (10)(3)( )(5 )( ) (4) 2 3 5 =-64 16(18)0.25(100) (5) =7200 (17)(2)340(125) (6) =0 7 5 3 7 (    )36 (7) 9 6 4 18 =11 5 8 1 2 2 ( ) (1 ) (8) 12 15 2 3 =9 6. 绝对值小于100的所有整数的积是0 7. 已知一个数的倒数是-2,则这个数是(B) 1 1  A. -2 B. 2 C. 2 D. 2 8. 由于汛期,流水的水位每天升高1.5cm,4天后该河水位升高多少? 6cm |x1||y2||z3| 0 9. 若 则(x+1)(y-2)(z+3)的值是多少? 答:0 HYPERLINK "http://taourl.com/o1adn" 4