当前位置:首页>文档>第四章 课时54 交通运输布局对区域发展的影响_9.2025地理总复习_2025年新高考资料_一轮复习_2025高考大一轮复习讲义+练习(完结)_2025高考大一轮复习地理(人教版)

第四章 课时54 交通运输布局对区域发展的影响_9.2025地理总复习_2025年新高考资料_一轮复习_2025高考大一轮复习讲义+练习(完结)_2025高考大一轮复习地理(人教版)

  • 2026-04-05 04:27:38 2026-03-14 03:54:56

文档预览

第四章 课时54 交通运输布局对区域发展的影响_9.2025地理总复习_2025年新高考资料_一轮复习_2025高考大一轮复习讲义+练习(完结)_2025高考大一轮复习地理(人教版)
第四章 课时54 交通运输布局对区域发展的影响_9.2025地理总复习_2025年新高考资料_一轮复习_2025高考大一轮复习讲义+练习(完结)_2025高考大一轮复习地理(人教版)
第四章 课时54 交通运输布局对区域发展的影响_9.2025地理总复习_2025年新高考资料_一轮复习_2025高考大一轮复习讲义+练习(完结)_2025高考大一轮复习地理(人教版)
第四章 课时54 交通运输布局对区域发展的影响_9.2025地理总复习_2025年新高考资料_一轮复习_2025高考大一轮复习讲义+练习(完结)_2025高考大一轮复习地理(人教版)
第四章 课时54 交通运输布局对区域发展的影响_9.2025地理总复习_2025年新高考资料_一轮复习_2025高考大一轮复习讲义+练习(完结)_2025高考大一轮复习地理(人教版)
第四章 课时54 交通运输布局对区域发展的影响_9.2025地理总复习_2025年新高考资料_一轮复习_2025高考大一轮复习讲义+练习(完结)_2025高考大一轮复习地理(人教版)
第四章 课时54 交通运输布局对区域发展的影响_9.2025地理总复习_2025年新高考资料_一轮复习_2025高考大一轮复习讲义+练习(完结)_2025高考大一轮复习地理(人教版)
第四章 课时54 交通运输布局对区域发展的影响_9.2025地理总复习_2025年新高考资料_一轮复习_2025高考大一轮复习讲义+练习(完结)_2025高考大一轮复习地理(人教版)
第四章 课时54 交通运输布局对区域发展的影响_9.2025地理总复习_2025年新高考资料_一轮复习_2025高考大一轮复习讲义+练习(完结)_2025高考大一轮复习地理(人教版)
第四章 课时54 交通运输布局对区域发展的影响_9.2025地理总复习_2025年新高考资料_一轮复习_2025高考大一轮复习讲义+练习(完结)_2025高考大一轮复习地理(人教版)
第四章 课时54 交通运输布局对区域发展的影响_9.2025地理总复习_2025年新高考资料_一轮复习_2025高考大一轮复习讲义+练习(完结)_2025高考大一轮复习地理(人教版)

文档信息

文档格式
docx
文档大小
1.077 MB
文档页数
11 页
上传时间
2026-03-14 03:54:56

文档内容

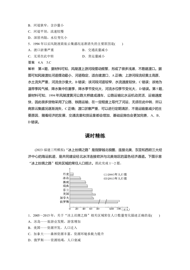
课时 54 交通运输布局对区域发展的影响 1.促进区域经济发展 (1)促进区域经济发展要素的合理流动:使资源、产品、设备、劳动力等要素实现空间上的 优化配置。 ―→ (2)缩短不同区域之间的时空距离,使一个区域的经济活动可以辐射其他区域,从而加快经 济发展速度,提升经济发展水平。 凭借优越的海运优势,面向国际市场,发展出口加工业、 我国沿海地区 案例 出口创汇农业等,迅速提高经济发展水平 偏远边境聚落 依托国际陆路交通的优势,发展成为重要的边境贸易口岸 (3)可直接拉动原材料、能源、建筑、旅游等行业的发展,增加就业。 案例 表现 意义 建设全国高速公路网、全国高速铁 促使我国经济长期高速发展,而 我国重大交通 路网,以及西气东输、 村村通等 且有效地带动中西部地区发展和 运输工程 重大交通运输工程 贫困地区脱贫致富 相关国家公路、铁路、航空、水 既是中国扩大和深化对外开放的 “一带一路” 路、油气管道,以及电网、通信网 需要,也是加强与相关国家互利 倡议 络等基础设施的互联互通 合作的需要 回归教材 读必修第二册教材第90页活动中的图文资料,简述铁路提速对经济发展的促进 作用。 答案 提高经济要素运转速度,节约运转时间,提高运转效率;加开班列,增大运力。 2.影响聚落发展 (1)对城市形成的影响 在客、货吞吐量大的交通枢纽,会集聚与货物相关的制造业,并促进其他产 表现 业的发展,往往会形成规模较大的城市 我国:石家庄、株洲就是依托铁路枢纽发展起来的;沿海、沿江许多城市依 案例 托港口发展兴旺。国际:新加坡依托港口实现经济、社会发展 (2)对聚落变化的影响 ①重要交通运输线路或运输方式的变化,会引起区域内客、货运输方向和集散地的变化,从而促使商业网点甚至商业中心城市的变化。 ②新建的乡村聚落一般临近区域主要公路,而一些交通不便的分散的乡村聚落会逐渐消失。 回归教材 读必修第二册教材第87页本节导语,说出近代以来运河城市(扬州等)繁华不在 的原因。 答案 大运河河道淤积,运输能力下降;津浦铁路的通车以及沿海航运的发展,运河城市交 通区位下降。 1.交通运输布局对区域发展的影响 (1)经济效益 角度 具体表现 第一 促进沿线农产品外运,提高商品率,扩大商品农业的销售范围 产业 第二 ①有利于资源开发,将资源优势转化为经济效益;②促进区域间的产 三次 产业 业转移和地区产业的优化升级 产业 ①降低运输成本:缩短运输距离,节约运营时间;②提升运输能力: 第三 合理布局交通运输网,缓解原有运输方式的压力;③带动沿线旅游 产业 业、商业等第三产业的发展 人口 促进了人口迁移 ①加快工业化进程,促进城镇化水平的提高;②扩大城市经济腹地 城市 (服务范围),利于加强与外界政治、经济、文化等方面的交流;③改 善基础设施 (2)社会效益:①有利于加快经济落后地区的致富速度;②有利于巩固民族团结和社会稳定; ③有利于巩固国防,保卫边疆。 2.交通运输布局对聚落发展的影响 (1)交通运输方式的变化对聚落形态变化的影响 (2)交通运输布局变化对聚落发展速度及形态的影响(2023·海南地理)由中国承建运营的蒙内(蒙巴萨至内罗毕)铁路是肯尼亚在 近 100 年间建 设的第一条铁路。 在铁路建设过程中,为当地创造了约 4.6 万个工作岗位,对肯尼亚国内 生产总值的贡献超过 1.5% 。 下图为 “ 非洲部分区域图 ” 。据此完成1~3题。 1.从铁路布局推测图示区域铁路建设的主要目的是( ) A.方便农矿产品输出 B.加速区域城市化 C.加强人员对外交流 D.完善区域铁路网 2.蒙内铁路在建设期间对肯尼亚产生的直接影响是( ) A.促进人口向外流动 B.缩小南北地区差距 C.改善区域生态环境 D.带动社会经济发展 3.肯尼亚西南部高原比沿海平原更适宜人类居住的主要原因是( ) A.海拔较高,气候适宜 B.资源丰富,就业机会更多 C.黑土广布,作物产量高 D.交通便利,对外贸易发达 [关键信息点拨] 肯尼亚铁路稀疏,没有形成铁路网。 蒙内铁路建设有利于增加就业,带动相关产业发展,促进区域经济发展。 赤道穿过肯尼亚,终年炎热;结合所学可知,肯尼亚西部内陆位于东非高原;图中蒙内铁 路内陆起点靠近矿产资源产地,铁路建设利于农矿产品出口。 [地理原理再现] 交通运输布局对区域经济发展的影响简述交通运输布局对区域经济发展的影响。 答案 促进经济要素合理流动;加强区际联系,扩大辐射范围;带动相关产业发展。 答案 1.A 2.D 3.A 解析 第1题,图示区域铁路大部分连接内陆矿区和沿海港口,推测其主要目的是方便农矿 产品输出,A正确。加速区域城市化应大力发展第二、三产业,且图示铁路主要以货运为主, 对于人口向城市的迁移影响不大,B、C错误。图示区域铁路密度较小,且修建的铁路并未 形成铁路网,D错误。故选A。第2题,蒙内铁路在建设期间为当地带来了众多就业岗位, 增加了肯尼亚的国内生产总值,带动了社会经济发展,D正确。促进人口向外流动及缩小南 北地区差距是铁路建成通车后带来的影响,A、B错误。铁路建设可能会对生态环境造成一 定程度的破坏,C错误。故选D。第3题,肯尼亚位于赤道附近,气候湿热,海拔较高的高 原气候较为凉爽,更适合人类居住,A正确。读图可知,部分沿海平原矿产资源也较丰富, B错误。黑土主要分布在中高纬度地区,肯尼亚西南部高原地处热带,无黑土分布,C错误。 沿海地区交通更为便利,D错误。故选A。 考向1 通过“交通线对区域发展的影响”考查“区域认知” (2023·江苏苏州模拟)匈塞铁路是一条连接匈牙利首都布达佩斯和塞尔维亚首都贝尔格莱 德的双线(有2条平行轨道)电气化客货共线高速铁路。中欧陆海快线是匈塞铁路的延长线和 升级版,南起希腊比雷埃夫斯港,北至匈牙利布达佩斯。目前,中国某集团已收购比雷埃夫 斯港67%的股权,并将其用作我国集装箱船从亚洲向欧洲出口的转运枢纽。下图示意中欧 陆海快线线路分布。据此完成1~3题。 1.双线铁路较之于单线铁路的优势体现在( ) A.运输能力大 B.能源消耗少 C.占地面积小 D.避免列车脱轨2.比雷埃夫斯港被用作我国集装箱船从亚洲向欧洲出口的转运枢纽,主要得益于其( ) A.可实现河海联运 B.距苏伊士运河较近 C.冬季结冰期较短 D.附近经济较为发达 3.若中欧陆海快线建成,其主要作用是( ) A.显著降低中欧间的运输成本 B.能够解决我国产能过剩问题 C.加速中西欧地区的产业转移 D.促进沿线资源要素有效流动 答案 1.A 2.B 3.D 解析 第1题,双线铁路有2条平行轨道,可在相同方向同时运行多列列车,无须相互避让, 可以提高发车密度,较之于单线铁路,其运输能力大,占地面积大,能源消耗多;两种铁路 列车都不易脱轨,故选A。第2题,我国出口货物到欧洲传统的海运路线需经苏伊士运河到 达地中海沿岸国家,比雷埃夫斯港是距离苏伊士运河最近的欧洲港口,将其作为转运枢纽便 于货物的转运,有利于提高运输效率,B正确;希腊位于地中海气候区,河流径流量季节变 化大,无结冰期,且地形以山地为主,河流流程短、流速快、流域面积小,内河航运欠发达, 不具备实现河海联运的条件,A、C错误;欧洲经济发达地区集中分布在英国、法国、德国 等地区,该港口附近地区经济欠发达,D错误。第3题,中欧陆海快线的建成能够加快沿线 区域互联互通,更好地促进人员往来和经贸交流,实现沿线地区间资源要素的有效流动,促 进沿线地区经济发展;目前匈牙利、塞尔维亚等大多数中东欧国家都面临铁路、公路、港口 等交通设施更新改造问题,中国与中东欧国家加强交通基建合作,不仅可以帮助相关国家基 建设施转型升级,同时也有利于缓解我国产能过剩问题。故选D。 考向2 通过“交通影响聚落发展”考查“综合思维” (2023·辽宁协作体高中模拟)风陵渡位于豫陕晋三省交界处(下图),历史上商旅云集,是 黄河上的重要渡口,风陵渡上游河段摆动频繁。1970年黄河铁路大桥建成,风陵渡航运业 务受到影响;20世纪80年代,风陵渡货运量急剧增加;1994年风陵渡黄河公路大桥建成通 车,此处商旅云集的盛况逐渐消失。据此完成4~5题。 4.风陵渡成为图示地区的重要渡口,主要是由于该河段( ) A.摆动较小,河道稳定B.河道狭窄,含沙量小 C.河道平坦,流速较慢 D.深居内陆,水位变化小 5.1994年以后风陵渡商旅云集盛况逐渐消失的主要原因是( ) A.渡口淤塞严重 B.交通流量减小 C.无须在此中转 D.货运量减小 答案 4.A 5.C 解析 第4题,据材料可知,风陵渡上游河段摆动频繁,形成了很多浅滩,不易建渡口。据 图可知风陵渡处河道摆动最小,河道稳定,适合建渡口,A正确;上游河段流经黄土高原, 水土流失严重,河流含沙量大,B错误;该河段河道较窄,水流速度较快,C错误;该地为 温带季风气候,降水集中在夏季,降水季节变化大,河流水位季节变化大,D错误。第5题, 据材料可知,1994年风陵渡黄河公路大桥建成通车,公路运输比水运机动灵活、运输速度 快,因此很多货物采用了公路、铁路运输,在一定程度上取代了河运,无须在此中转,所以 商旅云集盛况逐渐消失,C正确;渡口淤塞严重,可以进行定期清淤,不是运输量减少的主 要原因,随着经济的发展,交通流量和货运量都会增加,基础设施也会更加完善,A、B、 D错误。 课时精练 (2023·福建三明模拟)“冰上丝绸之路”是指穿越北极圈,连接北美、东亚和西欧三大经 济中心的海运航道,是共同建设经北冰洋连接欧洲与北美地区的蓝色经济通道。下图示意 “冰上丝绸之路”相关区域的常住人口统计。据此完成1~2题。 1.2005~2015年,关于“冰上丝绸之路”相关区域常住人口数量变化描述正确的是( ) A.冰岛——旅游业发展,游客增加 B.美国——资源开发,人口迁入 C.加拿大——森林资源丰富,资源环境承载力提升 D.俄罗斯——资源枯竭,人口衰减2.“冰上丝绸之路”的开通对俄罗斯的影响是( ) A.生态环境改善,人口数量即将增多 B.人口合理容量增大,缓解人口老龄化 C.就业条件改善,人口减少趋势变缓 D.社会环境更加友好,人口大量迁入 答案 1.B 2.C 解析 第1题,冰岛的旅游业发展会导致游客增加,但游客不属于常住人口,A错误;美国 阿拉斯加地区由于油气资源的开发,就业岗位增多,吸引大量人口迁入,导致常住人口数量 增加,B正确;加拿大靠近北冰洋相关地区的森林资源一直以来都较为丰富,近几十年来变 化不大,资源环境承载力变化较小,C错误;俄罗斯矿产资源丰富,目前没有出现资源枯竭 的现象,俄罗斯靠近北冰洋相关地区的人口衰减主要是由人口自然增长率为负造成的,D错 误。第2题,“冰上丝绸之路”开通后,可以促进俄罗斯港口航运业的发展,带来大量的就 业岗位,吸引人口的迁入,减缓当地人口减少的趋势,C正确;“冰上丝绸之路”开通使俄 罗斯人口和产业增加,生态环境受人为因素影响遭到破坏,A错误;人口合理容量受多种因 素的影响,“冰上丝绸之路”的开通可以促进俄罗斯经济的发展,也会造成该地区环境的破 坏,社会环境可能变差,人口合理容量可能会减小,B、D错误。 重庆属于典型的山地城市,城区道路复杂多样,尤其是在老城区表现更加突出。为了满 足居民的出行需求,保障公交优先,市政部门对老城区某处公交停车站进行了适度改造,在 原公交站台的附近,又增加了一个新站台(下图)。据此完成3~4题。 3.停车站改造的原因有( ) ①道路窄 ②坡度大 ③公交里程长 ④公交线路多 A.①③ B.②③ C.①④ D.②④ 4.停车站改造的主要目的是( ) A.提高道路通行效率 B.减少私家车的使用 C.促进周边商业发展 D.缩短车站间的距离 答案 3.C 4.A 解析 第3题,由图文资料可知,在原公交站台的附近,又增加了一个新公交站台主要是为 了分流,满足居民出行需要,可推测改造的原因是道路窄、公交线路多,①④正确;坡度大 会增加修建难度,若是因公交里程长增加站台,不会在原公交站台附近修建,②③错误。故 选C。第4题,材料“为了满足居民的出行需求,保障公交优先,市政部门对老城区某处公 交停车站进行了适度改造”说明停车站改造的主要目的是提高道路通行效率,A正确;公交站台与私家车的使用关系不大,B错误;促进周边商业发展不是停车站改造的主要目的,C 错误;在原公交站台的附近,又增加了一个新公交站台主要是为了分流,满足居民出行需要, 与缩短车站间的距离关系较小,D错误。 (2024·陕西宝鸡模拟)明、清两朝规定湖南“例食淮盐”,考虑到毗邻广东的湘南十余县 属南岭山区,道路崎岖难行,朝廷特恩准从广东进盐。从广州到衡阳有东西两条盐运路线, 均需水陆转运,西路由连州、桂阳至衡阳,东路由韶关、郴州至衡阳。1936年粤汉铁路通 车,粤盐通过铁路直上湖南。下图示意湘南地区部分盐运路线。据此完成5~7题。 5.明清时期,湘南地区政府专卖的是来自江苏的淮盐,但市场上流通的多是粤盐,其原因 是( ) ①地理位置邻近 ②淮盐质量低于粤盐 ③粤盐运输成本较低 ④政策支持 A.①②③ B.①②④ C.①③④ D.②③④ 6.与西路相比,东路盐运更加繁忙,主要是因为东路( ) A.城镇较多 B.里程较短 C.道路平坦 D.水运便利 7.粤汉铁路通车后,盐业地位显著下降的城市是( ) A.广州 B.韶关 C.郴州 D.衡阳 答案 5.C 6.D 7.C 解析 第5题,材料“考虑到毗邻广东的湘南十余县属南岭山区,道路崎岖难行,朝廷特恩 准从广东进盐”体现了政策支持,且与广东地理位置邻近,交通条件相对较好,粤盐运输成 本较低,①③④正确;根据材料无法体现淮盐质量低于粤盐,②错误。故选C。第6题,据 图可知,东西两条盐运路线里程相差不大,B错误;沿途的城镇并不是盐的主要市场,只是 途经路过,故与城镇多少关系不大,A错误;水运价格低廉,陆运运费高,应避免陆运,C错误;从广州到衡阳有东西两条盐运路线,均需水陆转运,东线河流水量大,水运便利,D 正确。第7题,广州和衡阳分别为粤盐运输的起点和终点,地位仍然重要,A、D错误;由 图可知,郴州原为水陆转运枢纽,铁路开通后,地位大幅下降,C正确;韶关并非转运枢纽, 与郴州相比,其原本的盐运地位并不高,不存在显著下降,B错误。 (2023·湖南永州适应考)早在20世纪90年代初,就有人提出了渤海跨海通道建设方案, 但至今仍未开工建设。山东烟台与辽宁大连直线距离约160千米,但两地陆路交通往来需绕 行天津,耗时约12小时。现有的环渤海铁路、公路运输能力基本能够满足运输需求。读图, 完成8~10题。 8.导致渤海跨海通道建设至今仍未开工的主要因素是( ) A.资金与技术 B.经济与运输 C.地震与台风 D.海冰与寒潮 9.渤海跨海通道建成后,可能使辽宁省( ) ①港口运量减少 ②人口快速流失 ③房价迅猛增长 ④辐射范围扩大 A.①② B.②③ C.①④ D.③④ 10.渤海跨海通道建成后,带来的有利影响是( ) A.出入渤海的海洋航运提速 B.海洋鱼类及生物多样性增多 C.天津的交通枢纽地位提高 D.环渤海经济圈的城镇化加快 答案 8.B 9.C 10.D 解析 第8题,交通运输线的布局受自然、社会经济和科技因素的影响,20世纪90年代初 就提出渤海跨海通道建设方案,说明资金与技术早已达到建设要求,A错误;从题干信息可 知,现有的环渤海铁路、公路运输能力基本能够满足运输需求,说明现有运输线路可以满足经济发展需要,所以未建设跨海通道,B正确;地震与台风、海冰与寒潮等自然条件限制一 直存在,不是主要限制因素,且渤海地区受台风影响较小,C、D错误。第9题,跨海通道 建成后,部分海运转化为陆运,辽宁省港口运量可能减少,①正确;渤海跨海通道的建设并 不会使辽宁省人口快速流失,②错误;跨海通道建设对辽宁省房价的影响较小,③错误;跨 海通道的建设将促进辽宁省的经济发展及人口流动,会扩大辽宁省的辐射范围,④正确,C 正确。第10题,渤海跨海通道建成后,不会使出入渤海的海洋航运提速,航运速度与船只 建造技术等因素有关,A错误;渤海跨海通道建成后,海洋鱼类及生物多样性变化不大,B 错误;渤海跨海通道建成后,会削弱天津的交通枢纽地位,C错误;环渤海经济圈内的要素 流动更加频繁,经济发展得到提升,环渤海经济圈的城镇化加快,D正确。 (2024·山东济南模拟)拉多加运河位于拉多加湖南岸,于18世纪修建,该运河曾是圣彼 得堡重要的水上运输航线,1940年后其航运价值逐渐降低。读“圣彼得堡地区略图”,完 成11~12题。 11.与拉多加湖相比,拉多加运河航运的优势是( ) A.风浪小,航行安全 B.流量稳定,季节变化小 C.封冻时间短,通航时间长 D.东西走向,与大宗物资运输方向一致 12.1940年后拉多加运河航运价值降低的主要原因有( ) ①铁路的快速发展,且受自然条件制约小 ②经济发展趋缓,运输需求量下降 ③运河河道 淤塞加重,通航能力下降 ④人口负增长,人口密度减小 A.①② B.③④ C.①③ D.②④ 答案 11.A 12.C 解析 第11题,拉多加湖地处副极地低压带(极锋)控制下,多暴风雪,再加上湖泊与陆地 热力差异,湖面风大浪高,通航条件差,与拉多加湖相比,拉多加运河风浪较小,航行安全, A正确;湖泊对水量调节作用明显,B错误;湖泊水深湖阔,封冻时间短,通航时间长,C 错误;湖泊水深湖阔,航行方向受限制小,D错误。第12题,1940年后,公路和铁路的快速发展,水运的地位下降,运河结冰期长,铁路运输对严寒气候的适应性强,受自然条件制 约小,①正确;运河流速较慢,年久失修,河道淤塞加重,通航能力下降,③正确;图中显 示有与运河并行的铁路,则铁路具有优势,使水运地位下降,而不是经济、人口的变化所引 起的,②④错误。故选C。 13.(2023·湖北黄冈中学模拟)根据图文资料,回答下列问题。(15分) 土耳其是新兴工业化国家,农牧、工业产品大量出口欧洲。近年来受“一带一路”倡议 的影响,土耳其交通等基础设施发展较快。伊安高铁(伊斯坦布尔—安卡拉)是中国在该地区 参与承建的高速铁路,于2014年建成通车。 (1)说出土耳其地理位置的优越性。(3分) (2)简述伊安高铁对土耳其社会经济发展的意义。(4分) (3)分析中国在该地区参与承建的高速铁路对中国传统制造业的影响。(8分) 答案 (1)土耳其是连接亚洲和欧洲的十字路口,扼守连接地中海与黑海的航道,东部和东 南部与石油资源丰富的伊朗、伊拉克等国接壤。 (2)完善基础设施;加强了伊斯坦布尔和安卡拉两地的联系;带动相关产业发展;增加就业。 (3)(铁路修建需要相关产品)促进了中国钢铁、机械、列车制造等相关产业的发展;该铁路的 修建改善了土耳其海峡两岸的交通联系,刺激沿线农矿资源的开发,可以为中国制造业提供 (丰富、廉价的)原料;同时激活土耳其内陆消费,为中国商品提供销售市场;加强了土耳其 与中国之间的贸易联系,有利于中国制造业的产业转移与升级,为中国制造业的产业创新提 供空间。