当前位置:首页>文档>24.1.2垂直于弦的直径(分层作业)解析版_初中数学人教版_9上-初中数学人教版_06习题试卷_1同步练习_同步练习(第3套)

24.1.2垂直于弦的直径(分层作业)解析版_初中数学人教版_9上-初中数学人教版_06习题试卷_1同步练习_同步练习(第3套)

  • 2026-04-02 00:20:16 2026-03-26 06:26:46

文档预览

24.1.2垂直于弦的直径(分层作业)解析版_初中数学人教版_9上-初中数学人教版_06习题试卷_1同步练习_同步练习(第3套)
24.1.2垂直于弦的直径(分层作业)解析版_初中数学人教版_9上-初中数学人教版_06习题试卷_1同步练习_同步练习(第3套)
24.1.2垂直于弦的直径(分层作业)解析版_初中数学人教版_9上-初中数学人教版_06习题试卷_1同步练习_同步练习(第3套)
24.1.2垂直于弦的直径(分层作业)解析版_初中数学人教版_9上-初中数学人教版_06习题试卷_1同步练习_同步练习(第3套)
24.1.2垂直于弦的直径(分层作业)解析版_初中数学人教版_9上-初中数学人教版_06习题试卷_1同步练习_同步练习(第3套)
24.1.2垂直于弦的直径(分层作业)解析版_初中数学人教版_9上-初中数学人教版_06习题试卷_1同步练习_同步练习(第3套)
24.1.2垂直于弦的直径(分层作业)解析版_初中数学人教版_9上-初中数学人教版_06习题试卷_1同步练习_同步练习(第3套)
24.1.2垂直于弦的直径(分层作业)解析版_初中数学人教版_9上-初中数学人教版_06习题试卷_1同步练习_同步练习(第3套)
24.1.2垂直于弦的直径(分层作业)解析版_初中数学人教版_9上-初中数学人教版_06习题试卷_1同步练习_同步练习(第3套)
24.1.2垂直于弦的直径(分层作业)解析版_初中数学人教版_9上-初中数学人教版_06习题试卷_1同步练习_同步练习(第3套)
24.1.2垂直于弦的直径(分层作业)解析版_初中数学人教版_9上-初中数学人教版_06习题试卷_1同步练习_同步练习(第3套)
24.1.2垂直于弦的直径(分层作业)解析版_初中数学人教版_9上-初中数学人教版_06习题试卷_1同步练习_同步练习(第3套)
24.1.2垂直于弦的直径(分层作业)解析版_初中数学人教版_9上-初中数学人教版_06习题试卷_1同步练习_同步练习(第3套)
24.1.2垂直于弦的直径(分层作业)解析版_初中数学人教版_9上-初中数学人教版_06习题试卷_1同步练习_同步练习(第3套)
24.1.2垂直于弦的直径(分层作业)解析版_初中数学人教版_9上-初中数学人教版_06习题试卷_1同步练习_同步练习(第3套)
24.1.2垂直于弦的直径(分层作业)解析版_初中数学人教版_9上-初中数学人教版_06习题试卷_1同步练习_同步练习(第3套)

文档信息

文档格式
docx
文档大小
0.995 MB
文档页数
16 页
上传时间
2026-03-26 06:26:46

文档内容

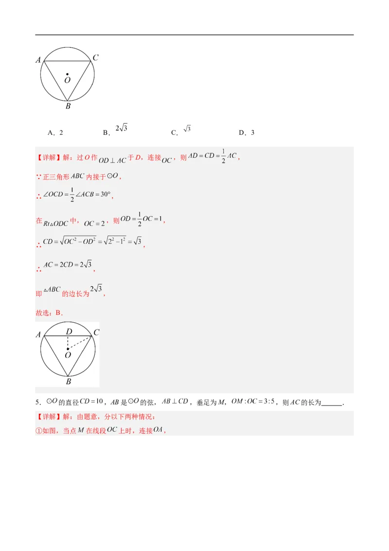
24.1.2 垂直于弦的直径 分层作业 基础训练 1.如图, 是⊙ 的直径,弦 ⊥ 于点 , ,则 ( ) A. B. C. D. 【详解】解:∵弦 于点E, cm, ∴ cm. 在 中, cm, ∴ . 故选:C. 2.如图,⊙O的半径为4,弦心距OC=2,则弦AB的长为( ) A.3 B. C.6 D. 【详解】如图所示,连接 由题意知,弦心距OC=2, 则根据垂径定理,有 在 中,则 根据垂径定理可知, 故选D. 3.如图,⊙O的直径为10,弦AB的长为6,M是弦AB上的一动点,则线段OM的长的取值范围是( ) A. B. C. D. 【详解】解:如图,连接OA,作OM⊥AB于M, ∵⊙O的直径为10, ∴半径为5, ∴OM的最大值为5, ∵OM⊥AB于M, ∴AM=BM, ∵AB=6, ∴AM=3, 在Rt△AOM中, ; 此时OM最短, 所以OM长的取值范围是4≤OM≤5. 故选:B.4.如图, 的直径 与弦 交于点E, ,则下列说法错误的是( ) A. B. C. D. 【详解】解:∵ 是 的直径与弦 交于点 , , 根据垂径定理及其推论可得,点B为劣弧 的中点,点 为优弧 的中点, ∴ , , 但不能证明 ,故 选项说法错误,符合题意; 故选:B. 5.如图,以 为直径的 中,弦 于点M,若 .则 的长为( ) A.5 B.7 C.8 D.10 【详解】解:∵AB⊥CD,CD为直径,AB=24, ∴BM=AM=12,OD= , 在Rt△OAM中,OA=OD=13,AM=12,由勾股定理得:OM=5, 即MD=OD−OM=13−5=8, 故选:C 6.如下图,在Rt△ABC中,∠ACB=90°,AC=3,BC=4,以点C为圆心,CA为半径的圆与AB交于点D, 则AD的长为( )A. B. C. D. 【详解】解:如图,过C作CM⊥AB,交AB于点M, 由垂径定理可得M为AD的中点, ∵ ,且AC=3,BC=4,AB=5, ∴ . 在Rt△ACM中,根据勾股定理得: , ∴ (舍去负值). ∴ . 故选C. 7.筒车是我国古代发明的一种水利灌溉工具,明朝科学家徐光启在《农政全书》中用图画描绘了筒车的 工作原理,如图1,筒车盛水桶的运行轨道是以轴心 为圆心的圆,如图2,已知圆心 在水面上方,且 被水面截得的弦 长为6米, 半径长为4米.若点 为运行轨道的最低点,则点 到弦 所在 直线的距离是( )A.1米 B. 米 C.2米 D. 米 【详解】解:根据题意和圆的性质知点C为 的中点, 连接OC交AB于D,则OC⊥AB,AD=BD= AB=3, 在Rt△OAD中,OA=4,AD=3, ∴OD= = = , ∴CD=OC﹣OD=4﹣ , 即点 到弦 所在直线的距离是(4﹣ )米, 故选:B. 8.圆管涵是公路路基排水中常用的涵洞结构类型,它不仅力学性能好,而且构造简单、施工方便.某水 平放置的圆管涵圆柱形排水管道的截面是直径为 的圆,如图所示,若水面宽 ,求水的最大深 度.【详解】解:如图,作 于点 ,连接 , ∵ , , ∵ , ∴ , 在 中,根据勾股定理,得 , ∴ , ∴水的最大深度为0.8m. 9.如图,有一座圆弧形拱桥,它的跨度 为 ,拱高 为 ,当洪水泛滥到跨度只有 时,就 要采取紧急措施,若某次洪水中,拱顶离水面只有 ,即 时,试通过计算说明是否需要采取紧 急措施. 【详解】设圆弧所在圆的圆心为 ,连结 , ,如图所示 设半径为 则 由垂径定理可知 , ∵ ,∴ ,且 在 中,由勾股定理可得即 ,解得 ∴ 在 中,由勾股定理可得 ∴ ∴不需要采取紧急措施. 能力提升 1.已知⊙O的半径为7,AB是⊙O的弦,点P在弦AB上.若PA=4,PB=6,则OP=( ) A. B.4 C. D.5 【详解】解:连接 ,过点 作 于点 ,如图所示, 则 , , ∵PA=4,PB=6, ∴ , ∴ , ∴ , 在 中, ,在 中, , 故选:D 2. 半径为5,弦 , , ,则 与 间的距离为( ) A.1 B.7 C.1或7 D.3或4 【详解】解:过 点作 , 为垂足,交 与 ,连 , ,如图, , , , , 而 , , , , 在 中, , ; 在 中, , ; 当圆 点在 、 之间, 与 之间的距离 ; 当圆 点不在 、 之间, 与 之间的距离 ; 所以 与 之间的距离为7或1. 故选:C. 3.如图, , 是 的两条平行弦,且 , , , 之间的距离为5,则 的直径 是( )A. B. C.8 D.10 详解】解:作 于 ,延长 交 于 ,连接 , ,设 , ∵ 、 是两条平行弦 ∴ , , , , , , , , , , , 直径长是 , 故选:B. 4.如图,正三角形 内接于 ,已知 半径为2,那么 的边长为( )A.2 B. C. D.3 【详解】解:过O作 于D,连接 ,则 , ∵正三角形 内接于 , ∴ , 在 中, ,则 , ∴ , ∴ , 即 的边长为 , 故选:B. 5. 的直径 ,AB是 的弦, ,垂足为M, ,则AC的长为 . 【详解】解:由题意,分以下两种情况: ①如图,当点 在线段 上时,连接 ,的直径 , , , , , , ; ②如图,当点 在线段 上时,连接 , 同理可得: , , ; 综上, 的长为 或 , 故答案为: 或 . 6.如图,在以O为圆心半径不同的两个圆中,大圆和小圆的半径分别为6和4,大圆的弦 交小圆于点 C,D.若 ,则 的长为 .【详解】解:如图,过点O作 垂足为点 ,连接 , , , , 根据勾股定理列方程可得, , , , , 解得 , , 故答案为: . 7.如图,我们把一个半圆与抛物线的一部分围成的封闭图形称为“果圆”.已知点A、B、C、D分别是 “果圆”与坐标轴的交点,抛物线的解析式为y=(x﹣1)2﹣4,AB为半圆的直径,则这个“果圆”被y 轴截得的弦CD的长为 .【详解】当x=0时,y=(x﹣1)2﹣4=﹣3, ∴点D的坐标为(0,﹣3), ∴OD=3; 当y=0时,有(x﹣1)2﹣4=0, 解得:x=﹣1,x=3, 1 2 ∴点A的坐标为(﹣1,0),点B的坐标为(0,3), ∴AB=4,OA=1,OB=3. 连接CM,则CM= AB=2,OM=1,如图所示. 在Rt△COM中,CO= = , ∴CD=CO+OD=3+ . 故答案为3+ . 8.“五一”节期间,小明和同学一起到游乐场游玩.如图为某游乐场大型摩天轮的示意图,其半径是 20m,它匀速旋转一周需要24分钟,最底部点B离地面1m.小明乘坐的车厢经过点B时开始计时.(1)计时4分钟后小明离地面的高度是多少? (2)在旋转一周的过程中,小明将有多长时间连续保持在离地面31m以上的空中? 【详解】(1)解:设4分钟后小明到达点 ,过点 作 于点 , 即为小明离地的高度, ∵ ∴ (m). 答:计时4分钟后小明离地面的高度是11m; (2)解:∵当旋转到 处时,作弦 交 的延长线于点 ,连接 ,此时 离地面高度 为 . 当 时, , ∵每分钟旋转的角度为: , ∴由点 旋转到 所用的时间为: (分钟). 答:在旋转一周的过程中,小明将有8分钟的时间连续保持在离地面31m以上的空中. 拔高拓展1.根据素材解决问题. 设计货船通过圆形拱桥的方案 图1种有一座圆拱石桥,图 2是其圆形桥拱的示意图, 素材1 测得水面宽 ,拱 顶离水面的距离 . 如图3,一艘货船露出水面 部分的横截面为矩形 EFGH,测得 , .因水深足够, 货船可以根据需要运载货 素材2 物.据调查,船身下降的高 度y(米)与货船增加的载 重量x(吨)满足函数关系 式 . 问题解决 任务1 确定桥拱半径 求圆形桥拱的半径 根据图3状态,货船能否通过圆形拱桥?若能,最多 任务2 拟定设计方案 还能卸载多少吨货物?若不能,至少要增加多少吨货 物才能通过? 【详解】解:任务1 记圆心为点O,则点O在 延长线上,连接 (如图1) 设桥拱的半径为 , ∵ , , ∴ ,∴ ,即圆形拱桥的半径为10米. 任务2 当 是 的弦时,记 与 的交点为M(如图2), 则 , ∴ , ∴ , ∴根据图3状态,货船不能通过圆形桥拱, 为了能顺利通过,船在水面部分至少需要下降的高度 米. ∵ , ∴ 吨, ∴至少需要增加 吨的货物.