当前位置:首页>文档>解密10导数在函数中的应用(解析版)_2.2025数学总复习_2023年新高考资料_二轮复习_考点2023年高考数学二轮复习讲义+训练(新高考专用)

解密10导数在函数中的应用(解析版)_2.2025数学总复习_2023年新高考资料_二轮复习_考点2023年高考数学二轮复习讲义+训练(新高考专用)

  • 2026-04-01 23:32:02 2026-03-27 16:52:43

文档预览

解密10导数在函数中的应用(解析版)_2.2025数学总复习_2023年新高考资料_二轮复习_考点2023年高考数学二轮复习讲义+训练(新高考专用)
解密10导数在函数中的应用(解析版)_2.2025数学总复习_2023年新高考资料_二轮复习_考点2023年高考数学二轮复习讲义+训练(新高考专用)
解密10导数在函数中的应用(解析版)_2.2025数学总复习_2023年新高考资料_二轮复习_考点2023年高考数学二轮复习讲义+训练(新高考专用)
解密10导数在函数中的应用(解析版)_2.2025数学总复习_2023年新高考资料_二轮复习_考点2023年高考数学二轮复习讲义+训练(新高考专用)
解密10导数在函数中的应用(解析版)_2.2025数学总复习_2023年新高考资料_二轮复习_考点2023年高考数学二轮复习讲义+训练(新高考专用)
解密10导数在函数中的应用(解析版)_2.2025数学总复习_2023年新高考资料_二轮复习_考点2023年高考数学二轮复习讲义+训练(新高考专用)
解密10导数在函数中的应用(解析版)_2.2025数学总复习_2023年新高考资料_二轮复习_考点2023年高考数学二轮复习讲义+训练(新高考专用)
解密10导数在函数中的应用(解析版)_2.2025数学总复习_2023年新高考资料_二轮复习_考点2023年高考数学二轮复习讲义+训练(新高考专用)
解密10导数在函数中的应用(解析版)_2.2025数学总复习_2023年新高考资料_二轮复习_考点2023年高考数学二轮复习讲义+训练(新高考专用)
解密10导数在函数中的应用(解析版)_2.2025数学总复习_2023年新高考资料_二轮复习_考点2023年高考数学二轮复习讲义+训练(新高考专用)
解密10导数在函数中的应用(解析版)_2.2025数学总复习_2023年新高考资料_二轮复习_考点2023年高考数学二轮复习讲义+训练(新高考专用)
解密10导数在函数中的应用(解析版)_2.2025数学总复习_2023年新高考资料_二轮复习_考点2023年高考数学二轮复习讲义+训练(新高考专用)
解密10导数在函数中的应用(解析版)_2.2025数学总复习_2023年新高考资料_二轮复习_考点2023年高考数学二轮复习讲义+训练(新高考专用)
解密10导数在函数中的应用(解析版)_2.2025数学总复习_2023年新高考资料_二轮复习_考点2023年高考数学二轮复习讲义+训练(新高考专用)
解密10导数在函数中的应用(解析版)_2.2025数学总复习_2023年新高考资料_二轮复习_考点2023年高考数学二轮复习讲义+训练(新高考专用)
解密10导数在函数中的应用(解析版)_2.2025数学总复习_2023年新高考资料_二轮复习_考点2023年高考数学二轮复习讲义+训练(新高考专用)
解密10导数在函数中的应用(解析版)_2.2025数学总复习_2023年新高考资料_二轮复习_考点2023年高考数学二轮复习讲义+训练(新高考专用)
解密10导数在函数中的应用(解析版)_2.2025数学总复习_2023年新高考资料_二轮复习_考点2023年高考数学二轮复习讲义+训练(新高考专用)
解密10导数在函数中的应用(解析版)_2.2025数学总复习_2023年新高考资料_二轮复习_考点2023年高考数学二轮复习讲义+训练(新高考专用)
解密10导数在函数中的应用(解析版)_2.2025数学总复习_2023年新高考资料_二轮复习_考点2023年高考数学二轮复习讲义+训练(新高考专用)
解密10导数在函数中的应用(解析版)_2.2025数学总复习_2023年新高考资料_二轮复习_考点2023年高考数学二轮复习讲义+训练(新高考专用)
解密10导数在函数中的应用(解析版)_2.2025数学总复习_2023年新高考资料_二轮复习_考点2023年高考数学二轮复习讲义+训练(新高考专用)
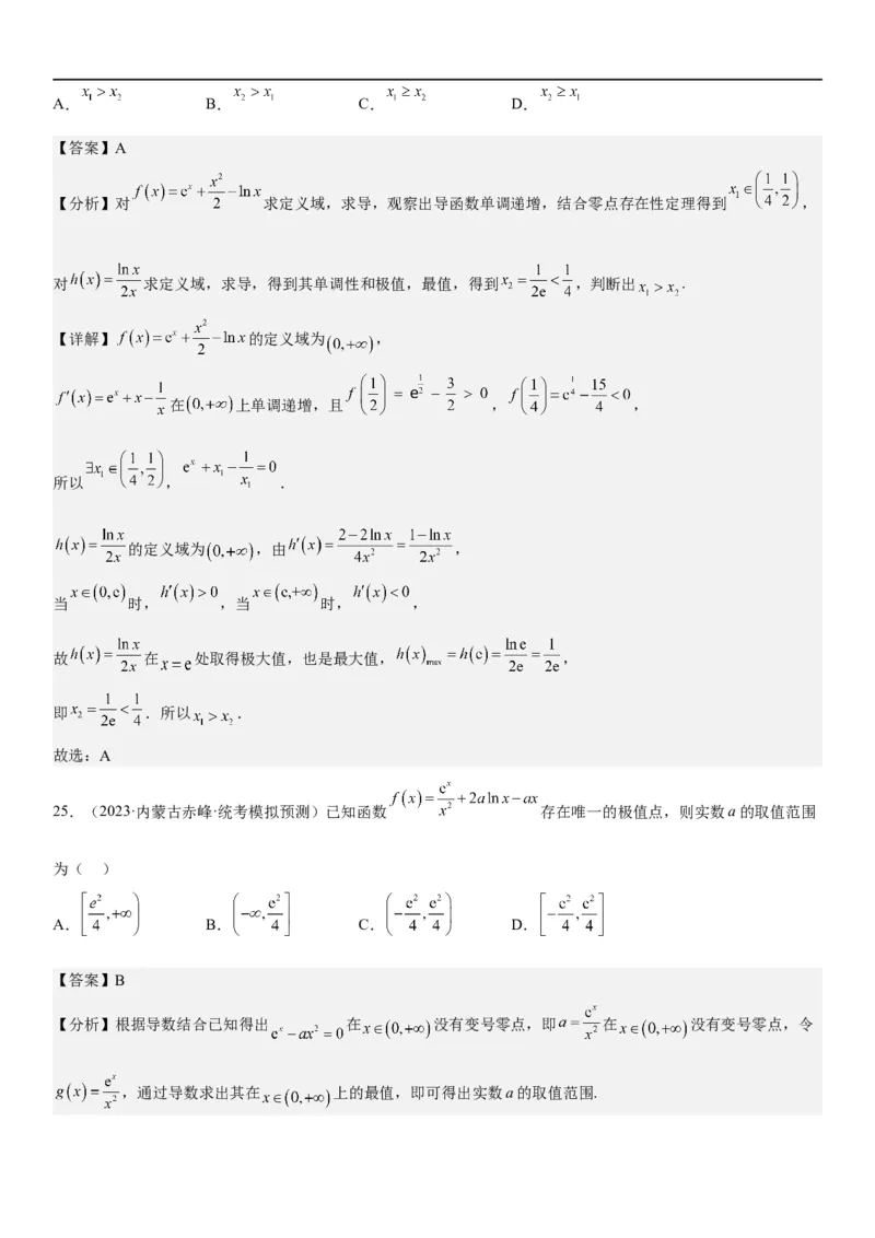
解密10导数在函数中的应用(解析版)_2.2025数学总复习_2023年新高考资料_二轮复习_考点2023年高考数学二轮复习讲义+训练(新高考专用)
解密10导数在函数中的应用(解析版)_2.2025数学总复习_2023年新高考资料_二轮复习_考点2023年高考数学二轮复习讲义+训练(新高考专用)
解密10导数在函数中的应用(解析版)_2.2025数学总复习_2023年新高考资料_二轮复习_考点2023年高考数学二轮复习讲义+训练(新高考专用)
解密10导数在函数中的应用(解析版)_2.2025数学总复习_2023年新高考资料_二轮复习_考点2023年高考数学二轮复习讲义+训练(新高考专用)
解密10导数在函数中的应用(解析版)_2.2025数学总复习_2023年新高考资料_二轮复习_考点2023年高考数学二轮复习讲义+训练(新高考专用)
解密10导数在函数中的应用(解析版)_2.2025数学总复习_2023年新高考资料_二轮复习_考点2023年高考数学二轮复习讲义+训练(新高考专用)
解密10导数在函数中的应用(解析版)_2.2025数学总复习_2023年新高考资料_二轮复习_考点2023年高考数学二轮复习讲义+训练(新高考专用)
解密10导数在函数中的应用(解析版)_2.2025数学总复习_2023年新高考资料_二轮复习_考点2023年高考数学二轮复习讲义+训练(新高考专用)
解密10导数在函数中的应用(解析版)_2.2025数学总复习_2023年新高考资料_二轮复习_考点2023年高考数学二轮复习讲义+训练(新高考专用)
解密10导数在函数中的应用(解析版)_2.2025数学总复习_2023年新高考资料_二轮复习_考点2023年高考数学二轮复习讲义+训练(新高考专用)
解密10导数在函数中的应用(解析版)_2.2025数学总复习_2023年新高考资料_二轮复习_考点2023年高考数学二轮复习讲义+训练(新高考专用)
解密10导数在函数中的应用(解析版)_2.2025数学总复习_2023年新高考资料_二轮复习_考点2023年高考数学二轮复习讲义+训练(新高考专用)
解密10导数在函数中的应用(解析版)_2.2025数学总复习_2023年新高考资料_二轮复习_考点2023年高考数学二轮复习讲义+训练(新高考专用)
解密10导数在函数中的应用(解析版)_2.2025数学总复习_2023年新高考资料_二轮复习_考点2023年高考数学二轮复习讲义+训练(新高考专用)
解密10导数在函数中的应用(解析版)_2.2025数学总复习_2023年新高考资料_二轮复习_考点2023年高考数学二轮复习讲义+训练(新高考专用)
解密10导数在函数中的应用(解析版)_2.2025数学总复习_2023年新高考资料_二轮复习_考点2023年高考数学二轮复习讲义+训练(新高考专用)
解密10导数在函数中的应用(解析版)_2.2025数学总复习_2023年新高考资料_二轮复习_考点2023年高考数学二轮复习讲义+训练(新高考专用)
解密10导数在函数中的应用(解析版)_2.2025数学总复习_2023年新高考资料_二轮复习_考点2023年高考数学二轮复习讲义+训练(新高考专用)
解密10导数在函数中的应用(解析版)_2.2025数学总复习_2023年新高考资料_二轮复习_考点2023年高考数学二轮复习讲义+训练(新高考专用)
解密10导数在函数中的应用(解析版)_2.2025数学总复习_2023年新高考资料_二轮复习_考点2023年高考数学二轮复习讲义+训练(新高考专用)
解密10导数在函数中的应用(解析版)_2.2025数学总复习_2023年新高考资料_二轮复习_考点2023年高考数学二轮复习讲义+训练(新高考专用)
解密10导数在函数中的应用(解析版)_2.2025数学总复习_2023年新高考资料_二轮复习_考点2023年高考数学二轮复习讲义+训练(新高考专用)
解密10导数在函数中的应用(解析版)_2.2025数学总复习_2023年新高考资料_二轮复习_考点2023年高考数学二轮复习讲义+训练(新高考专用)
解密10导数在函数中的应用(解析版)_2.2025数学总复习_2023年新高考资料_二轮复习_考点2023年高考数学二轮复习讲义+训练(新高考专用)
解密10导数在函数中的应用(解析版)_2.2025数学总复习_2023年新高考资料_二轮复习_考点2023年高考数学二轮复习讲义+训练(新高考专用)
解密10导数在函数中的应用(解析版)_2.2025数学总复习_2023年新高考资料_二轮复习_考点2023年高考数学二轮复习讲义+训练(新高考专用)
解密10导数在函数中的应用(解析版)_2.2025数学总复习_2023年新高考资料_二轮复习_考点2023年高考数学二轮复习讲义+训练(新高考专用)
解密10导数在函数中的应用(解析版)_2.2025数学总复习_2023年新高考资料_二轮复习_考点2023年高考数学二轮复习讲义+训练(新高考专用)
解密10导数在函数中的应用(解析版)_2.2025数学总复习_2023年新高考资料_二轮复习_考点2023年高考数学二轮复习讲义+训练(新高考专用)
解密10导数在函数中的应用(解析版)_2.2025数学总复习_2023年新高考资料_二轮复习_考点2023年高考数学二轮复习讲义+训练(新高考专用)
解密10导数在函数中的应用(解析版)_2.2025数学总复习_2023年新高考资料_二轮复习_考点2023年高考数学二轮复习讲义+训练(新高考专用)
解密10导数在函数中的应用(解析版)_2.2025数学总复习_2023年新高考资料_二轮复习_考点2023年高考数学二轮复习讲义+训练(新高考专用)
解密10导数在函数中的应用(解析版)_2.2025数学总复习_2023年新高考资料_二轮复习_考点2023年高考数学二轮复习讲义+训练(新高考专用)
解密10导数在函数中的应用(解析版)_2.2025数学总复习_2023年新高考资料_二轮复习_考点2023年高考数学二轮复习讲义+训练(新高考专用)
解密10导数在函数中的应用(解析版)_2.2025数学总复习_2023年新高考资料_二轮复习_考点2023年高考数学二轮复习讲义+训练(新高考专用)
解密10导数在函数中的应用(解析版)_2.2025数学总复习_2023年新高考资料_二轮复习_考点2023年高考数学二轮复习讲义+训练(新高考专用)
解密10导数在函数中的应用(解析版)_2.2025数学总复习_2023年新高考资料_二轮复习_考点2023年高考数学二轮复习讲义+训练(新高考专用)
解密10导数在函数中的应用(解析版)_2.2025数学总复习_2023年新高考资料_二轮复习_考点2023年高考数学二轮复习讲义+训练(新高考专用)
解密10导数在函数中的应用(解析版)_2.2025数学总复习_2023年新高考资料_二轮复习_考点2023年高考数学二轮复习讲义+训练(新高考专用)
解密10导数在函数中的应用(解析版)_2.2025数学总复习_2023年新高考资料_二轮复习_考点2023年高考数学二轮复习讲义+训练(新高考专用)

文档信息

文档格式
docx
文档大小
2.920 MB
文档页数
58 页
上传时间
2026-03-27 16:52:43

文档内容

解密10讲:导数在函数中的应用 【考点解密】 1.导数的概念 (1)如果当Δx→0时,平均变化率无限趋近于一个确定的值,即有极根,则称y=f(x)在x=x 处可导, 0 并把这个确定的值叫做y=f(x)在x=x 处的导数(也称瞬时变化率),记作f′(x)或 , 0 0 即f′(x)=lim=lim. 0 (2)当x=x 时,f′(x)是一个唯一确定的数,当x变化时,y=f′(x)就是x的函数,我们称它为y=f(x)的导函数(简 0 0 称导数),记为f′(x)(或y′),即f′(x)=y′=lim. 2.导数的几何意义 函数y=f(x)在x=x 处的导数的几何意义就是曲线y=f(x)在点P(x,f(x))处的切线的斜率, 0 0 0 相应的切线方程为y-f(x)=f′(x)(x-x). 0 0 0 3.基本初等函数的导数公式 基本初等函数 导函数 f(x)=c(c为常数) f′(x)=0 f(x)=xα(α∈Q,α≠0) f′(x)=αxα-1 f(x)=sin x f′(x)=cos x f(x)=cos x f′(x)=-sin x f(x)=ax(a>0且a≠1) f′(x)=axln a f(x)=ex f′(x)=ex f(x)=log x(a>0且a≠1) f′(x)= a f(x)=ln x f′(x)= 4.导数的运算法则 若f′(x),g′(x)存在,则有 [f(x)±g(x)]′=f′(x)±g′(x); [f(x)g(x)]′=f′(x)g(x)+f(x)g′(x); ′=(g(x)≠0); [cf(x)]′=cf′(x).5.复合函数的定义及其导数 (1)一般地,对于两个函数y=f(u)和u=g(x),如果通过中间变量u,y可以表示成x的函数,那么称这个函数为函数 y=f(u)与u=g(x)的复合函数,记作y=f(g(x)). (2)复合函数y=f(g(x))的导数和函数y=f(u),u=g(x)的导数间的关系为y′=y′·u′,即y对x的导数等于y对u x u x 的导数与u对x的导数的乘积. 6.函数的单调性与导数的关系 条件 恒有 结论 f′(x)>0 f(x)在(a,b)上单调递增 函数y=f(x)在区 f′(x)<0 f(x)在(a,b)上单调递减 间(a,b)上可导 f′(x)=0 f(x)在(a,b)上是常数函数 7.利用导数判断函数单调性的步骤 第1步,确定函数的定义域; 第2步,求出导数f′(x)的零点; 第3步,用f′(x)的零点将f(x)的定义域划分为若干个区间,列表给出f′(x)在各区间上的正负,由此得出函数 y=f(x)在定义域内的单调性. 8.函数的极值 (1)函数的极小值: 函数y=f(x)在点x=a的函数值f(a)比它在点x=a附近其他点的函数值都小,f′(a)=0;而且在点x=a附近的左侧 f′(x)<0,右侧f′(x)>0.则a叫做函数y=f(x)的极小值点,f(a)叫做函数y=f(x)的极小值. (2)函数的极大值: 函数y=f(x)在点x=b的函数值f(b)比它在点x=b附近其他点的函数值都大,f′(b)=0;而且在点x=b附近的左侧 f′(x)>0,右侧f′(x)<0.则b叫做函数y=f(x)的极大值点,f(b)叫做函数y=f(x)的极大值. (3)极小值点、极大值点统称为极值点,极小值和极大值统称为极值. 9.函数的最大(小)值 (1)函数f(x)在区间[a,b]上有最值的条件:如果在区间[a,b]上函数y=f(x)的图象是一条连续不断的曲线,那么它必有最大值和最小值. (2)求y=f(x)在区间[a,b]上的最大(小)值的步骤: ①求函数y=f(x)在区间(a,b)上的极值; ②将函数y=f(x)的各极值与端点处的函数值f(a),f(b)比较,其中最大的一个是最大值,最小的一个是最小值. 【方法技巧】 1.(1)处理与切线有关的参数问题,关键是根据曲线、切线、切点的三个关系列出参数的方程: ①切点处的导数是切线的斜率;②切点在切线上;③切点在曲线上. (2)注意区分“在点P处的切线”与“过点P处的切线”:在“点P处的切线”,说明点P为切点,点P既在曲线 上,又在切线上;“过点P处的切线”,说明点P不一定是切点,点P一定在切线上,不一定在曲线上. 2.根据函数单调性求参数的一般思路 (1)利用集合间的包含关系处理:y=f(x)在(a,b)上单调,则区间(a,b)是相应单调区间的子集. (2)f(x)为增(减)函数的充要条件是对任意的x∈(a,b)都有f′(x)≥0(f′(x)≤0),且在(a,b)内的任一非空子区间上, f′(x)不恒为零,应注意此时式子中的等号不能省略,否则会漏解. (3)函数在某个区间上存在单调区间可转化为不等式有解问题. 3.函数极值的两类热点问题 (1)求函数f(x)极值的一般解题步骤 ①确定函数的定义域. ②求导数f′(x). ③解方程f′(x)=0,求出函数定义域内的所有根. ④列表检验f′(x)在f′(x)=0的根x 左右两侧值的符号. 0 (2)根据函数极值情况求参数的两个要领 ①列式:根据极值点处导数为0和极值这两个条件列方程组,利用待定系数法求解. ②验证:求解后验证根的合理性. 【核心题型】 题型一:由函数的单调区间求参数 1.(2022·黑龙江佳木斯·佳木斯一中校考三模)已知函数 , ,若 在 单调递 增,a的取值范围是( )A. B. C. D. 【答案】B 【分析】根据函数的单调性,则导数在对应区间恒成立,分离参数,构造函数,利用导数求其最值,即可求得参 数的范围. 【详解】因为 在 单调递增, 故 在区间 恒成立, 即 ,令 则 ,故 在 单调递增, 则 ,故 , 的取值范围为 . 故选:B. 2.(2020·辽宁大连·大连二十四中校考模拟预测)已知 ,若对于 且 都 ,则 的取值范围是( ) A. B. C. D. 【答案】B 【分析】根据 ,化简整理得 ,构造函数 ,依题意 为增函数,求导,令 ,即可求解. 【详解】依题意 ,所以 , 设 ,则 为增函数,所以 ,化简整理得 .而当 时, 的最大值为1,所以 . 故答案为 【点睛】本题主要考查了根据函数的单调性求参数范围问题,难点在于构造新函数 ,并根据 的单调性进行求解,属中档题. 3.(2019·四川达州·统考一模)若 是 上的减函数,则实数 的取值范围是 A. B. C. D. 【答案】D 【分析】分别考虑 , 时, 的导数,由导数小于等于 恒成立,可得a的范围;再由函数的连续 0 性,可得 ,解不等式可得所求范围. 【详解】解:当 时, 的导数为 , 由题意可得 ,即 在 恒成立, 可得 , 由 时, 的导数为 , 由 ,解得 或 在 恒成立,即有 , 由 为 上的减函数, 可得 ,即为 ,可得 由 可得a的范围是 . 故选D. 【点睛】本题考查函数的单调性的定义和应用,考查导数的运用:求单调性,考查转化思想和运算能力,属于中档题. 题型二:由函数在区间上单调性求参数 4.(2022·宁夏吴忠·吴忠中学校考三模)若函数 ,在定义域内任取两个不相等的实数 , 不等式 恒成立,则实数a的取值范围是( ) A. B. C. D. 【答案】B 【分析】由原不等式恒成立转化为 ,构造函数 ,问题转化为 在 上 单调递增,利用导数求解即可得解. 【详解】根据题意由 在 上恒成立, 不妨设 ,则 可变形为 , 设 ,则函数 在 上单调递增, 即 在 上恒成立, 所以 ,令 ,因此 . 故选:B 5.(2022·安徽·南陵中学校联考模拟预测)已知函数 ,若当 时, ,则实数a的取值范围是( ) A. B. C. D. 【答案】B 【分析】构造函数,由单调性转化为恒成立问题求解【详解】 ,即 , 令 ,由题意得 在 上单调递增, 即 ,即 在 上恒成立 由基本不等式得 ,当且仅当 即 时等号成立,则 故选:B 6.(2022·黑龙江齐齐哈尔·统考二模)设函数 ,若 为 上的单调函数,则实数 a的取值范围为( ) A. B. C. D. 【答案】D 【分析】求出函数的导数,判断其正负,确定导函数由最小值 ,无最大值,由此确定 单调递增,得到 ,求得答案. 【详解】由 得: , 令 , 当 时, , 递减; 当 时, , 递增, 故 在 时取得最小值 ,无最大值, 由于 为 上的单调函数,只能是递增函数,故 , 即得 , 故选:D 题型三:含参数的分类讨论问题 7.(2023·全国·高三专题练习)若 是函数 的极大值点,则实数 的取值范围是 ( )A. B. C. D. 【答案】A 【分析】求出 ,分 , , , 分别讨论出函数的单调区间,从而可得其极值情况, 从而得出答案. 【详解】 , 若 时,当 时, ;当 时, ; 则 在 上单调递减;在 上单调递增. 所以当 时, 取得极小值,与条件不符合,故不满足题意. 当 时,由 可得 或 ;由 可得 所以在 上单调递增;在 上单调递减,在 上单调递增. 所以当 时, 取得极大值,满足条件. 当 时,由 可得 或 ;由 可得 所以在 上单调递增;在 上单调递减,在 上单调递增. 所以当 时, 取得极小值,不满足条件. 当 时, 在 上恒成立,即 在 上单调递增. 此时 无极值. 综上所述: 满足条件 故选:A 8.(2023秋·四川宜宾·高三四川省宜宾市第四中学校校考期末)已知函数 ,若 有四个不同的零点,则a的取值范围为( )A. B. C. D. 【答案】A 【分析】讨论 、 ,应用导数研究单调性,要使 有四个不同的解,即当两个区间均存在两个零点 时,求a的范围即可. 【详解】由题意知: 有四个不同的零点, ∴ ,则 有四个不同的解, 当 时, ,其零点情况如下: 1)当 或 时,有 ; 2)当 或 时, 或 ; 当 时, ,则有如下情况: 1)当 时 ,即 单调递增,不可能出现两个零点,不合题意; 2)当 时,在 上 , 单调递增,在 上 , 单调递减,而 有 , 有 ,所以只需 ,得 时, 必有两个零点. ∴综上,有 时, 在 、 上各有两个零点,即共有四个不同的零点. 故选:A. 【点睛】关键点点睛:应用分类讨论,利用导数研究函数的单调性,求在满足零点个数的情况下参数范围. 9.(2020·全国·高三专题练习)已知不等式ex﹣x﹣1>m[x﹣ln(x+1)]对一切正数x都成立,则实数m的取值范 围是( ) A. B. C.(﹣∞,1] D.(﹣∞,e] 【答案】C 【分析】设 ,求出函数的导数,通过讨论 的取值范围,结合函数的单调性判断. 【详解】由题意可知,当 时, 恒成立,设 , 则 , , ①当 时, 恒成立, 单调递增, , 时, , 单调递增, 又 , 时, ,符合题意, ② 时, , 恒成立, 单调递增, , (ⅰ)当 ,即 时,与①同理,符合题意; (ⅱ)当 ,即 时, , 当 时, ,且 连续, 由零点存在性定理可知,存在 ,使得 时, , 递减, 又 , 时, , 递减, , 时, ,不合题意, 综上, 的范围是 . 故选:C 【点睛】本题考查函数导数的应用的综合问题,重点考查讨论的思想,转化能力,属于难题. 题型四:根据极值(点)求参数问题 10.(2021秋·四川泸州·高三四川省泸县第二中学校考阶段练习)已知函数 与函数 的 图像上恰有两对关于x轴对称的点,则实数a的取值范围为( )A. B. C. D. 【答案】A 【分析】根据题意将函数 与 的图像上恰有两对关于 轴对称的点转化为 有两解,令新的 函数 ,求导,然后判断函数的单调性与极值,则可得 的取值范围. 【详解】因为函数 与 的图像上恰有两对关于 轴对称的点,所以 ,即 有 两解,则 有两解,令 ,则 ,所以当 时, ;当 时, ;所以函数 在 上单调递减,在 上单调递增;所以 在 处取得极小值, 所以 ,所以 , 的取值范围为 . 故选:A. 【点睛】导数是研究函数的单调性、极值(最值)最有效的工具,函数是高中数学中重要的知识点,对导数的应 用的考查主要从以下几个角度进行:(1)考查导数的几何意义,往往与解析几何、微积分相联系;(2)利用导 数求函数的单调区间,判断单调性;已知单调性,求参数;(3)利用导数求函数的最值(极值),解决生活中的 优化问题;(4)考查数形结合思想的应用. 11.(2022·陕西咸阳·武功县普集高级中学统考模拟预测)已知函数 存在极大 值点和极小值点,则实数 可以取的一个值为( ) A. B. C. D. 【答案】A 【分析】求得 的导数,可得 有两个不等的正根,等价于 的最小值小于0,分别讨论 、 ,求得 的导数,判断 的单调性和最值,解不等式可得m的取值范围,再结合选项即可得答 案.【详解】解:因为 , , 所以 , 由题意可得 有两个不等的正根, 则 的最小值小于0, 又因为 , , 当 时, 单调递增,不合题意; 当 时,由 图象可得, 一定有变号的正零点, 令 的根为 ,解得 , 当 时, 单调递减,当 时, 单调递增, 所以当 时, 取极小值,且为最小值, 所以 , 化为 , 由于 在 上单调递增,且 时, , 所以 的解为 , 则 , 只有A选项才满足, 故选:A. 【点睛】方法点睛:对于利用导数求参数范围的题型常采用分离常数法,将问题转化为求分离后的常数与函数的 最值之间的关系. 12.(2022·陕西西安·西安中学校考二模)已知函数 有两个极值点 ,若 , 则关于 的方程 的不同实根个数为( )A.2 B.3 C.4 D.5 【答案】B 【分析】先进行求导,利用导数和方程 系数相同,得到 或 ,转化为 和 , 图像交点问题, 最后利用题目条件画出 的图像即可求解. 【详解】函数 有两个极值点 ,假设 ,则 有两个不等的实 数根, ,方程 的判别式 ,所以方程 有两 解,且 或 ,函数 的图像 和直线 的交点个数即为方程 解的个数,函数 的图像和直线 的交点个数即为方程 解的个数. 在 上单调递增,在 上单调递减,又 ,画出图象如图所示, 的图像 和直线 的交点个数为2个, 的图像和直线 的交点个数为1个, 或 的根共有3个,即方程 的不同实根个数为3.故选:B. 【点睛】本题关键在于发现导数 和方程 系数对应相等,得到方程有两解, 且 或 , 再转化成图像交点问题,最后数形结合即可求解. 题型五:由导数求函数的最值问题 13.(2022·安徽·巢湖市第一中学校联考模拟预测)已知不等式 对 恒成立,则实数a的最 小值为( ) A. B. C. D.1 【答案】C 【分析】将不等式 等价为 ,令 ,再利用函数的单调性和参数分 离,结合导数可求最值,即可得解. 【详解】解:由题意得: 不等式 对 恒成立等价于不等式 对 恒成立 设 , ,则当 时, ,则 在 上单调递减 与题意矛盾 .令 ,则 在 上单调递增 ,当 ,即 时, ,则 在 上单调递增 ,符合题意; 当 ,即 时,由 ,得存在 ,使 ,当 时, ,即 ,则 在 上单调递减,则 ,不符合题意,因此实数a的最小值为 . 故选:C. 14.(2022秋·湖南郴州·高三校考阶段练习)已知函数 若方程 恰 有3个不同的实根,则实数a的取值范围为( ) A. B. C. D. 【答案】B 【分析】将函数分成两段来看,构造新函数通过观察函数在 两侧零点的分布情况来确定参数取值的情况. 【详解】由题,当 时,令 , 根据一次函数性质可得 ,此时有一个根, ,此时无根; 当 时,令 ,求导 , 令 ,当 时, 在 上单调递增,故无零点,不满足题意;当时, 在 单调递减,在 单调递增, 由题,函数 恰有3个零点,则说明在当 时,有1个零点,在 时有两个零点,故可知 且 , 所以 ,解得 ; 综上可得 故选:B 15.(2021秋·河南驻马店·高三校考阶段练习)已知函数 ,对任意 , 不等式 恒成立,则 的取值范围为( ) A. B. C. D. 【答案】B 【分析】求出函数 在 上的最值, 等价于 ,解出即可. 【详解】因为 ,所以 , 当 时,对任意的 , ,恒有 ; 当 时, , 恒有 , 所以 在 上是单调递增函数,对任意的 ,不等式 恒成立, 只要 , 又 , , 所以 ,即 , 解得 , 所以 的取值范围是 .故选:B. 题型六:由函数最值求参数问题 16.(2022·浙江·高三专题练习)已知函数 ,当 时,若 恒成立, 则 的取值范围为( ) A. B. C. D. 【答案】A 【分析】求函数导数后可知导函数为 上的增函数,根据a分类讨论,求 的最小值即可求解. 【详解】 , , 当 时, 单调递增, , (1)若 时, , 所以 在 时单调递增, 恒成立, (2)若 时, ,由 单调递增知,存在 ,使得 , 故 时, ,当 时, , 所以 在 时单调递减, 所以 ,即在 上存在 使得 , 所以 时不满足题意. 综上, , 故选:A 【点睛】关键点点睛:对a分类讨论,研究导函数的单调性,根据导函数的单调性求最小值,根据最值是否满足 不小1,判断a所取范围,属于中档题.17.(2022·辽宁丹东·统考一模)设 ,若函数 的最小值为 ,则实数 的取值范围为 ( ) A. B. C. D. 【答案】B 【分析】按 分类讨论,在 时,对 的函数利用导数求最小值,由最小值为 列不等式求 解,注意利用函数的单调性得出结论. 【详解】若 ,当 时, 为增函数,且 ,不符合题意. 若 ,最小值为 . 若 ,当 时, 的最小值为 . 当 时, ,若 ,则 ,若 ,则 , 在 在,在 上递增, 故 的最小值为 . 由 , , ,设 ,它在 上是增函数,且 , 所以 的解是 . 可得 综上,常数 的取值范围为 . 故选:B. 18.(2022秋·河南洛阳·高三校联考阶段练习)设函数 ,若 ,且 的最小值为 ,则a的值为( ) A. B. C. D.【答案】B 【分析】令 ,可得 ,构造函数利用导数即可求出. 【详解】令 ,由图象可得 , 因为 ,所以 ,即 , 则 , 令 , 则 ,令 ,解得 , 当 时, , 单调递减, ,解得 ,符合, 当 , 在 单调递减,在 单调递增, 则 ,解得 ,不符合, 综上, . 【点睛】方法点睛:本题考察双变量问题的函数与方程的应用,解决这种题的常见方法是利用换元法将变量转化 为只有1个变量,注意利用数形结合考虑变量的取值范围. 题型七:函数的单调性 极值和最值问题综合19.(2023·全国·模拟预测)已知函数 , . (1)求函数 的最值; (2)若关于x的不等式 恒成立,求实数k的取值范围. 【答案】(1)最小值为 ,无最大值. (2) 【分析】(1)利用导函数讨论函数的单调性即可求最值;(2)分离参变量,构造函数 ,利用导数 结合单调性讨论其最小值即可求解. 【详解】(1)因为 ,所以 , 令 解得 ,令 解得 , 所以 在 单调递减,在 单调递增, 所以当 时, 有最小值为 ,无最大值. (2)由 的定义域可得 , 即 , 等价于 恒成立, 令 ,所以 , 令 , 所以 在 恒成立, 所以 单调递增,, 所以存在唯一 ,使得 ,即 , 所以当 时, ,即 , 单调递减, 时, ,即 , 单调递增, 所以 由 得 ,也即 , 即 ,由(1)知 在 单调递增, 所以 , , 所以 , 所以 . 【点睛】方法点睛:分离参变量是求参数取值范围常用的方法,本题第二问对不等式等价变形为 ,从而 ,构造函数讨论单调性及最值是常用的方法,解决的关键在于 利用零点的存在性定理得 ,再根据(1)得 的单调性,进一步得到 , ,等量代换求出最小值.20.(2023·陕西·西安市西光中学校联考一模)已知函数 ,其中 为常数, 为自然对数的底数. (1)当 时,求 的单调区间; (2)若 在区间 上的最大值为 ,求 的值. 【答案】(1)函数 增区间为 ,减区间为 (2) 【分析】(1)确定函数定义域,求出函数的导数,根据导数的正负,即可求得函数的单调区间; (2)求得函数的导数,讨论a的取值范围,确定函数的单调性,确定函数的最值,结合题意,求得a的值. 【详解】(1)函数 的定义域为 当 时, , , 令 得, ;令 得, 或 ,结合定义域得 , ∴函数 增区间为 ,减区间为 ; (2) ①当 时, ,∴ ,∴函数 在 上是增函数, ∴ ,∴ ,∴ 符合题意; ②当 且 时,令 得 , + 0 - 增函数 极大值 减函数 ∴ ,∴ ,∴ 不符合题意,舍去; ③若 ,即 时,在 上 ,∴ 在 上是增函数,故 在 上的最大值为 , ∴ 不符合题意,舍去, 综合以上可得 . 21.(2023·广东广州·统考二模)已知定义在 上的函数 . (1)若 ,讨论 的单调性; (2)若 ,且当 时,不等式 恒成立,求实数 的取值范围. 【答案】(1)分类讨论,答案见解析; (2) . 【分析】(1)求出函数 的导数 ,再分类讨论解 和 作答. (2)当 时,可得 为任意正数,当 时,变形给定不等式,构造函数并利用单调性建立不等式,分离 参数求解作答. 【详解】(1)函数 , ,求导得: , 当 时, ,函数 在 上单调递增, 当 时,由 得 ,由 得 ,则 在 上递增,在 上递减, 所以当 时,函数 的递增区间是 ; 当 时,函数 的递增区间是 ,递减区间是 . (2)因为 ,且当 时,不等式 恒成立, 当 时, , 恒成立,因此 , 当 时, ,令 ,原不等式等价于 恒成立, 而 ,即函数 在 上单调递增,因此 , 即 ,令 , , 当 时, ,当 时, ,函数 在 上单调递增,在 上单调递减, ,因此 , 综上得 , 所以实数 的取值范围是 . 【点睛】关键点睛:涉及不等式恒成立问题,将给定不等式等价转化,构造函数,利用导数探求函数单调性、最 值是解决问题的关键. 【高考必刷】 一、单选题 22.(2023·云南昆明·昆明一中校考模拟预测)函数 ,则满足不等式 的实数 x的取值范围是( ) A. B. C. D. 【答案】D 【分析】对函数求导,可知函数 在 上单调递增,根据单调性可得 ,进而求出实数x的取 值范围. 【详解】由题意,函数 , 当 时, , 在 上单调递增; 而 , ,由 可得 , 即 ,易知 ,故选:D. 23.(2023·辽宁·辽宁实验中学校考模拟预测)已知函数f(x)为定义在R上的偶函数,当 时, , ,则不等式 的解集为( ) A. B. C. D. 【答案】A 【分析】根据题意构造函数 ,通过导数研究函数 的单调性和奇偶性,将不等式等价转化为 ,分情况讨论并求解即可. 【详解】因为 ,所以 , 构造函数 ,当 时, , 所以函数 在区间 内单调递增,且 , 又 是定义在R上的偶函数,所以 是定义在R上的偶函数, 所以 在区间 内单调递减,且 . 不等式 整理可得: , 即 ,当 时, ,则 ,解得 ;当 时, ,则 , 解得 ,又 ,所以 . 综上,不等式 的解集为 . 故选:A. 24.(2023·甘肃兰州·校考一模)已知函数 的极值点为 ,函数 的最大值为 ,则 ( )A. B. C. D. 【答案】A 【分析】对 求定义域,求导,观察出导函数单调递增,结合零点存在性定理得到 , 对 求定义域,求导,得到其单调性和极值,最值,得到 ,判断出 . 【详解】 的定义域为 , 在 上单调递增,且 , , 所以 , . 的定义域为 ,由 , 当 时, ,当 时, , 故 在 处取得极大值,也是最大值, , 即 .所以 . 故选:A 25.(2023·内蒙古赤峰·统考模拟预测)已知函数 存在唯一的极值点,则实数a的取值范围 为( ) A. B. C. D. 【答案】B 【分析】根据导数结合已知得出 在 没有变号零点,即 在 没有变号零点,令 ,通过导数求出其在 上的最值,即可得出实数a的取值范围.【详解】 , , 则 , , , 函数 存在唯一的极值点,且 在 上有一个变号零点 , 在 没有变号零点, 即 在 没有变号零点, 令 , , 则 , 当 时, ,则函数 单调递增; 当 时, ,则函数 单调递减; 则 , 则 , 故实数a的取值范围为 , 故选:B. 26.(2023·全国·模拟预测)函数 恰有3个零点,则 的取值范围是( ) A. B. C. D. 【答案】A 【分析】对函数 进行求导,令 ,借助 分析 的单调性,极值和最值情况即 可求解【详解】由 可得 , 令 ,所以 , 因为 在 上单调递增, 在 上单调递减, 所以 在 上单调递增, 因为 ,所以当 时, 单调递减; 当 时, 单调递增, 所以 ,即 , 要使函数 恰有3个零点,则需 ,解得 , 当 时, , , 所以存在 ,使得 , 所以当 或 时, , 单调递增; 当 时, , 单调递减; 因为 ,所以 , 因为 当 趋向于正无穷时,指数函数 的增长速率远远超过一次函数 ,且趋向于正无穷,则 趋向于正无穷, 所以存在 ,使得综上,当 时,函数 恰有3个零点, 故选:A 【点睛】关键点睛:这道题的关键之处是发现 ,故只需要存在 , , 则 即可 27.(2023·吉林·长春十一高校联考模拟预测)已知函数 ( , )在区间 上总存在零 点,则 的最小值为( ) A. B. C. D. 【答案】A 【分析】设 为函数 在区间 上的零点,得到即 ( ),转化为点 是直线 上的点, 即可得到 的值等于点 到直线 的距离的平方,从而得到关于 的函数关系式: ( ),结合导数知识,即可求解. 【详解】设 为函数 在区间 上的零点, 因为函数 ( , )在区间 上总存在零点, 所以 ,即 , , 则点 是直线 上的点, 所以 ( ),设 ( ), 则 设 , , 则 , , 令 , , 则 , 当 时, ,所以 在 上是增函数, 则 ,即当 时, , 所以 在 是增函数,则 , 即 时, ,所以 在 上是增函数, 则 , 综上: 的最小值为 , 故选:A. 28.(2022秋·新疆·高三校联考阶段练习)已知函数 对 均满足 ,其 中 是 的导数,则下列不等式恒成立的是( ) A. B.C. D. 【答案】B 【分析】构造函数 ,求导得到 ,得到其单调区间,再对选项逐一判断,即可得到结果. 【详解】令 , , ∴当 时 ,∴ 单调递增,当 时, ,∴ 单调递减. 对于A: ,即 .故A错误; 对于B: ,又 , ∴ ,故B正确; 对于C: ,又 , ∴ ,故C错误; 对于D: ,又 ,∴ ,故D错误. 故选:B. 29.(2023·全国·高三专题练习)已知函数 ,函数 有四个不同的零点,从小到大 依次为 , , , ,则 的取值范围为( ) A. B. C. D. 【答案】A【分析】根据导函数判断函数 的单调性,画出函数图像,将 有四个零点转化为 的图像与 有四个不同交点,分析可知 ,由韦达定理可得 ,设 , ,由导函数分析函数单调性,即可求出范围. 【详解】解: 时, , , 在 上单调递减,在 上单调递增, , 时, , 在 上单调递减,在 上单调递增, , 画出 的图像如下图, 有四个零点即 的图像与 有四个不同交点, 由图可得 , 是方程 ,即 的两根, 是方程 ,即 的两根, , , 则 , 设 , ,则 , 在 上单调递增, 当 时, ,即 . 故选:A.二、多选题 30.(2023·全国·唐山市第十一中学校考模拟预测)已知 存在两个极小值点,则 的取值 可以是( ) A. B. C. D. 【答案】ACD 【分析】若 存在两个极小值点,则 至少有三个变号零点,对 进行全分离, 求出 有三个变号零点时的 的取值范围,再根据 的取值范围证明此时有两个极小值点,再根据选项是否在此 范围内,即可得出结果. 【详解】解:由题知 , 定义域为 , 所以 , 若 存在两个极小值点, 则 至少有三个变号零点, 因为 ,所以需 在 上至少有两个不等于1的零点, 即 与 有两个不同的交点, 故 , , 当 时, , 单调递增, 当 时, , 单调递减, 因为指数函数增长比幂函数增长快,所以当 趋向于正无穷时, 远远大于 , 故 趋向于正无穷时, 趋向于0, 又因为 由此画出 在 图象如下: 由图象可知: , 下证:当 时, 有两个极小值点, 不妨记 与 的两个不同交点的横坐标为 , 可记 , 则当 时, ,即 , , 此时 , 单调递减, 当 时, ,即 , , 此时 , 单调递增, 当 时, ,即 , , 此时 , 单调递减, 当 时, ,即 , ,此时 , 单调递增, 故 存在两个极值点分别为 符合题意, 故 成立; 因为 , 故选项A 正确; 取 , , 所以 , 因为 , , 所以存在 ,使得 , 所以在 上, , 单调递减, 在 上, , 单调递增, 注意到 , 所以 , 即 时, ,即 , 所以 , 故选项B正确; 取 , 所以 , 故 在 上单调递减, 所以 ,即 , 所以 , 故选项C正确, 取 , 所以 , 故 在 上单调递增, 所以 ,即 , 所以 , 故选项D错误. 故选:ACD 【点睛】方法点睛:该题考查函数与导数的综合问题,属于难题,该题应用了放缩来判断数的大小,关于常见的放缩有: (1) ; (2) ; (3) ;(4) ; (5)根据函数的凹凸性,可得函数在某个区间内与函数割线的大小关系. 31.(2023·辽宁·辽宁实验中学校考模拟预测)已知函数 在 处有极值,且极值 为8,则( ) A. 有三个零点 B. C.曲线 在点 处的切线方程为 D.函数 为奇函数 【答案】AC 【分析】由条件根据极值与导数的关系求 ,判断B,利用导数分析函数 的单调性,结合零点存在性定 理判断A,根据导数的几何意义求切线,判断C,根据奇函数的定义判断D. 【详解】由题意得 ,又 ,又 ,解得 (舍 去)或 ,故B项错误; , , 当 时, , 单调递增, 当 时, , 单调递减, 当 时, , 单调递增, 又 , , , , 所以 有三个零点,故A项正确;又 , , 则曲线 在点 处的切线方程为 ,即 ,故C项正确; ,故D项错误. 故选:AC. 32.(2023·湖北·宜昌市一中校联考模拟预测)已知 ,则( ) A. B. C. D. 【答案】BC 【分析】通过多次构造函数,结合函数的性质、选项及 进行求解. 【详解】设 , ,当 时, , 为减函数;当 时, , 为增函数;所以 的最大值为 ,即 . 因为 ,所以 . 设 , ,所以当 时, 为减函数; 因为 , ,所以 . 由 可得 ,所以 ,故B正确. 设 , ,当 时, , 为减函数;当 时, , 为 增函数;所以 的最大值为 ,所以 ,即 .. 设 ,易知 为增函数,由 可得 ,故C正确. 因为 为单调递减函数, 在 上是增函数,在 上是减函数,且 的图象 经过 图象的最高点,所以当 时, 的大小无法得出,故A不正确. 令 ,则 ,得 ,易知 在 为增函数,所以 , 所以 不成立,故D不正确. 故选:BC. 【点睛】方法点睛:利用导数比较大小的常用方法: (1)作差比较法:作差,构造函数,结合函数最值进行比较; (2)作商比较法:作商,构造函数,结合函数最值进行比较; (3)数形结合法:构造函数,结合函数图象,进行比较; (4)放缩法:结合常见不等式进行放缩比较大小,比如, 等. 33.(2023·全国·高三专题练习)已知函数 ,则下列结论正确的是( ) A.当m>0时,函数 的图象在点 处的切线的斜率为 B.当m=l时,函数 在 上单调递减 C.当m=l时,函数 的最小值为1 D.若 对 恒成立,则 【答案】ABD 【分析】A. 由m>0直接求导求解判断;B. 由m=l,利用导数法求解判断;C. 由m=l,利用导数法求解判断; D. 将 对 恒成立,转化为 对 恒成立,利用 的单调性转化为 对 恒成立求解判断.【详解】解: , 当 时, ,则 ,故A正确; 当m=l时, ,令 ,则 , 所以 在 上递增,又 ,即 在 上成立, 所以 在 上递减,故B正确; 当m=l时, ,令 ,则 , 所以 在 上递增,又 , , 所以存在 ,有 ,即 ,则 , 当 时, ,当 时, , 所以 ,故C错误; 若 对 恒成立, 则 对 恒成立, 设 ,则 ,所以 在 上递增, 则 对 恒成立,即 对 恒成立, 设 ,则 ,当 时, ,当 时, , 所以 ,则 ,解得 ,故D正确. 故选:ABD 34.(2023·全国·高三专题练习)已知函数 , ,则下列说法正确的是( )A. 在 上是增函数 B. ,不等式 恒成立,则正实数 的最小值为 C.若 有两个零点 ,则 D.若 ,且 ,则 的最大值为 【答案】ABD 【分析】A选项中,令 ,利用导数可求得 单调性,根据复合函数单调性的基本原则可知A正确;B 选项中,利用导数可求得 在 上单调递增,由此可将恒成立的不等式化为 ,令 ,利用导数可求得 ,由 可知B正确;C选项中,利用导数可求得 的单调 性,由此确定 ,若 ,可等价转化为 ,令 ,利用导数 可求得 单调性,从而得到 ,知 ,可得C错误;D选项中,采用同构法将已知等式化 为 ,从而可确定 ,结合 单调性得到 ,由此化简得到 , 令 ,利用导数可求得 最大值,知D正确. 【详解】对于A,当 时, ,令 ,则 , , , 当 时, 恒成立, 在 上单调递增; 在 上单调递增, 根据复合函数单调性可知: 在 上为增函数,A正确; 对于B,当 时, ,又 为正实数, ,, 当 时, 恒成立, 在 上单调递增, 则由 得: ,即 , 令 ,则 , 当 时, ;当 时, ; 在 上单调递增,在 上单调递减, , ,则正实数 的最小值为 ,B正确; 对于C, , 当 时, ;当 时, ; 在 上单调递减,在 上单调递增; ,则 ; 不妨设 ,则必有 , 若 ,则 ,等价于 , 又 ,则等价于 ; 令 ,则 , , , , ,即 , 在 上单调递增, ,即 , ,可知 不成立,C错误; 对于D,由 , 得: ,即 , 由C知: 在 上单调递减,在 上单调递增; , ,则 , ,,即 , ; 令 ,则 , 当 时, ;当 时, ; 在 上单调递增,在 上单调递减, , 即 的最大值为 ,D正确. 故选:ABD. 【点睛】方法点睛:本题C选项考查了导数中的极值点偏移问题;处理极值点偏移中的类似于 ( )的问题的基本步骤如下: ①求导确定 的单调性,得到 的范围; ②构造函数 ,求导后可得 恒正或恒负; ③得到 与 的大小关系后,将 置换为 ; ④根据 与 所处的范围,结合 的单调性,可得到 与 的大小关系,由此证得结论. 三、填空题 35.(2023·全国·模拟预测)已知 ,函数 在 上的最小值为2,则实数 __________. 【答案】1 【分析】利用导数分类为 与 讨论,得出 在 上的最小值,由最小值为2求解a的值 即可得出答案. 【详解】 ,, 当 时,即 时, 则 在 上恒成立,则 在 上单调递增, 在 上的最小值为 ,解得 , 当 时,即 时, 当 时, , 单调递减, 当 时, , 单调递增, 在 上的最小值为 ,舍去, 综上所述: , 故答案为:1. 36.(2023·辽宁·校联考模拟预测)已知 和 是函数 的两个极值点,且 ,则 的取值范围是______. 【答案】 【分析】利用导函数和极值点的定义可得 和 是方程 的两个根,所以函数 的图象与直 线 有两个不同的交点,利用导函数作出 的图象,数形结合即可求解. 【详解】由题意可得 , 故 和 是函数 的两个零点,即是方程 的两个根, 又 ,所以 ,所以 和 是方程 的两个根, 所以函数 的图象与直线 有两个不同的交点,且交点的横坐标分别为 ,由于 ,所以当 或 时 ,当 时, , 故 在区间 , 内单调递减,在区间 内单调递增,且当 时, , 作出 的图象如图所示: 由图可知 ,且 , 因为 ,取 ,并令 ,则 , 所以 ,解得 ,此时 , 故 时 ,即m的取值范围是 , 故答案为: 37.(2023·湖南湘潭·统考二模)已知 是函数 的一个零点,且 ,则 的最小 值为__________. 【答案】 ## . 【分析】由题意得 ,设直线 ,则点 是直线l上的一点,然后求出原点O到直线l的距离,构造函数 ,利用导数求出其最小值即可. 【详解】由已知可得 . 不妨设直线 ,则点 是直线l上的一点, 原点O到直线l的距离 , 则 , 设 , 在 上递减,在 递增 可得 , 所以 的最小值为 . 故答案为: 【点睛】关键点点睛:此题考查导数的综合应用,考查函数与方程的应用,解题的关键是设直线 ,则点 是直线l上的一点,然后将问题转化为则 大于等于原点O到直线 l的距离 ,再构造函数 ,求出其最小值即可,考查数学转化思想和计算能力, 属于较难题. 38.(2022·湖南郴州·安仁县第一中学校考模拟预测) 的两个极值点 满足,则 的最小值为________. 【答案】 【分析】由已知函数求导,令 则可得 ,代入极值点后两式作商,可得到 的关系,作商得到的 结果指对互换,便可解出 ,根据题目所求 ,代入后便可构造新的函数,通过求导可求得最小值. 【详解】由函数 , , 则 ,因为函数 两个极值点 ,则 ①, ②,得 ③,设 ,则 且 ,代入③得 , 设 ,则 , 设 ,则 , 在 单调递减, ,从而 , 在 单调递 减, , 故 的最小值为 . 故答案为: 【点睛】求函数最值,通常是对所求函数求导,当一阶导数不能确定极值点时,可二阶求导确定导函数的单调性 和零点,可得到原函数的单调区间,进而求得原函数的最值. 四、解答题(共0分) 39.(2023·陕西西安·校考模拟预测)已知函数 , . (1)讨论 的单调性;(2)对 ,不等式 恒成立,求实数 的取值范围. 【答案】(1)答案见详解 (2) 【分析】(1)由题知 ,进而分 和 两种情况讨论求解即可; (2)由题知 , 恒成立,进而令 , ,再根据 ,当且仅当 时等号成立得 ,进而得 即可得答案. 【详解】(1)函数 的定义域为 , , 当 时,即 时, 在 上恒成立,则 在 上单调递增, 当 时,即 时,令 得 , 所以当 时, ,此时 单调递增; 当 时, ,此时 单调递减, 综上,当 时, 在 上单调递增;当 时, 在 上单调递增,在 上 单调递减. (2)因为对 , 恒成立,即 , 恒成立, 所以 , 恒成立, 令 , , 因为 , , 设 ,则 ,所以当 时, ,此时 单调递减;当 时, ,此时 单调递增, 所以 ,即 ,当且仅当 时等号成立, 所以 ,当且仅当 时等号成立, 令 ,则 恒成立, 所以 在 上单调递增, 因为 , , 所以方程 在 有解,即 的等号能够取到; 所以 , 所以要使 , 恒成立,则 ,即 , 所以 的取值范围是 . 【点睛】关键点点睛:小问(2)解题的关键在于借助 ,当且仅当 时等号成立,放缩 ,进而得 . 40.(2023·广东惠州·统考模拟预测)已知函数 . (1)当 时,求函数 的单调区间; (2)若函数 恒成立,求实数a的取值范围. 【答案】(1)函数 的单调递增区间为 ,单调递区间为 (2) 【分析】(1)利用导数求函数的单调区间; (2)通过构造函数利用导数找最值的方法解决恒成立问题,求解实数a的取值范围.【详解】(1)函数 的定义域是 , 当 时, , 令 得 ,所以函数 在 上单递递增; 令 得 ,所以函数 在 上单调递减. 所以函数 的单调递增区间为 ,单调递区间为 . (2) 恒成立,等价于 恒成立, 令 , 因为 恒成立,所以 在 上单调递增, 所以 ,即 , 所以 恒成立,等价于 恒成立 令 ,问题等价于 恒成立 ①若 时, 恒成立,满足题意; ②若 时,则 ,所以 ,不满足题意; ③若 时,因为 ,令 ,得 , , , 单调递减, , , 单调递增, 所以 在 处取得最小值 , 要使得 ,恒成立,只需 , 解得 综上:【解法二】 恒成立,等价于 , 令 ①若 时, ,所以 在 上单调递增, ,即 ,满足 , ②若 时,则 , ,所以 在 上单调递增, 由 , 函数 在 上单调递增,值域为 ;函数 在 上单调递增,值域 为 ; 所以 ,使得 ,不满足题意. ③若 时,令 ,∴ , 令 ,则 在 上单调递增, 函数 在 上单调递增,值域为 ;函数 在 上单调递减,值域为 ; 则 , ; , ,; , , 所以 , , , , , 单调递减, , , 单调递增, 只需 即可, ∴ ,∴ , 令 , ,∴ 在 上单调递增,,∴ 时, , , , 所以 在 上单调递增,∴ , 即 , 综上: 【点睛】1. 导函数中常用的两种常用的转化方法:一是利用导数研究含参函数的单调性,常化为不等式恒成立问 题.注意分类讨论与数形结合思想的应用;二是函数的零点、不等式证明常转化为函数的单调性、极(最)值问题处 理. 2.利用导数解决含参函数的单调性问题时,一般将其转化为不等式恒成立问题,解题过程中要注意分类讨论和数形 结合思想的应用. 3..证明不等式,构造一个适当的函数,利用它的单调性进行解题,是一种常用技巧.许多问题,如果运用这种思想 去解决,往往能获得简洁明快的思路,有着非凡的功效. 41.(2023·四川凉山·统考一模)已知函数 . (1)求 的最小值; (2)已知 ,证明: ; (3)若 恒成立,求 的取值范围. 【答案】(1)0 (2)证明见解析 (3) 【分析】(1)利用导数判断 的单调性,即可确定其最小值;(2)根据(1)的结论即可 ,再利 用对数运算法则即可证明不等式;(3)将参数 与变量 分开,通过构造函数研究其单调性,求出最值即可得出 的取值范围. 【详解】(1)因 , 则 ,令 ,得 , 又 时, ,函数 在 上单调递减; 时 ,,函数 在 上单调递增; 即函数 在 处取最小值,即 所以 的最小值为0. (2)由(1)小题结论可知 ,当且仅当 时等号成立, 则 时 ,即 所以 所以不等式成立. (3)由题可知 , 恒成立 等价于不等式 恒成立, 令 ,则命题等价于 , 由(1)知, ,即有 ,当且仅当 时等号成立, 所以 当 ,即 时能取等号,所以 ,即 的取值范围为 . 【点睛】方法点睛:求解参数取值范围问题,常用的方法是将参数与自变量分离,再通过构造函数利用导数得出 函数单调性求出其最值,即可求得参数的取值范围. 42.(2023·广西柳州·统考模拟预测)已知 ,记 的导函数为 . (1)讨论 的单调性;(2)若 有三个零点 ,且 ,证明: . 【答案】(1)答案见解析 (2)证明见解析 【分析】(1)求导得到 ,进而得到 ;令 ,分别在 、 的情况下,结合二次函 数零点的分布可确定 ,即 的正负,由此可得 单调性; (2)根据零点个数和(1)的结论可知 ,结合 可确定 ; 根据 可将所证不等式转化为 ,根据 可表示出 ,整理得到 , 构造函数 ,利用导数可求得 单调性,得到 ,从而证得结论. 【详解】(1)由题意知: 定义域为 , , 即 , ; 令 ,则 ; ①当 ,即 时, 恒成立,即 恒成立, 在 上单调递增; ②当 ,即 或 时,令 ,解得: ; 当 时, , 在 上恒成立,即 恒成立, 在 上单调递增;当 时, , 当 时, ,即 ;当 时, ,即 ; 在 上单调递增,,在 上单调递减; 综上所述:当 时, 在 上单调递增;当 时, 在 上单调递增,,在 上单调递减. (2)若 有三个零点,则由(1)知: , 又 , , , , ; , , 又 , ; 要证 ,只需证 ,即证 ; 由 得: ,即 , 即证 ,又 , 只需证 ;令 ,则 , 在 上单调递增, , 即当 时, 恒成立, , ,则原不等式得证. 【点睛】关键点点睛:本题考查讨论含参数函数单调性、利用导数证明不等式的问题;本题证明不等式的关键是 将多个变量的不等式转化为关于一个变量的不等式的形式,采用构造函数的方式可将问题转化为函数最值的求解 问题,. 43.(2023·辽宁·辽宁实验中学校考模拟预测)已知函数 . (1)求 在区间 内的极大值; (2)令函数 ,当 时,证明: 在区间 内有且仅有两个零点. 【答案】(1) (2)证明见解析 【分析】(1)利用导数研究函数的单调性,求解极大值. (2)由 可构造 ,讨论单调性和极值,证明零点个数的结论. 【详解】(1)解:由题得 , 当 时, ,当 时, , 则 在区间 内单调递增,在区间 内单调递减,所以 在区间 内的极大值为 . (2)证明: , 设 ,则 , 令 ,则 ( ),所以 在区间 内单调递减. 又 , ,故存在 ,使得 , 当 时, ,即 , 在区间 内单调递增;当 时, ,即 , 在区间 内单调递减. 又 , ,因为 ,所以 , 所以 在区间 , 内各有一个零点,即 在区间 内有且仅有两个零点. 【点睛】方法点睛:1. 导函数中常用的两种常用的转化方法:一是利用导数研究含参函数的单调性,常化为不等 式恒成立问题.注意分类讨论与数形结合思想的应用;二是函数的零点、不等式证明常转化为函数的单调性、极 (最)值问题处理. 2.利用导数解决含参函数的单调性问题时,一般将其转化为不等式恒成立问题,解题过程中要注意分类讨论和数形 结合思想的应用. 3..证明不等式,构造一个适当的函数,利用它的单调性进行解题,是一种常用技巧.许多问题,如果运用这种思想 去解决,往往能获得简洁明快的思路,有着非凡的功效.