当前位置:首页>文档>专题01三角函数的图象与性质(典型题型归类训练)(原卷版)_02高考数学_新高考复习资料_2024年新高考资料_专项复习资料_三角函数、平面向量及解三角形

专题01三角函数的图象与性质(典型题型归类训练)(原卷版)_02高考数学_新高考复习资料_2024年新高考资料_专项复习资料_三角函数、平面向量及解三角形

  • 2026-04-07 07:30:42 2026-04-07 07:12:46

文档预览

专题01三角函数的图象与性质(典型题型归类训练)(原卷版)_02高考数学_新高考复习资料_2024年新高考资料_专项复习资料_三角函数、平面向量及解三角形
专题01三角函数的图象与性质(典型题型归类训练)(原卷版)_02高考数学_新高考复习资料_2024年新高考资料_专项复习资料_三角函数、平面向量及解三角形
专题01三角函数的图象与性质(典型题型归类训练)(原卷版)_02高考数学_新高考复习资料_2024年新高考资料_专项复习资料_三角函数、平面向量及解三角形
专题01三角函数的图象与性质(典型题型归类训练)(原卷版)_02高考数学_新高考复习资料_2024年新高考资料_专项复习资料_三角函数、平面向量及解三角形
专题01三角函数的图象与性质(典型题型归类训练)(原卷版)_02高考数学_新高考复习资料_2024年新高考资料_专项复习资料_三角函数、平面向量及解三角形
专题01三角函数的图象与性质(典型题型归类训练)(原卷版)_02高考数学_新高考复习资料_2024年新高考资料_专项复习资料_三角函数、平面向量及解三角形
专题01三角函数的图象与性质(典型题型归类训练)(原卷版)_02高考数学_新高考复习资料_2024年新高考资料_专项复习资料_三角函数、平面向量及解三角形
专题01三角函数的图象与性质(典型题型归类训练)(原卷版)_02高考数学_新高考复习资料_2024年新高考资料_专项复习资料_三角函数、平面向量及解三角形
专题01三角函数的图象与性质(典型题型归类训练)(原卷版)_02高考数学_新高考复习资料_2024年新高考资料_专项复习资料_三角函数、平面向量及解三角形
专题01三角函数的图象与性质(典型题型归类训练)(原卷版)_02高考数学_新高考复习资料_2024年新高考资料_专项复习资料_三角函数、平面向量及解三角形
专题01三角函数的图象与性质(典型题型归类训练)(原卷版)_02高考数学_新高考复习资料_2024年新高考资料_专项复习资料_三角函数、平面向量及解三角形
专题01三角函数的图象与性质(典型题型归类训练)(原卷版)_02高考数学_新高考复习资料_2024年新高考资料_专项复习资料_三角函数、平面向量及解三角形
专题01三角函数的图象与性质(典型题型归类训练)(原卷版)_02高考数学_新高考复习资料_2024年新高考资料_专项复习资料_三角函数、平面向量及解三角形
专题01三角函数的图象与性质(典型题型归类训练)(原卷版)_02高考数学_新高考复习资料_2024年新高考资料_专项复习资料_三角函数、平面向量及解三角形
专题01三角函数的图象与性质(典型题型归类训练)(原卷版)_02高考数学_新高考复习资料_2024年新高考资料_专项复习资料_三角函数、平面向量及解三角形
专题01三角函数的图象与性质(典型题型归类训练)(原卷版)_02高考数学_新高考复习资料_2024年新高考资料_专项复习资料_三角函数、平面向量及解三角形
专题01三角函数的图象与性质(典型题型归类训练)(原卷版)_02高考数学_新高考复习资料_2024年新高考资料_专项复习资料_三角函数、平面向量及解三角形
专题01三角函数的图象与性质(典型题型归类训练)(原卷版)_02高考数学_新高考复习资料_2024年新高考资料_专项复习资料_三角函数、平面向量及解三角形

文档信息

文档格式
docx
文档大小
0.886 MB
文档页数
14 页
上传时间
2026-04-07 07:12:46

文档内容

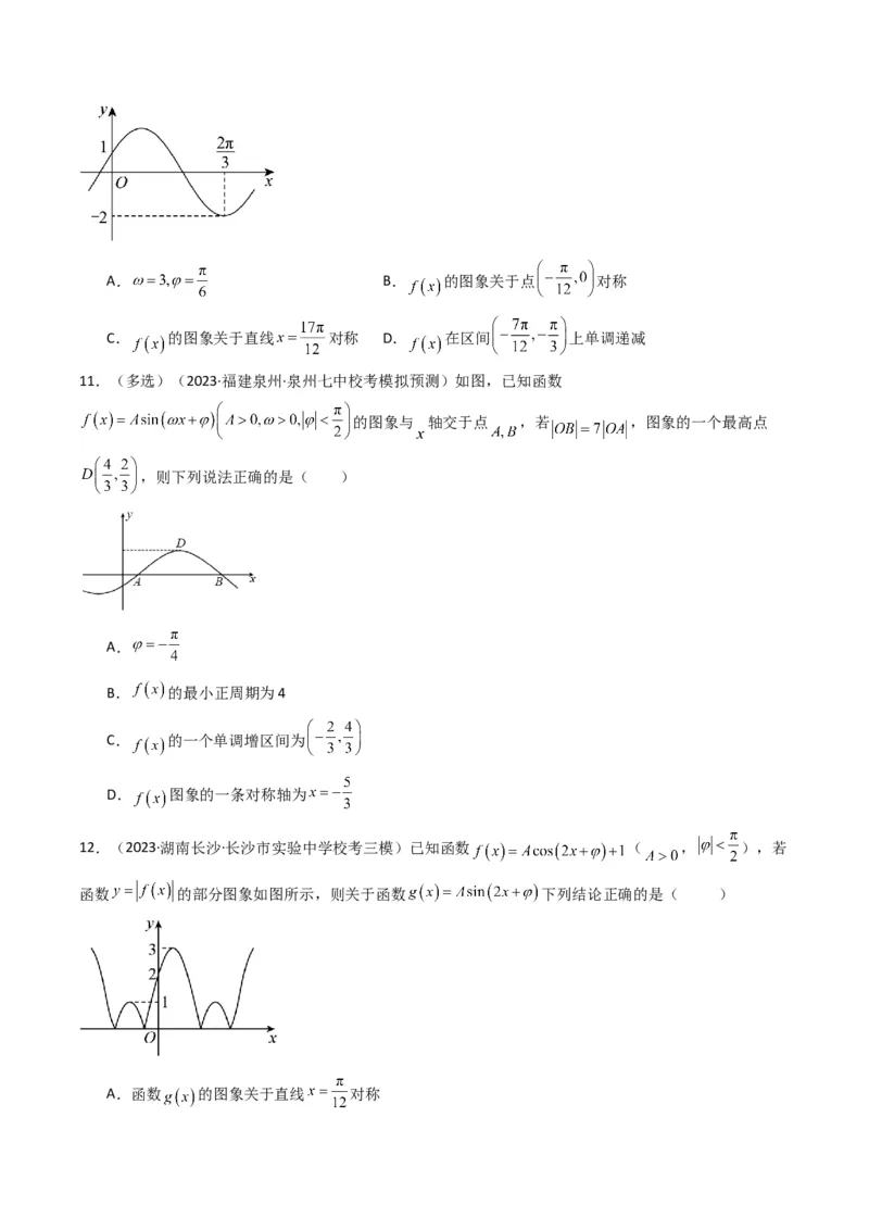
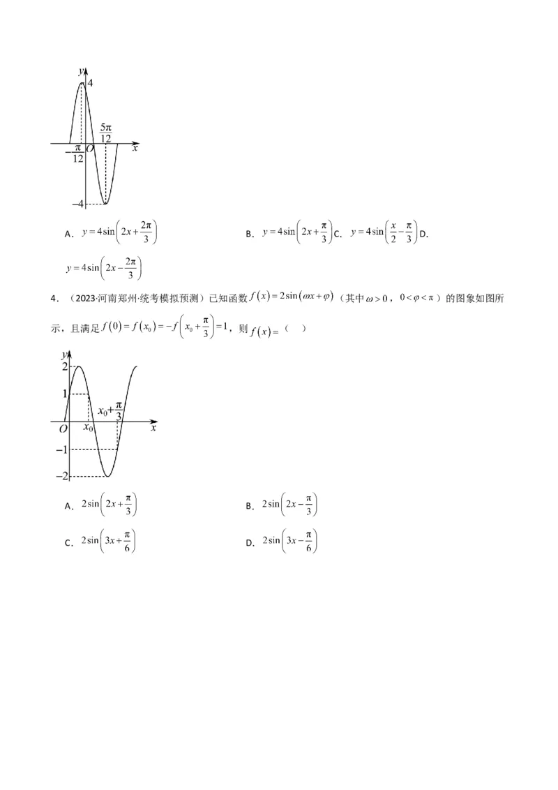
专题 01 三角函数的图象与性质(根据图象求解析式) (典型题型归类训练) 目录 一、必备秘籍........................................................1 二、典型题型........................................................2 三、专项训练........................................................5 一、必备秘籍 必备公式 ,(其中 ); 辅助角公式 求 解析式 求法 方法一:代数法 方法二:读图法 表示平衡位置; 表示振幅 求法 方法一:图中读出周期 ,利用 求解; 方法二:若无法读出周期,使用特殊点代入解析式但需注意根据具体题意取舍答案. 求法 方法一:将最高(低)点代入 求解; 方法二:若无最高(低)点,可使用其他特殊点代入 求解;但需 注意根据具体题意取舍答案. 二、典型题型 1.(2023·陕西西安·校考一模)函数 的部分图象如图所示,则下列结论正确的是( ) A.点 是 的对称中心 B.直线 是 的对称轴 C. 的图象向右平移 个单位得 的图象 D. 在区间 上单调递减 2.(2023·陕西咸阳·武功县普集高级中学校考模拟预测)函数 的部分 图象如图所示,则( ) A. B. 图象的一条对称轴方程是 C. 图象的对称中心是 , D.函数 是奇函数 3.(2023·辽宁大连·大连八中校考三模)如图,函数 的图象与坐标轴 交于点 ,直线 交 的图象于点 , 坐标原点 为 的重心 三条边中线的交点 ,其中 ,则 ( ) A. B. C. D. 4.(2023·山东泰安·统考模拟预测)已知函数 的部分 图象如图,则( ) A. B. C.点 为曲线 的一个对称中心 D.将曲线 向右平移 个单位长度得到曲线 5.(多选)(2023·广东梅州·统考三模)函数 的部分图象如图所示,若 , , , , 恒成立,则实数 的值可以为( ) A. B. C. D. 6.(2023·山东聊城·统考三模)如图,函数 的图象经过 的三个顶点,且 . (1)求 ; (2)若 的面积为 , ,求 在区间 上的值域. 三、专项训练 1.(2023·四川眉山·仁寿一中校考模拟预测).函数 的部分图象如图所示,则下列说法正确的是( ) A. 的最小正周期为 B. C. 在 上单调递增 D.将函数 的图象向左平移 个单位,得到函数 的图象 2.(2023·江苏徐州·校考模拟预测)函数 ( , )的部分图象如图所示, 若 在 上有且仅有3个零点,则 的最小值为( ) A. B. C. D. 3.(2023·陕西宝鸡·统考二模)已知函数 的部分图象如图所示,则该 函数的解析式为( )A. B. C. D. 4.(2023·河南郑州·统考模拟预测)已知函数 (其中 , )的图象如图所 示,且满足 ,则 ( ) A. B. C. D.5.(2023·河北衡水·衡水市第二中学校考三模)函数 的部分图象如图所 示,则 ( ) A.-2 B.-1 C.0 D. 6.(2023·广东韶关·统考模拟预测)函数 的部分图象如图所示, 将函数 图象上所有点的横坐标变为原来的 (纵坐标不变),再向左平移 个单位得到 的 图象,则下列说法不正确的是( ) A.函数 的最小正周期为 B.函数 在 上单调递增 C.函数 的一个极值点为 D.函数 的一个零点为 7.(2023·陕西安康·陕西省安康中学校考模拟预测)已知函数 的部分图象如图所示, 则 ( )A.1 B. C.2 D. 8.(2023·宁夏石嘴山·石嘴山市第三中学校考模拟预测)如图是函数 的部分 图象,且 ,则 ( ) A.1 B. C. D. 9.(多选)(2023·广西玉林·统考模拟预测)已知函数 的部分图 象如图所示,下列说法正确的是( ) A. B.函数 的图象关于 对称 C.函数 在 的值域为 D.要得到函数 的图象,只需将函数 的图象向左平移 个单位 10.(多选)(2023·河南·校联考模拟预测)已知函数 的部分 图象如图所示,则( )A. B. 的图象关于点 对称 C. 的图象关于直线 对称 D. 在区间 上单调递减 11.(多选)(2023·福建泉州·泉州七中校考模拟预测)如图,已知函数 的图象与 轴交于点 ,若 ,图象的一个最高点 ,则下列说法正确的是( ) A. B. 的最小正周期为4 C. 的一个单调增区间为 D. 图象的一条对称轴为 12.(2023·湖南长沙·长沙市实验中学校考三模)已知函数 ( , ),若 函数 的部分图象如图所示,则关于函数 下列结论正确的是( ) A.函数 的图象关于直线 对称B.函数 的图象关于点 对称 C.函数 在区间 上单调递增 D.函数 的图象可由函数 的图象向左平移 个单位长度得到 13.(多选)(2023·湖南长沙·长沙市实验中学校考二模)如图是函数 ( , , )的部分图像,则( ) A. 的最小正周期为 B. 是的函数 的一条对称轴 C.将函数 的图像向右平移 个单位后,得到的函数为奇函数 D.若函数 ( )在 上有且仅有两个零点,则 14.(多选)(2023·江苏无锡·校联考三模)已知函数 的部分图象如图所示,则 ( )A. B. 在区间 上单调递增 C. 在区间 上有且仅有2个极小值点 D. 在区间 上有且仅有2个极大值点 15.(多选)(2023·海南·校联考模拟预测)已知函数 的部分 图象如图所示,则( ) A. 的图象关于点 对称 B. 的图象关于直线 对称 C. 在区间 上单调递减 D. 在区间 上的值域为 16.(多选)(2023·全国·模拟预测)已知函数 的部分图像 如图,则( )A. B. C.将曲线 向右平移 个单位长度得到曲线 D.点 为曲线 的一个对称中心 17.(2023·贵州六盘水·统考模拟预测)已知函数 在一个周期内的 图象如图所示. (1)求 的解析式; (2)当 时,求使 成立的x的取值集合. 18.(2023·安徽·池州市第一中学校联考模拟预测)已知函数 的部分图象如图所示.(1)求函数 的解析式; (2)将函数 的图象向右平移 个单位,再横坐标伸长为原来的2倍,纵坐标不变,最后将图象向上平 移1个单位,得到函数 的图象,求函数 在区间 上的值域. 19.(2023·辽宁鞍山·鞍山一中校考二模)函数 的部分图象如图所 示. (1)求函数 的解析式; (2)将函数 的图象先向右平移 个单位,再将所有点的横坐标缩短为原来的 (纵坐标不变),得到 函数 的图象,若关于 的方程 在 上有两个不等实根 ,求实数 的取值范围, 并求 的值.20.(2023·安徽六安·安徽省舒城中学校考模拟预测)已知函数 )的部分图象如图所示. (1)求函数 的解析式; (2)在 中,角 的对边分别是 ,若 ,求 的取值范围. 21.(2023·安徽安庆·安庆一中校考模拟预测)某港口在一天之内的水深变化曲线近似满足函数 ,其中 为水深(单位:米), 为时间(单位:小 时),该函数图像如图所示. (1)求函数 的解析式; (2)若一艘货船的吃水深度(船底与水面的距离)为4米,安全条例规定至少要有1.5米的安全间隙(船底 与水底的距离),则该船一天之内至多能在港口停留多久?