当前位置:首页>文档>专题04解三角形(中线问题)(典型题型归类训练)(解析版)_02高考数学_新高考复习资料_2024年新高考资料_专项复习资料_三角函数、平面向量及解三角形_教师版(含答案解析)

专题04解三角形(中线问题)(典型题型归类训练)(解析版)_02高考数学_新高考复习资料_2024年新高考资料_专项复习资料_三角函数、平面向量及解三角形_教师版(含答案解析)

  • 2026-04-08 02:22:19 2026-04-08 01:58:59

文档预览

专题04解三角形(中线问题)(典型题型归类训练)(解析版)_02高考数学_新高考复习资料_2024年新高考资料_专项复习资料_三角函数、平面向量及解三角形_教师版(含答案解析)
专题04解三角形(中线问题)(典型题型归类训练)(解析版)_02高考数学_新高考复习资料_2024年新高考资料_专项复习资料_三角函数、平面向量及解三角形_教师版(含答案解析)
专题04解三角形(中线问题)(典型题型归类训练)(解析版)_02高考数学_新高考复习资料_2024年新高考资料_专项复习资料_三角函数、平面向量及解三角形_教师版(含答案解析)
专题04解三角形(中线问题)(典型题型归类训练)(解析版)_02高考数学_新高考复习资料_2024年新高考资料_专项复习资料_三角函数、平面向量及解三角形_教师版(含答案解析)
专题04解三角形(中线问题)(典型题型归类训练)(解析版)_02高考数学_新高考复习资料_2024年新高考资料_专项复习资料_三角函数、平面向量及解三角形_教师版(含答案解析)
专题04解三角形(中线问题)(典型题型归类训练)(解析版)_02高考数学_新高考复习资料_2024年新高考资料_专项复习资料_三角函数、平面向量及解三角形_教师版(含答案解析)
专题04解三角形(中线问题)(典型题型归类训练)(解析版)_02高考数学_新高考复习资料_2024年新高考资料_专项复习资料_三角函数、平面向量及解三角形_教师版(含答案解析)
专题04解三角形(中线问题)(典型题型归类训练)(解析版)_02高考数学_新高考复习资料_2024年新高考资料_专项复习资料_三角函数、平面向量及解三角形_教师版(含答案解析)
专题04解三角形(中线问题)(典型题型归类训练)(解析版)_02高考数学_新高考复习资料_2024年新高考资料_专项复习资料_三角函数、平面向量及解三角形_教师版(含答案解析)
专题04解三角形(中线问题)(典型题型归类训练)(解析版)_02高考数学_新高考复习资料_2024年新高考资料_专项复习资料_三角函数、平面向量及解三角形_教师版(含答案解析)
专题04解三角形(中线问题)(典型题型归类训练)(解析版)_02高考数学_新高考复习资料_2024年新高考资料_专项复习资料_三角函数、平面向量及解三角形_教师版(含答案解析)
专题04解三角形(中线问题)(典型题型归类训练)(解析版)_02高考数学_新高考复习资料_2024年新高考资料_专项复习资料_三角函数、平面向量及解三角形_教师版(含答案解析)
专题04解三角形(中线问题)(典型题型归类训练)(解析版)_02高考数学_新高考复习资料_2024年新高考资料_专项复习资料_三角函数、平面向量及解三角形_教师版(含答案解析)
专题04解三角形(中线问题)(典型题型归类训练)(解析版)_02高考数学_新高考复习资料_2024年新高考资料_专项复习资料_三角函数、平面向量及解三角形_教师版(含答案解析)
专题04解三角形(中线问题)(典型题型归类训练)(解析版)_02高考数学_新高考复习资料_2024年新高考资料_专项复习资料_三角函数、平面向量及解三角形_教师版(含答案解析)
专题04解三角形(中线问题)(典型题型归类训练)(解析版)_02高考数学_新高考复习资料_2024年新高考资料_专项复习资料_三角函数、平面向量及解三角形_教师版(含答案解析)
专题04解三角形(中线问题)(典型题型归类训练)(解析版)_02高考数学_新高考复习资料_2024年新高考资料_专项复习资料_三角函数、平面向量及解三角形_教师版(含答案解析)
专题04解三角形(中线问题)(典型题型归类训练)(解析版)_02高考数学_新高考复习资料_2024年新高考资料_专项复习资料_三角函数、平面向量及解三角形_教师版(含答案解析)
专题04解三角形(中线问题)(典型题型归类训练)(解析版)_02高考数学_新高考复习资料_2024年新高考资料_专项复习资料_三角函数、平面向量及解三角形_教师版(含答案解析)
专题04解三角形(中线问题)(典型题型归类训练)(解析版)_02高考数学_新高考复习资料_2024年新高考资料_专项复习资料_三角函数、平面向量及解三角形_教师版(含答案解析)
专题04解三角形(中线问题)(典型题型归类训练)(解析版)_02高考数学_新高考复习资料_2024年新高考资料_专项复习资料_三角函数、平面向量及解三角形_教师版(含答案解析)
专题04解三角形(中线问题)(典型题型归类训练)(解析版)_02高考数学_新高考复习资料_2024年新高考资料_专项复习资料_三角函数、平面向量及解三角形_教师版(含答案解析)
专题04解三角形(中线问题)(典型题型归类训练)(解析版)_02高考数学_新高考复习资料_2024年新高考资料_专项复习资料_三角函数、平面向量及解三角形_教师版(含答案解析)
专题04解三角形(中线问题)(典型题型归类训练)(解析版)_02高考数学_新高考复习资料_2024年新高考资料_专项复习资料_三角函数、平面向量及解三角形_教师版(含答案解析)
专题04解三角形(中线问题)(典型题型归类训练)(解析版)_02高考数学_新高考复习资料_2024年新高考资料_专项复习资料_三角函数、平面向量及解三角形_教师版(含答案解析)

文档信息

文档格式
docx
文档大小
1.314 MB
文档页数
21 页
上传时间
2026-04-08 01:58:59

文档内容

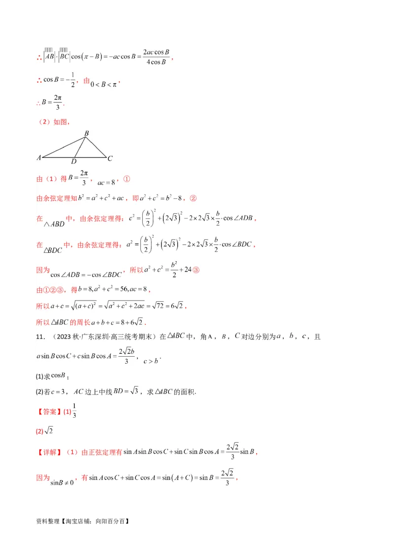
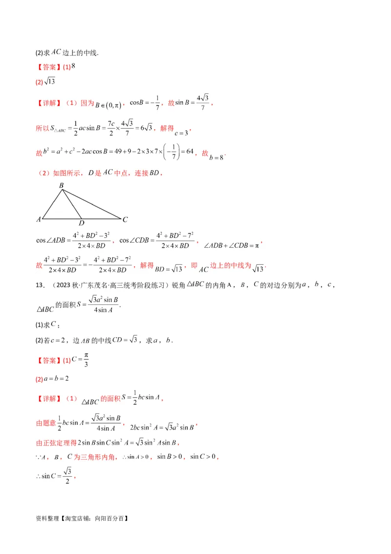
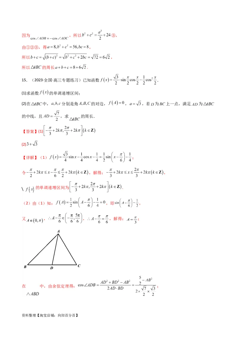
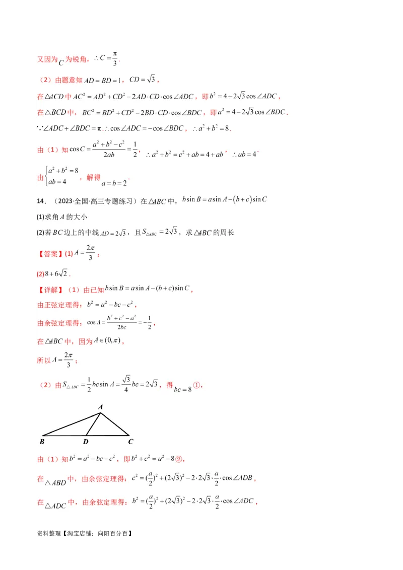
专题 04 解三角形(中线问题) (典型题型归类训练) 目录 一、必备秘籍........................................................1 二、典型题型........................................................1 方法一:向量化(三角形中线向量化)................................1 方法二:角互补...................................................4 三、专项训练........................................................7 一、必备秘籍 1、向量化(三角形中线问题) 如图在 中, 为 的中点, (此秘籍在解决三角形中线问题时,高效便捷) 2、角互补 二、典型题型 方法一:向量化(三角形中线向量化) 1.(2023·四川泸州·校考三模)在 中,角 所对的边分别为 , , 资料整理【淘宝店铺:向阳百分百】. (1)求 的值; (2)若 ,求 边上中线 的长. 【答案】(1) (2) 【详解】(1)由正弦定理得: , , , , ,又 , ,解得: . (2) , , 由余弦定理得: , , , ,即 边上中线 的 长为 . 2.(2023·四川宜宾·统考模拟预测) 的内角 所对边分别为 , , ,已知 , . (1)若 ,求 的周长; (2)若 边的中点为 ,求中线 的最大值. 【答案】(1) (2) 【详解】(1)∵ ,由正弦定理可得: ,则 , 若 ,则 ,解得 , 故 的周长 . (2)∵ , ∴ , 由(1)可得: ,即 , 资料整理【淘宝店铺:向阳百分百】∵ ,当且仅当 时,等号成立, ∴ ,则 , 故 ,则 , 所以 的最大值为 . 3.(2023·安徽安庆·安庆市第二中学校考模拟预测)已知函数 . (1)求 的单调递增区间; (2)记 分别为 内角 的对边,且 , 的中线 ,求 面积的最大 值. 【答案】(1) (2) 【详解】(1) 由 , 解得 , 的单调递增区间为 ; (2)因为 ,可得 , 因为 ,所以 即 , 由 及 可得, , 资料整理【淘宝店铺:向阳百分百】所以 所以 即 ,当且仅当 时取到等号, 所以 , 故 面积的最大值为 . 方法二:角互补 1.(2023·全国·高三专题练习)在① ;② ;③ ,这三个条作中任选一个,补充在下面的横线上,并解答.在 中,角A,B,C 所对的边分别为a,b,c,且 . (1)求角C的大小; (2)若 ,求 的中线 长度的最小值. 【答案】(1)答案见解析 (2) 【详解】(1)选择条件①:由 及正弦定理,得: , 即 ,由余弦定理,得 , 因为 ,所以 ; 选择条件②:由 及正弦定理, 得: , 即 . 即 . 在 中, ,所以 , 即 ,因为 ,所以 ,所以 , 因为 ,所以 ; 选择条件③:由 及正弦定理, 资料整理【淘宝店铺:向阳百分百】得: , 因为 , ,所以 . 在 中, ,则 , 故 . 因为 ,所以 ,则 , 故 ; (2)因为 ,所以 , 整理得 , 在三角形 中,由余弦定理得 . 因为 ,当且仅当 时取等号, 所以 ,即 , 所以 ,即 , 即 长度的最小值为 . 2.(2023·全国·高三专题练习)在△ABC中,内角A,B,C的对边分别为a,b,c,且 . (1)求角A; (2)若AD为BC边上中线, ,求△ABC的面积. 【答案】(1) (2) 【详解】(1)由正弦定理得 , ∴ , 资料整理【淘宝店铺:向阳百分百】∴ , ∴ , ∵ ,∴ , 又∵ , ∴ , (2)由已知得 , , 在△ 中,由余弦定理得 , 在△ 中,由余弦定理得 , 又∵ , ∴ , 在△ 中,由余弦定理得 , 以上两式消去 得 , 解得 或 (舍去), 则 . 3.(2023·全国·高三专题练习)已知函数 . (1)求函数 的单调递增区间; (2)在 中, 分别是角 的对边, ,若 为 上一点,且满足 ____________,求 的面积 . 请从① ;② 为 的中线,且 ;③ 为 的角平分线,且 . 这三个条件中任意选一个补充到横线处并作答.(注:如果选择多个条件分别解答,按第一个解答计分) 【答案】(1) , (2)答案见解析 【详解】(1) , 资料整理【淘宝店铺:向阳百分百】由 ,得 , , ∴函数 的单调递增区间为 , ; (2)由 ,得 , 又 中 , ,可知 ; 若选① : 由 ,可知 ,可化为 , 又 ,则 , 又 中 ,故 ,所以 , 则 ,故 ; 若选②: 为 的中线,且 在 中, , ,则有 , 在 中, , 在 中, , 又 , 则 则 ,又知 ,故 ; 故 ; 若选③: 为 的角平分线,且 . 由题意知, , 即 ,整理得 资料整理【淘宝店铺:向阳百分百】又在 中, , ,则有 , 故 解之得, ,故 . 三、专项训练 1.(2023·全国·高三专题练习)在等腰 中,AB=AC,若AC边上的中线BD的长为3,则 的面 积的最大值是( ) A.6 B.12 C.18 D.24 【答案】A 【详解】设 , , 由于 , 在 和 中应用余弦定理可得: ,整理可得: , 结合勾股定理可得 的面积: , 当且仅当 时等号成立. 则 面积的最大值为6. 故选:A. 2.(2023·安徽·合肥一中校联考模拟预测)记 的内角A,B,C的对边分别是a,b,c,已知 . (1)求A; 资料整理【淘宝店铺:向阳百分百】(2)若 ,求 边中线 的取值范围. 【答案】(1) (2) 【详解】(1)由已知可得 , 由余弦定理可得 ,整理得 , 由余弦定理可得 ,又 , 所以 . (2)因为M为 的中点,所以 , 则 , 即 . 因为 ,所以 . 所以 , 所以 . 3.(2023·湖北·荆门市龙泉中学校联考二模)已知在 中,角A、B、C的对边分别是a、b、c, . (1)若BC边上的高等于 ,求 ; (2)若 ,求AB边上的中线CD长度的最小值. 【答案】(1) (2) 【详解】(1)过 作 ,垂足为 ,则 , 资料整理【淘宝店铺:向阳百分百】, , 在三角形 中,由余弦定理得 . (2) , ,两边平方得 ,当且仅当 时等号成立, 所以 的最小值为 . 4.(2023·浙江杭州·统考一模)已知 中角 、 、 所对的边分别为 、 、 ,且满足 , . (1)求角A; (2)若 , 边上中线 ,求 的面积. 【答案】(1) (2) 【详解】(1) , 所以由正弦定理得 , , 资料整理【淘宝店铺:向阳百分百】,即 , , , , ; (2) , 则 , 即 , 而 , 边上中线 , 故 ,解得 , . 5.(2023·辽宁沈阳·沈阳二中校考模拟预测)在 中,角A,B,C的对边分别是a,b,c,若 (1)求角A的大小; (2)若 ,求中线AD长的最大值(点D是边BC中点). 【答案】(1) (2) 【详解】(1)因为 , 由正弦定理可得: , 即 , , 因为 ,所以 , 所以 , 因为 ,所以 . (2)由(1)得 , 资料整理【淘宝店铺:向阳百分百】则 , 所以 ,即 , 当且仅当 时等号成立, 因为点D是边BC中点, 所以 , 两边平方可得: , 则 , 所以 , 中线AD长的最大值为 . 6.(2023·四川内江·校考模拟预测)在 ABC中,D是边BC上的点, , ,AD平分 ∠BAC, ABD的面积是 ACD的面积的△两倍. △ △ (1)求 ACD的面积; (2)求 ABC的边BC上的中线AE的长. △ △ 【答案】(1) (2) . 【详解】(1)由已知及正弦定理可得: , 化简得: . 又因为: ,所以 , 所以 , 所以 ACD的面积为 . △ (2)由(1)可知 ,因为AE是 ABC的边BC上的中线, △ 资料整理【淘宝店铺:向阳百分百】所以 , 所以 , 所以 ABC的边BC上的中线AE的长为 . △ 7.(2023·山东日照·山东省日照实验高级中学校考模拟预测)在 中,角A,B,C的对边分别为a, b,c,且 . (1)求角A的大小; (2)若 边上的中线 ,求 面积的最大值. 【答案】(1) (2) 【详解】(1)依题意有 ,又 , ,又 , 解得 , , ; (2)因为 所以 , 当且仅当 时成立, 故 面积的最大值为 . 8.(2023·辽宁朝阳·校联考一模)在 中,角 所对的边分别为 . (1)求 ; (2)若 ,求 的中线 的最小值. 【答案】(1) 资料整理【淘宝店铺:向阳百分百】(2) 【详解】(1)因为 所以 , 由正弦定理可得 ,所以 ,因为 , 则 ; (2)由题意 , 则 , 则 ,即 的中线 的最小值为 (当且仅当 取最小值); 综上, 的最小值为 . 9.(2023·安徽淮南·统考一模)已知 内角 所对的边分别为 ,面积为 ,再从条件①、 条件②这两个条件中选择一个作为已知条件(若两个都选,以第一个评分),求: (1)求角 的大小; (2)求 边中线 长的最小值. 条件①: ; 条件②: . 【答案】(1) (2) 【详解】(1)选条件①: , 因为 中 ,所以 , 由正弦定理可得 , 即 , , 又 ,所以 . 选条件②: 资料整理【淘宝店铺:向阳百分百】由余弦定理可得 即 , 由正弦定理可得 , 因为 ,所以 ,所以 ,即 , 又 ,所以 . (2)由(1)知, 的面积为 ,所以 ,解得 , 由平面向量可知 , 所以 , 当且仅当 时取等号, 故 边中线 的最小值为 . 10.(2023·全国·高三专题练习)如图,已知 的内角A,B,C的对边分别为a,b,c, . (1)求B; (2)若AC边上的中线 ,且 ,求 的周长. 【答案】(1) (2) 【详解】(1)∵ , 由余弦定理可得 , 资料整理【淘宝店铺:向阳百分百】∴ , ∴ ,由 , ∴ . (2)如图, 由(1)得 , ,① 由余弦定理知 ,即 ,② 在 中,由余弦定理得: , 在 中,由余弦定理得: , 因为 ,所以 ③ 由①②③,得 , 所以 , 所以 的周长 . 11.(2023秋·广东深圳·高三统考期末)在 中,角 , , 对边分别为 , , ,且 , . (1)求 ; (2)若 , 边上中线 ,求 的面积. 【答案】(1) (2) 【详解】(1)由正弦定理有 , 因为 ,有 , 资料整理【淘宝店铺:向阳百分百】因为 ,故 , ; (2)法一:在 和 中, , 因为 , ,则 , 因为 ,所以 , 所以 ; 法二:因为 ,所以 , 有 , 因为 ,所以 , 所以 ; 法三:如图,作 交 于 ,则 是 的中点, 所以 , , , 即 ,解得 , 所以 . 12.(2023·全国·高三专题练习)在 中, . (1)求 ; 资料整理【淘宝店铺:向阳百分百】(2)求 边上的中线. 【答案】(1) (2) 【详解】(1)因为 , ,故 , 所以 ,解得 , 故 ,故 . (2)如图所示, 是 中点,连接 , , , , 故 ,解得 ,即 边上的中线为 . 13.(2023秋·广东茂名·高三统考阶段练习)锐角 的内角 , , 的对边分别为 , , , 的面积 . (1)求 ; (2)若 ,边 的中线 ,求 , . 【答案】(1) (2) 【详解】(1) 的面积 , 由题意 , , 由正弦定理得 , , , 为三角形内角, , , , , 资料整理【淘宝店铺:向阳百分百】又因为 为锐角, . (2)由题意知 , , 在 中 ,即 , 在 中, ,即 . . , . 由(1)知 , , . 由 ,解得 . 14.(2023·全国·高三专题练习)在 中, (1)求角A的大小 (2)若BC边上的中线 ,且 ,求 的周长 【答案】(1) ; (2) . 【详解】(1)由已知 , 由正弦定理得: , 由余弦定理得: , 在 中,因为 , 所以 ; (2)由 ,得 ①, 由(1)知 ,即 ②, 在 中,由余弦定理得: , 在 中,由余弦定理得: , 资料整理【淘宝店铺:向阳百分百】因为 ,所以 ③, 由①②③,得 , 所以 , 所以 的周长 . 15.(2023·全国·高三专题练习)已知函数 . (1)求函数 的单调递增区间; (2)在 中, 分别是角 的对边, , ,若 为 上一点,满足 为 的中线,且 ,求 的周长. 【答案】(1) (2) 【详解】(1) ; 令 ,解得: , 的单调递增区间为 . (2)由(1)知: ,即 , 又 , , ,解得: ; 在 中,由余弦定理得: ; 资料整理【淘宝店铺:向阳百分百】在 中,由余弦定理得: ; , ,即 , ; 在 中,由余弦定理得: , 解得: ; , , 的周长为 . 资料整理【淘宝店铺:向阳百分百】