当前位置:首页>文档>专题15等比数列性质归类(解析版)_02高考数学_2025年新高考资料_一轮复习_上好课2025年高考数学一轮复习知识清单3246850_题型必备·冲高分

专题15等比数列性质归类(解析版)_02高考数学_2025年新高考资料_一轮复习_上好课2025年高考数学一轮复习知识清单3246850_题型必备·冲高分

  • 2026-04-12 05:26:39 2026-04-12 05:24:56

文档预览

专题15等比数列性质归类(解析版)_02高考数学_2025年新高考资料_一轮复习_上好课2025年高考数学一轮复习知识清单3246850_题型必备·冲高分
专题15等比数列性质归类(解析版)_02高考数学_2025年新高考资料_一轮复习_上好课2025年高考数学一轮复习知识清单3246850_题型必备·冲高分
专题15等比数列性质归类(解析版)_02高考数学_2025年新高考资料_一轮复习_上好课2025年高考数学一轮复习知识清单3246850_题型必备·冲高分
专题15等比数列性质归类(解析版)_02高考数学_2025年新高考资料_一轮复习_上好课2025年高考数学一轮复习知识清单3246850_题型必备·冲高分
专题15等比数列性质归类(解析版)_02高考数学_2025年新高考资料_一轮复习_上好课2025年高考数学一轮复习知识清单3246850_题型必备·冲高分
专题15等比数列性质归类(解析版)_02高考数学_2025年新高考资料_一轮复习_上好课2025年高考数学一轮复习知识清单3246850_题型必备·冲高分
专题15等比数列性质归类(解析版)_02高考数学_2025年新高考资料_一轮复习_上好课2025年高考数学一轮复习知识清单3246850_题型必备·冲高分
专题15等比数列性质归类(解析版)_02高考数学_2025年新高考资料_一轮复习_上好课2025年高考数学一轮复习知识清单3246850_题型必备·冲高分
专题15等比数列性质归类(解析版)_02高考数学_2025年新高考资料_一轮复习_上好课2025年高考数学一轮复习知识清单3246850_题型必备·冲高分
专题15等比数列性质归类(解析版)_02高考数学_2025年新高考资料_一轮复习_上好课2025年高考数学一轮复习知识清单3246850_题型必备·冲高分
专题15等比数列性质归类(解析版)_02高考数学_2025年新高考资料_一轮复习_上好课2025年高考数学一轮复习知识清单3246850_题型必备·冲高分
专题15等比数列性质归类(解析版)_02高考数学_2025年新高考资料_一轮复习_上好课2025年高考数学一轮复习知识清单3246850_题型必备·冲高分
专题15等比数列性质归类(解析版)_02高考数学_2025年新高考资料_一轮复习_上好课2025年高考数学一轮复习知识清单3246850_题型必备·冲高分
专题15等比数列性质归类(解析版)_02高考数学_2025年新高考资料_一轮复习_上好课2025年高考数学一轮复习知识清单3246850_题型必备·冲高分
专题15等比数列性质归类(解析版)_02高考数学_2025年新高考资料_一轮复习_上好课2025年高考数学一轮复习知识清单3246850_题型必备·冲高分
专题15等比数列性质归类(解析版)_02高考数学_2025年新高考资料_一轮复习_上好课2025年高考数学一轮复习知识清单3246850_题型必备·冲高分
专题15等比数列性质归类(解析版)_02高考数学_2025年新高考资料_一轮复习_上好课2025年高考数学一轮复习知识清单3246850_题型必备·冲高分
专题15等比数列性质归类(解析版)_02高考数学_2025年新高考资料_一轮复习_上好课2025年高考数学一轮复习知识清单3246850_题型必备·冲高分
专题15等比数列性质归类(解析版)_02高考数学_2025年新高考资料_一轮复习_上好课2025年高考数学一轮复习知识清单3246850_题型必备·冲高分
专题15等比数列性质归类(解析版)_02高考数学_2025年新高考资料_一轮复习_上好课2025年高考数学一轮复习知识清单3246850_题型必备·冲高分
专题15等比数列性质归类(解析版)_02高考数学_2025年新高考资料_一轮复习_上好课2025年高考数学一轮复习知识清单3246850_题型必备·冲高分
专题15等比数列性质归类(解析版)_02高考数学_2025年新高考资料_一轮复习_上好课2025年高考数学一轮复习知识清单3246850_题型必备·冲高分
专题15等比数列性质归类(解析版)_02高考数学_2025年新高考资料_一轮复习_上好课2025年高考数学一轮复习知识清单3246850_题型必备·冲高分
专题15等比数列性质归类(解析版)_02高考数学_2025年新高考资料_一轮复习_上好课2025年高考数学一轮复习知识清单3246850_题型必备·冲高分
专题15等比数列性质归类(解析版)_02高考数学_2025年新高考资料_一轮复习_上好课2025年高考数学一轮复习知识清单3246850_题型必备·冲高分
专题15等比数列性质归类(解析版)_02高考数学_2025年新高考资料_一轮复习_上好课2025年高考数学一轮复习知识清单3246850_题型必备·冲高分
专题15等比数列性质归类(解析版)_02高考数学_2025年新高考资料_一轮复习_上好课2025年高考数学一轮复习知识清单3246850_题型必备·冲高分
专题15等比数列性质归类(解析版)_02高考数学_2025年新高考资料_一轮复习_上好课2025年高考数学一轮复习知识清单3246850_题型必备·冲高分
专题15等比数列性质归类(解析版)_02高考数学_2025年新高考资料_一轮复习_上好课2025年高考数学一轮复习知识清单3246850_题型必备·冲高分
专题15等比数列性质归类(解析版)_02高考数学_2025年新高考资料_一轮复习_上好课2025年高考数学一轮复习知识清单3246850_题型必备·冲高分
专题15等比数列性质归类(解析版)_02高考数学_2025年新高考资料_一轮复习_上好课2025年高考数学一轮复习知识清单3246850_题型必备·冲高分
专题15等比数列性质归类(解析版)_02高考数学_2025年新高考资料_一轮复习_上好课2025年高考数学一轮复习知识清单3246850_题型必备·冲高分
专题15等比数列性质归类(解析版)_02高考数学_2025年新高考资料_一轮复习_上好课2025年高考数学一轮复习知识清单3246850_题型必备·冲高分
专题15等比数列性质归类(解析版)_02高考数学_2025年新高考资料_一轮复习_上好课2025年高考数学一轮复习知识清单3246850_题型必备·冲高分
专题15等比数列性质归类(解析版)_02高考数学_2025年新高考资料_一轮复习_上好课2025年高考数学一轮复习知识清单3246850_题型必备·冲高分
专题15等比数列性质归类(解析版)_02高考数学_2025年新高考资料_一轮复习_上好课2025年高考数学一轮复习知识清单3246850_题型必备·冲高分
专题15等比数列性质归类(解析版)_02高考数学_2025年新高考资料_一轮复习_上好课2025年高考数学一轮复习知识清单3246850_题型必备·冲高分

文档信息

文档格式
docx
文档大小
1.372 MB
文档页数
37 页
上传时间
2026-04-12 05:24:56

文档内容

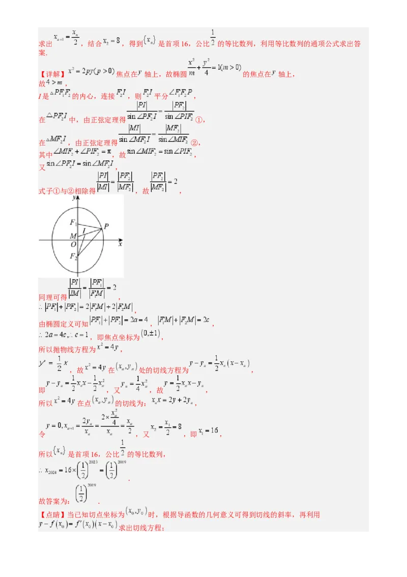
专题 15 等比数列性质归类 目录 题型一:等比数列定义 题型二:等比数列通项公式 题型三:等比数列an与sn的关系 题型四:构造等比数列求通项公式 题型五:等差等比“纠缠数列” 题型六:等比数列“指数型中点”特性 题型七:等比数列单调性 题型八:不定方程型计算 题型九:等比数列不等关系“平衡点” 题型十:前n项和的“等距”性 题型十一:等比数列最值型 题型十二:性质求范围型 题型十三:数列与导数 题型十四:等比数列综合 题型一:等比数列定义 1.(23-24高三上·山东·阶段练习)记非常数数列 的前n项和为 ,设甲: 是等比数列;乙: ( ,1,且 ),则( ) A.甲是乙的充要条件 B.甲是乙的充分不必要条件 C.甲是乙的必要不充分条件 D.甲是乙的既不充分也不必要条件 【答案】A 【分析】当甲成立时利用等比数列求和公式可得乙成立,当乙成立时利用数列前n项和与通项之间关系可 知甲成立,从而可得结果. 【详解】若 ,则 ( ), ∴ , ,. ∵ ,1, ∴ ,∴数列 是以 为公比的等比数列. 若数列 为等比数列,且 ,则 . 又 ,∴ ,∴ , 此时 ,1, ,所以甲是乙的充要条件. 故选:A.2.(22-23高二下·辽宁鞍山·阶段练习)数列 的前n项和 ,则 ( ) A.是等差数列 B.是等差数列也是等比数列 C.是等比数列 D.既不是等差数列又不是等比数列 【答案】D 【分析】根据数列通项与前 项和的关系,解得通项公式,根据等差数列与等比数列的定义,可得答案. 【详解】当 时, ; 当 时, , 检验:将 代入上式,则 , 则数列 的通项公式 , 由 , ,即 ,则数列 不是等比数列; 由 , ,即 ,则数列 不是等差数列. 故选:D. 3.(2023·河南郑州·二模)已知正项数列 的前 项和为 ,且 , 则 ( ) A. B. C. D. 【答案】C 【分析】将 化简为 ,再利用和与项的关系可得 ,从而确定 数列 从第二项起,构成以 为首项,公比 的等比数列,根据等比数列的前 项和公式即可求 解. 【详解】因为 , 所以 ,即 , 所以 , 因为数列 的各项都是正项,即 , 所以 ,即 , 所以当 时, , 所以数列 从第二项起,构成以 为首项,公比 的等比数列. 所以 . 故选:C 4.(2023·新疆喀什·模拟预测)已知等比数列 的前n项和为 ,且 ,则 ( ) A.54 B.93 C.153 D.162 【答案】D 【分析】先求出 ,根据 与 的关系得出当 时, .又根据等比数列,可知 .列出方程,即可求出 的值,再利用通项公式求 . 【详解】当 时,则 . 当 时, . 又因为 是等比数列,所以 , 所以 ,解得: ,所以 ,所以 . 故选:D. 5.(21-22高三下·北京·开学考试)若数列 满足 ,则“ , , ”是“ 为等 比数列”的( ) A.充分而不必要条件 B.必要而不充分条件C.充分必要条件 D.既不充分也不 必要条件 【答案】A 【分析】利用等比数列的定义通项公式即可判断出结论. 【详解】解:“ , , ”,取 ,则 , 为等比数列. 反之不成立, 为等比数列,设公比为 ,则 , ,只有 时才能成立满足 . 数列 满足 ,则“ , , ”是“ 为等比数列”的充分不必要条件. 故选:A. 题型二:等比数列通项公式 1.(24-25高三上·广东·阶段练习)已知数列 满足 ,前n项和为 , ,则 等于( ) A. B. C. D. 【答案】D 【分析】根据给定条件,求出 ,再利用等比数列前n项和公式计算即得. 【详解】数列 中, ,由 ,得 , ,则有 , 因此数列 是以1为首项,2为公比的等比数列,数列 是以2为首项,2为公比的等比数列, 所以 . 故选:D 2.(23-24高二下·内蒙古呼和浩特·阶段练习)数列 满足 , , ,则 ( ) A. B. C. D. 【答案】A 【分析】根据递推公式,构造等比数列得出数列的通项公式. 【详解】因为 , 所以 ,所以 , 所以 , 所以 . 故选:A. 3.(23-24高三·辽宁辽阳·模拟)若等比数列 满足 ,则其公比为( ) A. B. C. D. 【答案】C 【分析】根据等比数列 满足 ,得到 ,两式相比得 ,再求得 验证即可. 【详解】因为 , 所以等比数列 的公比 , 又 , 所以 , 所以 , 即等比数列 的公比为 . 故选:C. 4.(24-25高三·全国·模拟)在公比q为整数的等比数列 中, 是数列 的前n项和.若 , ,则下列说法不正确的是( ) A. B.数列 是等比数列 C. D.数列 是公差为2的等差数列 【答案】D 【分析】依题意利用等比数列项的性质联立方程组求出首项和公比,即得数列通项,利用等比数列的定义 可判断B项,代值检验C项;利用等差数列的定义判断D项. 【详解】因为数列 为等比数列,由 可得 ,又 , 则 可看成方程 的两根,解得 或 , 因公比q为整数,故 ,即 ,解得 ,故得 . 对于A,由上分析知 ,即A正确; 对于B,依题意, , 则 , 由 可知数列 是等比数列,故B正确; 对于C, ,故C正确; 对于D,由 , 可知数列 是公差为 的等差数列,故D错误. 故选:D. 5.(23-24高二下·山东青岛·阶段练习)已知数列 满足 , ,数列 是公比为2 的等比数列,则 ( )A. B. C. D. 【答案】C 【分析】根据题意,由等比数列的通项公式可得 ,然后令 ,可得数列 是 以 为首项,以 为公比的等比数列,结合等比数列的通项公式即可求得数列 的通项公式,从而得 到结果. 【详解】因为 , ,则 , 且数列 是公比为2的等比数列, 则 ,两边同除 可得 , 令 ,则 ,即 , 即 ,且 , 所以数列 是以 为首项,以 为公比的等比数列, 则 ,则 , 即 ,所以 . 故选:C 题型三:等比数列 an 与 sn 的关系 1.(2024·全国·模拟预测)记 为数列 的前n项和,则“ 为等比数列”是“ ”的( ) A.充分不必要条件 B.必要不充分条件 C.充要条件 D.既不充分又不 必要条件 【答案】A 【分析】先考查充分性:利用 ,验证即可,再考查 必要性,当 时,满足条件 ,但不是等比数列,即可判断. 【详解】若 是等比数列,则 , , 所以 , 即 . 若 , 令 满足条件,但 不是等比数列. 所以是充分不必要条件. 故选:A. 2.(21-22高三重庆沙坪坝·模拟)设等比数列 的前 项和为 , ,若不等式 对任意的 恒成立,则 的最小值为( ) A.1 B. C.2 D. 【答案】B 【分析】根据 作差求出 ,即可得到 ,再分 为奇数、偶数两种情况讨 论,分别求出 的取值范围,即可求出 、 的取值范围,即可得解. 【详解】因为 ,所以当 时 , 当 时 ,所以 ,即 , 因为 为等比数列,所以 ,所以 , 则 , 当 为奇数时 ,则 , 当 为偶数时 ,则 , 所以 ,因为不等式 对任意的 恒成立, 所以 , ,所以 ,则 ,即 的最小值为 . 故选:B 3.(22-23高三·浙江绍兴·模拟)已知等比数列 的前 项和为 ,则点列 在同一坐标平 面内不可能的是( ) A. B.C. D. 【答案】D 【分析】根据等比数列通项公式和前 项和公式确定正确答案. 【详解】设等比数列 的首项为 ,公比为 , A选项, 时, ,图象符合. B选项, 时, ,图象符合. C选项, 时, ,图象符合. D选项,由图可知, 都是负数,所以 , 但图象显示 时, 或 为正数,矛盾,所以D选项图象不符合. 故选:D 4.(21-22高三·黑龙江绥化·模拟)已知数列 的前n项和为 ,q为常数,则“数列 是等比数 列”为“ ”的( )条件 A.充分不必要 B.必要不充分 C.充要 D.既不充分也不必要 【答案】A 【分析】利用等比数列的性质由“数列 是等比数列”可以得到“ ”;利用数列通项与前n项 和的关系由“ ”可以得到当 时, “数列 是等比数列”,故“数列 是等比数列”为“ ”的充分不必要条件 【详解】由 ,可得 两式相减得, ,即从第3项起,每一项是前一项的q倍. 又由 ,可得 则数列 从第2项起,每一项是前一项的q倍. 综上,当 时,数列 是等比数列. 由数列 是等比数列,可得 则 ,即 成立. 则“数列 是等比数列”为“ ”的充分不必要条件 故选:A 5.(21-22高三河南·阶段练习)设数列 的前n项和为 ,若 ,则 ( ) A. B. C. D. 【答案】C 【分析】根据通项与 的关系可得递推公式 ,再构造等比数列求 的通项公式,进而代入 求得 得到 即可 【详解】当 时, ,解得 . 当 时, , 所 ,即 ,所以 ,即 , 所以数列 是首项为3,公比为2的等比数列,则 , 从而 ,故 . 故选:C 题型四:构造等比数列求通项公式 1.(21-22高三·浙江台州·模拟)已知数列 满足: , , ,则下列说法正确的 是( ) A. 一定为无穷数列 B. 不可能为常数列 C.若 ,则 可能小于1 D.若 ,则 【答案】D 【分析】对 两边取倒数得 ,再利用构造数列法得 ,可知 是以 为首项,公比为 的等比数列,利用等比数列通项公式可以求得 ,再 依次对选项判断,得到正确答案. 【详解】对 两边取倒数得, ,又 , 所以数列 是以 为首项,公比为 的等比数列,, , 对于A, ,由于n未知,不能确定 是有限数列还是无限数列,故A错误; 对于B,当 时, ,此时 为常数列,故B错误; 对于C,当 时, , , ,即 ,所以 一定小于1,故C错误; 对于D,当 时, , , ,即 , 又 , , ; ,即 ,所以 ,故D正确. 故选:D. 【点睛】方法点睛:求数列通项公式常用的方法: (1)由 与 的关系求通项公式;(2)累加法;(3)累乘法;(4)两边取到数,构造新数列法. 2.(24-25高三全国·模拟)已知数列 满足递推公式 ,且 ,则 ( ) A. B. C. D. 【答案】A 【分析】对 两边取对数得 ,令 ,则可得 是以 为 首项,2为公比的等比数列,求出 ,从而可求出 ,进而可求得结果. 【详解】由题意可得 ,则由 ,得 , 所以 , 令 ,则 , 所以数列 是以 为首项,2为公比的等比数列, 所以 ,所以 , 所以 , 所以. 故选:A 【点睛】关键点点睛:此题考查等比数列的判定及等比数列的求和公式的应用,解题的关键是对已知递推 式两边取对数变形构造等比数列,考查数学转化思想和计算能力,属于较难题. 3.(23-24高三·云南大理·阶段练习)已知数列 满足: ,且 ,则下列 说法错误的是( ) A.存在 ,使得数列 为等差数列 B.当 时, C.当 时, D.当 时,数列 是等比数列 【答案】C 【分析】通过倒数法可推导得到A正确;利用递推关系式可推导得到 ,知数列周期为 ,由此可 得B正确;利用递推关系式可得 ,可知C错误;通过构造法可推导得到符合等比数列 定义式的形式,知D正确. 【详解】对于A,当 时, , , 又 , 数列 是以 为首项, 为公差的等差数列,A正确; 对于B,当 时, , , , 数列 是周期为 的周期数列, 又 , , ,B正确; 对于C,当 时, , 若 ,则 ,又 , 对于任意的 ,都有 ; 由 得: , , 若 ,则 ,与 矛盾,C错误; 对于D,当 时, , 若 ,则 ,又 , 对于任意的 ,都有 ; ,又 ,数列 是以 为首项, 为公比的等比数列,D正确. 故选:C. 【点睛】关键点点睛:本题考查构造法求数列通项、数列周期性的应用等知识;解题关键是能够利用数列 的递推关系,通过构造的方式配凑出符合等差、等比数列定义的形式. 4.(2024·全国·模拟预测)已知数列 满足 ,数列 的前 项和 为 ,则 ( ) A. B. C. D. 【答案】D 【分析】方法一:变形得到 , 是以6为首项,9为公比的等比数列,分 组求和,结合等比数列求和公式求出答案; 方法二:推出 是首项为2,公比为3的等比数列,故 ,分 为奇数和偶数两种 情况,利用累加法得到数列的通项公式,利用等比数列求和公式求出答案. 【详解】方法一:因为 ,所以 . 因为 ,所以 , 所以 . 因为 ,所以 是以6为首项,9为公比的等比数列. 所以 ; 方法二:因为当 时, ,即 , 又 ,所以 是首项为2,公比为3的等比数列,故 . 由 ,得 ,两式相减得 . 当 为偶数且 时, , 以上式子相加得 ,又 ,所以 . 又 满足上式,所以 . 当 为奇数且 时, , 以上式子相加得 ,又 ,所以 , 又 满足上式,所以 . 综上, , 所以 . 故选:D 【点睛】方法点睛:数列中的奇偶项问题考查方向:①等差,等比数列中的奇偶项求和问题;②数列中连续两项和或积问题;③含有 的问题;④通项公式分奇偶项有不同表达式问题;含三角函数问题,需 要对 分奇偶讨论,寻找奇数项,偶数项之间的关系,分组求和,期间可能会涉及错位相减和求和或裂项 相消法求和. 5.(20-21高三·海南海口·阶段练习)已知函数 的定义域为 ,当 时, ;对 任意的 , 成立.若数列 满足 ,且 ,则 的值为( ) A. B. C. D. 【答案】C 【分析】由已知,令 ,即 有 ,结合递推式有 ,即 在 上单调增,进而求 且 ,利用构造法确定 为等差数列并写出通项公式,即可 求 . 【详解】当 时, ,在 上任取两数 ,且 ,令 ,则 . ,即 在 上是单调增函数. 令 ,则 ,解得 .而数列 满足 , , ,则 , ∴数列 是公比为 ,首项为 的等比数列,得: , ∴ ,故 . 故选:C. 【点睛】关键点点睛:首先应用已知条件判断函数的单调性,求 ;再由 ,应用构造法求数 列通项,进而求项. 题型五:等差等比“纠缠数列” 1.(2023·四川南充·模拟预测)若 分别是 与 的等差中项和等比中项, 则 的 值为( ) A. B. C. D. 【答案】A 【分析】根据条件可得 , ,然后结合同角三角函数的关系,以及 恒等变换公式化简,即可得到结果. 【详解】依题意可得 , , 且 , 所以 ,即 ,解得 又因为 ,所以 ,所以 故选:A 2.(21-22高三·黑龙江齐齐哈尔·模拟) 是公比不为1的等比数列 的前n项和, 是 和 的等 差中项, 是 和 的等比中项,则 的最大值为( ) A. B. C. D. 【答案】D 【分析】由 是 和 的等差中项,可得 ,又由 是 和 的等比中项,同时令 ,得 ,由此即可得到本题答案. 【详解】设 的公比为 ,由于 , 所以 , , ,又 是 和 的等差中项,所以 , 即 ,化简得 , 由于 ,所以 , ,所以 , , ,因为 是 和 的等比中项,所以 , 即 , 所以 ,令 , 则 , 当 ,即 时, 取得最大值,最大值为 . 故选:D 【点睛】本题主要考查等差数列和等比数列的综合应用,考查学生的转化求解能力和运算能力,属中档 题. 3.(14-15高三·广东东莞·模拟)已知 , , 是 、 的等差中项,正数 是 、 的等比中项,那么 、 、 、 的从小到大的顺序关系是( ) A. B. C. D. 【答案】D 【详解】∵ ,A是a、b的等差中项,正数G是a、b的等比中项, ∴ , ∴ , 故选D. 4.(10-11高三·福建三明·阶段练习) 中,角 成等差,边 成等比,则 一定是 A.等边三角形 B.等腰三角形 C.直角三角形 D.等腰直角三角形 【答案】A △ △【详解】∵△ABC中,角A. B. C成等差,∴2B=A+C,又A+B+C= ,∴B= . ∵边a、b、c成等比数列,∴b2 =ac.再由余弦定理可得b2 =a2 +c2 −2ac cos , ∴ac=a2 +c2 −ac,(a−c) 2 =0,∴a=b=c,故 ABC一定是等边三角形. 本题选择A选项. △ 5.(21-22高三宁夏银川·阶段练习)若四个正数 成等差数列, 是 和 的等差中项, 是 和 的等比中项,则 和 的大小关系为( ) A. B. C. D. 【答案】B 【分析】首先根据数列的性质,列式,结合基本不等式,即可比较大小. 【详解】由条件可知, , , , , 当 时, , 当 时, , 所以 . 故选:B 题型六:等比数列“指数型中点”特性 1.(23-24高三·北京·模拟)等比数列 的公比为 ,则“ ”是“ ”的( ) A.充分不必要条件 B.必要不充分条件 C.充分必要条件 D.既不充分又不必要条件 【答案】C 【分析】根据题意,利用等比数列的通项公式与不等式的性质,对两个条件进行正反推理论证,可得所求 结论. 【详解】根据题意, 成立时,有 结合 , 得 ,即 , ①当 时,可得 ,所以 ,即 ; ②当 时, 为偶数时, ,可得 ,所以 , 为奇数时, ,可得 ,所以 ,因此不存在 满足 成立, 综上所述,若 成立,则必定有 , 若 ,结合 ,可知等比数列 是递增数列,必定有 成立 因此,若等比数列 的首项 ,则“ ”是“ ”的充要条件. 故选:C 2.(22-23高三·江苏苏州·模拟)已知等差数列 公差 ,数列 为正项等比数列,已知 ,则下列结论中正确的是( ) A. B.C. D. 【答案】C 【分析】设等差数列 的公差为 ,等比数列 的公比为 ,根据题意可知 ,由 得 ,设 ,则 ,利用一次函数和指数函数的性质,结 合图形,可得 时 ; 时 ; 时 ,依次判断选项 即可. 【详解】设等差数列 的公差为 ,等比数列 的公比为 ( ), 若 ,则 ,得 ,解得 ,不符合题意; 所以 ,得 ,又 , 令 ,得 ,即 ①, 设 ,则 且 , 所以①式变为 , 由题意,知 和 是方程 的两个解, 令 , 且 , 则一次函数 与指数函数 的图象至少有2个交点, 作出两个函数图象,如图, 当函数 与 单调递增或递减时, 才会有2个解, 且无论哪种情况,都有 时, ; 时, ; 时, ; 所以 , , , , 即 , , , . 故选:C. 3.(21-22高三·全国·模拟)已知等比数列 中,公比q=2,若 ,则 等于( ) A. B. C. D. 【答案】B 【分析】由已知条件可得 ,再由 ,即可得结果. 【详解】由题设, ,则 且q=2,则 , 而 . 故选:B 4.(2021·浙江杭州·模拟预测)已知等差数列 公差不为0,正项等比数列 , , ,则 以下命题中正确的是( ) A. B. C. D. 【答案】B 【分析】设等差数列 公差为 ,正项等比数列 公比为 , , ,由 可得出 ,从而分析出 时, , 时, . 把方程 变形为 ,引入函数 ,利用两个函数的图象可得结论. 【详解】设等差数列 公差为 ,正项等比数列 公比为 , 因为 ,所以 ,即 ,所以 ,又 ,所以 , 由 得 , , , 所以 时, , 时, . , ,由 , , 即 , (*), 令 , ,(*)式为 ,其中 , 且 , 由已知 和 是方程 的两个解, 记 , 且 , 是一次函数, 是指数函数, 由一次函数和指数函数性质知当它们同增或同减时,图象才能有两个交点,即方程 才 可能有两解(题中 时, , 时, ,满足同增减). 如图,作出 和 的图象,它们在 和 时相交, 无论 还是 ,由图象可得, , , 时, , 时, , 因此 , , , , 即 , 故选:B 【点睛】关键点点睛:本题考查等差数列和等比数列的性质,解题时由已知两项相等得出公差 和公比 的关系,考虑到方程 有两解,把此方程变形为 ,引入函数 ,通过 函数图象观察得到 和 的关系,从而由数形结合思想得出结论. 5.(20-21高按·浙江·模拟)已知数列 是公差不为零的等差数列, 是正项等比数列,若 , ,则( ) A. B. C. D. 【答案】D 【分析】由等差,等比数列的形式特征画函数的图象,根据图象判断选项. 【详解】等差数列的通项公式是关于 的一次函数, ,图象中的孤立的点在一条直线上, 而等比数列 的通项公式是关于 的指数函数形式,图象中孤立的点在指数函数图象上, 如图所示当 时,如下图所示,当公差 时,如下图所示, 如图可知当 时, , , , . 故选:D 【点睛】关键点点睛:本题的关键是判断的方法,选择图象法可以比较快速的判断选项. 题型七:等比数列单调性 1.(23-24高三山西晋城模拟)已知等比数列 满足 ,公比 ,且 , ,则当 最小时, ( ) A.1012 B.1013 C.2022 D.2023 【答案】A 【分析】根据题意结合等比数列的性质可推得 以及 ,即可判断数列的的增减性以及 项与1的大小关系,由此即可求得答案. 【详解】由题意知 ,故 , 则 ,即 , 结合等比数列 满足 ,公比 ,可知 , 由 ,得 , 即得 ,故 ,即 , 由此可得 , 故当 最小时, , 故选:A2.(23-24高三·北京顺义模拟)数列 是等比数列,则对于“对于任意的 , ”是“ 是 递增数列”的( )条件 A.充分不必要 B.必要不充分 C.充分必要 D.不充分也不必要 【答案】C 【分析】根据充分条件、必要条件的定义及等比数列的单调性与通项公式判断即可. 【详解】设等比数列 的公比为 , , 若 ,则 , 当 时,由 得 ,解得 或 , 若 ,则 ,此时 与已知矛盾; 若 ,则 ,此时 为递增数列. 当 时,由 ,得 ,解得 或 , 若 ,则 ,此时 与已知矛盾; 若 ,则 ,此时 为递增数列. 反之,若 是递增数列,则 , 所以“对于任意的 , ”是“ 是递增数列”的充要条件. 故选:C. 3.(23-24高三湖北·开学考试)已知数列 是等比数列,则“存在正整数 ,对于 恒 成立”是:“ 为递减数列”的( ) A.充分不必要条件 B.必要不充分条件 C.充分必要条件 D.既不充分也不必要条件 【答案】C 【分析】取两种特殊情况说明,分 和 两次情况讨论,将 转化为 ,分 和 两种情况与假设对比,据此即可求解. 【详解】取两种特殊情况说明充分性, 当 时显然成立; 当 时,理由如下: 因为 是等比数列,设公比为 ,则 , 当 时, ,即 , 若 ,则 , 注意到,当 时, ,与假设矛盾,舍去, 故 ,此时 ,则 为递减数列; 若 ,则 或 , 注意到,当 时, ,与假设矛盾,舍去, 故 ,此时 ,则 为递减数列; 综上:存在 ,使 时, 为递减数列,即充分性成立; 当 为递减数列时, ,即 成立,即必要性成立. 故选:C. 【点睛】关键点点睛:本题关键在于取两种特殊情况说明,分 和 两次情况讨论. 4.(23-24高三下·山东·开学考试)已知数列 是以 为首项, 为公比的等比数列,则“ ”是 “ 是单调递减数列”的( ) A.充分不必要条件 B.必要不充分条件 C.充要条件 D.既不充分也不 必要条件 【答案】B 【分析】根据等比数列的单调性和必要不充分条件的判断即可得到答案.【详解】若等比数列 满足“ ”, 比如 , ,此时 不是单调递减数列,故正向无法推出,即充分性不成立, 若数列 为递减数列, , 或 , . 则①“ , ”可以推出 ; ②“ , ”也可以推出 ,则必要性成立; 则“ ”是“ 是单调递减数列”的必要不充分条件, 故选:B. 5.(23-24高三上·安徽合肥·阶段练习)已知数列 是无穷项等比数列,公比为 ,则“ ”是“数列 单调递增”的( ) A.充分而不必要条件 B.必要而不充分条件 C.充分必要条件 D.既不充分又不必要条件 【答案】D 【分析】根据等比数列的首项、公比的不同情形,分析数列的单调性,结合充分条件、必要条件得解. 【详解】若 , ,则数列 单调递减,故 不能推出数列 单调递增; 若 单调递增,则 , ,或 , ,不能推出 , 所以“ ”是“数列 单调递增”的既不充分也不必要条件, 故选:D. 题型八:不定方程型计算 1.(23-24高三·广东揭阳·阶段练习)已知数列 为等比数列, 为数列 的前n项和.若 成等差数列,则 ( ) A. B. C. D. 【答案】A 【分析】将 成等差数列转化为 等式,进而求出数列的公比,将比值 用基本 元 表示,化简求值即可. 【详解】设等比数列 的公比为q, 若 成等差数列,可得: , 当 时,此时 恒成立, 即为 ,得 ,即 ,显然不成立; 当 时, 即为: ,其中 , 得 ,得 或 (舍去), ,故选:A. 2.(23-24高三·吉林松原·模拟)设等比数列 的前 项和为 ,且 ,则 的公比 为( ) A.1或 B.1或3 C. 或 D. 或3 【答案】D 【分析】运用等比数列的性质公式求解即可. 【详解】由 ,可得 , 则 ,故 , 解得 或 . 故选:D. 3.(23-24高三·河南省直辖县级单位·阶段练习)等比数列 的前 项和为 ,且 ,则 ( ) A. B. C. D. 【答案】C 【分析】利用等比数列前n项和的性质求解. 【详解】由等比数列性质可知, 成等比数列, 因为 ,所以 ,所以 成等比数列, 所以 ,所以 ,所以 . 故选:C. 4.(23-24高三上·河南三门峡·阶段练习)已知正项等比数列 的前 项和为 ,若 , , 成等 差数列,则 的最小值为( ) A.8 B.9 C.10 D.12 【答案】D 【分析】借助等比数列的片段和性质得出 与 的关系,再借助基本不等式即可得到. 【详解】根据等比数列的片段和性质有 , 由 , , 成等差数列,有 , 即 ,故有 ,又因为数列为正项等比数列,则 , 即 , 当且仅当 时,等号成立. 故选:D. 5.(23-24高三上·四川成都·阶段练习)已知等比数列 的前 项和为 ,且数列 是等 差数列,则 ( ) A.1或 B.1或 C.2或 D. 或 【答案】B 【分析】设等比数列 的公比为 ,根据已知列出关系式 ,进而化简求解即可得出 或 .根据等比数列的性质,化简可得 .分别代入 的值,即可得出答案. 【详解】设等比数列 的公比为 ,由 , , 成等差数列可得, , 即 ,化简得 , 解得 或 . 又 , 所以, . 当 时, ; 当 时, . 故选:B. 题型九:等比数列不等关系“平衡点” 1.(21-22高三·湖北·阶段练习)设等比数列{ }的公比为q,其前n项和为 ,前 n项积为 ,并满足 条件 , ,下列结论不正确的是( ) A. B. C. 是数列{ }中的最大值 D.数列{ }无最小值 【答案】B 【分析】由题分析出 ,可得出数列 为正项递减数列,结合题意分析出正项数列 前 项都大于 ,而从第 项起都小于 ,进而可判断出各选项的正误. 【详解】当 时,则 ,不合乎题意; 当 时,对任意的 , ,且有 ,可得 , 可得 ,此时 ,与题干不符,不合乎题意; 故 ,对任意的 , ,且有 ,可得 , 此时,数列 为单调递减数列,则 ,由 可得 ,故 ,A 正 确; ,故B不正确; 是数列{ }中的最大值,C正确; 数列{ }无最小值,D正确. 故选:B. 2.(22-23高三·广东深圳·模拟)设等比数列 的公比为 ,其前 项和为 ,前 项之积为 ,且满足 , ,则下列结论中正确的是( ) A. B. C. 是数列 中的最大值 D. 【答案】C 【分析】由已知结合等比数列的性质检验各选项即可判断. 【详解】因为等比数列 满足 , 又 ,所以 ,A错误; ,即 ,B错误; 当 时, ,当 时, ,即 是数列 中的最大值,C正确; 由题意得, ,则 ,D错误. 故选:C. 3.(22-23高三·辽宁·模拟)设等比数列 的公比为 ,其前 项和为 ,前 项积为 ,且满足条件 , , ,则下列选项不正确的是( ) A. 为递减数列 B. C. 是数列 中的最大项 D. 【答案】B 【分析】根据已知条件求得 的范围,再根据等比数列的性质,对选项逐一判断即可. 【详解】因为数列 为等比数列,且 , ,所以 ,即数列 为正项等比数列, 当 时,则 ,不满足 ,舍去, 所以 ,即数列 为单调递减数列,A说法正确; 由 可得 , , 所以 ,即 ,B说法错误; 因为数列 单调递减,且 , ,所以 是数列 中的最大项,C说法正确; 由等比中项可知 ,D说法正确; 故选:B 4.(20-21高三河南郑州·模拟)设等比数列 的公比为 ,其前 项和为 ,前 项积为 ,并且满 足条件 , , ,则下列结论正确的是( ) A. B. C. 的最大值为 D. 的最大值为 【答案】B 【分析】根据 , ,分 , , 讨论确定q的范围,然后再逐项判断. 【详解】若 ,因为 ,所以 ,则 与 矛盾, 若 ,因为 ,所以 ,则 ,与 矛盾, 所以 ,故B正确; 因为 ,则 ,所以 ,故A错误; 因为 , ,所以 单调递增,故C错误; 因为 时, , 时, ,所以 的最大值为 ,故D错误; 故选:B.5.(2021高三·全国·专题练习)设等比数列 的公比为q,前n项和为 ,前n项积为 ,并满足条 件 , ,则下列结论中不正确的有( ) A.q>1 B. C. D. 是数列 中的最大项 【答案】A 【分析】根据 并结合 ,得到 , ,进而结合等 比数列的性质求得答案. 【详解】因为 ,所以 或 ,而 为等比数列, ,于是 , ,则A错误; ,则B正确; ,则C正确; 因为 ,所以 是数列 中的最大项,则D正确. 故选:A. 题型十:前 n 项和的“等距”性 1.(20-21高三·黑龙江哈尔滨·开学考试)设等比数列 的前n项和为 ,若 ,则 ( ) A. B. C.4 D.5 【答案】A 【解析】根据等比数列的前 项和公式,由条件 ,求出公比即可得到结论. 【详解】解:设等比数列的公比为 , 若 ,则 不成立. , 由 ,得 , 即 , ,解得 , 则 ,故选:A. 【点睛】本题主要考查等比数列前 项和的计算,利用条件求出 是解决本题的关键,要求熟练掌握 等比数列的前 项和公式,考查学生的计算能力,属于中档题. 2.(21-22高三·河北唐山·模拟)设 是等比数列 的前 项和,若 ,则 ( ) A. B. C. D. 【答案】B 【解析】根据等比数列的性质求解.在 时, 仍成等比数列. 【详解】设 ,由数列 为等比数列(易知数列 的公比 ),得 为等比数列 又 故选: . 【点睛】结论点睛:数列 是等比数列,若 ,则 成等比数列.简称等比数列 的片断和仍成等比数列.注意 是等比数列与 成等比数列之间不是充要条件. 3.(23-24高三·河南·开学考试)已知等比数列 的前 项和为 ,若 ,则 ( ) A.324 B.420 C.480 D.768 【答案】C 【分析】根据等比数列前n项和的性质计算即可. 【详解】因为 为等比数列,且 ,显然 的公比不为 , 所以 也成等比数列. 由 ,解得 . 故选:C. 4.(21-22高三下·江西·开学考试)设等比数列 的前 项和为 ,若 ,则 等于 ( ) A. B. C. D. 【答案】A 【分析】根据给定条件,利用等比数列片段和性质计算作答. 【详解】等比数列 的前 项和为 ,则 成等比数列, 设 ,则 , ,所以 ,所以 , 所以 ,即 . 故选:A. 5.(2023·云南昆明·模拟预测)已知正项等比数列 的前 项和为 ,若 ,则 的最小值 为 ( ) A.8 B. C. D.10 【答案】B【分析】由等比数列的性质及已知条件可得 ,则 ,然后利用基本不等 式可求得结果. 【详解】由正项等比数列 可知 , , 成等比数列, 则 ,又 ,所以 , 所以 ,当且仅当 ,即 时取等号, 故 的最小值为 . 故选:B. 题型十一:等比数列最值型 1.(2023·江西赣州·一模)若等比数列 的公比为 ,其前 项和为 ,前 项积为 ,并且 ,则下列正确的是( ) A. B. C. 的最大值为 D. 的最大值为 【答案】D 【分析】根据等比数列定义以及 可得 且 ,即AB均错误,再由等比数列前 项 和的函数性质可知 无最大值,由前 项积定义解不等式可知 的最大值为 . 【详解】由 可知公比 ,所以A错误; 又 ,且 可得 ,即B错误; 由等比数列前 项和公式可知 ,由指数函数性质可得 为单调递增, 即 无最大值,所以C错误; 设 为数列 前 项积的最大值,则需满足 ,可得 , 又 可得 ,即 的最大值为 ,所以D正确. 故选:D 2.(21-22高三四川成都·阶段练习)在各项都为正数的等比数列 中,已知 ,其前 项积为 ,且 ,则 取得最大值时, 的值是( ) A.9 B.8或9 C.10或11 D.9或10 【答案】D【分析】首先求出首项 和公比 ,解不等式组 ,代入通项公式求解出 即可 【详解】(法一)∵等比数列 ,其前 项积为 ,且 . ∴ ,∴ ,∴ .故 . ∵ ,所以前 项积有 .又因为 ,所以 为前 项积的最大值. (法二)∵ , .∴ . 当 时, 有最大值,解得 . ∴ 时, 有最大值. 故选:D. 【点睛】本题主要考查等比数列前 项积的最大值. 其实质是求等差数列前 项和的最值的变型.第一步:求出等比数列首项 ,公比 . 第二步:解不等式组 .满足不等式组的 的值,即为使前 项积 取最大值时的项数. 3.(2023高三·全国·专题练习)设首项为正且大于1的无穷等比数列 的公比为 ,前 项和为 ,若 ,则( ) A.数列 无最大项 B.数列 有最小项为 C.数列 是递增数列, D.数列 最大值为 【答案】B 【分析】设无穷等比数列 的公比为 ,根据已知可得 ,得数列 是摆动数列可判断 C;由 , ; 得数列 的最小项、最大项可 判断ABD. 【详解】设无穷等比数列 的公比为 ,因为 , 即 ,又 ,所以 , 因为 , 所以当 时,数列 是摆动数列,故单调性不确定,故C错误; 又 ,所以 ; , 此时数列 的最小项为 ,最大项为 ,故B正确,AD错误. 故选:B. 4.(23-24高三·福建漳州·模拟)已知正项等比数列 的前 项积为 ,且 ,则下列结论正确的是 ( ) A.若 ,则 B.若 ,则 C.若 ,则 D.若 ,则 【答案】B 【分析】结合等比数列的性质及数列的单调性判断各选项即可. 【详解】由已知数列各项均为正,因此乘积 也为正,公比 ,若 ,则 , 由等比数列性质知 ,所以 ,故选项A错误; 又 ,因为 ,所以 ,所以 ,则 ,故 先增后减,所以 ,故选项B正确; 若 ,则 ,又 ,无法判断 与1的大小,即无法判断 与1的大小,故 与 大小没法判断,故选项CD错误. 故选:B 5.(22-23高三江西萍乡·阶段练习)已知数列 为等比数列,函数 的导函数为 , ,若 , 的公比 ,则当 的前 项乘积最小时, 的值为( ) A. B. C. 或 D. 或 【答案】D 【分析】设 ,可得出 ,可得出 ,分析数列 的单调性,即可得出当 的前 项乘积最小时, 的值. 【详解】设 ,则 , 则 , 因为数列 为等比数列, 所以 , 由 , ,可得 ,则 , 所以 , 当 时, ,当 时, , 所以当 的前 项乘积最小时, 的值为 或 , 故选:D. 题型十二:性质求范围型 1.(24-25高三上·湖南长沙·阶段练习)已知等比数列 的公比为 , 前 项积为 , 若 , 且 , , 均有 ,则 的取值范围是( ) A. B. C. D. 【答案】D 【分析】应用等比数列通项公式及项的性质计算解不等式即可.【详解】当 时, 注意到 , 因此 , 即 解得 ; 当 时, 则 即 解得 , 则 的取值范围为 . 故选 :D. 2.(2023·全国·模拟预测)已知等比数列 的前5项积为32, ,则 的取值范围为 ( ) A. B. C. D. 【答案】D 【分析】利用等比数列性质求出 ,进而求出公比 的取值范围并用 表示出 ,然后根据对 勾函数的性质即可求解. 【详解】由等比数列性质可知, , 因为 ,所以 , 从而 不妨令 ,则 , 由对勾函数性质可知, 在 上单调递减, 故对于 , , , 从而 ,则 . 故 的取值范围为 . 故选:D. 3.(22-23高三·河南南阳·模拟)已知正项数列 是公比为 的等比数列,数列 的通项公式为 .若满足 的正整数n恰有3个,则 的取值范围为 . 【答案】 【分析】根据数列 , 的单调性列出不等式组求解即可. 【详解】由题可知数列 单调递减, 单调递增, 故 , , , , 故只需 即可,即 解得 .故答案为: . 4.(2023上海嘉定·三模)已知 是递增的等比数列,且 ,那么首项 的取值范围是 . 【答案】 【分析】由已知得 ,由此能求出 的取值范围. 【详解】解:∵ 是递增的等比数列,且 , ,且 , , ∵ 是递增的等比数列, , 同理, ,即 ,即 , , 当 时,有 ,由 ,得: ,得: ,矛盾,舍去; 当 时,有 ,由 ,得: ,得: 符合. 故当 时, 单调增,取值为 , ,∴ 的取值范围为 . 故答案为: . 【点睛】本题考查等比数列的首项的取值范围的求法,是中档题,解题时要认真审题,注意等比数列的公 式的合理运用. 5.(21-22·河南·模拟)已知 , , , , , 成等差数列, , , , 成等比数列,则 的最大值是( ) A. B. C. D. 【答案】D 【分析】根据等差数列和等比数列的性质得到 , ,从而利用重要不等式即可求最大值. 【详解】因为 , , , 成等差数列,所以 , 因为 , , , 成等比数列,所以 , 所以 ,当且仅当 时等号成立, 所以 的最大值是 . 故选:D. 题型十三:数列与导数 1.(22-23高三下·河北石家庄·阶段练习)已知函数 是定义在 上的奇函数,且当 时, .若存在等差数列 , , , ,且 ,使得数列为等比数列,则 的最小值为( ) A. B. C. D. 【答案】B 【分析】根据数列性质推出 , ,结合函数的奇偶性可得 ,从 而推出 有正实数解,分离参数,继而构造函数,利用导数求解函数的 最小值,即可求得答案. 【详解】由等差数列 , , , ,且 知 , 则 ,即 ,所以 , 由此可得 ; 由于函数 是定义在 上的奇函数,故 , 所以数列 的公比 ,所以 ,即 , 即方程 有正实数解, 即 ,设 ,则 , 设 , 则 ,即 在 上单调递增,且 , 故当 时, , 在 上单调递减, 当 时, , 在 上单调递增, 所以 ,所以 , 故选:B 【点睛】难点点睛:本题解答时要利用数列性质判断出 , ,进而利用函数性质 推出 有正实数解,从而参变分离,构造函数,利用导数解决问题. 2.(20-21高三上·全国·阶段练习,多选)已知等比数列 首项 ,公比为q,前n项和为 ,前n 项积为 ,函数 ,若 ,则下列结论正确的是( ) A. 为单调递增的等差数列 B. C. 为单调递增的等比数列 D.使得 成立的n的最大值为6 【答案】BCD 【分析】首先求函数的导数,根据条件判断 ,先判断B;再结合等比数列的定义和等差数列的定 义判断AC;最后数列前 项积的定义判断D. 【详解】函数 , 则 , 因为 ,所以 , 由等比数列的性质可得 , 所以 ,所以 , 由 ,可得 ,故B正确;因为等比数列 首项 ,公比为q,所以 , 则 ,故 为单调递减的等差数列,故A错误; 设 ,则 为常数, 因为 ,所以 , 单调递减, 所以 为单调递增的等比数列,故C正确; 因为 ,且 ,所以 , , 所以使得 成立的n的最大值为6,故D正确. 故选:BCD 3.(23-24高三·四川成都模拟)牛顿数列是牛顿利用曲线的切线和数列的极限探求函数 的零点 时提出的,在航空航天领域中应用广泛.已知牛顿数列 的递推关系为: 是曲线 在点 处的切线在 轴上的截距,其中 . (1)若 ,并取 ,则 的通项公式为 ; (2)若取 ,且 为单调递减的等比数列,则 可能为 . 【答案】 (答案不唯一) 【分析】(1)根据题意求出曲线 在点 处切线的方程,可得数列 是等差数列,进 而求得通项公式 ; (2)由题意,可得 ,结合 为单调递减的等比数列,所以函数 满足 ,且 即可. 【详解】(1)根据题意, , ,且 , 所以曲线 在点 处切线的方程为 , 令 ,得 ,即 ,又 ,所以数列 是以1为首项,以 为公差的等差 数列, 所以 ( ). (2)根据题意,曲线 在点 处切线的方程为 , 令 ,得 ,则 , 因为 为单调递减的等比数列,且 ,设其公比为 , 则 ,所以 ,所以 , 则 ,所以 ,即函数 满足 ,且 即可. 如 ,则 , 所以 , ,所以 ,符合题意. 故答案为: ( ); (答案不唯一). 4.(2025·全国·模拟预测)若 , 的解从小到大排成 ,那么 若 .则 的整数部分是 . 【答案】101 【分析】即求 ,结合 可得 ,利用等比数列求和公式得到 ,取对数,得到 ,并证明出 ,得到答案. 【详解】因为 ,相当于解 且 , 从而可以得到 ,结合 可得 , 为 ,为等比数列, 从而 ,取对数后就是 , 注意到 , , 接下来证明 , 我们把左边放大, ,并证明其小于 , 即证 , 注意到 , 而 (也可以是 )从而命题成立. 整数部分是101. 故答案为:101 5.(24-25高三上·上海·开学考试)已知实数 成公比为 的等比数列,抛物线 上每一点到直线 的距离均大于 ,则 的取值范围是 . 【答案】 【分析】由已知得出直线必过点 ,取抛物线位于 轴上方部分,设 上一点 到直线的距离最小,由几何关系得出 ,再根据点到直线的距离公式列出不等式,即可求 解. 【详解】因为实数 成公比为 的等比数列,所以 , 所以 ,即直线必过点 ,且斜率 , 不妨取抛物线位于 轴上方部分,则 , , , 由题可知, ,则 , 设 上一点 到直线 的距离最小, 则 处的斜率等于直线 的斜率,即 ,所以 , 点 到直线 的距离 , 整理得 ,解得 ,因为 ,所以 , 根据直线和抛物线得对称性得, , 故答案为: . 题型十四:等比数列综合 1.(2024·河北·一模)已知等差数列 的公差与等比数列 的公比相等,且 , , ,则 ;若数列 和 的所有项合在一起,从小到大依次排列构成一个数列 ,数 列 的前 项和为 ,则使得 成立的 的最小值为 . 【答案】 【分析】设等比数列 的公比为 ,则等差数列 的公差为 ,根据题意可得出关于 、 、 的方 程组,解出这三个量的值,可得出数列 的通项公式;设满足不等式 的正整数 的最小值为 ,推导出 ,设 ,其中 且 ,根据 可得出关于 的不等式, 求出 的最小值,即可得出 的值,即为所求. 【详解】设等比数列 的公比为 ,则等差数列 的公差为 , 则 , , , 解得 , , ,所以, , , 由 ,整理可得 , 数列 的各项分别为: 、 、 、 、 、 、 、 、 、 , 其中 前若干项中,数列 有 项,数列 有 项, 所以, 是数列 的第 项, 所以, , 所以, , 令 ,整理可得 , 令 ,则有 ,解得 , 因为 ,所以, ,可得 , 所以,满足不等式 的正整数 的最小值为 , 同理可知,满足不等式 的正整数 的最大值为 , 所以满足不等式 的正整数 的最小值 ,即 , 设 ,其中 且 , 则 , , 由 ,整理可得 ,解得 , 所以自然数 的最小值为 ,所以 . 故答案为: ; . 【点睛】关键点点睛:本题考查利用数列不等式求参数的值,解题的关键在于确定满足条件的正整数 的 最小值所在的区间,并引入合适的参数,求出相应的参数的值,进而得解, 2.(23-24高三下·山东·开学考试)抛物线 与椭圆 有相同的焦点, 分别是椭圆的上、下焦点,P是椭圆上的任一点,I是 的内心, 交y轴于M,且 ,点 是抛物线上在第一象限的点,且在该点处的切线与x轴的交点为 ,若 ,则 . 【答案】 【分析】作出辅助线,由正弦定理得到 ,根据椭圆定义得到 ,从而求出焦 点 坐标为 ,得到抛物线方程,根据导数几何意义得到 在点 的切线为: ,求出 ,结合 ,得到 是首项16,公比 的等比数列,利用等比数列的通项公式求出答 案. 【详解】 焦点在 轴上,故椭圆 的焦点在 轴上, 故 , I是 的内心,连接 ,则 平分 , 在 中,由正弦定理得 ①, 在 ,由正弦定理得 ②, 其中 ,故 , 又 , 式子①与②相除得 ,故 , 同理可得 , , 由椭圆定义可知 , , ,即焦点坐标为 , 所以抛物线方程为 , ,故 在 处的切线方程为 , 即 ,又 ,故 , 所以 在点 的切线为: , 令 ,又 ,即 , 所以 是首项16,公比 的等比数列, . 故答案为: . 【点睛】当已知切点坐标为 时,根据导函数的几何意义可得到切线的斜率,再利用 求出切线方程;当不知道切点坐标时,要设出切点坐标,结合切点既在函数图象上,又在切线方程上,列出等式,进行求 解. 3.(20-21高三·上海宝山·模拟)已知各项均不为零的数列 的前 项和为 , , , ,且 ,则 的最大值等于 . 【答案】 【分析】由递推关系得数列 满足 ,得 , 由条件得 ,将求 的最大值转化为求关于 的函数的最大值. 【详解】因为 , 所以 ,将 代入,得 , 所以 , ,所以 , , 又因为 ,所以 , ,即 , 因为 ,所以 , ,当且仅当 时等号成立, 所以 , 因为 ,所以当 时, 最大, 所以 , 即 时, 有最大值 . 故答案为: . 【点睛】根据 求 的最大值时,注意分析数列中项的正负号,得 ,且 ,进而得 . 4.(2024高三·全国·专题练习)欧拉函数 的函数值等于所有不超过 且与 互质的正整数的 个数(公约数只有1的两个整数称为互质整数),例如: , .记 ,数列 的前 项和为 ,若 恒成立,则实数 的取值范围为 . 【答案】 【分析】根据题目设定的欧拉函数的概念,结合数列前n项和的概念以及不等式恒成立的转化方法即可求 得参数的范围. 【详解】在 的整数中与 不互质的数有 ,共有 个,所以与 互质的数有 个,因此 . 在 的整数中,2的倍数共有 个,5的倍数共有 个,10的倍数共有 个,所以. 所以 ,所以数列 是首项为1,公比为2的等比数列, 所以 , 则 恒成立等价于 恒成立, 即 恒成立,所以 , 令 ,则 , 所以 ,且 , 所以 , 所以 ,即实数 的取值范围是 【点睛】关键点点睛:本题按照题目设定的欧拉函数的概念,关键分析出:(1)在 的整数中与 不 互质的数的个数 ,从而得到互质的个数 ;(2)在 的整数中,与 互质的数的 个数分别是:2的倍数共有 个,5的倍数共有 个,10的倍数共有 个,所以与 (注意:2的倍数和5的倍数中包含了10的倍数).