当前位置:首页>文档>专题24圆锥曲线综合大题归类(解析版)_02高考数学_2025年新高考资料_一轮复习_上好课2025年高考数学一轮复习知识清单3246850_题型必备·冲高分

专题24圆锥曲线综合大题归类(解析版)_02高考数学_2025年新高考资料_一轮复习_上好课2025年高考数学一轮复习知识清单3246850_题型必备·冲高分

  • 2026-04-13 04:26:37 2026-04-13 04:15:38

文档预览

专题24圆锥曲线综合大题归类(解析版)_02高考数学_2025年新高考资料_一轮复习_上好课2025年高考数学一轮复习知识清单3246850_题型必备·冲高分
专题24圆锥曲线综合大题归类(解析版)_02高考数学_2025年新高考资料_一轮复习_上好课2025年高考数学一轮复习知识清单3246850_题型必备·冲高分
专题24圆锥曲线综合大题归类(解析版)_02高考数学_2025年新高考资料_一轮复习_上好课2025年高考数学一轮复习知识清单3246850_题型必备·冲高分
专题24圆锥曲线综合大题归类(解析版)_02高考数学_2025年新高考资料_一轮复习_上好课2025年高考数学一轮复习知识清单3246850_题型必备·冲高分
专题24圆锥曲线综合大题归类(解析版)_02高考数学_2025年新高考资料_一轮复习_上好课2025年高考数学一轮复习知识清单3246850_题型必备·冲高分
专题24圆锥曲线综合大题归类(解析版)_02高考数学_2025年新高考资料_一轮复习_上好课2025年高考数学一轮复习知识清单3246850_题型必备·冲高分
专题24圆锥曲线综合大题归类(解析版)_02高考数学_2025年新高考资料_一轮复习_上好课2025年高考数学一轮复习知识清单3246850_题型必备·冲高分
专题24圆锥曲线综合大题归类(解析版)_02高考数学_2025年新高考资料_一轮复习_上好课2025年高考数学一轮复习知识清单3246850_题型必备·冲高分
专题24圆锥曲线综合大题归类(解析版)_02高考数学_2025年新高考资料_一轮复习_上好课2025年高考数学一轮复习知识清单3246850_题型必备·冲高分
专题24圆锥曲线综合大题归类(解析版)_02高考数学_2025年新高考资料_一轮复习_上好课2025年高考数学一轮复习知识清单3246850_题型必备·冲高分
专题24圆锥曲线综合大题归类(解析版)_02高考数学_2025年新高考资料_一轮复习_上好课2025年高考数学一轮复习知识清单3246850_题型必备·冲高分
专题24圆锥曲线综合大题归类(解析版)_02高考数学_2025年新高考资料_一轮复习_上好课2025年高考数学一轮复习知识清单3246850_题型必备·冲高分
专题24圆锥曲线综合大题归类(解析版)_02高考数学_2025年新高考资料_一轮复习_上好课2025年高考数学一轮复习知识清单3246850_题型必备·冲高分
专题24圆锥曲线综合大题归类(解析版)_02高考数学_2025年新高考资料_一轮复习_上好课2025年高考数学一轮复习知识清单3246850_题型必备·冲高分
专题24圆锥曲线综合大题归类(解析版)_02高考数学_2025年新高考资料_一轮复习_上好课2025年高考数学一轮复习知识清单3246850_题型必备·冲高分
专题24圆锥曲线综合大题归类(解析版)_02高考数学_2025年新高考资料_一轮复习_上好课2025年高考数学一轮复习知识清单3246850_题型必备·冲高分
专题24圆锥曲线综合大题归类(解析版)_02高考数学_2025年新高考资料_一轮复习_上好课2025年高考数学一轮复习知识清单3246850_题型必备·冲高分
专题24圆锥曲线综合大题归类(解析版)_02高考数学_2025年新高考资料_一轮复习_上好课2025年高考数学一轮复习知识清单3246850_题型必备·冲高分
专题24圆锥曲线综合大题归类(解析版)_02高考数学_2025年新高考资料_一轮复习_上好课2025年高考数学一轮复习知识清单3246850_题型必备·冲高分
专题24圆锥曲线综合大题归类(解析版)_02高考数学_2025年新高考资料_一轮复习_上好课2025年高考数学一轮复习知识清单3246850_题型必备·冲高分
专题24圆锥曲线综合大题归类(解析版)_02高考数学_2025年新高考资料_一轮复习_上好课2025年高考数学一轮复习知识清单3246850_题型必备·冲高分
专题24圆锥曲线综合大题归类(解析版)_02高考数学_2025年新高考资料_一轮复习_上好课2025年高考数学一轮复习知识清单3246850_题型必备·冲高分
专题24圆锥曲线综合大题归类(解析版)_02高考数学_2025年新高考资料_一轮复习_上好课2025年高考数学一轮复习知识清单3246850_题型必备·冲高分
专题24圆锥曲线综合大题归类(解析版)_02高考数学_2025年新高考资料_一轮复习_上好课2025年高考数学一轮复习知识清单3246850_题型必备·冲高分
专题24圆锥曲线综合大题归类(解析版)_02高考数学_2025年新高考资料_一轮复习_上好课2025年高考数学一轮复习知识清单3246850_题型必备·冲高分
专题24圆锥曲线综合大题归类(解析版)_02高考数学_2025年新高考资料_一轮复习_上好课2025年高考数学一轮复习知识清单3246850_题型必备·冲高分
专题24圆锥曲线综合大题归类(解析版)_02高考数学_2025年新高考资料_一轮复习_上好课2025年高考数学一轮复习知识清单3246850_题型必备·冲高分
专题24圆锥曲线综合大题归类(解析版)_02高考数学_2025年新高考资料_一轮复习_上好课2025年高考数学一轮复习知识清单3246850_题型必备·冲高分
专题24圆锥曲线综合大题归类(解析版)_02高考数学_2025年新高考资料_一轮复习_上好课2025年高考数学一轮复习知识清单3246850_题型必备·冲高分
专题24圆锥曲线综合大题归类(解析版)_02高考数学_2025年新高考资料_一轮复习_上好课2025年高考数学一轮复习知识清单3246850_题型必备·冲高分
专题24圆锥曲线综合大题归类(解析版)_02高考数学_2025年新高考资料_一轮复习_上好课2025年高考数学一轮复习知识清单3246850_题型必备·冲高分
专题24圆锥曲线综合大题归类(解析版)_02高考数学_2025年新高考资料_一轮复习_上好课2025年高考数学一轮复习知识清单3246850_题型必备·冲高分
专题24圆锥曲线综合大题归类(解析版)_02高考数学_2025年新高考资料_一轮复习_上好课2025年高考数学一轮复习知识清单3246850_题型必备·冲高分
专题24圆锥曲线综合大题归类(解析版)_02高考数学_2025年新高考资料_一轮复习_上好课2025年高考数学一轮复习知识清单3246850_题型必备·冲高分
专题24圆锥曲线综合大题归类(解析版)_02高考数学_2025年新高考资料_一轮复习_上好课2025年高考数学一轮复习知识清单3246850_题型必备·冲高分
专题24圆锥曲线综合大题归类(解析版)_02高考数学_2025年新高考资料_一轮复习_上好课2025年高考数学一轮复习知识清单3246850_题型必备·冲高分
专题24圆锥曲线综合大题归类(解析版)_02高考数学_2025年新高考资料_一轮复习_上好课2025年高考数学一轮复习知识清单3246850_题型必备·冲高分
专题24圆锥曲线综合大题归类(解析版)_02高考数学_2025年新高考资料_一轮复习_上好课2025年高考数学一轮复习知识清单3246850_题型必备·冲高分
专题24圆锥曲线综合大题归类(解析版)_02高考数学_2025年新高考资料_一轮复习_上好课2025年高考数学一轮复习知识清单3246850_题型必备·冲高分
专题24圆锥曲线综合大题归类(解析版)_02高考数学_2025年新高考资料_一轮复习_上好课2025年高考数学一轮复习知识清单3246850_题型必备·冲高分
专题24圆锥曲线综合大题归类(解析版)_02高考数学_2025年新高考资料_一轮复习_上好课2025年高考数学一轮复习知识清单3246850_题型必备·冲高分
专题24圆锥曲线综合大题归类(解析版)_02高考数学_2025年新高考资料_一轮复习_上好课2025年高考数学一轮复习知识清单3246850_题型必备·冲高分
专题24圆锥曲线综合大题归类(解析版)_02高考数学_2025年新高考资料_一轮复习_上好课2025年高考数学一轮复习知识清单3246850_题型必备·冲高分
专题24圆锥曲线综合大题归类(解析版)_02高考数学_2025年新高考资料_一轮复习_上好课2025年高考数学一轮复习知识清单3246850_题型必备·冲高分
专题24圆锥曲线综合大题归类(解析版)_02高考数学_2025年新高考资料_一轮复习_上好课2025年高考数学一轮复习知识清单3246850_题型必备·冲高分
专题24圆锥曲线综合大题归类(解析版)_02高考数学_2025年新高考资料_一轮复习_上好课2025年高考数学一轮复习知识清单3246850_题型必备·冲高分
专题24圆锥曲线综合大题归类(解析版)_02高考数学_2025年新高考资料_一轮复习_上好课2025年高考数学一轮复习知识清单3246850_题型必备·冲高分
专题24圆锥曲线综合大题归类(解析版)_02高考数学_2025年新高考资料_一轮复习_上好课2025年高考数学一轮复习知识清单3246850_题型必备·冲高分
专题24圆锥曲线综合大题归类(解析版)_02高考数学_2025年新高考资料_一轮复习_上好课2025年高考数学一轮复习知识清单3246850_题型必备·冲高分
专题24圆锥曲线综合大题归类(解析版)_02高考数学_2025年新高考资料_一轮复习_上好课2025年高考数学一轮复习知识清单3246850_题型必备·冲高分
专题24圆锥曲线综合大题归类(解析版)_02高考数学_2025年新高考资料_一轮复习_上好课2025年高考数学一轮复习知识清单3246850_题型必备·冲高分
专题24圆锥曲线综合大题归类(解析版)_02高考数学_2025年新高考资料_一轮复习_上好课2025年高考数学一轮复习知识清单3246850_题型必备·冲高分
专题24圆锥曲线综合大题归类(解析版)_02高考数学_2025年新高考资料_一轮复习_上好课2025年高考数学一轮复习知识清单3246850_题型必备·冲高分
专题24圆锥曲线综合大题归类(解析版)_02高考数学_2025年新高考资料_一轮复习_上好课2025年高考数学一轮复习知识清单3246850_题型必备·冲高分
专题24圆锥曲线综合大题归类(解析版)_02高考数学_2025年新高考资料_一轮复习_上好课2025年高考数学一轮复习知识清单3246850_题型必备·冲高分
专题24圆锥曲线综合大题归类(解析版)_02高考数学_2025年新高考资料_一轮复习_上好课2025年高考数学一轮复习知识清单3246850_题型必备·冲高分
专题24圆锥曲线综合大题归类(解析版)_02高考数学_2025年新高考资料_一轮复习_上好课2025年高考数学一轮复习知识清单3246850_题型必备·冲高分
专题24圆锥曲线综合大题归类(解析版)_02高考数学_2025年新高考资料_一轮复习_上好课2025年高考数学一轮复习知识清单3246850_题型必备·冲高分
专题24圆锥曲线综合大题归类(解析版)_02高考数学_2025年新高考资料_一轮复习_上好课2025年高考数学一轮复习知识清单3246850_题型必备·冲高分
专题24圆锥曲线综合大题归类(解析版)_02高考数学_2025年新高考资料_一轮复习_上好课2025年高考数学一轮复习知识清单3246850_题型必备·冲高分
专题24圆锥曲线综合大题归类(解析版)_02高考数学_2025年新高考资料_一轮复习_上好课2025年高考数学一轮复习知识清单3246850_题型必备·冲高分
专题24圆锥曲线综合大题归类(解析版)_02高考数学_2025年新高考资料_一轮复习_上好课2025年高考数学一轮复习知识清单3246850_题型必备·冲高分
专题24圆锥曲线综合大题归类(解析版)_02高考数学_2025年新高考资料_一轮复习_上好课2025年高考数学一轮复习知识清单3246850_题型必备·冲高分
专题24圆锥曲线综合大题归类(解析版)_02高考数学_2025年新高考资料_一轮复习_上好课2025年高考数学一轮复习知识清单3246850_题型必备·冲高分
专题24圆锥曲线综合大题归类(解析版)_02高考数学_2025年新高考资料_一轮复习_上好课2025年高考数学一轮复习知识清单3246850_题型必备·冲高分
专题24圆锥曲线综合大题归类(解析版)_02高考数学_2025年新高考资料_一轮复习_上好课2025年高考数学一轮复习知识清单3246850_题型必备·冲高分

文档信息

文档格式
docx
文档大小
5.796 MB
文档页数
62 页
上传时间
2026-04-13 04:15:38

文档内容

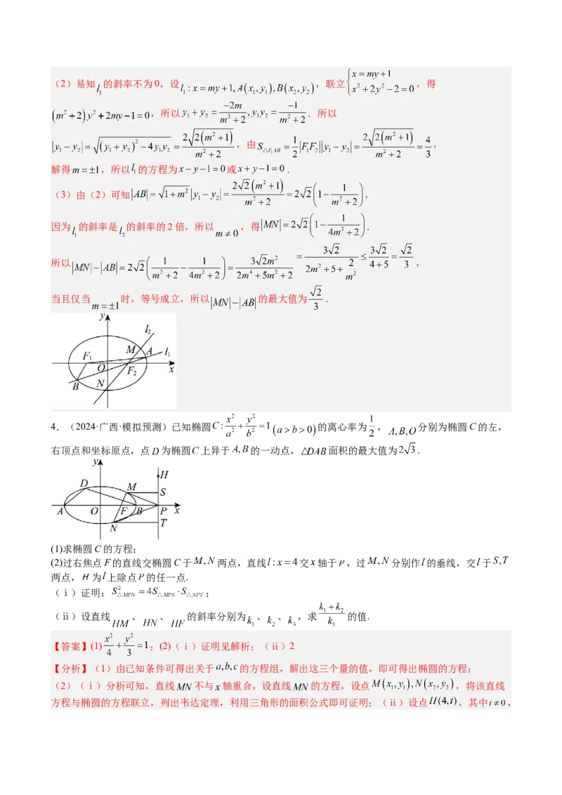
专题 24 圆锥曲线综合大题归类 目录 题型一: 大题基础:五个方程...........................................................................................................................................1 题型二:直线横截式.............................................................................................................................................................4 题型三:直线“双变量”型过定点.....................................................................................................................................8 题型四:面积最值范围型...................................................................................................................................................11 题型五:面积比值范围型...................................................................................................................................................16 题型六:定值型...................................................................................................................................................................20 题型七:斜率“和”型.......................................................................................................................................................25 题型八:斜率“积”型.......................................................................................................................................................28 题型九:斜率“比值”型...................................................................................................................................................32 题型十:斜率复合型...........................................................................................................................................................36 题型十一:切线型...............................................................................................................................................................40 题型十二:三角函数型转化难题.......................................................................................................................................44 题型十三:韦达定理不能直接用:定比分点...................................................................................................................47 题型十四:非对称型...........................................................................................................................................................51 题型十五:点代入型...........................................................................................................................................................55 题型一: 大题基础:五个方程 基本模板实战模板 1、设点, 2、方程1:设直线: -----此处还有千言万语,在后边分类细说。 3、方程2:曲线:椭圆,双曲线,抛物线,或者其他(很少出现),注意一个计算技巧,方程要事先去 分母 4、方程3:联立方程,整理成为关于x(或者y)的一元二次方程。要区分,椭圆,双曲线,和抛物线联立 后方程 的二次项能否为零-----这就是实战经验。 5、(1) ; (2)二次项系数是否为0;------这两条,根据题确定是直接用,或者冷处理。但是必 须考虑。 6、方程4、5:韦达定理 7、寻找第六个方程,第六个方程其实就是题目中最后一句话 1.(24-25高二上·广西梧州·阶段练习)已知动点 在抛物线 上, ,点 到 的准线的距离为 ,且 的最小值为5. (1)求 的方程; (2)若过点 的直线 与 交于 两点,且直线 的斜率与直线 的斜率之积为 ,求 的斜率. 【答案】(1) (2)4或 【分析】(1)利用抛物线的定义转化一个距离,则可用两点间距离线段最短得解; (2)利用方程组思想结合韦达定理,转化到坐标法来研究,即可得解. 【详解】(1)设抛物线 的焦点为 ,由抛物线的定义可得 ,则 ,当 三点共线且点 在线段 上时, 取得最小值 , 则 ,整理得 ,解得 或 ,因为 ,所以 ,故 的方程为 . (2)设过点 的直线 . 联立 ,消元得 ,则 ,由 , 得 代入韦达定理得: 化简得 ,得 或 .故 的斜率为4或 . 2.(2022·陕西榆林·模拟预测)已知椭圆C与双曲线 有相同的焦点,且椭圆C过点 . (1)求椭圆C的标准方程; (2)已知椭圆C的左焦点为F,过F作直线l与椭圆C交于A、B两点,若弦 中点在直线 上,求直 线l的方程. 【答案】(1) (2) 或 . 【分析】(1)根据椭圆的焦点及椭圆上的点列出方程求解即可; (2)由题意直线斜率不为0,设直线方程 ,联立椭圆方程,由根与系数的关系求出中点纵坐标, 代入 求出 即可得直线方程. 【详解】(1)由题意,椭圆C与双曲线 有相同的焦点为 , 设椭圆的方程为: ,又 椭圆C过点 , ,解得 , . 椭圆C的标准方程为 . (2)当直线l与x轴重合时不满足题意;当直线l与x轴不重合时,设直线l的方程为 , 由 消去x化简得 . 设A(x ,y ),B(x ,y ),则 . 弦 中点在直线 上, 1 1 2 2,解得 或 . 直线l的方程为 或 . 3.(2024·四川南充·一模)已知动点 与定点 的距离和P到定直线 的距离的比是常数 ,记点P的轨迹为曲线C. (1)求曲线C的标准方程; (2)设点 ,若曲线C上两点M,N均在x轴上方,且 , ,求直线FM 的斜率. 【答案】(1) (2) 【分析】(1)根据距离公式列出方程即可求解; (2)设 ,可得直线 的方程,呢绒联立方程组,结合对称性与弦长公式列出方程即可求解. 【详解】(1)由题意, ,整理化简得, ,所以曲线C的标准方程为 . (2)由题意,直线 的斜率都存在,设 ,则直线 的方程为 , 分别延长 , 交曲线 于点 ,设 ,联立 ,即 ,则 ,根据对称性,可得 , 则 , 即 ,解得 ,所以直线FM的斜率为 . 4.(24-25高三上·广东惠州·期中)已知双曲线 及直线 . (1)若 与 有两个不同的交点,求实数 的取值范围; (2)若 与 交于 两点, 是坐标原点,且 的面积为 ,求实数 的值. 【答案】(1) (2) 或 【分析】(1)将双曲线 及直线 联立,消去y,得到关于x的一元二次方程,根据题 意即可求解; (2)方法一:根据面积 ,其中d为O到直线l的距离,然后用含k的式子 表示出 ,解方程即可求出k的值;方法二:根据得 ,然后用含k的式子表示出 ,解方程即可求出k的值. 【详解】(1)直线 与双曲线 有两个不同的交点,则方程组 有两组不同的实数根, 整理得 . ,解得 且 ,双曲线 与直线 有两个不同的交点时, 的取值范围是 . (2)解法一:设交点 ,由(1)知双曲线 与直线 联立的方程为 . 由韦达定理得: ,则 又 到直线 的距离 , 所以 的面积 ,解得 或 , 又因为 且 ,所以 或 .所以当 或 时, 的面积为 . 解法二:设交点 ,直线 与 轴交于点 , 由(1)知双曲线 与直线 联立的方程为 .由韦达定理得: , 当 在双曲线的一支上且 时, ;当 在双曲线的两支上且 时, 综上, . 由已知得 ,故 ,即 所以 ,解得 或 ,又因为 且 ,所以 或.所以当 或 时, 的面积为 . 题型二:直线横截式 (1)直线AB方程为 ,联立曲线方程, 结合韦达定理化简整理得到只关于t、m的方程,即可求出t、m的关系,即可进一步讨论直线AB过定点 的情况; (2)设直线时注意考虑AB斜率不存在的情况,联立方程也要注意讨论判别式. 1.(24-25高三上·河北邯郸·阶段练习)已知双曲线 的左、右顶点分别为 ,离心率为 .过点 的直线l与C的右支交于M、N两点,设直线 的斜 率分别为 .(1)若 ,求: ; (2)证明: 为定值. 【答案】(1) (2)证明见解析 【分析】(1)依题意,求得双曲线,设出直线 的方程,联立方程组,由韦达定理可解; (2)利用两点斜率公式,结合双曲线方程求得 ,再结合(1)中结论即可得证. 【详解】(1)设双曲线的焦距为 ,由题意得, ,所以 . 因为 ,所以 ,所以C的标准方程为 . 直线 ,由 消去y化简并整理得 , 解得 或 (舍),所以 . 又直线 过点 ,所以直线 的方程为 ,所以 . (2)设M(x ,y ),则 . 1 1 因为 ,所以 . 设直线 ,由 消去x化简并整理得 .设N(x ,y ),则 ,故 2 2 .所以 为定值. 2.(2024高二上·江苏·专题练习)已知椭圆C: ,若椭圆的焦距为4且经过点 ,过点 的直线交椭圆于P,Q两点. (1)求椭圆方程; (2)若直线 与x轴不垂直,在x轴上是否存在点 使得 恒成立?若存在,求出s的值; 若不存在,说明理由. 【答案】(1) (2)存在, 【分析】(1)由焦距是4求出 ,将 代入椭圆方程求出 ,得到答案; (2)根据题意有 ,转化为 ,由韦达定理代入运算得解. 【详解】(1)由题意, ,将点 代入椭圆方程得 ,解得 , , 所以椭圆 的方程为 . (2)在 轴上存在点 使得 ,理由如下:设 ,直线 ,联立 与椭圆 可得 , 则 ,因为 ,所以 ,即 , 整理得 ,即 ,即 , 则 ,又 ,解得 ,所以在 轴上存在点 使得. 3.(24-25高三上·河北石家庄·阶段练习)已知焦距为 的椭圆 的右焦点为 , 右顶点为 ,过F作直线 与椭圆 交于 、 两点(异于点 ),当 轴时, . (1)求椭圆 的方程; (2)证明: 是钝角. 【答案】(1) (2)证明见解析 【分析】(1)根据条件,求 ,可得椭圆 的方程. (2)设直线 方程,联立直线与椭圆方程,利用韦达定理,再证 即可. 【详解】(1)由题意: ,所以椭圆 的方程为: . (2)如图: 因为 、 两点异于点 ,故直线 斜率不为 . 设直线 : ,由 .设 , ,则 , .所以 , 所以 为钝角或平角(舍去).故 为钝角. 4.(24-25高三上·福建福州·阶段练习)已知椭圆 : 的右焦点F在直线 上,A,B分别为 的左、右顶点,且 . (1)求C的标准方程; (2)是否存在过点 的直线 交C于M,N两点,使得直线 , 的斜率之和等于-1?若存在,求 出 的方程;若不存在,请说明理由. 【答案】(1) (2)存在, . 【分析】(1)先求出点 的坐标,得出椭圆中的 ,结合椭圆的几何性质可出答案.(2)设直线 的方程为: ,M(x ,y ),N(x ,y ),将直线方程与椭圆方程联立,得出韦达定理, 1 1 2 2 由题意 ,将韦达定理代入可出答案. 【详解】(1)设右焦点F(c,0),直线 与x轴的交点为(1,0), 所以椭圆C右焦点F的坐标为(1,0),故在椭圆C中 ,由题意 ,结合 , 则 , , 所以椭圆C的方程为: ; (2)当直线 的斜率为0时,显然不满足条件 ,当直线 的倾斜角不为 时, 设直线 的方程为: ,M(x ,y ),N(x ,y ),由 ,可得 , 1 1 2 2 由题意 ,则 , , 由 ,由 ,即 , 故存在满足条件的直线,直线 的方程为: . 题型三:直线“双变量”型过定点 当题中的直线既无斜率,又不过定点线,就要设成“双变量”型: ,依旧得讨论k是否存在 情况 当直线既不过定点,也不知斜率时,设直线,就需要引入两个变量了。 (1) (2) ,此时直线不包含水平,也要适当的补充讨论。 设“双变量”时,第一种设法较多。因为一般情况下,没有了定点在x轴上,那么第二种设法实 (3) 际上也没有特别大的计算优势。如第1题。 重要!双变量设法,在授课时,一定要讲清楚以下这个规律: (4) 一般情况下,试题中一定存在某个条件,能推导出俩变量之间的函数关系。这也是证明直线过定 点的理论根据之一。 1.(24-25高二上·黑龙江·期中)已知动点 到定点 的距离与动点 到定直线 的距离相 等,若动点 的轨迹记为曲线 . (1)求 的方程;(2)不过点 的直线与 交于横坐标不相等的A,B两点,且 ,若 的垂直平分线交 轴于 点 ,证明: 为定点. 【答案】(1) (2)证明见解析 【分析】(1)由题意,根据抛物线的定义进行求解即可; (2)设出直线 的方程,将直线方程与曲线 的方程联立,利用韦达定理及 得到 , , ,求出 的中点坐标和直线 的方程,进而即可得证. 【详解】(1)因为动点 到定点 的距离与动点 到定直线 的距离相等, 所以动点 的轨迹为焦点在 轴,开口朝右的抛物线,此时 ,则曲线 的方程为 ; (2)证明:设直线 的方程为 , , , 联立 ,消去 并整理得 ,此时 , 解得 ,由韦达定理得 , ,因为 , 所以 ,因为 ,所以 ,解得 , 设点 为 的中点,此时 ,所以直线 的方程为 , 令 ,解得 .故点 为定点,坐标为 . 2.(24-25高二上·黑龙江哈尔滨·阶段练习)已知椭圆 ,点 为椭圆上顶点,直线 与椭圆 相交于 两点, (1)若 为 的中点, 为坐标原点, ,求实数 的值; (2)若直线 的斜率为 ,且 ,证明:直线 过定点,并求定点坐标. 【答案】(1) (2)证明见解析;定点坐标 【分析】(1)直曲联立表示出韦达定理,再由中点坐标公式求出 ,最后结合两点间距离公式求 出即可; (2)当直线 的斜率不存在时,设直线方程为 ,则 ,由斜率关系求出 ;当直 线 的斜率存在时,直曲联立表示出韦达定理,再由斜率的定义结合 化简得到 和 的关系, 然后再求出直线所过定点即可; 【详解】(1)当 时, ,设 , ,消去 可得 , , ,由中点坐标公式可得 , ,又 ,解得 ,符合题意; (2)当直线 的斜率不存在时,设直线方程为 ,则 , 因为点 为椭圆上顶点,所以 ,所以 ,则 , 所以 ,当直线 的斜率存在时,直线方程为 , 联立椭圆方程 ,消去 可得 , , , 则 , 将韦达定理代入上式并化简可得 ,即 , 舍,所以 , 所以直线 ,此时直线过定点 , 综合以上可知直线 过定点 . 3.(24-25高三上·江苏南通·阶段练习)已知椭圆 : 的离心率为 ,点 在 上. (1)求 的方程; (2)设 的右顶点为 ,点 , 是椭圆上的两点(异于顶点),若直线 , 与 轴交于点 , ,若 ,求证:直线 恒过定点. 【答案】(1) (2)证明见解析 【分析】(1)根据离心率、 点坐标列方程求得 ,由此求得椭圆方程. (2)设 ,不妨设 在 左侧,可得 ,将椭圆平移至 ,设 方 程为 ,联立方程组可得 ,进而可得 的值,可求定点. 【详解】(1)由题意知 , 的方程为 . (2)设 ,不妨设 在 左侧, , , , , , ,将椭圆平移至 ,即 ,此时 平移至 , , 分别平移至 , ,设 方程为 , , , , 是关于 的方程 的两不等实根, 由 , 直线 的方程为 , 恒过定点(2,0), 恒过定点(2,1). 4.(24-25高二上·全国·课后作业)已知 ,点 在圆 上运动,线段 的垂 直平分线交线段 于点 ,设动点 的轨迹为曲线 . (1)求 的方程; (2)设 与 轴交于 两点(A在 点左侧),直线 交 于 两点( 均不在 轴上),设直线 的斜率分别为 ,若 ,证明:直线 过定点. 【答案】(1) (2)证明见解析 【分析】(1)利用垂直平分线的性质及椭圆的定义计算即可; (2)设 方程及 坐标,联立椭圆方程,利用韦达定理及两点斜率公式化简计算即可. 【详解】(1)易知圆 的圆心为 ,半径为4,由题得 ,所以动点 的轨迹是以 为焦点的椭圆, 不妨设椭圆的长轴、短轴、焦距为 ,其中 ,所以 的方程为 . (2)易知直线 的斜率不为0,设 的方程为 , , 联立 ,得 ,则 ,又可知点 ,所以 ,由 得 ,又 ,所以 ,即 ,又 ,代入得 ,整理可得 , 因为 两点不在 轴上,所以 ,所以 ,化简得 ,所以 ,直线 的方程为 ,故直线 恒过定点 .题型四:面积最值范围型 求最值求范围,属于前边知识额综合应用,主要是以下两点要注意 1. 注意变量的范围。 2. 式子转化为求值域或者求最值的专题复习 一些常见的思维: 1.可以借助均值不等式求最值。 2.分式型,多可以通过构造来求最值,如下几种常见的。 分式型:以下几种求最值的基本方法 (1) (2) 与 型,可以设mx+n=t,换元,简化一次项,然后构造均值或者对勾函数 求解。 (3) 型,判别式法,或者分离常数,然后转化分子为一次,再换元求解 1.(24-25高三上·重庆·阶段练习)已知 为坐标原点,双曲线 的焦距是实轴长 的 倍,过 上一点 作 的两条渐近线的平行线,分别交 轴于 两点,且 . (1)求双曲线 的标准方程; (2)过双曲线 的右焦点 的直线 与双曲线的左、右两支分别交于 两点,点 是线段 的中点,过 点 且与 垂直的直线 交直线 于点 ,点 满足 ,求四边形 面积的最小值. 【答案】(1) (2) 【分析】(1)设P(x ,y ),求出过点 作 的两条渐近线的平行线方程,再利用 和 0 0 解出双曲线方程即可; (2)设直线 , ,直曲联立,利用韦达定理,三点共线, 斜率之积为 ,列出等式求出 点坐标,结合向量关系得到四边形 是平行四边形,然后再 由弦长公式,点到直线的距离公式,以及换元法求导分析单调性,求最小值即可求解;【详解】(1) 设P(x ,y ),则 ,即 ,过点 作 的两条渐近线的 0 0 平行线方程分别为: ,则不妨取 , 于是 又 ,且 ,可得 , 所以双曲线方程为 , (2) 设直线 , ,联立方程 ,可得 ,① , ,由于直线 与双曲线的左右两支相交,所以方程①有两个同号的实根,, 故 ,由 三点共线得 ,② 由 得 ,③由②③解得 ,由 可知,四边形 是平行 四边形,所以 , , , , 令 ,则 ,则 ,令 ,则 ,令 ,所以 在 上单调递减,在 上单调递增,故 ,所以 ,当且仅当 ,即 时取等号. 2.(24-25高二上·全国·课后作业)已知 为坐标原点, 是圆 上一点, 且 ,线段 的垂直平分线交线段 于点 ,设动点 的轨迹为曲线 ,且曲线 与直线相切. (1)求 的方程; (2)过点 且斜率为 的直线 与曲线 交于 两点,求 面积的最大值. 【答案】(1) (2) 【分析】(1)先确定圆心A及半径,由垂直平分线的性质结合椭圆的定义及直线与椭圆的位置关系计算 即可; (2)设直线 方程,联立椭圆方程,由韦达定理、弦长公式、点到直线的距离及基本不等式计算即可. 【详解】(1)由题意可知圆 ,所以圆心 ,半径 , 因为 ,线段 的垂直平分线交线段 于点 ,所以 , 又 ,所以 ,即点 的轨迹是以点 为左、右焦点的椭圆,所以 曲线 .因为曲线 与直线 相切,故 , 解得 ,所以 的方程为 . (2)由题意得直线 ,由 ,得 , 令 ,所以 ,即 或 . 设 ,则 , 所以 ,令 ,则 ,则 ,当且仅当 即 时,等号成立, 所以 面积的最大值为 . 3.(24-25高三上·浙江·阶段练习)平面内有一点 和直线 ,动点 满足: 到点 的距 离与 到直线 的距离的比值是 .点 的运动轨迹是曲线 ,曲线 上有 四个动点. (1)求曲线 的方程; (2)若 在 轴上方, ,求直线 的斜率; (3)若 都在 轴上方, ,直线 ,求四边形 的面积的最大值.【答案】(1) (2) (3) 【分析】(1)由已知条件列出方程化简即可; (2)设A(x ,y ),B(x ,y ),设 ,与 的方程联立,由 ,有 ,结合 1 1 2 2 韦达定理求出 ,得直线 的斜率; (3)延长 ,交椭圆于点 ,四边形 的面积 ,设 ,利用韦达定理结合基本不等式求 的最大值. 【详解】(1)由题意 ,两边平方得 ,化简得 , 所以曲线 的方程为 ; (2) ,即 ,则直线 的斜率是正数,设 ,直线 的斜率为 , 设A(x ,y ),B(x ,y ),联立 ,化简得 ,所以 1 1 2 2 , 由题意知 ,代入 ,消 ,可得 , 解得 ,所以直线 的斜率是 ; (3)延长 ,交椭圆于点 , ,由对称性可知 , 和 等底等高, , 四边形 的面积 , 设 ,由(2)知 , 所以 ,即 , 令 ,所以 , 当且仅当 即 时, 取到最大值 ,此时 分别在 正上方. x2 y2 4.(24-25高二上·重庆·阶段练习)已知椭圆C: + =1(a>b>0)的左、右焦点分别为 和 ,焦距为 a2 b22.动点 在椭圆 上,当线段 的中垂线经过 时,有 . (1)求椭圆 的标准方程; (2)如图,过原点 作 的两条切线,分别与椭圆 交于点 和点 ,直线 的斜率分别记为 .当点 在椭圆上运动时, ①证明: 恒为定值,并求出这个值; ②求四边形 面积的最大值. 【答案】(1) (2)①证明见解析, ;②1 【分析】(1)根据已知条件以及椭圆的定义求得 ,从而求得椭圆方程. (2)①由直线和圆相切列方程,利用根与系数求得 恒为定值 . ②先求得四边形 面积的表达式,然后利用基本不等式求得面积的最大值. 【详解】(1)取 的中点记为 ,连结 . 在 中, ,所以 ,则 , 即 ,所以椭圆方程为 (2)①直线 与 相切,则 ; 直线 与 相切,同理有 ;则 是关于 的方程 的两根,由韦达定理知 (注:上式中,先由 消去的 ,再代入 )②由①问知 ,如图,设 ,由 , 同理可得 , . , , 当 , 时, . 题型五:面积比值范围型 x2 y2 1.(23-24高二下·湖南·期末)已知椭圆E: + =1(a>b>0)的离心率 ,且 上的点到点 a2 b2 的距离的最大值为 . (1)求 的方程; (2)过 的直线 与 交于 ,记 关于 轴的对称点为 . ①试证直线 恒过定点 ; ②若 在直线 上的投影分别为 ,记 的面积分别为 ,求 的 取值范围. 【答案】(1) (2)①证明见解析;② . 【分析】(1)根据椭圆的离心率及距离的最大值,列出方程组求解即得. (2)(i)设出直线 的方程,与椭圆方程联立,利用斜率坐标公式,结合韦达定理推理即得; (ii)由(i)的信息,借助三角形面积建立函数关系,再利用函数的单调性求出最大值. 【详解】(1)由 的离心率 ,则 , ,设 上的点M(x,y), 则 , , ①当 ,即 时, 的最大值为 ,由 ,则 , 又 ,所以 ,所以此时椭圆 的方程为 ②当 ,即 时, 的最大值为 , 由 ,即 ,解得 ,不合题意.综上可知, 的方程为 . (2)①当直线 斜率存在时,设直线 的方程为 ,A(x ,y ),B(x ,y ),则 , 1 1 2 2 由 得 , ,即 ,直线 方程为 , 当 时, , 故直线 恒过定点 .当直线 斜率不存在时,直线 方程为 也过 . 故直线 恒过定点 . ②由题意知,此时 的斜率 一定存在. ,由 及 , 所以 ,因为 ,令 ,所以 在 上单调递增.故 的取值范围为 . 2.(24-25高三上·云南昆明·阶段练习)已知双曲线 的左、右焦点分别为 , , 且焦距为4,左顶点为E,过右焦点 的动直线l交C于A,B两点,当l垂直于x轴时, . (1)求C的方程; (2)若动直线l与C的左支交于点A,右支交于点B,求 的取值范围. 【答案】(1) (2) 【分析】(1)求出焦点坐标,结合 ,可求出点 坐标,再利用双曲线方程与 ,即可求 出C的方程; (2)将面积之比转化为 , 纵坐标的比值问题,联立直线与双曲线方程,利用韦达定理可得出 ,进 而求得 的取值范围. 【详解】(1)设 ,由题意知,焦距为4,故 ,所以 , ,又因为当l垂直于x轴时, ,所以可得 . 把 代入C中得, ①,又 ②,则联立①②方程解得, , . 所以双曲线C的方程为 . (2)如图,由双曲线C的性质可得: , .设A(x ,y ),B(x ,y ), 1 1 2 2 则 , ,所以 . 设 ,联立 得, ,则 恒成立,所以 , , 由于l与C交于异支,则 ,解得: ;又 ,且 .令 ,且 ,则 ,所以 , 所以 ,所以 的取值范围为 . 3.(24-25高二上·江苏扬州·阶段练习)已知圆 与直线 相切于点 ,圆心 在 轴 上. (1)求圆 的标准方程; (2)若直线 与圆 交于 两点,当 时,求实数 的值; (3)过点 且不与 轴重合的直线与圆 相交于 两点, 为坐标原点,直线 分别与直线 相 交于 两点,记 的面积为 ,求 的最大值. 【答案】(1) (2) .(3) . 【分析】(1)设圆的方程为 ,根据直线 与圆相切于点 列方程组求解; (2)求出圆心到直线的距离为 ,求出 ;(3)求出 ,设直线 的斜率为 ,求出直线 的方程,联立直线与圆的方程,求出点 的坐标,求出点 的坐标,求出点 和点 的坐标,求出 、 的表达式,即可求出 得表达式, 根据基本不等式求出 的最大值. 【详解】(1)由题可知,设圆的方程为 ,由直线 与圆相切于点 , 得 ,解得 ,所以圆的方程为 ; (2)设圆心到直线 的距离为 ,因为 ,所以 ,所以 ,解得 ; (3)(3)由题意知, , 设直线 的斜率为 ,则直线 的方程为 , 由 ,得 ,解得 或 ,则点 的坐标为 , 又直线 的斜率为 ,同理可得:点 的坐标为 ,由题可知: , ,又 ,同理 , ,当且仅当 时等号成立, 的最大值为 . 4.(23-24高三上·浙江·开学考试)如图,已知椭圆 的左,右焦点分别为 ,抛物线 的焦点为 ,抛物线的弦 和椭圆的弦 交于点 ,且 为 的中点. (1)求 的值; (2)记 的面积为 的面积为 ,求 的最小值.【答案】(1)1(2) . 【分析】(1)根据题意可得 ,可得 ,结合抛物线焦点为 ,从而可求解. (2)设直线 为为 ,则直线 为 ,与抛物线联立,再结合韦达定理可得, ,记 即得 , ,然后构造函数 ,利用导数求出其最小值,即可求解. 【详解】(1)易得 ,故 , 又 是抛物线 的焦点,所以 ,解得 . 故 . (2)设直线 为 ,则直线 为 ,联立 解得 , 设 , ,由韦达定理知 , 所以 , ,记 , ,令 , ,当 时, , 单调递减; 当 时, , 单调递增;以当 时, 取到极小值也是最小值 , 所以 ,此时 ,即 .所以 的最小值为 . 题型六:定值型 求定值问题常见的思路和方法技巧: (1)从特殊入手,求出定值,再证明这个值与变量无关; (2)直接推理、计算,并在计算推理的过程中消去变量,从而得到定值. 求定值题型,运算量大,运算要求高,属于中等以上难度的题 1.(2024·湖南衡阳·一模)如图,已知点 、 分别是椭圆 的左、右焦点,点 是负半轴 上的一点, ,过点 的直线 与 交于点 与点 .(1)求 面积的最大值; (2)设直线 的斜率为 和直线 的斜率为 ,椭圆 上是否存在点 ,使得 为定值,若存在,求 出点 与 值,若不存在,请说明理由. 【答案】(1) (2)存在,答案见解析 【分析】(1)利用两个公共底的三角形面积差表示出所求三角形面积,再由根与系数的关系化简,化简 后换元,利用均值不等式求最值; (2)设 ,表示出 ,再利用 在直线上及根与系数的关系化简,观察式子当当 , 时为定值,即可得解. 【详解】(1)因为 ,所以 ,所以 , 由 ,可设 ,由题意 ,联立 ,消元得 , 设 , ,则 ,且 , , 所以 的面积 , 令 ,则 , 当且仅当 ,即 , 时(此时适合 的条件)取得等号. 故 面积的最大值为 . (2)设椭圆上存在满足条件的点 ,定值 ,如图, 由(1)知 , ,所以 , , ,由 , 在 上,所以 , , 所以 , 当 , , 时,该等式成立与 取值无关,此时 ,故满足条件 的椭圆上的点 对应 或 对应 . 2.(23-24高二下·上海金山·期末)已知椭圆 常数 ,点 为坐标原点. (1)求椭圆离心率的取值范围; (2)若 是椭圆 上任意一点, ,求 的取值范围; (3)设 是椭圆 上的两个动点,满足 ,试探究 的面积是否为定值, 说明理由. 【答案】(1) ;(2) ;(3)是定值,理由见解析 【分析】(1)根据已知 结合离心率公式化简计算; (2)应用向量间关系结合基本不等式化简求范围即可; (3)应用斜率积的公式化简得出 结合三角形面积公式 结合点在椭圆上化简求值. 【详解】(1)由椭圆方程为 ,则离心率 ,又 所以 ; (2)由已知得 又点 是椭圆 上任意一点, 则 ,化简可得 所以 (3)法一:由已知可得 ,即 ,平方可得 , 又 在椭圆 上,所以 ,所以 , 化简可得 设 与 的夹角为 , 则 ,则 , 所以 的面积 , 故 的面积为定值; 方法二:由已知 ,即 ,①当直线 斜率不存在时, ,则, 又 在椭圆 上,则 ,所以 ,此时 ; ②当直线 斜率存在时,设直线 的方程为: ,联立直线与椭圆 , 得 ,则 , , 则 ,即 ,所以 |t| ,点 到直线 的距离d= , √1+k2 所以 ,所以 的面积为定值. 3.(24-25高二上·江苏南京·阶段练习)已知圆 分别与 轴正半轴交于 两点, 为 圆 上的动点. (1)若线段AP上有一点 ,满足 ,求点 的轨迹方程; (2)过点 的直线 截圆 所得弦长为 ,求直线 的方程; (3)若 为圆 上异于 的动点,直线AP与 轴交于点 ,直线BP与 轴交于点 ,求证: 为定值. 【答案】(1) (2) 或 (3)证明见解析 【分析】(1)利用相关点法求解即可; (2)易得圆心到直线 的距离,再分直线 的斜率是否存在两种情况讨论,结合点到直线的距离公式即 可得解; (3)设 ,分别求出直线 的方程,进而可得点 的坐标,再结合两点间的距离公式计算 化简即可. 【详解】(1)根据题意, , ,设 ,则 , 由于 ,所以 ,则 ,得 ,故 , 又 为圆 上,所以 ,化简得 ,故点 的轨迹方程为; (2)因为过点 的直线 截圆 所得弦长为 , 所以圆心 到直线 的距离 ,当直线 的斜率不存在时,直线 的方程为 , 此时圆心 到直线 的距离为 ,符合题意; 当直线 的斜率存在时,设直线 的方程为 ,即 , 则圆心 到直线 的距离为 ,解得 ,所以直线直线 的方程为 , 即 ,综上所述,直线 的方程为 或 ; (3)设 ,则 ,直线 方程是 ,代入 ,得 ,即 , 直线 方程是 ,代入 ,得 ,即 , 所以 ,所以 为定值. 4.(2024高三·全国·专题练习)已知点 分别为椭圆 的左、右焦点,直线 与椭 圆 有且仅有一个公共点,直线 ,垂足分别为点 . (1)求证: ; (2)求证: 为定值,并求出该定值; 【答案】(1)证明见解析(2)证明见解析,定值为1 【分析】(1)联立直线与椭圆方程得 ,然后利用判别式法化简证明即可; (2)结合(1)的结论,利用点到直线的距离和数量积的定义即可求得 为定值1.【详解】(1)联立 与 消y得: , 由直线与椭圆有一个公共点可知: ,化简得: ; (2)由题意得: ,因为 ,所以 ∥ ,故 , 其中 , ,所以 , 为定值,该定值为1. 题型七:斜率“和”型 x2 y2 + =1(a>b>0) a2 b2 给定椭圆 ,与椭圆上定点P ,过P点走两条射线PA、PB,与椭圆交与A 和B两点,记直线PA、PB的斜率分别为K1,K2,则有 1.(2024·河南郑州·模拟预测)设抛物线 的焦点为 , 是 上一点且 ,直线 经过点 . (1)求抛物线 的方程; (2)①若 与 相切,且切点在第一象限,求切点的坐标; ②若 与 在第一象限内的两个不同交点为 ,且 关于原点 的对称点为 ,证明:直线 的倾 斜角之和为 . 【答案】(1) (2)① ;②证明见解析 【分析】(1)由 化简得 ,再根据定义得 ,代入即可的抛物 线方程; (2)①设切点坐标为 ,通过导数求出切线方程 ,将点 代入即可;②设 直线 的方程为 , , ,联立 得 , ,然后 计算 即可. 【详解】(1)因为 ,所以 ,所以 , 所以 ,又P是C上一点,所以 ,所以 ,解得 ,所以抛物线C的方程为 . (2)①设切点坐标为 ,因为 ,所以 ,切线的斜率为 ,所以切线方程为 ,将 代入上式,得 , 所以 ,所以切点坐标为 . ②由①得,直线 的斜率都存在, 要证:直线 的倾斜角之和为 ,只要证明:直线 的斜率之和为 . 设直线 的方程为 , , , ,则 , , 由 得 ,所以 , , ,即 , 所以 ,即直线 的倾斜角之和为 . 2.(2024·四川成都·模拟预测)已知椭圆 的离心率为 ,过点 的直线 与 椭圆 相交于 两点,当 过坐标原点 时, . (1)求椭圆 的方程; (2)当 斜率存在时,线段 上是否存在定点 ,使得直线 与直线 的斜率之和为定值.若存在,求 出点 的坐标;若不存在,请说明理由. 【答案】(1) ;(2)存在,点 . 【分析】(1)根据给定条件,求出 即可求得椭圆 的方程. (2)设出直线 的方程,与椭圆方程联立,利用韦达定理及斜率坐标公式求解即得. 【详解】(1)直线l过坐标原点O时, , , 由椭圆 离心率为 ,得 ,解得 ,所以椭圆C的方程为 . (2)假设存在定点 , ,设直线l: , , 由 消去y得 , , , , 直线 的斜率 有 , 则当 时, 为定值,所以存在定点 ,使得直线QA与直线QB的斜率之和恒为0.3.(2024·山东淄博·二模)已知椭圆 (a>b>0)的离心率为 ,且四个顶点所围成的菱形的 面积为4. (1)求椭圆的标准方程; (2)四边形ABCD的顶点在椭圆上,且对角线AC,BD过原点O,设 ,满足 . ①求证:直线AB和直线BC的斜率之和为定值; ②求四边形ABCD面积的最大值. 【答案】(1) (2)①证明见解析;②4 【分析】(1)根据题意,找出 之间的关系式,列方程求解即可; (2)①设出方程,直线与曲线联立,运用韦达定理,以及斜率公式求证即可;②结合①的信息,令 ,则 ,根据点到直线距离公式和三角形面积公式,结合基本不等式求解 即可. 【详解】(1)由题意 ,2ab=4,又 ,解得 , 所以椭圆的标准方程为 . (2)如图所示①设直线AB的方程为 ,设 联立 ,得 (*) = , , 整理得 , 所以直线 和直线 的斜率之和为定值0.②由①,不妨取 ,则 设原点到直线AB的距离为d,则 又 ,所以 当且仅当 时取等号. .即四边形ABCD的面积的最大值为4.4.(2024·四川宜宾·三模)已知椭圆E: 的左右焦点分别为 , ,过焦点 斜率为 的直线 与椭圆E交于A,B两点,过焦点 斜率为 的直线 与椭圆E交于C,D两点,且 . (1)求直线 与 的交点N的轨迹M的方程; (2)若直线OA,OB,OC,OD的斜率分别为 , , , ,问在(1)的轨迹M上是否存在点P, 满足 ,若存在,求出点P坐标;若不存在,说明理由. 【答案】(1) ( 且 )(2)存在, 或 【分析】(1)设 : , : ,直线 与 的交点是N,且 ,消去 即可得解; (2)通过 得到 ,然后求解点 的坐标. 【详解】(1)由已知 , ,则 : , : , ∴点 满足 ,即 ,∴① ② , ∴点P的轨迹方程是 ( ),又依题意可知 , 综上可知:直线 与 的交点N的轨迹M的方程为: ( 且 ); (2)由题意知直线 : ,与椭圆方程联立 ,消元得 , , ,同理可得 , 所以 ,即 . 由(1)知 ,所以 ,令点 , ,解得 , ∴存在 或 满足题意. 题型八:斜率“积”型1.(2025·广东·一模)设 两点的坐标分别为 . 直线 相交于点 ,且它们的 斜率之积是 . 设点 的轨迹方程为 . (1)求 ; (2)不经过点 的直线 与曲线 相交于 、 两点,且直线 与直线 的斜率之积是 ,求证:直线 恒过定点. 【答案】(1) (2)证明见解析 【分析】(1)设点 的坐标为 ,然后表示出直线 的斜率,再由它们的斜率之积是 ,列 方程化简可得点 的轨迹方程; (2)设 ,当直线 斜率不存在时,求得直线 为 0,当直线 斜率存在时,设直线 ,由 得 ,将直线方程代入椭圆方程化简利用根与系 数的关系,代入上式化简可得 ,从而可求得直线恒过的定点. 【详解】(1)设点 的坐标为 ,因为点 的坐标是 ,所以直线 的斜率 ,同理,直线 的斜率 ,由已知,有 ,化简,得点 的轨迹方程为 , 即点 的轨迹是除去 两点的椭圆. (2)证明:设 ①当直线 斜率不存在时,可知 , 且有 ,解得 ,此时直线 为 0, ②当直线 斜率存在时,设直线 ,则此时有: 联立直线方程与椭圆方程 ,消去 可得: , 根据韦达定理可得: , ,所以 , 所以 ,所以 所以 ,则 或 ,当 时,则直线 恒过 点与题意不符,舍去, 故 ,直线 恒过原点 ,结合①,②可知,直线 恒过原点 ,原命题得证.2.(2024·辽宁·模拟预测)已知双曲线 过点 ,离心率为2. (1)求 的方程; (2)过点 的直线 交 于 , 两点(异于点 ),证明:当直线 , 的斜率均存在时, , 的斜率之积为定值. 【答案】(1) (2)证明见解析 【分析】(1)根据题中条件找到双曲线中的 ,从而求出 的方程. (2)利用平移齐次化进行证明即可. x2 y2 【详解】(1)由双曲线C: − =1(a>0,b>0)过点 ,则 ,又离心率为2,则 , a2 b2 即 , ,即 ,代入 ,可得, , , 因此, 的方程为: . (2) 将双曲线 向左平移2个单位长度,向下平移3个单位长度,得到双曲线 为 ,得到的双曲线 如图所示, 则 平移到 , 平移到 , 平移后 , 变为 , ,设 , ,直线 的方程为: ①, ②, 将①代入②,用“1”的代换得 ,则 , 各项同时除以 ,得 ,则 , 又直线 过 ,则 ,即 ,因此 , 故当直线 , 的斜率存在时, , 的斜率之积为定值 .3.(2024·江西九江·二模)已知双曲线 的离心率为 ,点 在 上. (1)求双曲线 的方程; (2)直线 与双曲线 交于不同的两点 , ,若直线 , 的斜率互为倒数,证明:直线 过定点. 【答案】(1) (2)证明见解析 【分析】(1)根据离心率及 , , 的平方关系得出 ,再由点 在 上,可求解 , ,进 而可得双曲线 的方程; (2)当 斜率不存在时,显然不满足条件.当 斜率存在时,设其方程为 ,与方程联立 联立, 可得根与系数的关系,表示出直线 , 的斜率 , ,由 ,结合根与系数的关系可得 与 的 关系,从而可证得直线 过定点. 【详解】(1)由已知得 , ,所以 ,又点 在 上,故 , 解得 , ,所以双曲线 的方程为: . (2)当 斜率不存在时,显然不满足条件. 当 斜率存在时,设其方程为 ,与方程联立 联立,消去 得 , 由已知得 ,且 , 设 , ,则 , , 直线 , 的斜率分别为 , ,由已知 ,故 ,即 ,所以 , 化简得 ,又已知 不过点 ,故 , 所以 ,即 ,故直线 的方程为 ,所以直线 过定点 . 4.(2024·广东深圳·模拟预测)已知椭圆 : 的离心率为 ,右顶点 与 的上,下 顶点所围成的三角形面积为 . (1)求 的方程; (2)不过点 的动直线 与 交于 , 两点,直线 与 的斜率之积恒为 ,证明直线 过定点,并求出 这个定点. 【答案】(1) ;(2)证明见解析; 【分析】(1)根据椭圆的离心率及三角形面积,列出方程组求解即得; (2)对直线 的斜率分等于0和不等于0讨论,设出直线 的方程,与椭圆方程联立,利用斜率坐标公式, 结合韦达定理推理即得. 【详解】(1)令椭圆 的半焦距为c,由离心率为 ,得 ,解得 ,由三角形面积为 ,得 ,则 , ,所以 的方程是 . (2)由(1)知,点 ,当直线 的斜率为0时,设直线 , 则 , ,且 ,即 , ,不合题意; 当直线 的斜率不为0时,设直线 的方程为 ,设 , 由 消去x得: ,则 , 直线 与 的斜率分别为 , , 于是 ,整理得 ,解得 或 , 当 时,直线 过点 ,不符合题意,因此 ,直线 : 恒过定点 . 题型九:斜率“比值”型 1.(2024·四川成都·模拟预测)已知点 , ,点P在以AB为直径的圆C上运动, 轴, 垂足为D,点M满足 ,点M的轨迹为W,过点 的直线l交W于点E、F. (1)求W的方程; (2)若直线l的倾斜角为 ,求直线l被圆C截得的弦长;(3)设直线AE,BF的斜率分别为 , ,证明 为定值,并求出该定值. 【答案】(1) (2) (3)证明见解析,2 【分析】(1)由已知可得圆的方程,设M(x,y),P(x ,y ), ,根据 ,可得 , 0 0 ,代入圆的方程即可求解; (2)由已知可得直线方程,求出圆心到直线的距离,由勾股定理即可求解; (3)根据题意可知直线 斜率不为0,设直线 的方程为 , , ,联立直线和椭 圆构成方程组,根据斜率的计算公式结合韦达定理即可求解. 【详解】(1) 由题意,点 在圆 上运动,设M(x,y),P(x ,y ), , 0 0 由 得 , ,又 ,所以 ,所以 的方程为 ; (2)直线 的方程为 ,即 ,圆心 到直线 的距离为 ,所以直线 被圆C截得的弦长为 ; (3) 由题意,直线 斜率不为0,设直线 的方程为 , , , 联立 得 ,所以 , , 故 , . 2.(2024·广东广州·模拟预测)已知在平面直角坐标系 中,双曲线 : 过 和 两点. (1)求双曲线 的标准方程; (2)若 , 为双曲线 上不关于坐标轴对称的两点, 为 中点,且 为圆 的一条非直径的弦,记 斜率为 , 斜率为 ,证明: 为定值. 【答案】(1) (2)证明见解析【分析】(1)根据双曲线上两点,代入方程解方程组即可得解; (2)利用“点差法”可得直线 斜率与 斜率关系,再由圆的性质可得 斜率的关系,化简即 可得证. 【详解】(1)代入双曲线上两点得 , ,故 ,解得 , , 故双曲线C标准方程为: . (2)如图, 设 , , 由题知 ,相减得 ,又 , 所以 , 由 为圆 的一条非直径的弦, 为 中点得 ,故 ,因此 为定值. 3.(2024·河南新乡·模拟预测)已知椭圆 的左、右焦点分别为 ,且 , 过点 作两条直线 ,直线 与 交于 两点, 的周长为 . (1)求 的方程; (2)若 的面积为 ,求 的方程; (3)若 与 交于 两点,且 的斜率是 的斜率的2倍,求 的最大值. 【答案】(1) (2) 或 .(3) . 【分析】(1)根据椭圆的定义求得 ,即可求解; (2)由题意设 ,联立椭圆方程,根据韦达定理表示出 ,结合 的面积建立方程,计算即可求解; (3)由(2)可得 ,进而 ,则 , 结合基本不等式计算即可求解. 【详解】(1)设椭圆的半焦距为 ,由题意知 ,所以 , 的周长为 ,所以 , 所以 ,故 的方程为 .(2)易知 的斜率不为0,设 ,联立 ,得 ,所以 .所以 ,由 , 解得 ,所以 的方程为 或 . (3)由(2)可知 , 因为 的斜率是 的斜率的2倍,所以 ,得 . 所以 , 当且仅当 时,等号成立,所以 的最大值为 . 4.(2024·广西·模拟预测)已知椭圆 的离心率为 , 分别为椭圆C的左, 右顶点和坐标原点,点 为椭圆 上异于 的一动点, 面积的最大值为 . (1)求椭圆C的方程; (2)过右焦点F的直线交椭圆C于 两点,直线 交 轴于 ,过 分别作 的垂线,交 于 两点, 为 上除点 的任一点. (ⅰ)证明: ; (ⅱ)设直线 、 、 的斜率分别为 、 、 ,求 的值. 【答案】(1) ;(2)(ⅰ)证明见解析;(ⅱ)2 【分析】(1)由已知条件可得出关于 的方程组,解出这三个量的值,即可得出椭圆的方程; (2)(ⅰ)分析可知,直线 不与 轴重合,设直线 的方程,设点 ,将该直线 方程与椭圆的方程联立,列出韦达定理,利用三角形的面积公式即可证明;(ⅱ)设点 ,其中 ,利用斜率公式结合韦达定理可求得 的值. 【详解】(1)由题意知 ,解得 , ,所以 的方程为 . (2)(ⅰ)由题可知点 、 , 若直线 与x轴重合,则M、P、N重合,则 不存在,不合乎题意; 设直线 的方程为 ,设点M(x ,y )、N(x ,y ), 1 1 2 2 联立 可得 , , 由韦达定理可得 , , 所以 , 所以 . (ⅱ)设点 ,其中 ,则 . 题型十:斜率复合型 1.(2024·全国·模拟预测)已知椭圆 分别为椭圆 的左、右顶点, 分别为椭圆 的左、右焦点,斜率存在的直线 交椭圆 于 两点,记直线 的斜率分别为 .(1)证明: ; (2)若 ,求 的取值范围. 【答案】(1)证明见解析(2) 【分析】(1)设出直线,联立后消去 得与 有关的韦达定理后结合斜率公式计算即可得; (2)借助(1)中的结论,将 面积用未知数表达后结合换元法,借助函数性质求最最值即可得. 【详解】(1)设 的方程为 ,联立 ,消去 ,得 , 需满足 ,设 ,则 , 易知 , 所以 ,同理 ; (2)因为 ,则由(1)知, ,即 , 由 与 轴不垂直可得 ,所以 ,即 , 所以 ,即 ,整理得 , , 整理得 ,解得 或 ,因为 在 轴的两侧,所以 ,解得 ,又 时,直线 与椭圆 有两个不同的交点,因此 ,直线 恒过点 , 当 时, , , 设 ,则 ,由 与 轴不垂直得 ,且 , 因为函数 在 上为减函数,所以 的取值范围为 .3.(2023·广东·模拟预测)已知点 为椭圆 : 上的一点,点 . (1)求C的离心率; (2)若直线l交C于M,N两点(M,N不与点B重合),且直线BM,BN,MN的斜率满足 ,证明:直线l过定点,并求出该定点的坐标. 【答案】(1) (2)证明见解析,定点 . 【分析】(1)代入点 可得 ,即可得椭圆方程,即可得离心率; (2)设出直线l的方程,联立曲线,可得其交点横坐标有关韦达定理,结合斜率公式计算可得所设方程, 即可得其定点坐标. 【详解】(1)∵ 在C: 上∴ ,解得 或 (舍去), ∴ : .∴ 的离心率为 ; (2)由(1)得 : ,设l: ,联立方程组 ,消去y可得 , ,解得 , 有 ,∵ , , ∴ , 将(*)代入其中可得 . 由题意知 ,∴ 或 .∵ 不过点 ,∴ ,∴ 过定点 . 3.(2024·四川南充·模拟预测)在平面直角坐标系中,点 在运动过程中,总满足关系式 . (1)求点 的轨迹 的方程; (2)过点 作两条斜率分别为 的直线 和 ,分别与 交于 和 ,线段 和 的中点分别 为 ,若 ,证明直线 过定点. 【答案】(1) (2)证明见解析 【分析】(1)根据椭圆定义求解即可;(2)设直线 的方程为 ,直线 的方程为 ,直线与椭圆联立方程求得 ,两直线联立可得 ,可得 点横坐标所在方程 ,同理可得 点横坐标所在方程 , 再由 建立等式求解即可得证. 【详解】(1)由椭圆定义,点 的轨迹是以 为焦点,长轴长为6的椭圆, 所以点 的轨迹 的方程为 ; (2)设直线 的方程为 直线 的方程为 因为过点 ,所以: 联立直线 与椭圆的方程,消去 y 整理得 , 设 由韦达定理可得: ,所以 , 联立直线 的方程 和直线GH的方程 , 可解得 所以 整理得 点横坐标所在方程 ,同理可得 点横坐标所在方程 , 因此, 是一元二次方程 的两个根,则有 ,又 ,所以 ,整理得: ,所以直线 的方程为 ,故直线 过定点 . 4.(2024·新疆喀什·三模)已知双曲线 : 的左、右焦点分别为 , , 是直线 : (其中 是实半轴长, 是半焦距)上不同于原点 的一个动点,斜率为 的直线 与双曲线 交于 , 两点,斜率为 的直线 与双曲线 交于 , 两点. (1)求 的值; (2)若直线 , , , 的斜率分别为 , , , ,问是否存在点 ,满足 ,若存在,求出 点坐标;若不存在,说明理由. 【答案】(1)-3(2)存在, ,或 【分析】(1)设 ,利用斜率公式求解; (2)设 ,直线 方程为 ,与双曲线方程联立,结合韦达定理得到 , ,结合 求解. 【详解】(1)由题可得双曲线E: ,则 , ∴左、右焦点分别为 , ,直线l的方程为: 设 , ,同理可得 .∴ ; (2)设 ,如图, 直线 方程为 ,代入双曲线方程可得: , 所以 ,则 , 则 , , , .同理 ,即 , 即 , ∴ 或 ,又 , 若 .无解,舍去.∴ ,解得 , ,或 , ,若 , ,由A在直线 上可得, , ∴ .此时 ,若 , ,由A在直线 上可得, , ∴ 此时 ∴存在点 ,或 ,满足 . 题型十一:切线型在利用椭圆(双曲线)的切线方程时,一般利用以下方法进行直线: (1)设切线方程为 与椭圆方程联立,由 进行求解; (2)椭圆(双曲线) 在其上一点 的切线方程为 ,再应用此方程时,首先应 证明直线 与椭圆(双曲线) 相切. 双曲线 的以 为切点的切线方程为 抛物线的切线: (1)点 是抛物线 上一点,则抛物线过点P的切线方程是: ; (2)点 是抛物线 上一点,则抛物线过点P的切线方程是: . 1.(24-25高二上·湖南衡阳·阶段练习)已知抛物线 ,过点 的直线l交抛物线于A,B两点, 抛物线在点A处的切线为 ,在点B处的切线为 ,直线 与 交于点M. (1)设直线 , 的斜率分别为 , ,证明: ; (2)设线段AB的中点为N,求 的取值范围. 【答案】(1)证明见解析(2) 【分析】(1)设切线方程,分别用点 的横坐标表示 ,联立直线l与抛物线的方程,结合韦达定理, 可得结果; (2)联立直线方程求点M坐标,由中点坐标公式可得 点坐标,从而得到|MN|,再由弦长公式可得 |AB|,由 的表达式求取值范围即可. 【详解】(1)由题意知,直线l的斜率存在,设点A(x ,y ),B(x ,y ),直线l的方程为 , 1 1 2 2 由 得 , , , . 由 ,得切点 , ,则切线 的方程为 ,代入 ,得 ,所以 ,解得 ,同理,得切线 的斜率 ,所以 . (2)由(1)可得 ,故 , . 由(1)得 ,可化为 ,①同理得 ,② 由①②,得 , ,即 ,则 . , 所以 .由 , ,得 ,故 , 即 的取值范围为 . 2.(24-25高二上·吉林长春·阶段练习)已知 为椭圆C: 上的点,C的焦距为 . (1)求椭圆C的方程; (2)点P为椭圆C上的动点,过点P作圆O: 的两条切线,切点分别为A,B,求 的取值 范围. 【答案】(1) (2) 【分析】(1)根据点在椭圆上,代入即可列方程求解, (2)根据点点的距离可得 ,即可根据模长公式以及数量积的运算,结合二倍角公式 即可求解. 【详解】(1)由题意可得 ,解得 ,故椭圆方程为 (2)设 ,则 ,由于 ,故 , 故 ,由于故 ,因此 ,故 3.(24-25高三上·上海·开学考试)已知双曲线 的左、右顶点分别为点A、B,M为双曲线 上的动点,点 . (1)求点M到 的两条渐近线的距离之积; (2)求经过点Q的双曲线 的切线方程; (3)设点P在第一象限,且在渐近线的上方,直线PA,PB分别与y轴交于点C,D.过点P作 的两条切线, 分别与y轴交于点E,F(E在F的上方),证明: . 【答案】(1) (2) (3)证明见详解 【分析】(1)设出点 的坐标,写出关系式,求出两个渐近线方程,求出点M到 的两条渐近线的距离 之积; (2)设经过点 的切线方程为 ,联立直线与双曲线方程,根据判别式为 求出 ,求出切线方 程; (3)设 ,再由 坐标得到直线 的方程,继而可得 坐标,设过 且与双曲线相切的 直线为 ,联立双曲线与直线方程,由 及韦达定理可得 坐标,继而可得 ,即 ,即 ,即可求证. 【详解】(1)设点 ,所以 ,两个渐近线方程为 , 所以点M到 的两条渐近线的距离之积为 ; (2)由题意得切线方程斜率存在,设经过点 的切线方程为 , 联立 ,所以 ,因为直线与双曲线相切,所以 , 所以 ,所以切线方程为 ; (3) 设 , , , , 所以直线 的方程为 ,直线 的方程为 ,所以 , , 设过 且与双曲线相切的直线方程为 ,联立 , 所以 ,所以 , 所以 ,设直线 , 的斜率分别为 , ,所以 ,所以 的方程为 ,所以 ,同理 的方程为 , 所以 ,所以 ,, 所以 ,所以 ,所以 ,所以 . 4.(23-24高三上·重庆南岸·阶段练习)在平面直角坐标系中,动点 到 的距离等于到直线x=−1的 距离. (1)求M的轨迹方程; (2)P为不在x轴上的动点,过点 作(1)中 的轨迹的两条切线,切点为A,B;直线AB与PO垂直(O 为坐标原点),与x轴的交点为R,与PO的交点为Q; (ⅰ)求证:R是一个定点; (ⅱ)求 的最小值. 【答案】(1) (2)(ⅰ)证明见解析;(ⅱ) 【分析】(1)利用抛物线的定义求M的轨迹方程; (2)(ⅰ)设点 ,由切线AP和BP的方程,得到直线AB的方程为 ,又直线AB与PO垂直得 ,则直线AB的方程 ,可得所过定点. (ⅱ) 联立直线AB与直线OP的方程得交点Q的坐标,表示出 ,结合基本不等式求最小值. 【详解】(1)因为动点 到 的距离等于到直线x=−1的距离,所以M的轨迹为开口向右的抛物线, 又因为焦点为 ,所以轨迹方程为 . (2)(ⅰ)证明:设点 ,设以A(x ,y )为切点的切线方程为 , 1 1 联立抛物线方程,可得 ,由 ,得 , 所以切线AP: ,同理切线BP: 点P在两条切线上,则 , 由于 均满足方程 ,故此为直线AB的方程, 由于垂直 即 ,则 ,所以直线AB的方程 ,恒过 ; (ⅱ)解:由(ⅰ)知 ,则 ,直线 联立直线AB与直线OP的方程 得 ,因此 , 时取等号. 即 的最小值是 . 题型十二:三角函数型转化难题 在一直一曲五个方程(韦达定理代入型)题型中,主要的难点在于怎么转化出“第六个方 程”。 1. 具有明显的可转化为韦达定理特征的。属于较容易的题。 2. 隐藏较深的条件,需要用一些技巧,把条件转化为点坐标之间的关系,再转化为韦达定理。 3. 没有固定的转化技巧,可以在训练中积累相关化归思想。 1.(2024·天津和平·二模)在平面直角坐标系xOy中,椭圆 的右焦点为点F,椭圆上 顶点为点A,右顶点为点B,且满足 . (1)求椭圆的离心率; (2)是否存在过原点O的直线l,使得直线l与椭圆在第三象限的交点为点C,且与直线AF交于点D,满足 ,若存在,求出直线l的方程,若不存在,请说明理由. 【答案】(1) (2)因此存在直线 满足条件. 【分析】(1)根据椭圆的几何性质求解 ,即可结合 的关系求解, (2)联立方程可得 坐标,即可根据 根据 , 即可求解. 【详解】(1)依题意, ,解得 ,又因为 ,所以 . (2)设直线 的方程为 ,椭圆的方程为 , 设点 , 联立方程组,整理得 ,解得 , ①,直线AF方程为 ,设点 , ,联立方程组,解得 , ②,又因为 , 设 ,则有 , 即 ,所以 ,所以 .所以 ,则有 , 代入①②有 ,解得 ,由题意得 ,所以 ,因此存在直线 满足题中条件. 2.(2024·山东济南·三模)如图所示,抛物线 的准线过点 , (1)求抛物线的标准方程; (2)若角 为锐角,以角 为倾斜角的直线经过抛物线的焦点 ,且与抛物线交于A、B两点,作线段 的垂直平分线 交 轴于点 ,证明: 为定值,并求此定值. 【答案】(1)y2=8x(2)证明见解析,8 【分析】(1)根据准线过点 即可求出p,进而可知抛物线标准方程; (2)假设直线 的方程,与抛物线联立,进而可以得到 与其中垂线的交点坐标,进而可以表示出中 垂线方程,进而求点 的坐标,再求 即可. 【详解】(1)解:(1)由题意得 ∴抛物线的方程为 (2)设 ,直线AB的斜率为 则直线方程为 将此式代入 ,得 ,故 设 的中垂线为直线m,设直线m与 的交点为 则 故直线m的方程为 令 得点P的横坐标为 故∴ 为定值8 3.(2024·广西桂林·模拟预测)已知椭圆C: 过定点 ,过点 的两条动直线交椭圆 于A(x ,y ),B(x ,y ),直线 的倾斜角互补, 为椭圆C的右焦点. 1 1 2 2 (1)设 是椭圆 的动点,过点 作直线 的垂线 为垂足,求 . (2)在 中,记 ,若直线AB的斜率为 ,求 的最大值. 【答案】(1) (2) 【分析】(1)先求出椭圆方程,再设动点 ,由距离公式求解; (2)由(1)的结论及结合正弦定理得 ,又由 得 ,进行求解. 【详解】(1)因为点P在椭圆C上,所以 ,解得 ; 所以椭圆C的方程为 ,故 ,设动点 ,则 ,所以 , 故 , , 所以 .(2)不妨设 , 的外接圆半径为 , 则由正弦定理得 ,所以 . 如图,过 作直线 的垂线,垂足为 ,过 作 于点 ,由(1)的结论可得 ,所以 ,即 , 所以 ,又 ,得 ,则 ,即 ,所以 ,当且仅当 时等号,所以 的最大值为 . 4.(2024·广东湛江·一模)已知 为双曲线 上一点, 分别为双曲线 的左、右顶点,且直线 与 的斜率之和为 . (1)求双曲线 的方程; (2)不过点 的直线 与双曲线 交于 两点,若直线 的倾斜角分别为 和 ,且 ,证明:直线 过定点. 【答案】(1) (2)证明见解析 【分析】(1)利用 及点 在双曲线上,可构造方程求得 ,从而得到双曲线方程; (2)验证可知直线 斜率均存在,由斜率与倾斜角关系可得 ,将直线 方程与双曲线 方程联立可得韦达定理的结论;利用两点连线斜率公式,结合韦达定理可表示出 ,化简整 理得到 或 ,验证可知 满足题意,由直线过定点的求法可求得结果. 【详解】(1)由题意知: , , , , 又 在双曲线 上, ,解得: ; 双曲线 的方程为: . (2)当直线 中的一条斜率不存在时,不妨设直线 斜率不存在,则 , , ,直线 ,即 ,由 得: ,解得: , 即直线 与双曲线 相切于点 ,不合题意; 直线 斜率均存在,则 , , , ,即 , ; 设A(x ,y ),B(x ,y ),由 得: 且 1 1 2 2 , , , , , 由 得: , ,, , 整理可得: ,即 , 或 , 当 时,直线 恒过点 ,不合题意; 当 时,满足 ,此时直线 恒过点 ; 综上所述:直线 过定点 . 题型十三:韦达定理不能直接用:定比分点 若有 1.利用公式 ,可消去参数 2.可以直接借助韦达定理反解消去两根 定比分点型,即题中向量(或者线段长度满足) 可以利用公式 ,可消去 1.(2024·河南·模拟预测)已知椭圆C: 的左、右焦点分别为 ,两焦点 与 短轴的一个顶点构成等边三角形,点 在椭圆 上. (1)求椭圆C的标准方程; (2)过点 且斜率不为0的直线 与椭圆 交于 两点,与直线 交于点 .设 , 证明: 为定值. 【答案】(1) (2)详见解析 【分析】(1)根据题意,列出关于 的方程组,解之即得椭圆C的标准方程; (2)依题意设出直线 的横截距式方程,与椭圆方程联立,写出韦达定理,根据 , 代入坐标,求得 , ,计算 并将韦达定理代入化简即得【详解】(1)由题意得: 解得 , 椭圆 的标准方程是 . (2)由(1)知F (−1,0),由条件可知 的斜率存在且不为0, 1 设 的方程为 ,则 ,令 可得 . 联立方程 得 , 设A(x ,y ),B(x ,y ),则 ,由 可得 1 1 2 2 ,则有 ,解得 ,同理 . , 故 为定值 . 2.(2024·重庆·模拟预测)已知椭圆C: 的左、右焦点分别为 , ,两焦点 , 与短轴的一个顶点构成等边三角形,点 在椭圆C上. (1)求椭圆C的标准方程; (2)过点 且斜率不为0的直线l与椭圆C交于A,B两点,与直线 交于点D. ①设 内切圆的圆心为I,求 的最大值; ②设 , ,证明: 为定值. 【答案】(1) (2)① ;②证明见解析 【分析】(1)根据题意,列出关于 的方程组,解之即得椭圆C的标准方程; (2)①结合图形,将使 最大问题转化为使 最大,即使 最小,可通过余弦定理和 基本不等式得到; ②依题意设出直线 的横截距式方程,与椭圆方程联立,写出韦达定理,根据 , 代 入坐标,求得 , ,计算 并将韦达定理代入化简即得. 【详解】(1)由题意得: 解得 ,∴椭圆C的标准方程是 .(2) 如图,①因为I为 的内切圆圆心,则 , 显然∠IAB是锐角,当且仅当∠IAB最大时, 最大, 即须使 最大,又 ,则须使 最小, 在椭圆 中, , ,在 中,由余弦定理, . 当且仅当 时取等号,即当 时, 为正三角形时, 取得最大值 ,∠IAB取最大值 ,此时 的最大值为 ; ②由(1)知F (−1,0),由条件可知 的斜率存在且不为0, 1 设l的方程为 ,则 ,令 可得 .联立方程 得 , ,设A(x ,y ),B(x ,y ),则 , , 1 1 2 2 由 可得 ,则有 ,解得 ,同理 .∴ .故 为定值 . 3.(2024·陕西西安·模拟预测)已知点 关于坐标原点 对称, 过点 且与直线 相切. (1)求圆心 的轨迹 的方程; (2)是否存在与圆 相切且斜率大于0的直线 ,满足:与曲线 交于 两点,与 轴交于点 ,且 ?若存在,求直线 的方程,若不存在,说明理由. 【答案】(1) (2)存在, 或 【分析】(1)设 的坐标为 ,结合直线与圆相切的性质计算即可得; (2)设出直线 ,联立曲线,消去 后,结合韦达定理计算即可得解. 【详解】(1)设 的坐标为 ,根据条件可得 , 即 ,化简得 ,则轨迹 的方程为 ; (2)设直线 ,因为与圆 相切,则 ,即 ,设 ,依题知 ,联立 ,得 , 则有 ,即 ,得 ,所以 ,即 ,得 或 , 所以 或 ,均符合 ,所以存在满足条件的直线,且直线 的方程为 或 . 4.(2024·贵州·三模)已知双曲线 ,过点 的直线 与双曲线 相交于 两点. (1)点 能否是线段 的中点?请说明理由; (2)若点 都在双曲线 的右支上,直线 与 轴交于点 ,设 ,求 的取值范围. 【答案】(1)不是,理由见解析(2) 【分析】(1)设 ,利用点差法求解 ,求出 直线方程,与双曲线方程联立,判断 是否是 中点; (2)设直线方程 ,求出 点坐标,设 ,联立方程,根据根与系数关系求解 的范围,根据 ,求出 ,进而求出 的取值范围. 【详解】(1)假设 是 的中点,设 ,则 , 由 ,可得 ,则 直线方程 ,即 ,则 ,即 ,故 与题设矛盾,故点 不是 的中点. (2)设直线方程 ,则 ,令 ,设 ,联立 ,则 故 ,即 或 ,根据 ,则 ,代入双曲线方程可得, , 同理可得 ,所以 是方程 的两个根, 则 , ,故 , 由 或 ,则 或 ,即 或 , 故 . 题型十四:非对称型 平移齐次化的步骤, (1)平移; (2)与圆锥曲线联立并其次化; (3)同除 ; (4)利用根与系数的关系进行证明结论;如果是过定点的问题还需要平移回去. 1.(22-23高三下·河北石家庄·阶段练习)已知椭圆 的左、右焦点分别为 点 在 上, 的周长为 ,面积为 . (1)求 的方程. (2)设 的左、右顶点分别为 ,过点 的直线 与 交于 两点(不同于左右顶点),记直线 的斜率为 ,直线 的斜率为 ,则是否存在实常数 ,使得 恒成立. 【答案】(1) (2)存在, 【分析】(1)根据椭圆的周长、面积可得答案;(2)设直线 的方程为 ,与椭圆方程联立,设 ,由韦达定理代入 可得答案. 【详解】(1)依题意,得 ,即 ,解得 ,所以 的方程 ; (2)依题意,可设直线 的方程为 ,联立方程 ,化简整理,得 , 易得 恒成立,设 ,由韦达定理,得 ,可得 , 于是 ,故存在实数 ,使得 恒成立. 2.(23-24高二上·山东临沂·期中)已知椭圆E的左、右焦点分别为 , ,点M在椭 圆E上, , 的周长为 ,面积为 . (1)求椭圆E的方程. (2)设椭圆E的左、右顶点分别为A,B,过点 的直线l与椭圆E交于C,D两点(不同于左右顶点), 记直线AC的斜率为 ,直线BD的斜率为 ,问是否存在实常数 ,使得 ,恒成立?若成立,求 出 的值,若不成立,说明理由. 【答案】(1) (2)存在实数 【分析】(1)根据焦点三角形面积及周长列方程求出 ,即可写出椭圆方程; (2)先设直线,再和椭圆联立方程组,结合韦达定理及斜率公式计算 化简求解即可.【详解】(1)依题意,得 ,即 , 解得 ,所以椭圆E的方程为 . (2) 依题意,可设直线l的方程为 , 联立方程 ,化简整理,得 ,易得 恒成立, 设 , ,由韦达定理,得 ,可得 , 于是 , 故存在实数 ,使得 恒成立. 3.(2019·北京丰台·一模)已知椭圆 的左、右顶点分别为 ,长轴长为4,离心 率为 .过右焦点 的直线 交椭圆 于 两点(均不与 重合),记直线 的斜率分别为 . (Ⅰ)求椭圆 的方程; (Ⅱ)是否存在常数 ,当直线 变动时,总有 成立?若存在,求出 的值;若不存在,说明理由. 【答案】(Ⅰ) .(Ⅱ)存在常数 使得 恒成立. 【分析】(Ⅰ)由题意由题知 解得 ,即可求得椭圆方程;(Ⅱ)根据椭圆的准线方程, 设出直线l的方程,代入椭圆方程,利用韦达定理即可求得C及D,存在λ ,使得k=λk恒成立. 1 【详解】(Ⅰ)由题知 解得 所以求椭圆E的方程为 . (Ⅱ)由(Ⅰ)知A(﹣2,0),B(2,0),当直线l的斜率不存在时,直线l的方程为x=1. 由 解得 或 得 或 ;均有 .猜测存在 .当直线l的斜率存在时,设直线l的方程为y=k(x﹣1),C(x,y),D(x,y). 1 1 2 2 由 得(4k2+3)x2﹣8k2x+4k2﹣12=0.则 故 0. 所以存在常数 使得 恒成立. 4.(23-24高二下·浙江·期中)如果一条双曲线的实轴和虚轴分别是一个椭圆的长轴和短轴,则称它们为 “孪生”曲线,若双曲线 与椭圆 是“孪生”曲线,且椭圆 , ( 分别为曲线 的离心率) (1)求双曲线 的方程; (2)设点 分别为双曲线 的左、右顶点,过点 的动直线 交双曲线 右支于 两点,若直线 的斜率分别为 ①是否存在实数 ,使得 ,若存在求出 的值;若不存在,请说明理由; ②试探究 的取值范围. 【答案】(1) (2)①存在实数 使得 ,理由见解析,② . 【分析】(1)根据“孪生”曲线定义,直接列式计算可得答案; (2)①直线与双曲线方程联立,利用韦达定理进行消参,进而证明其比值为定值;②根据题意得 ,设直线 的方程为 ,与双曲线方程联立,利用韦达定理得出 的范围可得 答案. 【详解】(1)根据题意双曲线 ,因为 ,解得 , 双曲线 的方程为 ;(2)①,存在实数 ,使得 ,理由如下, 若直线 的斜率不为0,则 , 重合不符合题意,所以 , 设直线 的方程为 , ,由 得 , 双曲线的渐近线方程为 ,所以 ,可得 , ,,所以存在实数 ,使得 ; ②,由① ,所以 ,设直线 的方程为 ,与双曲线方程联立 得 ,可得 , 因为 ,所以 ,解得 ,因为点 在双曲线的右支上,所以 , 解得 ,所以 . 题型十五:点代入型 1.(2024·甘肃张掖·模拟预测)已知椭圆 左、右顶点分别为 ,短轴长为 , 离心率为 . (1)求椭圆 的方程; (2)若第一象限内一点 在椭圆上,且点 与 外接圆的圆心 的连线交 轴于点 ,设 , 求实数 的值. 【答案】(1) (2) 【分析】(1)用椭圆的基本量的数量关系,就可求得椭圆方程; (2)关键要用坐标法来研究,设圆心M坐标和点P坐标,然后来求出点Q坐标,再利用圆心M坐标和点 P坐标满足的相等关系,就可解出点 的横坐标为 ,从而用向量的坐标关系就可求出结果. 【详解】(1)因为短轴长为 ,所以 , 又椭圆 的离心率为 ,则有 ,解得 , 所以 的方程为 .(2) 因为 外接圆经过椭圆的左、右顶点,所以圆心 在 轴上, 设圆心 ,则圆 的半径为 ,所以 ,所以 又点 在椭圆上,所以 ,两方程消去 得: 再由直线 的斜率为 , 可设直线 的方程为 ,令 ,所以点 的横坐标为 又 ,所以 ,解得 2.(24-25高二上·陕西宝鸡·阶段练习)设 两点的坐标分别为 , .直线 相交 于点 ,且它们的斜率之积是 . (1)求点 的轨迹方程. (2)若 ,在 的轨迹上任取一点 (异于点 ),求线段 长的最大值. 【答案】(1) (2) 【分析】(1)利用两点间的斜率公式的坐标表示,由斜率之积是 化简可得结果; (2)将 满足椭圆方程并利用两点间距离公式可得 ,再由椭圆范围即可求 得结果. 【详解】(1)设点 ,因为 ,如下图所示: 所以直线 的斜率 ,同理直线 的斜率 ; 由已知可得 ,化简可得 ; 即点 的轨迹方程为 ,即点M的轨迹是除去 , 两点的椭圆. (2)设 ,则 ,所以 , 即 ,根据椭圆范围可得 ,所以 时, 最大为, 所以线段PQ长的最大值为 . 3.(2024高三·广西·阶段练习) 已知椭圆 (a>b>0)的离心率为 ,过右焦点F的直线 与椭圆C相交于AB两点,当 斜率为1时,坐标原点O到 的距离为 (Ⅰ)求a,b的值; (Ⅱ)C上是否存在点P,使得当l绕F转到某一位置时,有 成立? 若存在,求出所有的P的坐标与l的方程;若不存在,说明理由. 【答案】(Ⅰ) , = (Ⅱ)C上存在点 使 成立,此时 的方程为 【详解】解:设 设 方程为 到 的距离为 故 由 得 , = (Ⅱ)C上存在点 ,使得当 绕 转到某一位置时,有 成立. 由 (Ⅰ)知C的方程为 + ="6." 设 (ⅰ) 由 得 , 故 于是 , = , 代入①解得, ,此时 于是 = , 即 因此, 当 时, , ; 当 时, , . (ⅱ)当 垂直于 轴时,由 知,C上不存在点P使 成立.综上,C上存 在点 使 成立,此时 的方程为 4.(2024·全国·一模)已知抛物线C :x2=y,圆C :x2+(y﹣4)2=1的圆心为点M 1 2(1)求点M到抛物线C 的准线的距离; 1 (2)已知点P是抛物线C 上一点(异于原点),过点P作圆C 的两条切线,交抛物线C 于A,B两点, 1 2 1 若过M,P两点的直线l垂直于AB,求直线l的方程. 【答案】(1) (2) 【详解】(1) 由于抛物线C :x2=y准线方程为:y=﹣ ,圆C :x2+(y﹣4)2=1的圆心M(0,4), 1 2 利用点到直线的距离公式可以得到距离d= = . (2)设点P(x,x2),A(x,x2),B(x,x2); 0 0 1 1 2 2 由题意得:x≠0,x≠±1,x≠x, 0 2 1 2 设过点P的圆c 的切线方程为:y﹣x 2=k(x﹣x )即y=kx﹣kx +x2① 2 0 0 0 0 则 ,即(x2﹣1)k2+2x(4﹣x 2)k+(x2﹣4)2﹣1=0 0 0 0 0 设PA,PB的斜率为k,k(k≠k),则k,k 应该为上述方程的两个根, 1 2 1 2 1 2 ∴ , ; ①代入y=x2得:x2﹣kx+kx﹣x2=0 因为x 应为此方程的根, 0 0 0 故x=k﹣x,x=k﹣x 1 1 0 2 2 0 ∴k =x+x=k+k﹣2x= AB 1 2 1 2 0 由于MP⊥AB,∴k •K =﹣1 AB MP ⇒ 故P ∴ .